|
Зубчатое
колесо
|
Марка
стали
|
Термообработка
|
Твердость
сердце- вины HB, кгс/мм2
|
|
Шестерня
|
40ХН
|
улучшение
|
300
|
|
Колесо
|
40ХН
|
нормализация
|
250
|
2.2 Определение геометрических
параметров конической передачи редуктора
Параметры зубчатой конической передачи с прямыми
зубьями определяем в соответствии с ГОСТ 19624-74. Зацепление передачи -
эвольвентное, без смещения. Для зубчатых колес принимаем 7-ю степень точности
по нормам плавности.
Рис. 2. Зубчатая коническая передача
Начальный средний диаметр
где T1
- вращающий момент на входном валу, Н∙м;
- коэффициент
неравномерности распределения нагрузки по длине контактных линий (Рис. 3),
принимаем в зависимости от коэффициента зубчатого венца по делительному
среднему диаметру шестерни
,
.
Рис. 3. Коэффициент неравномерности
распределения нагрузки по длине контактных линий
Uк - передаточное
число конической передачи редуктора;
- допускаемое
контактное напряжение, МПа,
где
-
предел контактной выносливости поверхностей зубьев колеса;
где
-
базовое число циклов напряжений, соответствующее пределу выносливости,
миллионов циклов,
, (3.5)
;
Nk2 -
суммарное число циклов напряжений, миллионов циклов,
где n2
- частота вращения выходного вала, об/мин;
Lh - ресурс
(долговечность) передачи, ч;
- коэффициент,
учитывающий шероховатость сопряженных поверхностей зубьев;
- коэффициент,
учитывающий влияние окружной скорости;
- коэффициент
безопасности зубчатых колес.
Так как
,
,
Число зубьев шестерни принимаем
Число зубьев колеса
, (3.7)
,
z2=52.
Угол наклона делительного конуса шестерни
, (3.8)
Угол наклона делительного конуса колеса
(3.9)
Средний модуль зубьев, мм,
, (20)
.
Ширина зубчатого венца, мм,
(21)
Внешний окружной делительный модуль зубьев, мм,
(22)
Значение m
округляем до ближайшего по ГОСТ 9563-60
.
Средний модуль, мм,
, (23)
.
Значение mm
не округляем.
Начальный средний диаметр шестерни, мм,
, (24)
.
Окружная скорость передачи, м/с,
, (25)
.
В соответствии с ГОСТ 13754-81 коэффициент
высоты головки зубьев ha*=1
и коэффициент радиального зазора C*=0,2.
Высота головок зубьев, мм,
, (26)
Высота ножек зубьев, мм,
, (27)
Высота зубьев, мм
(28)
Делительные диаметры колес, мм,
(29)
,
.
Внешние диаметры вершин и диаметры впадин:
для шестерни -
;
; (3.20)
;
;
для колеса -
;
; (3.21)
;
.
Внешнее конусное расстояние, мм,
(3.22)
Среднее делительное конусное расстояние, мм,
(3.23)
2.2.1 Проверочный расчет зубьев
колес на контактную прочность
Для проверки рабочих поверхностей зубьев на
контактную прочность необходимо определить рабочие контактные напряжения σН
и сравнить их с допускаемыми σНР.
Должно выполняться условие:
;
, (3.24)
где σН
- рабочее контактное напряжение, МПа;
KHβ -
коэффициент, учитывающий неравномерность распределения нагрузки по длине
контактных линий после приработки,
, (3.25)
где
-
коэффициент, учитывающий неравномерность распределения нагрузки по длине
контактных линий в начальный период работы передачи (таблица 4.3[1]),
;
KHω -
коэффициент, учитывающий приработку зубьев (таблица 4.4[1]),
;
;
;
.
Условие прочности рабочих поверхностей зубьев
выполняется.
2.2.2 Проверочный расчет зубьев
колес по напряжениям изгиба
Напряжения изгиба в зубьях шестерни, МПа,
, (3.26)
где YFS1
- коэффициент, учитывающий форму зуба шестерни и концентрацию напряжений
(таблица 4.5[1]),
;
KFβ -
коэффициент, учитывающий неравномерность распределения напряжений у основания
зубьев по ширине зубчатого венца,
,
;
KFV -
коэффициент, учитывающий внутреннюю динамику нагружения, связанную с ошибками
шагов зацепления шестерни и колеса (таблица 4.6[1]),
;
.
