Привод механический

  • Вид работы:
    Курсовая работа (т)
  • Предмет:
    Другое
  • Язык:
    Русский
    ,
    Формат файла:
    MS Word
    63,43 Кб
  • Опубликовано:
    2013-10-18
Вы можете узнать стоимость помощи в написании студенческой работы.
Помощь в написании работы, которую точно примут!

Привод механический

 


 

 

 

 

 

 

 

 

 

 

 

Привод механический

.       
Энерго-кинематический расчет привода

1.1 Кинематическая схема привода


I - быстроходный вал червячной передачи (быстроходной передачи);

II - промежуточный вал редуктора (тихоходный вал быстроходной передачи, быстроходный вал тихоходной передачи);

III - тихоходный вал (тихоходной передачи);

, 2 - червяк и колесо быстроходной передачи;

, 4 - шестерни и колесо тихоходной передачи;

, 6 - ведущий и ведомый шкивы ременной передачи;

- электродвигатель;

- муфта.

1.2    КПД привода, выбор электродвигателя

КПД привода:


- КПД зубчатой передачи, принимаем: . [1, табл. 1.1, стр. 5];

КПД ременной передачи, принимаем: .

КПД червячной передачи, принимаем: .

КПД подшипников качения, принимаем: .

КПД смазки, принимаем: .

.


Мощность на валах привода определяется по формуле:

,


По таблице выбираем:



Технические характеристики электродвигателя:

Тип двигателя

Мощность, кВт

Частота вращения, мин-1

Мпускном

Мmaxном

4А71А4

0.55

1390

2.0

2.2


1.3   
Общее передаточное число, передаточные числа передач

Передаточное число привода:

.




Передаточное число тихоходной передачи:


Для рациональной разбивки передаточное число быстроходной червячной передачи определяем по формуле:


Уточняем передаточное число тихоходной передачи:

 

1.4    Частоты вращения валов, вращающие моменты и мощности

Мощность на входном валу:

 Вт

Мощность на промежуточном валу:

 Вт.

Угловая скорость входного вала:

рад/с.

Частота вращения входного вала:

 об/мин.

Крутящий момент на входном валу:

 Н∙м

Угловая скорость промежуточного вала:

рад/с.

Частота вращения промежуточного вала:

 об/мин.

Крутящий момент на промежуточном валу:

 Н∙м

Угловая скорость на валу электродвигателя:

рад/с.

Крутящий момент электродвигателя:

 Н∙м

Рассмотрим случай 2:

рад/с.

 об/мин.

 Н∙м

Рассмотрим случай 3:

рад/с.

 об/мин.

 Н∙м

2.     
Проектирование передач

2.1    Расчет ременной передачи

2.1.1 Исходные данные для расчета

Исходные данные для расчета ременной передачи (проектный расчет)

№ п/п

Наименование параметра

Размерность

Варианты расчета







Экран 1 (эксплуатационные параметры)

1

Требуемый ресурс

час

5000



2

Частота вращения быстроходного вала передачи

об/мин

1390



3

Номинальный вращающий момент на быстроходном валу передачи

Нм

3.6



4

Передача (нереверс.)

-

+



5

Режим нагружения

-

1



Экран 2 (конструктивные параметры)

6

Тип ремня (из меню)

норм. клиновой

-

+





узкий клиновой

-

-





поликлиновой

-

-



7

Сечение (из меню)

-

0



8

Регулировка (из меню)

