Регулювання дроселя

  • Вид работы:
    Курсовая работа (т)
  • Предмет:
    Другое
  • Язык:
    Украинский
    ,
    Формат файла:
    MS Word
    753,07 Кб
  • Опубликовано:
    2013-08-26
Вы можете узнать стоимость помощи в написании студенческой работы.
Помощь в написании работы, которую точно примут!

Регулювання дроселя

1. Об’ємний гідропривод

 

Гідропривод - сукупність гідравлічної апаратури і гідроліній для приведення в дію робочих органів машин та механізмів за допомогою потенціальної енергії рідини, що перебуває під тиском. При цьому енергія передається за допомогою переміщення окремих об'ємів рідини.

Гідропривод є свого роду «гідравлічною вставкою» між приводним двигуном і навантаженням (машиною або механізмом) та виконує ті ж функції, що і механічні передачі (редуктор, пасова передача, кривошипний механізм тощо).

Базовими елементами гідроприводу є насос і гідродвигун. Насос є джерелом гідравлічної енергії, а гідродвигун - її споживачем, тобто перетворює гідравлічну енергію в механічну.

Управління рухом вихідних ланок гідродвигунів здійснюється або за допомогою регулюючої гідроапаратури: дроселів, гідророзподільників та ін., або шляхом регулювання самого гідродвигуна і/чи насоса.

Також, обов'язковою складовою частиною гідроприводу є гідролінії - жорсткі та гнучкі трубопроводи якими рідина переміщається у гідросистемі.

Для підтримання роботи гідроприводу у переважній більшості гідросистем встановлюється допоміжна апаратура: масляні фільтри, системи охолодження, гідроакумулятори, гідробаки та ін.

За принципом роботи гідроприводи бувають об'ємними (гідростатичними), гідродинамічними і змішаними:

у гідродинамічних приводах використовується в основному кінетична енергія потоку рідини;

у об'ємних гідроприводах використовується потенційна енергія тиску робочої рідини;

у змішаних гідроприводах поєднуються властивості перших двох видів.

За характером руху вихідної ланки гідродвигуна гідравлічні приводи поділяються на:

гідроприводи обертального руху (гідродвигуном служить гідромотор);

гідроприводи поступального руху (гідродвигуном служить у переважній більшості гідроциліндр);

гідроприводи поворотного руху (гідродвигуном служить поворотний гідродвигун).

За схемою циркуляції рідини у приводі:

гідропривод із замкнутою схемою циркуляції, у якому робоча рідина від гідродвигуна одразу повертається у всмоктуючу гідролінію насоса;

гідропривод з розімкненою системою циркуляції, у якому робоча рідина знаходиться у гідробаку і постійно контактує атмосферою.

Гідропривод із замкнутою циркуляцією робочої рідини компактний, має невелику масу і допускає велику частоту обертання ротора насоса без небезпеки виникнення кавітації, оскільки в такій системі у всмоктуючій лінії тиск завжди вищий за атмосферний. До недоліків слід віднести погані умови для охолодження робочої рідини, а також необхідність зливу робочої рідини та заповнення гідросистеми при заміні або ремонті гідроапаратури.

Переваги розімкненої схеми - хороші умови для охолодження і очищення робочої рідини. Проте такі гідроприводи громіздкі і мають велику масу, а частота обертання ротора насоса обмежується швидкостями руху робочої рідини, що допускаються (з умов безкавітаційної роботи насоса), у всмоктуючому трубопроводі.

За можливостями і видом регулювання гідропривод може бути нерегульованим і регульованим, останній у свою чергу буває:

об'ємного регулювання;

дросельного регулювання.

За задачами регулювання, гідроприводи бувають:

стабілізаційні;

слідкувальної дії;

програмного керування.

Значне поширення гідроприводів у різних галузях зумовлюється низкою істотних переваг, до яких у першу чергу належать:

можливість одержання великих сил та обертальних моментів при порівняно малих розмірах та масі гідродвигунів;

передача великих потужностей при малій масі гідроприводу;

плавність рухів вихідних ланок;

можливість безступінчастого регулювання швидкості у широкому діапазоні;

мала інерційність;

простота керування та автоматизації;

висока експлуатаційна надійність та стійкість до перевантажень;

простота реалізації основних видів рухів: обертального, зворотно-поступального і зворотно-поворотного.

При незаперечних високих якостях гідравлічного приводу слід відзначити і властиві йому недоліки:

гідроприводи поступаються електричним у відстані транспортування енергії від джерела до споживача та швидкості передачі командних сигналів;

у гідроприводах актуальним є питанням забезпечення герметичності порожнин, що знаходяться під тиском;

чутливість до в'язкості робочої рідини, котра у свою чергу залежить від температури;

нижчий к.к.д. у порівнянні з механічними передачами у приводах.

 

2. Регулювання об'ємного гідроприводу

гідропривід дросель об'ємний

Гідропривод, у якому відсутній пристрій для зміни швидкості руху вихідної ланки, є нерегульованим. Гідропривод, у якому швидкість вихідної ланки можна змінювати за заданим законом, є регульованим.
Застосовуються такі два способи регулювання швидкості вихідної ланки:

- дросельне регулювання, тобто регулювання швидкості дроселюванням потоку робочої рідини і відводом частини потоку через дросель або клапан, минаючи гідродвигун;

- об'ємне регулювання, тобто регулювання швидкості зміною робочого об’єму насоса або гідродвигуна або того і іншого.
Якщо в об'ємному гідроприводі швидкість регулюється одночасно двома розглянутими способами, то таке регулювання називається об’ємно-дросельним (або комбінованим).