Допускаемое напряжение изгиба, МПа,
, (3.27)
где σF
lim b1
= 1.75HB1 - предел
выносливости при нулевом цикле напряжений,
;
YN1 -
коэффициент долговечности,
, (3.28)
где NFG=4∙106
- число циклов, соответствующее пределу кривой усталости;
Nk1 -
суммарное число циклов напряжений, миллионов циклов,
, (3.29)
,
так как Nk1≥
NFG - принимаем YN1
= 1;
YR=1 -
коэффициент учитывающий шероховатость переходной поверхности;
YA=1 -
коэффициент, учитывающий одностороннее приложение нагрузки;
SF=1,7 -
коэффициент запаса прочности;
.
Условие прочности по напряжениям изгиба,
,
выполняется.
Напряжения изгиба в зубьях колеса, МПа,
, (3.30)
где YFS2
- коэффициент, учитывающий форму зуба колеса и концентрацию напряжений (таблица
4.5[1]),
;
.
Допускаемое напряжение изгиба, МПа,
, (3.31)
где σF
lim b
= 1.75HB2 - предел
выносливости при нулевом цикле напряжений,
;
YN2 -
коэффициент долговечности,
, (3.32)
где Nk2
- суммарное число циклов напряжений, миллионов циклов,
, (3.33)
,
так как Nk1≥
NFG - принимаем YN1
= 0,478;
.
Условие прочности по напряжениям изгиба,
,
выполняется.
2.3 Ориентировочный расчет и
конструирование валов
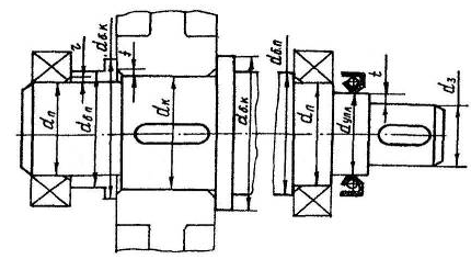
Входной вал
(3.34)
где T1
- вращающий момент на валу, Н∙мм;
[τk]
= 25 МПа - допускаемое напряжение кручения для среднеуглеродистых сталей 35,
40, 45.
.
Округлим диаметр d1
до ближайшего стандартного (таблица П.4[1]), мм,
.
Диаметр вала под уплотнение, мм,
, (3.35)
где t
- высота буртика (таблица П.5[1]),
;
.
По таблице П.6[1] - согласуем диаметр dупл
с диаметром уплотнения,
.
Диаметр вала под резьбу, мм,
, (3.36)
.
Размеры канавки под язычок стопорной шайбы
(таблица П.8[1]), мм,
,
,
,
.
Диаметр вала в месте посадки подшипника (Рис.
3.4) может быть равен диаметру резьбы, или несколько больше его, но кратен пяти
Рис. 4. Конструкция канавки под язычок стопорной
шайбы.
Диаметр вала, мм
,
.
Полученное значение d0
по таблице П.9[1] округляем до стандартного,
.
Диаметр буртика для упора подшипника со стороны
конической шестерни, мм,
(3.38)
где r
- координата фаски подшипника (таблица П.5[1]), мм,
,
.
Полученное значение по таблице П.9[1] округляем
до стандартного,
.
Для удержания шкива на валу с помощью гайки
имеется участок с резьбой диаметром dр.ш,
для которого должно выполняться условие:
. (3.39)
Значение dр.ш,
принимаем из таблицы П.10[1], мм
Рис. 5. Конструкция входного вала
Выходной вал
Диаметр концевого участка вала
где T2
- вращающий момент на валу, Н∙мм;
[τk]
= 25 МПа - допускаемое напряжение кручения для среднеуглеродистых сталей 35,
40, 45.
.
Округлим диаметр d1
до ближайшего стандартного (таблица П.4[1]), мм,
.
Диаметр вала под уплотнение, мм,
где t
- высота буртика (таблица П.5[1]),
.
