Исследование следящей системы
Курсовая
работа
Теория
автоматического управления
Исследование
следящей системы
Оглавление
.Выбор и расчет силовых элементов следящей системы
1.1 Введение
.2 Исходные данные
.3 Выбор электродвигателя
.4 Выбор преобразователя
.5 Выбор трансформатора
.6 Выбор дросселя
.7 Вычисление коэффициентов передач и постоянные времени для
двигателя и преобразователя
2. Синтез регуляторов следящей системы
2.1 Построение структурной схемы следящей системы
2.2 Определение структуры и параметров регулятора контура положения
2.3 Принципиальная схема регулятора
.4 Оценка качества спроектированной системы
Вывод
электродвигатель преобразователь дроссель
регулятор
1. Выбор
и расчет силовых элементов следящей системы
1.1 Введение
Произвести проектирование системы управления следящим электроприводом
постоянного тока. Данные для расчетов взять из таблицы 1. В процессе
проектирования необходимо выполнить расчеты и выбор элементов силовой части
привода, обратных связей и регуляторов и определить настройки последних;
составить структурную и принципиальную схемы системы и ее математическое
описание. На основании последнего произвести расчет динамических режимов и их
анализ. С помощью логарифмических амплитудных частотных характеристик
определить тип регулятора положения и его параметры.
Особенностью построения желаемой логарифмической характеристики является
тот факт, что низкочастотная часть "ЛАХ" формируется в зависимости от
заданной ошибки слежения и параметров управляющего воздействия. При
проектировании в ТЗ задаются максимальное значение скорости (ωmax) и ускорения (εmax), по которым определяются параметры
эквивалентного входного гармонического воздействия:
ӨВХ (t) = Өвх.э
sin ωэt (1)
Өвх.э=ω2max/ εmax (2)
ωэ= εmax / ωmax (3)
1.2 Исходные
данные
=4,2*10-3коэффициент соотношения масс γ=2;
=2,27*10-2максимальное ускорение εmax=0,5
=0,31
=0,9
=670
1.3 Выбор
электродвигателя
Выбор двигателя осуществляется исходя из технического задания на
проектирование ЭМС по ряду параметров.
Произведем их расчет.
Расчет требуемой мощности электродвигателя можно ориентировочно выполнить
по формуле
Р ≈ kЗ* Мсmax*
ωmax , (4)
где kЗ = 1.2 -:- 2.5 - коэффициент, учитывающий требование к
динамическим характеристикам электропривода (меньшему времени переходного
процесса соответствует большее значение коэффициента). При расчетах
предварительное значение kЗ выбрать 1.7…1.8.
Р=1,75*670*0,9=1055,25 Вт
Выбираем тип двигателя 4ПБМ112LO4 с характеристиками, приведенными в таблице 1.
Таблица 1. Характеристики электродвигателя 4ПБМ112LO4
Двигатель имеет две пары полюсов.
Из условия согласования двигателя и объекта управления по угловой
скорости определяется передаточное число редуктора:
= ωн /
ωmax =
=174,5 (5)
где ωн
- номинальная угловая скорость двигателя
ωн=2πnн/60=
= 157 об/с (6)
Для проверки выбранного двигателя определим эквивалентный момент:
(7)
где
J∑ = Jм + J1
=γJ1=0.01078+0.01078=0,0215 кг*м2 (8) -
суммарный момент инерции кинематической передачи;
1
= Jд + Jр=0,0098+0.0098=0,01078 кг*м2 (9)
где моменты инерции двигателя Jд и редуктора Jр (момент инерции
первой массы);
Jм = J1( γ - 1) =0,01078*(2-1)=0,01078 кг*м2
(10) - приведенный момент инерции механизма (момент инерции второй массы);
Мcmax = M’c max / i ηp =
=4.173 Нм (11) - приведенный момент
сопротивления нагрузки;
Мтр = 0.1Мдн =0,1*8.12=0,812 Нм (12) - момент
сухого трения;
где Мдн - номинальный момент двигателя;
ηр = 0.9…..0.94 - КПД редуктора.
