Следящий электропривод
ВВЕДЕНИЕ
Автоматизация процессов управления различными
объектами связана с широким использованием следящих приводов. Следящие приводы
нашли применение во многих областях техники: в системах управления станками, в
системах управления манипуляторами, в моделирующих стендах, в системах
управления объектами вооружения и т. д.
Следящий электропривод (СЭП) представляет собой
замкнутую динамическую систему, управляющую объектом регулирования. При этом
регулируемая величина с той или иной степенью точности воспроизводит
приложенное к системе управляющее воздействие.
В общем случае СЭП имеет в своем составе
чувствительное устройство (ЧУ), преобразующее устройство (ПУ), усилительно -
преобразующее устройство, усилитель мощности (УМ), исполнительный двигатель
(ИД), редуктор и корректирующее устройство.
При проектировании СЭП возникают две основные задачи,
одна из которых связана с выбором элементов силовой части - исполнительного
электродвигателя, усилителя мощности и редуктора, а другая - с анализом и
синтезом электропривода.
Данная работа посвящена проектированию СЭП,
исполнительным устройством которого является двигатель постоянного тока с
независимым возбуждением от постоянных магнитов.
Задача проектирования СЭП сводится к тому, чтобы
разработать такую следящую систему, которая удовлетворяла бы требованиям по
точности отработки задающего воздействия, требованиям по переходному процессу и
требованиям по эксплуатации.
1.
Патентный поиск и библиографический
обзор известных технических решений
При проведении патентного поиска по тематике данной работы было найдено
четыре патента выданные в России. Данные по обнаруженным патентам представлены
в таблице 1.1.
Таблица 1.1. Справка-отчет о патентном исследовании
|
Предмет поиска
|
Страна поиска
|
Сведения о публикации
(патента): УДК, наименование журнала, год, том, № страницы (страна, МКИ, №
заявки, дата приоритета, дата опубликования)
|
Название ФИО авторов
публикации (патента)
|
Сущность приведённых
сведений (заявленного технического решения).
|
|
Электропривод на датчике
моментов
|
Россия
|
Патент RU
2 181 523 С2 МПК Н 02 P 5/06 Заявка № 2000114615/09 Приоритет 08.06.2000
Опубликовано 20.04.2002
|
Электропривод с управлением
по производной тока. Елсуков В.С., Горбатенко Н.И., Ланкин М.В., Шкарупин
А.Я.
|
Электропривод содержит:
двигатель с датчиком тока, преобразователь, задатчик тока, инерционный
фильтр, ПИ-регулятор тока, два интегросумматора и три суммирующих усилителя
|
|
Электропривод на датчике
моментов
|
Россия
|
Патент RU
2 169 426 С1 МПК 02 P 21/00 Заявка № 99121152/09 Приоритет 05.10.1999 Опубликовано
20.06.2001
|
Устройство для управления
асинхронным электроприводом. Медведев В.А. Шиянов А.И. Морозов С.В.
|
Регулирование скорости
станков, вентиляторов и других машин и механизмов, оснащенных асинхронными
двигателями
|
|
Электропривод на датчике
моментов
|
Россия
|
Патент RU
2149 496 C1 МПК H 02 P /00,3/ 18 Заявка № 8117284 /09 Приоритет14.09. 1998
Опубликовано20.05. 2000
|
Способ управления
преобразователем. Вейтцель О.О. Гулин С.А.
|
Система управления основана
на базе микропроцессорного контроллера и сопрягается с автономным инвертором
выходными каскадами.
|
|
Электропривод на датчике
моментов
|
Россия
|
Патент RU
2141164 С1 МПК Н 02 Р 5/06 Заявка № 98102351/09 Приоритет 10.02.1998
Опубликовано 10.11.1999
|
Микропроцессорный
электропривод. Шлейнов Ю.П.
|
Микропроцессорный
электропривод содержит: электродвигатель постоянного тока, импульсный датчик
частоты вращения, блок задания режимов, шины адреса, данных, блок измерения
частоты и модуляции ширины импульсов.
|
Библиографический поиск проведен за период с 1960 по
2010 год по монографиям, учебным, справочным и методическим пособиям, научным
трудам. По данной теме найдено 17 источников. Информация об источниках
приведена ниже.
1. М.А. Боровиков. Расчет быстродействующих систем