По таблице П.6[1] - согласуем диаметр dупл
с диаметром уплотнения,
Диаметр вала в месте посадки подшипника может
быть равен диаметру резьбы, или несколько больше его, но кратен пяти:
.
Диаметр разделительного кольца со стороны
подшипника, мм,
где r
- координата фаски подшипника, определяемая по таблице П.5[1].
,
Значение dб. п округляем до стандартного,
Диаметр вала под колесом, мм,
.
Значение dк принимаем из таблицы П.9[1],
Диаметр разделительного кольца со стороны
колеса, мм,
где f - размер фаски (таблица П.5),
.
Значение dб.к
округляем до стандартного,
Рис. 6. конструкция выходного вала
2.4 Выбор подшипников
Подшипники качения выбираем из таблиц 24.15[2],
24.15[2] в зависимости от диаметров dп
валов.
Для входного вала подшипник 36208 ГОСТ 831-75 2
шт. d=40 мм, D=80
мм, B=18 мм, C0r=23,2
кН, Cr=38,9 кН.
Для выходного вала подшипник 36209 ГОСТ 831-75 2
шт. d=45 мм, D=85
мм, B=19 мм, C0r=25,1
кН, Cr=41,2 кН.
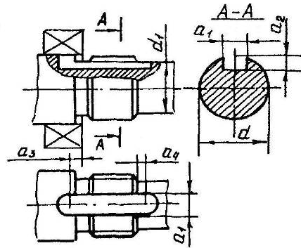
2.5 Конструирование зубчатых колес
Конструкция конических зубчатых колес с внешним
диаметром вершин зубьев dae≤120
мм показана на Рис. 3.3. Шестерню выполняем заодно с валом. Геометрические
размеры de1, dae1,
Re, b,
mte и конструктивные dп,
dб.п определены
ранее (пункт 3.2). На зубчатом венце выполняем фаску f≈0.5
mte, округлив до
стандартного значения по таблице П.11[1].
Форма конических колес с внешним диаметром
вершин зубьев dae>120 мм
показана на Рис. 3.6. Для определения конструктивных размеров используем
зависимости:
Полученные значения округляем до целых чисел:
Рис. 7. Конструкция зубчатого колеса.
2.6 Конструирование стакана
Конструкция стакана при установке подшипников по
схеме «врастяжку» представлена на Рис. 7. Стакан выполняем литым из чугуна СЧ
15.
Толщину стенки δ
по таблице П.12[1] принимаем в зависимости от диаметра D
отверстия под подшипник,
.
Остальные размеры определяем по формулам:
Диаметр d4
и число z винтов крепления
стакана к корпусу определяем из таблицы П.15[1],
,
Рис. 8. Конструкция стакана.
Высоту упорного буртика t=1,8
принимаем из таблицы П.13[1], в зависимости от размера фаски r
подшипника, установленного на валу.
Формы канавок стакана представлены на Рис. 8, а,
б, размеры из таблицы П.14[1]:
Рис. 8. Канавки стакана
2.7 Конструирование крышек
подшипников
Крышки подшипников изготавливают из чугуна марки
СЧ 15. Конструкция глухой крышки показана [1], с отверстием для выходного конца
вала. При конструировании крышек определяющим размером является диаметр D
отверстия в корпусе под подшипник. Толщина δ
стенки крышки, диаметр d4
и число z винтов крепления
крышки к корпусу берем из таблицы П.15[1]. Размеры других элементов крышек
определяем по формулам:
ы Dв и Dф для крышки входного вала принимаем
равными соответствующим диаметрам стакана.
Диаметр dм равен наружному диаметру манжеты, h
- высота манжеты, di
- диаметр выходного конца вала. Длина пояска с центрирующей цилиндрической
поверхностью, мм,
,
где b
- ширина канавки
.
В крышках с отверстием dв
для выхода вала предусматриваем два - три отверстия диаметром d0=4
мм для выталкивания изношенной манжеты.
Рис. 9. Конструкция крышек подшипников.
Для входного вала:
Для выходного вала:
2.8 Конструирование корпуса
редуктора
Для удобства монтажа деталей корпус обычно
выполняют разъемным. Плоскость разъема проходит через оси валов и делит корпус
на основание (нижнюю часть) и крышку (верхнюю часть).