периодическая

-

+





автоматическая

-

-



9

Передаточное число

-

1.6



10

Межосевое расстояние

мм

287




2.1.2 Результаты расчета

ПРОЕКТНЫЙ РАСЧЕТ КЛИНОРЕМЕННОЙ ПЕРЕДАЧИ

ЧАСТОТА ВРАЩЕНИЯ б.ход. вала 1390.0 об./мин. РЕСУРС ПЕРЕДАЧИ 5000 ч

ВРАЩАЮЩИЙ МОМЕНТ на б.ход. валу 3.6 Н*м ПЕРЕДАЧА нереверсивная

РЕЖИМ НАГРУЖЕНИЯ типовая циклограмма нагружения №1 КОЭФФ. ПЕРЕГР. 2.20

ТИПОРАЗМЕР СЕЧЕНИЯ ремней 0 РАСЧЕТНАЯ ДЛИНА 900 мм

КОЛИЧЕСТВО РЕМНЕЙ в комплекте (или ребер поликлинового ремня) 2

РЕГУЛИРОВКА НАТЯЖЕНИЯ РЕМНЕЙ периодическая

РЕСУРС комплекта ремней 2000 ч МАССА комплекта ремней 0.11 кг

КОЛИЧЕСТВО КОМПЛЕКТОВ ремней на весь срок службы передачи 3

ПЕРЕДАТОЧНОЕ ОТНОШЕНИЕ 1.60 МЕЖОСЕВОЕ РАССТОЯНИЕ 306 (+ 17/ - 6) мм

РАСЧЕТНЫЕ ДИАМЕТРЫ шкивов [мм]: меньшего 71 большего 112

ШИРИНА шкивов 28 мм УСЛОВНЫЙ ОБЪЕМ шкивов 387 куб. см

СИЛА, действующая на валы [Н]: в покое 203 при работе передачи 199

СИЛА предварительного натяжения комплекта ремней 102 Н

ПОЛЕЗНЫЕ НАПРЯЖЕНИЯ В РЕМНЕ [МПа]: расчетные 1.11 допускаемые 1.83

2.2 Расчет червячной передачи редуктора

2.2.1 Исходные данные для расчета

№ п/п

Наименование параметра

Размерность параметра

Значение параметра (варианты)

Экран 1 (Эксплуатационные параметры)

1

Ресурс передачи

час

5000

2

Частота вращения вала червячн. колеса

об/мин

12

15

18

3

Вращающий момент на червячном колесе

Н·м

313

252

210

4

Передача (нереверсивная)

-

нереверсивная

5

Режим нагружения

-

1

Экран 2 (Технологические и конструктивные параметры)

6

Степень точности

-

8

8

8

7

Твердость поверхности витков червяка

-

56…63

8

Материал венца червячного колеса

-

Бронза оловянная

9

Способ отливки

-

кокиль

10

Передаточное число передачи

-

72

58

48

11

Межосевое расстояние (произвольное, по ГОСТ 2144-76, заданное)

-

произвольное

12

Прогиб червяка допускаемый (относит.)

-

0.005


2.2.2 Результаты расчета

Вариант 1

ПРОЕКТНЫЙ РАСЧЕТ ЧЕРВЯЧНОЙ ПЕРЕДАЧИ

ЧАСТОТА ВРАЩЕНИЯ вала колеса 12.0 об./мин. РЕСУРС ПЕРЕДАЧИ 5000 ч

ВРАЩАЮЩИЙ МОМЕНТ на валу колеса 313.0 Н*м ПЕРЕДАЧА нереверсивная

РЕЖИМ НАГРУЖЕНИЯ типовая циклограмма нагружения №1 КОЭФФ. ПЕРЕГР. 2.20

ТВЕРДОСТЬ поверхности витков червяка 56…63 HRCэ СТЕПЕНЬ ТОЧНОСТИ 8

МАТЕРИАЛ венца червячного колеса бронза Бр О10Ф1, отливка в кокиль

ЧИСЛО ЗАХОДОВ червяка 1

ЧИСЛО ЗУБЬЕВ червячного колеса 72.00

ПЕРЕДАТОЧНОЕ ЧИСЛО 72.00

МОДУЛЬ ОСЕВОЙ [мм] 2.50

МЕЖОСЕВОЕ РАССТОЯНИЕ [мм] 110.00

КОЭФФИЦИЕНТ ПОЛЕЗНОГО ДЕЙСТВИЯ 0.60

КОЭФФИЦИЕНТ СМЕЩЕНИЯ ЧЕРВЯКА 0.000

КОЭФФИЦИЕНТ ДИАМЕТРА ЧЕРВЯКА 16.00

ДИАМЕТР ЧЕРВЯКА [мм]: делительный 40.00

вершин 45.00

впадин 34.00

ДЛИНА НАРЕЗАННОЙ ЧАСТИ ЧЕРВЯКА [мм] 63

ДИАМЕТР КОЛЕСА [мм]: делительный 180.00

вершин 185.00

наибольший 190.00

ШИРИНА ЗУБЧАТОГО ВЕНЦА КОЛЕСА [мм] 33.75

УСЛОВНЫЙ ОБЪЕМ ВЕНЦА КОЛЕСА [куб. см] 257ИЛЫ В ЗАЦЕПЛЕНИИ [Н]: окружная червяка 362