Момент инерции редуктора ориентировочно принять
р
= 0.1 Jд =0.1*0.0098=98*10-5
=0.00098 кг*м2 (13).
По формуле (7) получим:
5.1598 Нм
Выбранный электродвигатель должен удовлетворять условиям:
Мэ < Мдн (14)
5.1598<8.12 следовательно, условие (14) выполняется.
и
Мmax/Мдн < kм , (15)
где Мmax - максимальный момент сопротивления
нагрузки, приведенный к валу двигателя
Мmax = J∑ i
εmax + М с max + Мтр=
0.0215*174.5*0.5+4.1734+0.812=6.87 (16)
м
- коэффициент перегрузки двигателя по пусковому моменту, который определяется
из технических данных двигателя
м
=Мmaxдв/Mдндв. (17)
Значение kм приведено в табл. 1. kм=2
Мmax/Мдн =
0,85 следовательно, условие (15)
выполняется.
,85<2
В следящем электроприводе при выборе двигателя необходимо проверять его
соответствие оптимальному передаточному числу редуктора, определяемому из
условия минимума эквивалентного момента dMэ / di =
0:
Поскольку фактическое передаточное число редуктора, определяемое по (5) i=174,5 , отличается от оптимального
числа
=36,18 более чем на 30%, то
необходимо выбрать другой двигатель такой же мощности, но с иной номинальной
угловой скоростью.
В данном (учебном) проекте мы только констатируем факт необходимости
выбора другого двигателя, дальнейшие же расчеты продолжим с выбранным
двигателем.
Активное сопротивление якорной цепи двигателя необходимо принимать в
нагретом состоянии
д = Rд 20оС (1 + αдΔtо)=0.234*(1+0.004*70)= 0,299 Ом (19)
где αд =0.004 Ом/град - температурный коэффициент обмоток
двигателя; Δtо = tро -20о= 900-200=700С
( tро - расчетная температура нагрева
обмоток двигателя).
Индуктивность якорной (роторной) обмотки двигателя можно определить на
основе его паспортных данных
Lд = Tд Rд (20)
или приближенно по формуле Линвиля - Уманского
где IЯН - номинальный ток якорной обмотки;
pn - число пар полюсов;
kК - коэффициент компенсации (при
наличии компенсационной обмотки kК = 0.25…0.3)
По формуле (21) при kК = 0.25 получим:
= 0.0061 Гн
1.4 Выбор
преобразователя
Выбор преобразователя производится из условий:
(22)
(23)
Из условий (22) и (23) получаем, что
110 и
14.2 А
Данные тиристорных преобразователей в таблице 2.
По условиям (22) и (23) из таблицы 2 выбираем тиристорный преобразователь
ТПЕ-25/25-115.
Поскольку преобразователь не питается от 3-х фазной сети, соответствующей
напряжению питания преобразователя, то применяем понижающий трансформатор.
1.5 Выбор
трансформатора
При выборе трансформатора необходимо учитывать, что линейное напряжение
вторичной обмотки его должно отвечать условию:
2л ≥ Uвн
(24)
где Uвн - номинальное выпрямленное напряжение
ТП
Требуемая мощность трансформатора для трехфазной мостовой схемы:
(25)
По формуле (25) получим: Ртр=
=1660 Вт
Технические данные некоторых трансформаторов приведены в Таблице 3.
Из таблицы 3 выбираем по параметру Ртр трансформатор ТТ-2.
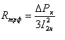
Определим сопротивление фазы трансформатора. Активную составляющую Rтрф по потерям короткого замыкания ΔРк.