Толщина стенки корпуса δк
и крышки δ1к редуктора, мм,
,
где Re - внешнее конусное расстояние конической
передачи, мм.
,
Толщина верхнего фланца основания корпуса
редуктора, мм,
,
Толщина нижнего фланца основания корпуса
редуктора, мм,
,
Толщина фланца крышки редуктора, мм,
,
Толщина ребер жесткости основания m и крышки m1
редуктора, мм:
,
.
Диаметр фундаментных болтов, мм,
,
Диаметр болтов у подшипников, мм,
,
Диаметр болтов соединяющих основание корпуса с
крышкой, мм,
,
Диаметр винтов d4 для крепления крышек
подшипников определен
Диаметр винтов, крепящих смотровую крышку, мм,
, (3.58)
.
Расстояния от наружной поверхности стенки
корпуса С1-С3 до осей болтов d1-d3 и ширины фланцев корпуса K1-K3 (Рис. 20,
лист 2, б, в) выбираем из таблицы П.16[1] в зависимости от диаметров болтов
d1-d3. Диаметры отверстий под болты принимаем на 1 мм больше диаметров болтов.
Расположение оси отверстия для болта диаметром
d2 определяем в зависимости от размера (Рис.20, лист 2, а, б),
,
.
Диаметр гнезда, мм,
,
Рис. 10. Конструкция корпуса редуктора.
Рис. 11. Конструкция корпуса редуктора.
2.9 Расчет валов на совместное
действие изгиба и кручения
механический привод
редуктор
Валы редуктора нагружены силами, действующими в
зацеплении передачи, и испытывают деформации изгиба и кручения. Для упрощения
расчетов принимаем, что все силы сосредоточенные, приложены в серединах венцов
зубчатых колес и направлены по нормалям к профилям зубьев в полюсах зацепления.
При расчете раскладываем их на составляющие, действующие вдоль координатных
осей. На Рис. 12 приведена схема редуктора и усилий, действующих в передаче.
Рис. 12. Схема усилий действующих в передаче.
Усилия, действующие в передачах, Н:
окружные -
(3.61)
где dωm2
- делительный диаметр колеса в среднем сечении зуба, м
;
осевые -
(3.63)
радиальные -
(3.64)
где α
= 20˚ - угол профиля делительный;
δ1, δ2
- углы делительных конусов шестерни и колеса.
Реакции в опорах вала (подшипниках) от сил,
действующих в плоскости XOZ
вдоль оси Z, Н:
;
Реакции в опорах вала (подшипниках) от сил,
действующих в плоскости XOY
вдоль осей X и Y,
Н:
;
;
Суммарные реакции, Н:
,
,
.
Изгибающие моменты и эпюры, обусловленные
силами, действующими в плоскости XOZ, Нм:
участок вала AB
-
участок вала BC
-

Изгибающие моменты и эпюры, обусловленные
силами, действующими в плоскости XOY,
Нм:
участок вала AB
-
участок вала BC
-
Суммарный изгибающий момент, Нм,
,
.
Эквивалентный момент по третьей теории
прочности, Нм,
,
.
Диаметр вала в опасном сечении, мм,
,
где [σи]=(50-60)
МПа - допускаемое напряжение для сталей 35, 40, 45.
.
Вычисленное значение диаметра вала d в опасном сечении
меньше, чем диаметр dк под колесом, найденный при ориентировочном расчете.
Рис. 13. Эпюры моментов
3.Расчет подшипников качения
В основу расчета подшипников качения положены
два критерия: по остаточным деформациям и усталостному выкрашиванию. При
частоте вращения кольца n
< 10 об/мин критерием является остаточная деформация, расчет выполняется по
статической грузоподъемности Сог; при n
> 10 об/мин критерием является усталостное выкрашивание дорожек качения, расчет
выполняется по динамической грузоподъемности Сг. Суждение о пригодности
подшипника выносится из сопоставления требуемой и базовой грузоподъемностей
(Стр< Сг) или долговечностей (
).
Последовательность расчета подшипников качения
рассмотрим на примере выходного вала.
Схема установки подшипников и действующих сил
представлена на Рис. 14.
Рис. 14. Схема установки подшипников
Исходные данные:
об/мин;
мм;
Н;
Н;
ч;
Н;
Н;
Н.