окружная колеса 3478

радиальная 1266

ОКРУЖНАЯ СКОРОСТЬ ЧЕРВЯКА [м/с] 1.8

СКОРОСТЬ СКОЛЬЖЕНИЯ [м/с] 1.8

КОНТАКТНЫЕ НАПРЯЖЕНИЯ [МПа]:

при расчете на выносливость расчетные 234

допускаемые 348

при расчете на прочность расчетные 347

допускаемые 600

ИЗГИБНЫЕ НАПРЯЖЕНИЯ В ЗУБЬЯХ КОЛЕСА [МПа]:

при расчете на выносливость расчетные 37

допускаемые 54

при расчете на прочность расчетные 82

допускаемые 120

ПРОГИБ ЧЕРВЯКА [мм] расчетный 0.010

допускаемый 0.012

Вариант 2

ПРОЕКТНЫЙ РАСЧЕТ ЧЕРВЯЧНОЙ ПЕРЕДАЧИ

ЧАСТОТА ВРАЩЕНИЯ вала колеса 15.0 об./мин. РЕСУРС ПЕРЕДАЧИ 5000 ч

ВРАЩАЮЩИЙ МОМЕНТ на валу колеса 252.0 Н*м ПЕРЕДАЧА нереверсивная

РЕЖИМ НАГРУЖЕНИЯ типовая циклограмма нагружения №1 КОЭФФ. ПЕРЕГР. 2.20

ТВЕРДОСТЬ поверхности витков червяка 56…63 HRCэ СТЕПЕНЬ ТОЧНОСТИ 8

МАТЕРИАЛ венца червячного колеса бронза Бр О10Ф1, отливка в кокиль

ЧИСЛО ЗАХОДОВ червяка 1 2

ЧИСЛО ЗУБЬЕВ червячного колеса 58.00 116.00

ПЕРЕДАТОЧНОЕ ЧИСЛО 58.00 58.00

МОДУЛЬ ОСЕВОЙ [мм] 2.50 2.50

МЕЖОСЕВОЕ РАССТОЯНИЕ [мм] 92.50 170.00

КОЭФФИЦИЕНТ ПОЛЕЗНОГО ДЕЙСТВИЯ 0.60 0.73

КОЭФФИЦИЕНТ СМЕЩЕНИЯ ЧЕРВЯКА 0.000 0.000

КОЭФФИЦИЕНТ ДИАМЕТРА ЧЕРВЯКА 16.00 20.00

ДИАМЕТР ЧЕРВЯКА [мм]: делительный 40.00 50.00

вершин 45.00 55.00

впадин 34.00 44.00

ДЛИНА НАРЕЗАННОЙ ЧАСТИ ЧЕРВЯКА [мм] 61 70

ДИАМЕТР КОЛЕСА [мм]: делительный 145.00 290.00

вершин 150.00 295.00

наибольший 155.00 298.75

ШИРИНА ЗУБЧАТОГО ВЕНЦА КОЛЕСА [мм] 33.75 41.25

УСЛОВНЫЙ ОБЪЕМ ВЕНЦА КОЛЕСА [куб. см] 206 486

CИЛЫ В ЗАЦЕПЛЕНИИ [Н]: окружная червяка 362 238

окружная колеса 3476 1738

радиальная 1265 633

ОКРУЖНАЯ СКОРОСТЬ ЧЕРВЯКА [м/с] 1.8 2.3

СКОРОСТЬ СКОЛЬЖЕНИЯ [м/с] 1.8 2.3

КОНТАКТНЫЕ НАПРЯЖЕНИЯ [МПа]:

при расчете на выносливость расчетные 260 117

допускаемые 338 325

при расчете на прочность расчетные 386 173

допускаемые 600 600

ИЗГИБНЫЕ НАПРЯЖЕНИЯ В ЗУБЬЯХ КОЛЕСА [МПа]:

при расчете на выносливость расчетные 38 14

допускаемые 52 52

при расчете на прочность расчетные 85 31

допускаемые 120 120

ПРОГИБ ЧЕРВЯКА [мм] расчетный 0.005 0.008

допускаемый 0.012 0.012

Вариант 3

ПРОЕКТНЫЙ РАСЧЕТ ЧЕРВЯЧНОЙ ПЕРЕДАЧИ

ЧАСТОТА ВРАЩЕНИЯ вала колеса 18.0 об./мин. РЕСУРС ПЕРЕДАЧИ 5000 ч

ВРАЩАЮЩИЙ МОМЕНТ на валу колеса 210.0 Н*м ПЕРЕДАЧА нереверсивная

РЕЖИМ НАГРУЖЕНИЯ типовая циклограмма нагружения №1 КОЭФФ. ПЕРЕГР. 2.20

ТВЕРДОСТЬ поверхности витков червяка 56…63 HRCэ СТЕПЕНЬ ТОЧНОСТИ 8

МАТЕРИАЛ венца червячного колеса бронза Бр О10Ф1, отливка в кокиль

ЧИСЛО ЗАХОДОВ червяка 1 2

ЧИСЛО ЗУБЬЕВ червячного колеса 48.00 96.00

ПЕРЕДАТОЧНОЕ ЧИСЛО 48.00 48.00

МОДУЛЬ ОСЕВОЙ [мм] 2.50 2.00

МЕЖОСЕВОЕ РАССТОЯНИЕ [мм] 75.63 116.00

КОЭФФИЦИЕНТ ПОЛЕЗНОГО ДЕЙСТВИЯ 0.63 0.70

КОЭФФИЦИЕНТ СМЕЩЕНИЯ ЧЕРВЯКА 0.000 0.000

КОЭФФИЦИЕНТ ДИАМЕТРА ЧЕРВЯКА 12.50 20.00

ДИАМЕТР ЧЕРВЯКА [мм]: делительный 31.25 40.00

вершин 36.25 44.00

впадин 25.25 35.20

ДЛИНА НАРЕЗАННОЙ ЧАСТИ ЧЕРВЯКА [мм] 60 59

ДИАМЕТР КОЛЕСА [мм]: делительный 120.00 192.00

вершин 125.00 196.00

наибольший 130.00 199.00

ШИРИНА ЗУБЧАТОГО ВЕНЦА КОЛЕСА [мм] 27.19 33.00

УСЛОВНЫЙ ОБЪЕМ ВЕНЦА КОЛЕСА [куб. см] 137 224ИЛЫ В ЗАЦЕПЛЕНИИ [Н]: окружная червяка 444 312

окружная колеса 3500 2188

радиальная 1274 796

ОКРУЖНАЯ СКОРОСТЬ ЧЕРВЯКА [м/с] 1.4 1.8

СКОРОСТЬ СКОЛЬЖЕНИЯ [м/с] 1.4 1.8

КОНТАКТНЫЕ НАПРЯЖЕНИЯ [МПа]:

при расчете на выносливость расчетные 325 180

допускаемые 343 331

при расчете на прочность расчетные 482 267

допускаемые 600 600

ИЗГИБНЫЕ НАПРЯЖЕНИЯ В ЗУБЬЯХ КОЛЕСА [МПа]:

при расчете на выносливость расчетные 51 28

допускаемые 51 51

ПРОГИБ ЧЕРВЯКА [мм] расчетный 0.009 0.007

допускаемый 0.012 0.010

2.3 Расчет зубчатых передач редуктора

2.3.1 Исходные данные для расчета

Наименование параметра

Размерность

Варианты расчета


Экран 1 (Эксплуатационные параметры)

1

Требуемый ресурс

час

5000

2

Частота вращения быстроходного вала передачи

об/мин

-

-

-

12

15

18

3

Номинальный вращающий момент на быстроходном валу передачи

Нм

-

-

-

313

252

210

4

Передача (реверс., нереверс.)