где I2н - номинальный фазный ток вторичной
обмотки
2н=Ртр/(3U2ф)=
=5.8 А (27)
По формуле (26) получим:
= 0.67 Ом
Полное сопротивление фазы можно определить из соотношения:
(28)
где ек - напряжение короткого замыкания трансформатора.
При расчетах с достаточной степенью точности можно принять U2ф=E2ф.
По формуле (28) получим:
= 1,14 Ом
Тогда реактивная составляющая может быть определена из соотношения:
По формуле (29) получим:
=0,92 Ом
Индуктивность фазы трансформатора, приведенная ко вторичной обмотке
где f =50 Гц - частота питающей сети
По формуле (30) получим:
=0,0029 Гн
Далее определим индуктивность Lуп
уп =Lтр =2 Lтр ф=2*0.0029=0,006 Гн (31)
и активное сопротивление Rуп силовой цепи преобразователя.
уп= Rтр + Rдт + Rк, = 1.34+0.024+0.2= 1.564 Ом (32)
где Rтр=2Rтр ф=2*0.67=1.34 Ом (33)
дт - динамическое сопротивление тиристора;
Rк
- коммутационное
сопротивление выпрямительной схемы ТП.
дт =(0.2…0,3)Uтq/Iт =
=0,024 Ом (34)
где Uт=(0,5…1) - падение напряжения на тиристоре;
Iт = Idн/3=25/3=8,33 А (35) - среднее значение тока тиристора;
Idн
- номинальное значение среднего выпрямленного тока;
q -
число одновременно проводящих тиристоров ( принять q=2) .
Rк= тfLa =2*50*0.0029=0.3 Ом (36) -
коммутационное сопротивление выпрямительной схемы,
где m=2 - число пульсаций выпрямленного
напряжения за период питающей сети;
a =Lтр ф=0.0029 Гн
1.6 Выбор
дросселя
В рабочем режиме тиристорного преобразователя при скорости двигателя
большей минимально допустимой открытыми оказываются не менее двух тиристоров.
Тогда для трехфазной мостовой схемы текущее состояние цепи якоря можно
представить в виде рис.1.
Рисунок 1. Текущее состояние цепи якоря двигателя
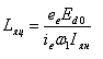
При работе двигателя для сглаживания пульсаций напряжения в цепи якоря ,
как правило, суммарной индуктивности двигателя и трансформатора недостаточно.
По этой причине в цепь якоря двигателя дополнительно включают индуктивность
(дроссель), требуемую величину которой определяют по условию допустимых
пульсаций машины:
где ее - относительная величина первой гармоники выпрямленного
напряжения (дл следящего привода ее=0,24);
Еd0 - максимальная выпрямленная ЕДС ТП
Еd0 =кеЕ2ф=2,34*115=269,1 В. (38)
ке - коэффициент схемы выпрямления для 3-х фазной мостовой ке=2,34;
ω1 - частота пульсаций
ω1=2πfm=2*3,14*50*6=1884 Гц (39)
ie=0,035 - относительная величина эффективного значения первой гармоники
выпрямленного тока.
По формуле (37) получим:
=0.0689 Гн
В этом случае требуемая величина индуктивности определяется из
соотношения
=0.0689-(0.006+0.004)=0,0589Гн
(40)
где
- индуктивность дросселя; Lд - индуктивность якоря двигателя,
Lяц - индуктивность реактора.
Дроссель
выбирают по величине.Lдр, а
также по его номинальному току. Например дроссели ДФ-7 существуют на токи от 20
до 250 А и индуктивность их имеет значения 10, 15, 20 мГ и далее через 10 до
100 мГ.
Индуктивность
выбираемого дросселя должна быть больше или равной расчетной.