автоматизированного электропривода и автоматики.- Саратов, Изд-во Саратовского
универ-та, 1980.
Монография посвящена решению проблемы построения
быстродействующих систем электропривода и автоматики, обладающих низкой
чувствительностью к вариациям параметров ее наиболее нестабильных или не
имеющих достоверного математического описания звеньев.
. В. А. Ганэ, В.Л. Степанов. Расчет следящих систем:
Справ. пособие.- Минск, Высш. шк., 1990.
На основе инженерных подходов обосновываются простые
соотношения и приводятся таблицы, графики и номограммы по расчету параметров и
оценке ошибок в силовых, радиолокационных, оптико электронных автоматических
системах для различных условий и режимов функционирования: при регулярных и
случайных воздействиях, детерминированных или случайных параметрах и структуре.
. Выбор двигателя и редуктора следящих систем. Беляев
Н, И., Нагорский В. Д., М., «Машиностроение», 1972, стр. 216.
В книге изложены сведения по динамической мощности,
развиваемой двигателем следящей системы при переходных процессах, вызванных
типовыми управляющими воздействиями. Приведены общие соотношения между
динамической мощностью двигателя, быстродействием системы, величиной
отрабатываемых воздействий и порядком астатизма системы.
Получены общие энергетические условия, позволяющие
установить необходимые параметры, выбрать тип двигателя, определить
передаточное число редуктора. На основе анализа динамической мощности и
установления аналитической зависимости между моментом инерции ротора двигателя
и номинальным вращающим моментом двигателя разработан метод выбора номинальных
параметров двигателя и передаточного числа редуктора.
Рассмотрены динамические характеристики следящих
систем в установившихся и переходных режимах и механические характеристики
двигателей. Большое внимание уделено вопросам режима работы двигателя и
передаточным числам редуктора и даны рекомендации по их выбору.
. Основы проектирования следящих систем. Под редакцией
д-ра техн. Наук проф. Н. А Лакоты. 1978, 391с. («Проектирование следящих
систем» под редакцией члена - кориспондента АН СССР Е. П. Попова).
В книге изложены основные этапы проектирования
следящих систем; освещены важные для практики вопросы расчета энергетических
характеристик, обеспечивающих заданные динамические свойства, а также даны
основы расчета и выбора элементов функциональных схем следящих систем.
Большое внимание уделено вопросам исследования следящих систем со сложным
объектом регулирования и с нелинейными обратными связями, прикладным вопросам
теории инвариантности и теории чувствительности, позволяющим создать высококачественные
следящие системы; рассмотрены особенности расчета и проектирования цифровых
следящих систем.
6. Д. В. Васильев, Б. А. Митрофанов. Проектирование и
расчет следящих систем. 1964.
Книга посвящена вопросом расчета линеаризованных
следящих систем. Введены вопросы проектирования усилителей и следящих систем в
целом.
Первая глава содержит характеристику методов расчета
следящих систем. Наиболее разработаны и удобны для инженерных расчетов, по
мнению авторов, метод логарифмических частотных характеристик и метод
амплитудно-фазовых характеристик, использованные в данной книге.
Выбору основных элементов следящих систем и
определению некоторых параметров посвящена вторая глава. В третьей главе
излагается методика, приводятся примеры расчета и проектирования электронных,
магнитных и полупроводниковых усилителей для следящих систем, даются схемы и
рекомендации по их выбору.
Четвертая глава посвящена выбору корректирующих
устройств расчету их параметров, а также описанию метода статистической
динамики для расчета системы, работающей в условиях случайных сигналов при
наличии внешних помех и внутренних шумов. Приведены примеры расчета.
Большое практическое значение при проектировании