Параметр осевого нагружения для
радиально-упорных подшипников с углом контакта α=12˚.
Вычисляем нагрузки:
Определяем отношение:
По значению отношения
из
П.17 [2] , находим параметр осевого нагружения
.
Осевые составляющие от радиальных нагрузок:
Суммарные осевые нагрузки на подшипник: так как S2
> S1 , Fа
> S2 - S1,
то из таблицы П. 18[1], следует:
;
.
Для опоры, нагруженной большей осевой силой,
определяем отношение:
Уточняем значение параметра осевого нагружения:
Определяем отношение
для
правой, более нагруженной опоры:
где V
- коэффициент вращения внутреннего кольца подшипника.
Так как
,
то из таблицы П.17[1], для е2 найдем значения коэффициентов радиальной X
и осевой Y нагрузок:
Х=0,45; Y=1,56.
Эквивалентная динамическая нагрузка правой опоры
,
где Кб = 1,3 - коэффициент безопасности;
Кт = 1 - температурный коэффициент,
Уточнить коэффициент е1, для левой опоры (прил.,
табл. П. 17):
Определить отношение
для
правой, более нагруженной опоры:
Так как
,
из (прил., табл. П. 17), для е1 найдем значения коэффициентов радиальной X
и осевой V нагрузок:
Х=0,45; Y=1,87.
Эквивалентная динамическая нагрузка левой опоры
, (3.86)
.
Для более нагруженной опоры (правой) определить
долговечность выбранного подшипника 36212:
где a1=1
- коэффициент надежности при вероятности безотказной работы 90%;
a23=(0.7÷0.8)
- коэффициент, характеризующий совместное влияние на долговечность особых
свойств металла деталей подшипника и условий его эксплуатации;
k - показатель
степени, для шариковых подшипников k=3;
Так как рассчитанная (требуемая) долговечность L10h
больше базовой [L10h]
(89830 > 23000), то выбранный подшипник пригоден для данных условий работы.
4.Проверка прочности шпоночных
соединений
Шкив, зубчатые колеса и муфту насаживают на валы
редуктора и предохраняют от проворачивания призматическими шпонками.
Конструкция шпоночного паза представлена на Рис.15. Размеры сечения шпонки
выбирают в зависимости от диаметра вала в месте установки шпонки.
,
где 1СТ - длина ступицы зубчатого колеса,
шкива или полумуфты;
b - ширина шпонки.
Для насаживания зубчатого колеса:
,
.
Для насаживания шкива ременной передачи:
,
.
Для насаживания муфты:
,
.
Рис. 15. Конструкция шпоночного паза.
Рис.16. Размеры шпонки
Часть шпонки, выступающую из вала проверяем по
напряжениям смятия:
где Тi
- вращающий момент на валу, Нмм
z - число шпонок;
Р - рабочая длина шпонки, мм;
di - диаметр
вала, мм;
h - высота шпонки,
мм;
t1 - глубина паза
вала, мм;
- рабочее и
допускаемое напряжения смятия, МПа.
В расчетах принимаем
=
70 МПа.
5.Выбор и расчет муфты
Муфты выбирают из стандартов или нормалей
машиностроения d зависимости
от расчетного вращающего момента
и
диаметров соединяемых валов
При работе муфта испытывает колебания нагрузки,
обусловленные характером работы приводимой в движение машины. Расчетный
вращающий момент, Н·м,
где
- коэффициент режима работы привода от электродвигателя;
- момент на
выходном валу редуктора, Н·м
При выборе муфты должно соблюдаться условие:
Где
- вращающий момент, передаваемый стандартной муфтой (указанный в стандарте или
нормали машиностроения). Затем в зависимости от типа муфты проверяем отдельные
ее элементы на прочность.
где
- расчетный вращающий момент, Нмм;
d1 - внутренний
диаметр резьбы болта, мм
- диаметр
окружности, проходящей через центры болтовых отверстий, мм;
f = 0,15 -
коэффициент трения;
- количество
болтов;
- допускаемое
напряжение растяжения материала болта, МПа;
- предел текучести
материала болта (для стали Ст 3
= 220 МПа;
для стали 35
=
320 МПа; для стали 45
= 360 МПа).