Из
этих соображений выбираем дроссель ДФ-7 на ток 25 А со значением Lдр=60 мГн
После
выбора следует вычислить окончательное значение индуктивности Lяц
яц= Lдр+ Lд +Lуп= 0.06+ 0.006+0.004= 0.07Гн (41)
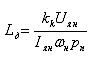
1.7 Вычисление
коэффициентов передач и постоянные времени для двигателя и преобразователя
Коэффициент передачи двигателя по напряжению можно определить по формуле
(42)
где
(43)
где ЭДС зависит от угла открывания от угла открывания тиристоров по
косинусоидальному закону.
По формуле (43) получим:
=0,5304
По формуле (41) получим:
= 1.88
Определим динамический коэффициент усиления преобразователя по формуле:
=
=38,06
Постоянные времени.
Электромагнитная постоянная якорной цепи, с.:
(46)
(47)
Rяц=1.564+0.299=1,863 Ом (48)
По формуле (46) получим: Тя=
=0,015 с.
Электромеханическая постоянная , с.:
По формуле (49) получим:
Тэм=
=0.142 с.
Постоянная времени ТП при условии отсутствия фильтре в обратной связи по
току , с.:
=4,2*10-3*1,4142=0,0059 с.
2.
Синтез регуляторов
следящей системы
2.1
Построение структурной
схемы следящей системы
ТΣ2=Тдт+Ттп=Ттп=0,0042 с.
Отсутствие фильтра в контуре скорости приводит к тому, что Тдс=0,
и суммарная постоянная контура скорости становится равной:
ТΣ1=2ТΣ2+Тдс=2ТΣ2=Ткт=0,0084 с.
Предположим, постоянная фильтра в контуре тока приблизительно равна
постоянной тиристорного преобразователя, постоянная фильтра в контуре скорости
постоянной контура тока. В этом случае при наличии фильтров малая суммарная
постоянная контура скорости ТΣ1=8Ттп=0,0472с , а в случае
отсутствия фильтровТΣ1=2 Ттп=0,0118 с.
Постоянная контура скорости при настройке на ОМ при отсутствии фильтров Ткс=ТΣ1
=0,0118с, при наличии их Ткс=2ТΣ1
.То есть быстродействие контура
скорости при отсутствии фильтров в два раза выше.
На рис. 1 приведена схема контура тока, где указано место включения
фильтров в системах стабилизации скорости. В нашем случае исключим их из схемы.
В этом случае структурную схему контура тока можно представить в виде,
приведенном на рис 2.
Рис. 2 Структурная схема контура тока
Регулятор контура тока по известным причинам настраивается на ОМ.
Определим параметры схемы контура тока (рис. 1). Сопротивления Rот, Rзт определяются из условия Rот/ Rзт=β2, при этом следует принять:
если β2<1
Rот=1 кОм,
Rзт= 1/ β2
Rзт= 1/0,031=32,26 кОм,
Rзт=33 кОм
Емкость конденсатора определим из соотношения:
или
C=0,015/1000=0,000015
Ф= 15 мкФ.
Свернув контур тока, получим передаточную функцию контура тока в виде:
Определим коэффициент обратной связи по току:
Поскольку коэффициент передачи контура тока равен
, то при максимальном напряжении на
выходе регулятора скорости (в аналоговых системах Uрсmax=10в) Iя
max=10*К-1от,
откуда получим Кот=10 / Iя max=(10/28,4)=0,3521.
Этот коэффициент образуется следующими элементами обратной связи: падением
напряжения на сопротивлении шунта Rш,
усилителем датчика тока (ДТ) Кдт, Сопротивления фильтра в обратной
связи по току Rф и сопротивлением на входе регулятора Rт. Кот= Rш КдтКтили,Кт= Кот /
(Rш Кдт), где Кт -
коэффициент приведения обратной связи по току к задающему входу. В следящих
системах фильтр в обратной связи не используют, тогдаКт=Rзт/ Rт
При решении задачи синтеза регулятора контура скорости, как правило,
членом, содержащим
пренебрегают, ввиду его малости. Тогда передаточная функция
контура будет:
Статическая ошибка по скорости на качественные показатели
контура положения практически не влияет, поэтому в промышленных следящих
системах, построенных по такому принципу, используют П - регулятор, что
позволяет получить максимальное быстродействие контура. По той же причине
фильтр в обратной связи по скорости исключают, тогда постоянная датчика
скорости Тдс=0. Структурная схема контура скорости с учетом
вышесказанного примет вид, приведенный на рис. 3.