следящей системы имеет сочетание расчетных и экспериментальных методов. В пятой
главе изложена методика определения экспериментальным путем передаточных
функций и параметров практики осуществленных звеньев следящей системы
В шестой главе приводятся примеры расчета следящих систем по принятым
ранее методам.
7. Рабинович Л.В., Петров Б.И., Терсков В.Г. и др.
Проектирование следящих систем.- М., Машиностроение, 1969.
В учебнике изложены теоретические основы и методика
расчета и проектирования следящих приводов. Рассмотрен метод выбора
исполнительного двигателя по предельным динамическим возможностям и энергетике,
а также синтез следящих систем, близких к линейным, обеспечивающих заданную
динамическую точность.
8. Мехатроника, автоматизация, управления 2007г. №10.
(Стр. 34-40)
В. А. Польский, канд. техн. наук, Л. В. Тхань, А. В.
Ванин, МГТУ им. Н. Э. Баумана. Повышение точности работы следящих
электроприводов опорно-поворотных устройств радиотелескопов.
В статье обсуждается задача повышения точности работы
следящих электроприводов переменного тока опорно-поворотных устройств
радиотелескопов, обеспечивающих погрешность наведения антенны порядка
нескольких угловых секунд. Предлагается компенсационный подход к коррекции
динамики привода по заданной точности слежения. Подход проиллюстрирован на
примере модернизации приводов радиотелескопа PT-7.5 МГТУ им. Н. Э. Баумана.
. Электротехника 2007г. №11. (Стр. 52-57).
Р. Т. Шрейнер, В. К. Кривовяз, А. И. Калыгин.
Энергосберегающий промышленный регулируемый электропривод нового поколения.
В статье представлены результаты инновационной
разработки энергосберегающего промышленного широкорегулируемого электропривода
переменного тока нового поколения на базе двухзвенно-непосредственного
преобразователя частоты без фильтра в промежуточном звене. Важными
преимущественными преобразователей нового поколения является их улучшенная
энергетическая и электромагнитная совместимость с питающей сетью.
. А. А. Ахметжанов, А. В. Кочемасов. Следящие системы
и регуляторы. 1986.
Рассмотрены основные элементы, типовые схемы
аналоговых и цифровых следящих систем и регуляторов различного типа. Дан анализ
погрешностей вращающихся трансформаторов, наиболее широко применяемых в
системах автоматики и используемых в различных режимах работы. Рассмотрены
некоторые положения по анализу устойчивости и синтезу корректирующих устройств,
а так же особенности работы типовых следящих систем и регуляторов.
. К. Н. Борисов, В. Д. Нагорский. Электропривод
летательных аппаратов. 1967.
В книге изложены основы теории автоматизированного
электропривода механизмов и агрегатов, устанавливаемых на летательных аппаратах
и на аэродромном оборудовании, приведена методика расчетов и выбора типов
электродвигателей для авиационных исполнительных механизмов, а также методика
построения систем автоматического управления с применением различных устройств
для регулировании скорости вращения двигателей, включая устройства на
полупроводниковых приборах. В книге, кроме того, изложены теоретические основы
релейно-контактных схем и программного управления, имеющие очетно-решающие
устройства.
. Следящие приводы. В 3 т. под ред. Б.К. Чемоданова.-
Т. 1:
Электрические следящие приводы. - М., Изд-во МГТУ им. Баумана, 2003.
В книге рассмотрены общие вопросы теории и
проектирования следящих приводов. Получены обобщенные уравнения, структурные
схемы и передаточные функции следящих приводов. Разработаны методы анализа и
синтеза непрерывных (линейных и нелинейных) и дискретных (импульсных и
цифровых) следящих приводов. Эти методы предусматривают использование обратных
логарифмических частотных характеристик, упрощающих исследование следящих
приводов и делающих процедуру синтеза более наглядной. Изложены вопросы анализа
и синтеза следящих приводов при наличии в силовой передаче между исполнительным
двигателем и объектом регулирования упругих деформаций и люфта. Здесь