МПа.
Рис.17. Фланцевая муфта
Вращающий момент передается болтами,
установленными без зазора и работающими на срез.
Условие прочности на срез:
где
- расчетный вращающий момент, Нмм;
- диаметр
ненарезанной части стержня болта, мм;
- диаметр
окружности, проходящей через центры болтовых отверстий, мм;
- число болтов,
установленных без зазора;
- допускаемое
напряжение на срез для болтов, МПа;
- предел текучести
материала болта, МПа.
Мпа.
6.Определение марки масла для
зубчатой передачи и подшипников
Экономичность и долговечность машины зависят от
правильного выбора смазочного материала. Потери на трение снижаются с ростом
вязкости смазки, однако повышаются гидромеханические (на перемешивание
смазочного материала). Поэтому выбор вязкости масла сводится к определению
некоторого относительного ее значения на основе опыта изготовления и
эксплуатации узлов машин, рекомендаций теории смазывания.
Ориентировочное значение вязкости масла для
смазывания зубчатых передач определяется в зависимости от фактора χзп.
,
Соотношение между числами твердости НВ и НV
приведены в таблице П.23[1].
- рабочее
контактное напряжение, МПа
V - окружная
скорость в зацеплении, м/с
.
Из таблицы П.24[1] по среднему значению вязкости
выбираем авиационное масло марки И-70 А. В редукторах и коробках передач
подшипники обычно смазываются смазочным материалом, применяемым для зацеплений.
Рис. 18. Вязкость масла.
7.Рекомендуемые посадки деталей
Посадки ступиц зубчатого колеса на вал - Н7/r6;
Н7/s6.
Посадка шкива ременной передачи и полумуфты на
валы
на валы при умеренных толчках нагрузки - Н7/m6;
Н7/n6.
Посадки подшипников качения:
в корпус - Н7/l0;
на вал - L0/k6.
Посадка крышек подшипников в корпус:
крышка глухая - Н7/d11;
крышка проходная - Н7/h6.
Посадка разделительных колец на вал - D9/к6.
Посадка стакана в корпус - H7/js6.
Заключение
механический привод
редуктор
На основании произведенных расчетов выбран
электродвигатель 4А132М4 ,определены передаточные отношения ременных и зубчатых
передач,
, мощности, частоты
вращения и вращающие моменты на валах редуктора, мощность на входном валу 8,017
кВт, на выходном валу 7,778 кВт, частота вращения на входном валу равна 973,333
об/мин, вращающий момент на входном валу равен 78,694 Н·м.
Путем подбора диаметров шкивов, толщины ремня
получена требуемая долговечность ременной передачи 1997 часов.
Используя недорогие, но достаточно прочные стали
40ХН и 40ХН, рассчитаны компактные зубчатые передачи, определены диаметры валов
и сделаны проверки на прочность, разработана эскизная компоновка редуктора с
учетом характера действующих в зацеплении сил и размеров валов, подобраны
подшипники качения, проверены на прочность, на долговечность,
часов.
Для соединения редуктора с приемным валом машины
из стандартов выбрана муфта и ее отдельные элементы проверены на прочность.
Расчетным путем определена марка масла И-70 А
для зубчатых колес и подшипников, установлен уровень масла 6 литров.
По размерам, полученным по расчетам, выполнены
сборочный чертеж редуктора и рабочие чертежи деталей.
Результаты проектирования можно использовать для
создания опытного образца.
Библиографический список
1. Проектирование
механического привода с коническим редуктором. Методические указания к
выполнению курсового проекта по дисциплине «Детали машин и основы
конструирования» / Здор Г. П., Бородин А. В. Омский гос. ун-т путей сообщения.
Омск, 2003. 56 с.
2. Дунаев
П. Ф., Леликов О. П. Конструирование узлов и деталей машин: Учебное пособие.
Изд. 8-е, перераб. и доп. М.: Издательский центр «Академия», 2004. 496 с.
. Расчет
ременных передач. Методические указания к выполнению курсового проекта по
дисциплине «Детали машин и основы конструирования» / Здор Г. П., Бородин А. В.
Омский гос. ун-т путей сообщения. Омск, 1997. 22 с.