Настройка контура тока, исходя из максимального быстродействия,
выбирается таким образом, чтобы первая сопрягающая частота после частоты среза
(ωс) была бы равна 2ωс, то есть:
ωс=1/2Ткт =
=59,52
или Краз=1/2Ткт =59,52 "Оптимум по
модулю".
.
Рис. 3 Структурная схема контура скорости
Схема контура скорости, соответствующая структурной схеме приведена на
рис. 4.
Рис. 4 Схема контура скорости
Коэффициент передачи тахогенератора определить из соотношения
где Uтг- крутизна изменения выходного
напряжения.
Тахогенератор выбрать по максимальной скорости двигателя из таблицы 5.
Выбираем ТД-101 так как скорость двигателя 1500 об/мин=157рад/с.
Таблица 1.1 - Тахогенераторы
|
Наименование типа
|
Напряжение возбуждения, В
|
Ток возбуждения, А
|
Номинальная частота
вращения, об/мин
|
Активное сопротивление
нагрузки, Ом
|
Крутизна изменения
выходного напряжения при мВ мин/об
|
Масса, кг, не более
|
Общий гарантийный срок
хранения и эксплуатации, год
|
|
ТП-7520-0,2
|
Постоянный магнит
|
-
|
3000±15
|
|
20+4
|
0,5
|
3
|
|
ТД-101
|
110±1,1
|
задается напря-жением
|
1500±15
|
140±4
|
19,98-26,65
|
0,7
|
3
|
|
ТД-102
|
110±1,1
|
задается напря-жением
|
1500±15
|
450±13
|
46,5-53,19
|
0,7
|
3
|
|
ТД-102В
|
110±1,1
|
задается напря-жением
|
1500±15
|
450±13
|
46,5-53,19
|
0,7
|
3
|
|
ТД-103
|
110±1,1
|
задается напря-жением
|
1500±15
|
1200±36
|
92,72-109,4
|
0,7
|
3
|
|
ТГ-1
|
задается током
|
0,3±0,075
|
1100±11
|
10000±300
|
91,54-101,18
|
1,79
|
3
|
|
ТГ-2С
|
задается током
|
0,3±0,075
|
2400±24
|
2000±60
|
1
|
3
|
|
СЛ-121Г
|
110±1,1
|
0,09
|
3000±30
|
2000±20
|
15,83-17,5
|
0,45
|
3
|
Поскольку коэффициент передачи контура скорости равен
, то при максимальном напряжении на
входе системы (в аналоговых системах Uрсmax=10в) ωн=10*К-1ос, откуда получим Кос=10
/ ωн =10/157=0,064. Этот коэффициент образуется следующими элементами обратной
связи: напряжением на зажимах тахогенератора Uтг, делителем R,
фильтром в обратной связи по скорости Rфс и Сфс
сопротивлением на входе регулятора Rс. тогда
Кос= Ктг
Кс где,Кr=R= 0,5(const)
Кс= Кос / (
Ктг)=0,064/0,5*0,248=0,52
где Кс - коэффициент приведения обратной связи по скорости к
задающему входу.
Определим параметры схемы контура скорости (рис. 4 ). Сопротивления Rос, Rзс определяются из условия Rос/ Rзс=β1, при этом следует принять: при β1>1, то Rос=106 кОм, Rзс=1 кОм.
С другой стороны Кс=Rзс/ Rсиз этого соотношения и определим величину
сопротивления Rc.
c=Rзс /Кс=1/0,52=1.92 кОм
Свернем контур скорости, тогда передаточная функция контура скорости
примет вид:

В результате получим следующую структурную схему контура положения:
Рис. 5 Структурная схема следящей системы
Эта структурная схема является исходной для синтеза регулятора следящей
системы.