рассмотрена работа следящих приводов на малых скоростях, показаны особенности
исследования следящих приводов при его работе от источника энергии ограниченной
мощности. Здесь же рассмотрены вопросы энергетического анализа следящих
приводов. Значительное внимание уделено анализу динамики двухканальных систем
различных видов.
. Следящие приводы. В 3 т. под ред. Б.К. Чемоданова.-
Т. 2: Электрические следящие приводы. - М., Изд-во МГТУ им. Баумана, 2003.
Во втором томе книги «Следящие приводы» рассмотрены
методы проектирования электрических следящих приводов, широко используемых в
системах управления объектами различного назначения. В книге обобщен
многолетний, в том числе и последних лет, опыт работы в исследовании и создании
электрических следящих приводов (ЭСП), рассмотрены основные задачи, возникающие
при разработке ЭСП, и показаны способы их решения.
На основе системного анализа изложены теоретические
основы электропривода, подробно рассмотрены математические модели и переходные
процессы в регулируемых электроприводах постоянного и переменного тока.15. Е.
А. Архангельский, А. А. Знаменский, Ю. А. Лукомский, Э. П. Чернышев.
Моделирование на аналоговых вычислительных машинах 1972.
Книга представляет собой руководство по использованию
аналоговых вычислительных машин при решении различных научно-технических задач.
Она в доступной форме знакомит читателя с вопросами исследования линейных и
нелинейных стационарных и нестационарных систем, моделирования дискретных
систем и систем с запаздыванием. Изложены методы решения вероятностных и
краевых задач, систем алгебраических уравнений, неустойчивых систем и уравнений
в частных производных. Рассмотрены вопросы определения корней полиномов,
отыскания функций чувствительности, решения задач оптимизации. Значительное
внимание уделено структурному моделированию и вопросам уменьшения и определения
погрешности решения.
. Л.С. Гольдфарб, А.В. Балтрушевич. Теория
автоматического управления. Под ред. проф. А.В. Нетушила. 1967, стр. 1-424.
Книга написана в соответствии с программой подготовки
специалистов по автоматике, измерительной и вычислительной технике. В ней
изложена теория линейных непрерывных и импульсных автоматических систем при
детерминированных воздействиях. В основу положены структурный подход к системе
и частотные методы ее анализа и синтеза. Обращено внимание на моделирование;
рассмотрены не только типовые звенья, но и более сложные, применительно к
объектам с распределенными параметрами. С достаточной полнотой изложены вопросы
исследования качества процессов управления и синтеза систем.
2.
ПРИНЦИПИАЛЬНАЯ СХЕМА следящего
электропривода
Следящий
электропривод, анализ которого необходимо провести в техническом задании на
курсовой проект, представляет собой замкнутую электромеханическую систему
автоматического регулирования, принципиальная схема которой изображена на
рисунке 2.1 [1]. Задающим воздействием является угловая скорость задающего вала
0 . Выходной величиной является угловая скорость
вращения выходного вала
. В следящем электроприводе ведена обратная связь по
угловой скорости, осуществляемая тахогенератором.
Рис.2.1 Принципиальная схема следящего электропривода: 1 - задающий
тахогенератор; 2 - усилитель напряжения; 3 - усилитель мощности; 4 - двигатель
постоянного тока; 5 - тахогенератор; 6 - редуктор
Функциональная схема, соответствующая данной принципиальной, приведена на
рис. 2.2.
Рис.2.2. Функциональная схема следящего электропривода
3.
Выбор основных элементов электропривода
.1. Выбор исполнительного двигателя и
передаточного числа редуктора
В большинстве случаев для следящей системы наибольшее значение имеют
динамические качества, поэтому в основу методики положен выбор двигателя по
перегрузочному моменту с последующей проверкой нагрева двигателя.
Методика выбора исполнительного двигателя и