-

нереверсивная

5

Режим нагружения

-

1

Экран 2 (Технологические параметры)

6

Степень точности

-

-

-

-

9

9

9

7

Шестерня

Термообработка

-

-

-

-

нитроцементация

8

Материал (из меню)

-

-

-

-

25ХГМ

9

Твердость поверхности зубьев

-

-

-

-

62

62

62

10

Заготовка

-

-

-

-

Поковка

11

Колесо

Термообработка

-

-

-

-

Нитроцементация

12

Материал (из меню)

-

-

-

-

25ХГМ

13

Твердость поверхности зубьев

-

-

-

-

57

57

57

14

Заготовка

-

-

-

-

поковка

Экран 3 (Конструктивные параметры)

15

Схема передачи (из меню)

-

-

-

-

5

5

5

16

Передаточное число

-

-

-

-

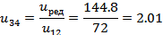
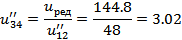
2.01

2.49

3.02

17             Межосевое расстояние aw, или относит. ширина венца ybd,мм

---125

0.4108

0.4-

0.4








18

Ряд модулей (1 или 2 из меню)

-

-

-

-

1

1

1

19

Угол наклона зубьев

град

-

-

-

13

13

13

20

Коэффициент смещения: а. Передача без смещения б. по ГОСТ 16532-70

-

-

-

-

а

а

а


2.3.2 Результаты расчетов

Вариант 1

ПРОЕКТНЫЙ РАСЧЕТ ЦИЛИНДРИЧЕСКОЙ ПЕРЕДАЧИ

ЧАСТОТА ВРАЩЕНИЯ б.ход. вала 12.0 об./мин. РЕСУРС ПЕРЕДАЧИ 5000 ч

ВРАЩАЮЩИЙ МОМЕНТ на б.ход. валу 313.0 Н*м ПЕРЕДАЧА нереверсивная

РЕЖИМ НАГРУЖЕНИЯ типовая циклограмма нагружения №1 КОЭФФ.ПЕРЕГР.2.20

ШЕСТЕРНЯ: поковка сталь 25ХГМ ТО нитроцементация ТВЕРДОСТЬ 62 HRCэ

КОЛЕСО: поковка сталь 25ХГМ ТО нитроцементация ТВЕРДОСТЬ 57 HRCэ

СХЕМА ПЕРЕДАЧИ 5 СТЕПЕНЬ ТОЧНОСТИ 9

МОДУЛЬ 2.500 мм МЕЖОСЕВОЕ РАССТОЯНИЕ 125.000 мм

ЧИСЛО ЗУБЬЕВ: шестерни 32 колеса 65 ПЕРЕДАТОЧНОЕ ЧИСЛО 2.03

УГОЛ НАКЛОНА ЗУБЬЕВ [град. мин. сек.] 14 04 12

КОЭФФИЦИЕНТ СМЕЩЕНИЯ: шестерни 0.000 колеса 0.000 суммарный 0.000

ШИРИНА ЗУБЧАТОГО ВЕНЦА [мм]: шестерни 21.0 колеса 16.0

ОТНОСИТ. ШИРИНА ЗУБЧАТОГО ВЕНЦА: в долях d1 0.194 в долях aw 0.128

КОЭФФИЦИЕНТ ПЕРЕКРЫТИЯ: торцового 1.66 осевого 0.50 суммарный 2.15ИЛЫ В ЗАЦЕПЛЕНИИ [Н]: окружная 7590 радиальная 2848 осевая 1902