2.2
Определение структуры и параметров регулятора контура
положения
При решении задачи методом ЛЧХ последовательность решения задачи
следующая:
1. Строим ЛАХ (
) разомкнутой нескорректированной системы, предварительно
приведя ее к одноконтурной;
2. Строим желаемую ЛАХ (
) исходя из требований предъявляемых
к системе;
. ЛАХ регулятора получаем путем вычитания ЛАХ нескорректированной
из ЛАХ желаемой
.
. По
получаем структуру и параметры регулятора.
Низкочастотная часть ЛАХ строится таким образом, чтобы обеспечить
точность отработки входного воздействия при его известных предельных
параметрах: максимальной скорости
, максимальном ускорении
и допустимой ошибке слежения
.
Закон изменения входного сигнала удобно представить в виде некоторого
эквивалентного гармонического воздействия с заданными предельными
характеристиками:
,где
(2.1)
, где
(2.2)
Из (2.1) и (2.2) можно получить
:
(2.3)
При оценке точности проектируемой системы на входе ее следует
сформировать именно это воздействие.
Полученные параметры эквивалентного воздействия используются для
построения так называемой "запретной зоны". Доказано, что ошибка
слежения не будет превышена если ЛАХ системы пройдет выше запретной зоны (см
рис.6).
Рис. 6 Запретная зона
При построении желаемой ЛАХ в среднечастотной области необходимо
руководствоваться следующими соображениями:
) она должна пересекать ось 0 дец с наклоном -20 дец/дек (на частоте
среза
=59,52);
) протяженность среднечастотной области по возможности должна быть как
можно продолжительней, обеспечение этого условия позволяет минимально возможную
колебательность в системе. Высокочастотная часть ЛАХ практически не оказывает
влияния на динамику системы при условии, что:
200
где
- сопрягающая частота ближайшая справа к частоте среза.
Построим запретную область.
6
Вычислим добротность системы по скорости (
):
Определим коэффициент усиления регулятора (
) из следующего выражения:
Тогда
Сопрягающая частота для колебательного звена:
Порядок построения желаемой ЛАХ
. Строим запретную зону, используя следующие данные logω3 и Lк.
. Строим ЛАХ нескорректированной системы L(0)=20logKКред
и сопрягающая частота ω=ω3
3. Сопрягающую частоту
выбираем таким образом, чтобы среднечастотный участок
желаемой ЛАХ был симметричным относительно частоты среза, а сопрягающую частоту
справа от частоты среза принимаем равной ω3. Все вышесказанное иллюстрируется на рис. 7.
Низкочастотные части нескорректированной (
) и желаемой (
) ЛАХ сливаются с границей запретной
зоны
По ЛАХ регулятора получим структуру и параметры регулятора. Регулятор
имеет 2 сопрягающие частоты
. При этих сопрягающих частотах ЛАХ меняет наклон на 20
дец/дек (это говорит о том, что регулятор содержит 2 звена первого порядка:
одно в знаменателе (на частоте
наклон меняется на - 20дец/дек) и одно в знаменателе (на
частоте
наклон меняется на +20дец/дек).
Таким образом передаточная функция регулятора будет иметь вид:
,
2.3
Принципиальная схема
регулятора
Для технической реализации регулятора необходимо использовать
операционные усилители. В рассмотренном примере для передаточной функции
регулятора вида
одна из возможных принципиальных схем будет иметь вид,
представленный на рис. 8.
Рис. 8 Принципиальная схема регулятора положения
Параметры схемы определяются из соотношений:
1,8
2.4
Оценка качества
спроектированной системы
Оценка качества системы осуществляется методом моделирования на
персональном компьютере в лаборатории института. Для самостоятельного решения
задачи возможно использование готовых программных продуктов (МВТУ, Simulink,
MATRIX, VisSim и др.).