передаточного числа редуктора производится в соответствии с заданными
значениями:
момента нагрузки;
максимальной угловой скорости;
При относительно невысокой мощности ЭСП, применяют
двигатели постоянного тока серии ДПР с возбуждением от постоянных магнитов,
имеющие достаточно высокий момент, динамические характеристики, малую
потребляемую мощность, а также двигатели постоянного тока серии МИ.
Выбор двигателя начинаем с расчета требуемой мощности, которая должна
быть достаточной для обеспечения заданной скорости и ускорения объекта
управления при заданной нагрузке.
Требуемая мощность рассчитывается следующим образом [2,3]:
(3.1)
где Ртр - необходимая мощность двигателя, Вт;
-
максимальная угловая скорость, рад/с;
Мс
- момент сопротивления объекта управления, Нм;
JH - момент
инерции нагрузки, Нм·с2;
макс -
максимальное угловое ускорение, рад/с2;
рКПД редуктора ( можно взять равным р
= 0,94).
Требуемой
мощности удовлетворяют микродвигатели серии ДПР. Из них по заданному сроку службы
(tсл
1000 ч)
удовлетворяет ДПР-72-Ф1-03М3.
Таблица 3.1.
Паспортные данные ДПР-72-Ф1-03М3 .
|
Тип двигателя;
|
ДПР-72-Ф1-03М3
|
|
Номинальная мощность (Вт); Pн
|
20
|
|
Номинальная скорость
вращения (об/мин); nн
|
3000
|
|
Номинальное напряжение (В);
Uн
|
27
|
|
Номинальный ток (А); Iн
|
1.3
|
|
Момент инерции якоря
(кг.м2); Jд
|
3.6·10-6
|
|
Номинальный вращающий
момент (Н·м); Мн
|
0.051
|
|
Сопротивление цепи обмотки
якоря (Ом); rя
|
15,7
|
|
Электромеханическая
постоянная времени(мкс); Тдв
|
25
|
|
КПД двигателя(%); hд
|
56
|
Для выбора двигателя определяем следующие величины:
. Номинальная угловая скорость двигателя Wн [рад/с]:
Wн = nнp/30 (3.2)
Wн=3000p/30=314
[рад/с].
2. Передаточное число редуктора определяется по
формуле
(3.3)
где
iр - передаточное число редуктора.
3. Определяем требуемый момент на валу двигателя
(3.4)
4. Выбранный двигатель нужно проверить, удовлетворяет ли он по
моменту и скорости в соответствии со следующими условиями:
Мтр/Мн £
W
нагр Uр /Wн £ a.
где коэффициент
допустимой перегрузки двигателя по моменту (для двигателя постоянного тока a
- коэффициент допустимого кратковременного увеличения скорости двигателя сверх
номинальной, обычно a = 1,2 - 1,5.
Проведем проверку двигателя:
по моменту - 0.03/0.051 =0.58 < 10;
по скорости - 5·63/314 = 1 <1,5.
В результате проверок двигателя по моменту и скорости видно, что он не
перегружен. Следовательно, двигатель ДПР-72-Ф1-03М3 выбран правильно.
3.2 Выбор информационно-измерительных
элементов
Чувствительные элементы, применяемые в следящих
системах, чрезвычайно многообразны. К наиболее распространённым можно отнести
сельсины, синусно-косинусные вращающиеся трансформаторы, потенциометры.
Ошибка системы в статических режимах, как и в любых
других режимах, зависит от управляющих и возмущающих воздействий, от параметров
систем и их отклонений, а также от погрешностей элементов системы.
Выберем в качестве датчика обратной связи датчик
скорости (тахогенератор), кинематически связанный с валом электродвигателя.
Тахогенератор является практически безинерционным датчиком угловой скорости.
Для разрабатываемого следящего привода используем тахогенератор типа 1,6 ТГП-2,
[2] имеющий следующие параметры: nmax =
3000 об/мин, R = 10 кОм, Jp = 0,49*10-6 кгм2, Мтр = 5*10-4 Н×м, S = 2 мВ/об/мин, где S - крутизна характеристики датчика.
4. Математическое описание
ДИНАМИКИ следящего ЭЛЕКТРОПРИВОДА
4.1 Уравнения движения
следящего электропривода
Будем считать, что все звенья системы являются линейными. Для составления
уравнений системы функциональную схему следящего электропривода разобьем на
динамические звенья и найдем их передаточные функции.
Составим уравнение следящего электропривода, приведенного на рис. 2.1.
. Уравнения двигателя.
Для электродвигателя постоянного тока уравнение электрической цепи,
составленной по второму закону Кирхгофа:
(4.1)
имеет
вид