ДИАМЕТР ШЕСТЕРНИ [мм]: делительный 82.474 вершин 87.47 впадин 76.22

ДИАМЕТР КОЛЕСА [мм]: делительный 167.526 вершин 172.53 впадин 161.28

УСЛОВНЫЙ ОБЪЕМ КОЛЕС 359 куб. см ОКРУЖНАЯ СКОРОСТЬ 0.05 м/с

|НАПРЯЖЕНИЯ |при расчете на контактную | при расчете на изгибную |

| [МПа] |выносливость| прочность | выносливость | прочность |

| | | |шестер. колесо|шестер. колесо|

| расчетные | 1222 | 1813 | 640 608 | 1408 1338 |

|допускаемые| 1770 | 2508 | 700 758 | 1429 1429 |

КОЭФ-ТЫ:нагрузки Kh 1.18 Kf 1.36 долговечн. Zn 1.80 1.80 Yn 1.07 1.16

Вариант 2

ПРОЕКТНЫЙ РАСЧЕТ ЦИЛИНДРИЧЕСКОЙ ПЕРЕДАЧИ

ЧАСТОТА ВРАЩЕНИЯ б.ход. вала 15.0 об./мин. РЕСУРС ПЕРЕДАЧИ 5000 ч

ВРАЩАЮЩИЙ МОМЕНТ на б.ход. валу 252.0 Н*м ПЕРЕДАЧА нереверсивная

РЕЖИМ НАГРУЖЕНИЯ типовая циклограмма нагружения №1 КОЭФФ.ПЕРЕГР.2.20

ШЕСТЕРНЯ: поковка сталь 25ХГМ ТО нитроцементация ТВЕРДОСТЬ 62 HRCэ

КОЛЕСО: поковка сталь 25ХГМ ТО нитроцементация ТВЕРДОСТЬ 57 HRCэ

СХЕМА ПЕРЕДАЧИ 5 СТЕПЕНЬ ТОЧНОСТИ 9

МОДУЛЬ 2.000 мм МЕЖОСЕВОЕ РАССТОЯНИЕ 108.000 мм

ЧИСЛО ЗУБЬЕВ: шестерни 30 колеса 75 ПЕРЕДАТОЧНОЕ ЧИСЛО 2.50

УГОЛ НАКЛОНА ЗУБЬЕВ [град. мин. сек.] 13 32 11

КОЭФФИЦИЕНТ СМЕЩЕНИЯ: шестерни 0.000 колеса 0.000 суммарный 0.000

ШИРИНА ЗУБЧАТОГО ВЕНЦА [мм]: шестерни 25.0 колеса 21.0

ОТНОСИТ. ШИРИНА ЗУБЧАТОГО ВЕНЦА: в долях d1 0.340 в долях aw 0.194

КОЭФФИЦИЕНТ ПЕРЕКРЫТИЯ: торцового 1.67 осевого 0.78 суммарный 2.45ИЛЫ В ЗАЦЕПЛЕНИИ [Н]: окружная 8167 радиальная 3057 осевая 1966