Необходимо провести исследование системы, в процессе которого необходимо:
) ответить на вопрос "Обеспечивает ли спроектированная система
заданное значение критерия качества (точность) и ограничениям (время
переходного процесса, перерегулирование)?
) Построить зависимости точности следящей системы, быстродействия
(времени переходного процесса), перерегулирования от коэффициента передачи
регулятора.
) Определить допустимый диапазон изменения коэффициента усиления
регулятора, в котором выполняются все заданные требования и ограничения.
При оценке точности на входе формируется эквивалентное гармоническое
воздействие Хвх(t) = Аэ
Sin(ωэt), где Аэ = ω2max
/εmax , ωэ = εmax/
ωmax (см. конспект). При оценке
параметров переходного процесса (времени переходного процесса и
перерегулирования) на вход системы задаётся ступенчатое воздействие вида 1(t).
Схема моделирования представлена на рис. 9.
Рис. 9 Схема моделирования следящей системы в ПК МВТУ
В результате исследования необходимо определить допустимый диапазон
изменения коэффициента передачи регулятора. При исследовании определяются:
максимальная ошибка Q ( в этом режиме
ключ К1 разомкнут, К2 замкнут, К3 в верхнем положении) ; время переходного
процесса tпп; перерегулирование σ
(в этом режиме ключ К1
замкнут, К2 разомкнут, К3 в нижнем положении). Рекомендуемые настройки окна
"Параметры счета": Рунге-Кутта 45; "Время интегрир." 1с;
"Минимальный шаг интегрирования" 1е-10; "Максимальный шаг"
0,001; "Шаг вывода результатов" 0,001; "Относительная
точность" 0,01.
Форма 1
|
K рег
|
300
|
600
|
900
|
1200
|
1500
|
1800
|
2100
|
2400
|
2700
|
|
t пп
|
1,1
|
0,71
|
0,52
|
0,4
|
0,31
|
0,24
|
0,21
|
0,2
|
0,2
|
|
t пп1
|
3,5
|
2,2
|
1,7
|
1,3
|
1
|
0,77
|
0,68
|
0,65
|
0,65
|
|
σ
|
19
|
14
|
12
|
10
|
10
|
15
|
21
|
25
|
32
|
|
σ1
|
0,76
|
0,56
|
0,48
|
0,4
|
0,4
|
0,84
|
1
|
1,28
|
|
Q
|
0,029
|
0,014
|
0,0095
|
0,007
|
0,0057
|
0,0048
|
0,0041
|
0,0034
|
0,0031
|
|
Q1
|
1,27
|
0,61
|
0,42
|
0,3
|
0,25
|
0,2
|
0,18
|
0,15
|
0,14
|
Рис.10 результаты исследования.
Вывод
Было произведено проектирование системы управления следящим
электроприводом постоянного тока. В процессе проектирования выполнены расчеты и
выбор элементов силовой части привода, обратных связей и регуляторов и
определены настройки последних; составлена структурная и принципиальная схемы
системы и ее математическое описание. На основании последнего произведен расчет
динамических режимов и их анализ. С помощью логарифмических амплитудных
частотных характеристик определен тип регулятора положения и его параметры.
При расчетном Крег исследуемая система не удовлетворяет
условиям по ограничениям (t пп).
В результате моделирования определяем оптимальный Крег, который
лежит в диапазоне 1500… 2400.
Список
литературы
1.
Выбор параметров
объектов и устройств управления механическим оборудованием с использованием
ЭВМ: Метод. указания по курсовому проектированию /СПбГТУ, Сост. В.С. Нагорный,
Н.Б. Культин. СПб., 1994. -36 с.
Теория систем автоматического регулирования; издательство
"Наука", Бесекерский В.А., Попов Е.П.