(4.2)
Уравнение
механической цепи, составленной на основе второго закона Ньютона для моментов
инерции:
(4.3)
где
момент сопротивления,
, э.д.с. двигателя 
.
Подставим
значение для 
в
уравнения (4.2). Получим систему уравнений:

(4.4)
(4.5)
Перейдем
в изображения по Лапласу:
Преобразуем
систему с учетом того, что Mc = 0:
В
первом уравнении системы перенесем
в правую
часть:

(4.6)
Выразим
:

(4.7)
.
Уравнение регулирования угловой скорости:
(4.8)
(4.9)
Пусть
тогда, уравнение обратной связи по угловой скорости
будет иметь вид:

(4.10)
.
Уравнение усилителя мощности:

(4.11)
где

или 
.
Тогда

(4.12)
Перейдем
в изображения по Лапласу, получим:

(4.13)
4.2 Структурные схемы следящего электропривода
.2.1 Структурная схема двигателя
Для
получения структурной схемы электродвигателя используем две передаточные
функции: электрическую и механическую.
следящий электропривод схема
Рис.4.1 Структурная схема электродвигателя с выделением электрической и
механической части
В
схеме на рисунке 4.1
- передаточная функция электрической части двигателя,
- передаточная функция механической части двигателя в
изображениях по Лапласу при нулевых начальных условиях.
Из
системы уравнений (4.6) видно, что
(4.14)

(4.15)
Приведем
передаточные функции (4.14) и (4.15) к стандартному виду. Для этого разделим и
числитель и знаменатель дроби на
, тогда
получим:
(4.16)
Введем
следующие обозначения
(4.17)

(4.18)
где

-
постоянная времени электрической части двигателя.
Тогда
передаточная функция (4.16) принимает типовой вид:

(4.19)
Рассмотрим
передаточную функцию
(4.15), которая уже имеет типовой вид

(4.20)
Введем
следующие обозначения:

(4.21)
С
учетом проведенных преобразований структурная схема двигателя примет следующий
вид
Рис. 4.2 Структурная схема электродвигателя
Рис.4.3 Преобразованная структурная схема электродвигателя
Используя правила преобразования структурных схем, сделаем обратную связь
по скорости единичной.
Рис. 4.4 Структурная схема двигателя с единичной обратной связью
Найдем
передаточную функцию 
,
используя формулу замыкания:

(4.22)
Обозначим

Тогда
получим
Раскроем
скобки в знаменателе дроби:

(4.23)
Приведем
передаточную функцию 
к
типовому виду, для этого разделим числитель, и знаменатель дроби на k :

(4.24)
Тогда
передаточная функция двигателя (4.24) электродвигателя с приведенным на его вал
моментом инерции J нагрузки и c учетом того, что корни
знаменателя при всех численных значениях являются действительными числами ,
принимает следующий вид:

(4.25)
Здесь
Т1Т2=
, Т1+Т2=

.
При
условии, что Т2>>Т1 передаточная функция электродвигателя принимает более
простой вид:

(4.26)
где
Тм= 
-
механическая постоянная времени двигателя вместе с приведенным к его валу
моментом инерции нагрузки J.
4.2.2 Структурная схема следящего электропривода
Функциональная
схема следящего электропривода приведена на рис. 4.5.
Рис. 4.5 Функциональная схема следящего электропривода
На функциональной схеме введены следующие обозначения:
ТГ - тахогенератор; Д - двигатель; УН, УМ - усилитель напряжения и
мощности.
С учетом передаточных функций отдельных элементов по функциональной схеме
составим структурную схему следящего электропривода (рис. 4.6).
Рис. 4.6 Структурная схема следящего электропривода
С учетом ранее проведенных преобразований структурной схемы
электродвигателя получим следующую упрощенную структурную схему следящего
электропривода.
Рис. 4.7 Упрощенная структурная схема следящего электропривода
.3 Определение передаточных функций системы
.3.1 Определение передаточной функции двигателя
Данные двигателя ДПР-72-Ф1-03М3:
- активное сопротивление якоря двигателя Rя=16 Ом;
индуктивное сопротивление якоря двигателя Lя=0,314 Гн;
ток якоря Iя=1,3 А;
электромеханическая постоянная времени Тдв=25 мкс.
Передаточная функция двигателя имеет вид

(4.27)
где
Тм= 
-
механическая постоянная времени двигателя, зависящая от приведенного момента
инерции нагрузки J. Тя - электромагнитная постоянная времени, kд -
коэффициент передачи двигателя. Таким образом, нахождение передаточной функции
сводится к нахождению Тя , Тм и kд.
1. Найдем сначала электромагнитную передаточную функцию двигателя:
Электромагнитная постоянная времени определяется по формуле

Тогда
электромагнитная передаточная функция будет иметь вид:
2. Найдем коэффициент передачи электродвигателя.
Для этого определим коэффициент противо - ЭДС:

(4.28)
Тогда
коэффициент передачи электродвигателя:

(4.29)
3. Найдем механическую постоянную времени Тм по формулам (4.27).
Тм
= Тм= 
0,575 с.
Таким
образом, механическая передаточная функция двигателя имеет следующий вид:
4.3 2 Передаточная функция редуктора
Передаточная функция редуктора является коэффициентом обратно
пропорциональным передаточному числу редуктора:
4.3.3. Передаточная функция усилителей
напряжения и мощности
Передаточная функция усилителей напряжения и мощности будет коэффициентом
усиления kус= kунkум. Данный
коэффициент будет установлен в ходе моделирования.
5. ИССЛЕДОВАНИЕ ДИНАМИКИ СЛЕДЯЩЕГО ЭЛЕКТРОПРИВОДА
5.1 Составление структурной схемы системы
моделирования
Задача сводится к подбору коэффициента kобщ= k тгkунkум, чтобы система была устойчива и
время переходного процесса было минимально.
Определить коэффициент можно с помощью пакета прикладных программ Matlаb
6.5\ Simulink.
Для этого в разделе Simulink строится структурная схема (рисунок 5.1),
коэффициент усиления устанавливается kобщ = 1 и строится переходный процесс.
Рис. 5.1 Структурная схема системы, построенная с помощью пакета
прикладных программ Matlab
Принимаем общий коэффициент усиления равным 14.29. Получим переходный
процесс, показанный на рисунке 5.2.
Рис. 5.2. График переходного процесса не корректированной системы
По графику переходного процесса видно, что он является колебательным и
система переходит в установившееся состояние. При этом при воздействии 1 рад/с
установившееся ошибка имеет маленькую величину, равную 0,07рад/с.
Время переходного процесса определяется временем, за которое процесс
входит в 5% диапазон установившегося значения. По рис. 5.2 видно, что время
переходного процесса равно 4с, что не удовлетворяет техническому заданию.
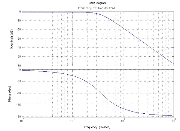
Проведем исследование на устойчивость, построив ЛАФЧХ разомкнутой
системы.
Рис. 5.3 ЛАФЧХ разомкнутого электропривода
5.2 Исследование скорректированной системы
Для улучшения работы системы введем корректирующее звено первого порядка
и заново определим коэффициенты системы.
Сделаем это используя пакет прикладных программ Matlab-SISO Design Tool.
Выбираем
тип корректирующего звена -
.
С
учетом выбранного корректирующего звена и коэффициентов усиления построим
структурную схему, изброженную на рисунке для дальнейшего исследования.
Рис.
5.4 Структурная схема системы с корректирующим звеном
Получаем
график переходного процесса этой системы с помощью Mathlab 6.5\ Toolboxes\Control System\LTI Viewer.
Рис.
5.5 Переходный процесс скорректированной системы
По
виду переходного процесса видно, что колебания являются затухающими и система
переходит в установившейся режим (при единичном ступенчатом воздействии система
стремится к единице).
Время
переходного процесса определяется временем, за которое процесс входит в 5%
диапазон установившегося значения. По рис. 5.5 видно, что установившимся
значением является значение 0,4 с, что удовлетворяет техническому заданию.
Проводим
исследование системы на устойчивость по критерию Найквиста с помощью пакета
прикладных программ Matlab.
Рис
5.6 Годограф Найквиста для определения устойчивости электропривода летательного
аппарата
Как
видно из диаграммы, система является устойчивой, так как она проходит далеко от
точки (-1; j0).
Для
нормального устойчивого функционирования любая система автоматического
регулирования должна быть достаточно удалена от границы устойчивости и иметь
достаточный запас по устойчивости.
Определим
запас устойчивости по ЛАФЧХ разомкнутого электропривода.
Рис. 6.8 ЛАФЧХ следящего электропривода (разомкнутая) с полученным
корректирующим звеном.
Запас по фазе составляет 44 град., что удовлетворяет требованиям к САУ.
Запас по амплитуде не определяется , т.к. фазовая характеристика не пересекает
-180 град.
ЗАКЛЮЧЕНИЕ
В данной курсовой работе были решены следующие задачи:
1. Составлены уравнения следящего электропривода по
заданному в ТЗ виду его принципиальной схемы .
2. Выбраны основные элементы электропривода.
. Составлена структурная схема и определены
передаточные функции элементов электропривода.
. Определен общий коэффициент передачи и
параметры корректирующего звена.
. Исследована устойчивость и определены запасы
устойчивости электропривода.
В результате проведенного исследования установлено,
что следящий электропривод устойчив, запас устойчивости по фазе составляет 44
град., время переходного процесса 0,4 с, установившаяся ошибка отработки
угловой скорости 1 рад/с составляет 0,05 рад. Это соответствует заданию на
проектирование.
СПИСОК ИСПОЛЬЗУЕМЫХ ИСТОЧНИКОВ
1. Ганэ В. А. , Степанов В.Л. Расчет следящих систем: Справ. пособие.-
Минск, Высш. шк., 1990.
2. Беляев Н. И. Нагорский В. Д. М. Выбор двигателя и редуктора следящих
систем, «Машиностроение», 1972, 216 с.
3. Васильев Д. В., Митрофанов Б. А. Проектирование и расчет следящих
систем. 1964.
4. Следящие приводы. В 3 т. под ред. Б.К. Чемоданова.- Т. 1, 2:
Электрические следящие приводы. - М., Изд-во МГТУ им. Баумана, 2003.
. Л. С. Гольдфарб, А. В. Балтрушевич. Теория автоматического управления.
Под ред. проф. А. В. Нетушила. 1967, 424с.