ДИАМЕТР ШЕСТЕРНИ [мм]: делительный 61.714 вершин 65.71 впадин 56.71

ДИАМЕТР КОЛЕСА [мм]: делительный 154.286 вершин 158.29 впадин 149.29

УСЛОВНЫЙ ОБЪЕМ КОЛЕС 350 куб. см ОКРУЖНАЯ СКОРОСТЬ 0.05 м/с

|НАПРЯЖЕНИЯ |при расчете на контактную | при расчете на изгибную |

| [МПа] |выносливость| прочность | выносливость | прочность |

| | | |шестер. колесо|шестер. колесо|

| расчетные | 1194 | 1771 | 641 601 | 1410 1322 |

|допускаемые| 1770 | 2508 | 694 769 | 1429 1429 |

КОЭФ-ТЫ:нагрузки Kh 1.18 Kf 1.37 долговечн. Zn 1.80 1.80 Yn 1.04 1.16

Вариант 3

ПРОЕКТНЫЙ РАСЧЕТ ЦИЛИНДРИЧЕСКОЙ ПЕРЕДАЧИ

ЧАСТОТА ВРАЩЕНИЯ б.ход. вала 18.0 об./мин. РЕСУРС ПЕРЕДАЧИ 5000 ч

ВРАЩАЮЩИЙ МОМЕНТ на б.ход. валу 210.0 Н*м ПЕРЕДАЧА нереверсивная

РЕЖИМ НАГРУЖЕНИЯ типовая циклограмма нагружения №1 КОЭФФ. ПЕРЕГР.2.20

ШЕСТЕРНЯ: поковка сталь 25ХГМ ТО нитроцементация ТВЕРДОСТЬ 62 HRCэ

КОЛЕСО: поковка сталь 25ХГМ ТО нитроцементация ТВЕРДОСТЬ 57 HRCэ

СХЕМА ПЕРЕДАЧИ 5 СТЕПЕНЬ ТОЧНОСТИ 9

МОДУЛЬ 2.000 мм МЕЖОСЕВОЕ РАССТОЯНИЕ 107.000 мм

ЧИСЛО ЗУБЬЕВ: шестерни 26 колеса 78 ПЕРЕДАТОЧНОЕ ЧИСЛО 3.00

УГОЛ НАКЛОНА ЗУБЬЕВ [град. мин. сек.] 13 35 59

КОЭФФИЦИЕНТ СМЕЩЕНИЯ: шестерни 0.000 колеса 0.000 суммарный 0.000

ШИРИНА ЗУБЧАТОГО ВЕНЦА [мм]: шестерни 25.0 колеса 21.0

ОТНОСИТ. ШИРИНА ЗУБЧАТОГО ВЕНЦА: в долях d1 0.393 в долях aw 0.196

КОЭФФИЦИЕНТ ПЕРЕКРЫТИЯ: торцового 1.65 осевого 0.79 суммарный 2.44ИЛЫ В ЗАЦЕПЛЕНИИ [Н]: окружная 7850 радиальная 2940 осевая 1899

ДИАМЕТР ШЕСТЕРНИ [мм]: делительный 53.500 вершин 57.50 впадин 48.50

ДИАМЕТР КОЛЕСА [мм]: делительный 160.500 вершин 164.50 впадин 155.50

УСЛОВНЫЙ ОБЪЕМ КОЛЕС 354 куб. см ОКРУЖНАЯ СКОРОСТЬ 0.05 м/с

|НАПРЯЖЕНИЯ |при расчете на контактную | при расчете на изгибную |

| [МПа] |выносливость| прочность | выносливость | прочность |

| | | |шестер. колесо|шестер. колесо|

| расчетные | 1241 | 1840 | 650 599 | 1430 1317 |

|допускаемые| 1770 | 2508 | 680 769 | 1429 1429 |

КОЭФ-ТЫ:нагрузки Kh 1.20 Kf 1.42 долговечн. Zn 1.79 1.80 Yn 1.02 1.16

Проверка наличия зазора между колесом быстроходной передачи и тихоходным валом:


где атп - межосевое расстояние тихоходной передачи;

атп.min - минимальное, возможное по условию сборки, межосевое расстояние тихоходной передачи;

da2 - диаметр вершин колеса быстроходной передачи.

привод зубчатый механический электродвигатель


где dIII - диаметр тихоходного вала.


Вариант 1


 - в результате расчета передачи принимали это межосевое расстояние, т. к. при ybd =0,4 межосевое расстояние, которое выдала программа привело бы к наезжанию зубчатого колеса на вал

Вариант 2

 в результате расчета передачи принимали это межосевое расстояние, т. к. при ybd =0,4 межосевое расстояние, которое выдала программа привело бы к наезжанию зубчатого колеса на вал

Вариант 3



2.4 Анализ результатов расчетов

Таблица сравнительного анализа вариантов расчета передач

Критерий оценки вариантов

Рациональное значение критерия

Варианты расчета

Определяет

Примечание



1

2

3



w

минимальное

235

200,5

182,63

Габариты и массу редуктора

Для всех передач

Габариты передач(НхL)

минимальное

213,76х 298,76

189,64 х 257,64

171,51х 247,25

Габариты

Для всех передач

ybd

³ 0,20

0.4

0.34

0.4

Технологичность колес

Для передач, рассчитываемых по аw

SVколес

минимальное

359

350

354

Материалоемкость колес

Для всех передач

ДТк / ДБк

ДТк ³ ДБк

172.53 /190

158.29 /155

164.5 /130

Смазываемость колес окунанием

Для колес горизонт. расположения

Vчк

минимальное

257

206

137

Материалоемкость колес, стоимость

Для червячных передач



Выберем третий вариант расчета из-за малости габаритного размера редуктора и малого условного объема червячного колеса.

Литература

1. Иванов М.Н. Детали машин. - М.: Машиностроение, 1991

. Макаров Ю.Н. и др. Детали машин. - СПб.: Справочные материалы СПбГТУ, 1995

. Чернавский С.А. и др. Курсовое проектирование деталей машин. - М.: Машиностроение, 1988

4. Дунаев П.Ф. Леликов О.П. Конструирование узлов и деталей машин. - М.: Высш. шк., 1998.

Похожие работы на - Привод механический

 

Не нашли материал для своей работы?
Поможем написать уникальную работу
Без плагиата!
Без нейросетей!