У деяких випадках у насосному гідроприводі швидкість вихідної ланки регулюється зміною швидкості приводного двигуна (електродвигуна, дизеля і т. п.). Таке регулювання називається регулюванням приводним двигуном.

Регулювання гідроприводу може бути ручним, автоматичним і програмним. Якщо в гідроприводі швидкість вихідної ланки підтримується постійною при зміні зовнішніх впливів, то такий гідропривід називають стабілізованим.

 

. Дросельне регулювання


Принцип дросельного регулювання полягає в тому, що частина подачі нерегульованого насоса відводиться через дросель або клапан на злив, минаючи гідродвигун. При дросельному регулюванні можливі два принципово різних способи включення регулюючого дроселя:

послідовно з гідродвигуном;

паралельно гідродвигуну.

Послідовне включення дроселя

Послідовне включення регулюючого дроселя може бути здійснене у двох варіантах: дросель, включений на вході в гідродвигуни, на виході з нього.

Гідропередача із дроселем на вході

Гідропередача з послідовним включенням дроселя на вході (рис. 1, а) допускає регулювання швидкості гідродвигуна шляхом зміни прохідного перетину дроселя тільки в тому випадку, коли напрямок дії навантаження не збігається з напрямком руху вихідної ланки (на схемі - штока робочого гідроциліндра).

Дійсно, якщо навантаження спрямоване в той бік, що і рух вихідної ланки, то при зменшенні подачі рідини через дросель поршень може переміщатися швидше, ніж буде заповнюватися порожнина гідроциліндра. Відбудеться розрив потоку в гідролінії за поршнем, що рухається.

Рис. 1. Схеми послідовного включення дроселя в гідросистему

При цьому методі дроселювання поршень переміщається під дією зовнішнього навантаження, яке буде переборювати тільки силу тертя поршня об гідроциліндр і протитиск у зливній лінії. Якщо зовнішньою силою є вага опускаючого вантажу, що може впасти, то подібну схему включення не можна застосовувати у вантажопідйомних машинах.

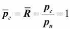
Перепад тиску на дроселі (без врахування втрат у комунікаціях) у цій гідропередачі визначається з рівняння

 (1)

де - тиск на виході з насосу;

- тиск на вході в гідродвигун.

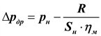
При цьому тиск на вході в гідроциліндр визначається з рівняння:

, (2)

де R - зусилля, що розвивається гідроциліндром;

Sн - площа поршня в нагнітальній порожнині;

- ККД механічний.

Отже перепад тисків на дроселі в гідропередачі з гідроциліндром визначається рівнянням:

 (3)

Якщо в гідропередачі замість гідроциліндра є гідромотор, то рівняння (3) варто записати у вигляді:

(4)

де М - крутний момент на валу гідромотора;

- робочий об'єм гідромотора;

- ККД механічний.

Гідропередача із дроселем на виході

Гідропередача з послідовним включенням дроселя на виході (рис. 1, б) відрізняється від попередніх тим, що дросель встановлений на зливній гідролінії гідродвигуна.

У цьому випадку при будь-якому напрямку навантаження на штоку, поршень буде витримувати значні опори. Якщо, наприклад, навантаження діє проти напрямку руху поршня, то зовнішня сила повинна подолати зусилля, що відповідає тиску насоса. Якщо зовнішня сила спрямована убік руху поршня, то збільшенню швидкості перешкоджає опір дроселя, через який «продавлюється» рідина з порожнини гідpоциліндpа на злив.

Опір дроселя регулюють шляхом відкриття прохідного отвору. Закривши отвір, можна повністю припинити рух поршня.

У системі із дроселем на виході, крім того, тепло, що виділилося при проходженні рідини через дросель, відводиться в бак; при цьому гідродвигун не нагрівається. Перепад тисків на дроселі, включеному на виході, визначається аналогічно, як і для дроселя, включеного на вході (рівняння 3).

При повному відкритті дроселя швидкість поршня (вихідної ланки) буде максимальною. При зменшенні прохідного перетину дроселя, тиск перед ним підвищується, запобіжний клапан 6 (рис. 1) привідкривається і пропускає частину робочої рідини поданої насосом, при цьому швидкість поршня зменшується. При повному закритті дроселя вся подача насоса спрямовується через клапан на злив у бак, а швидкість поршня дорівнює нулю. При постійному відкритті дроселя і збільшенні подоланого гідродвигуном навантаження, тобто сили R, тиск насоса зростає, витрата через клапан збільшується, а швидкість поршня зменшується.

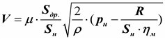
Знайдемо залежність між швидкістю поршня і навантаженням R, нехтуючи всіма гідравлічними опорами, крім дроселя.

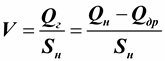
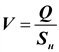
Відомо, що швидкість поршня визначається залежністю:

, (5)

де Q - витрата рідини через гідроциліндр;

Sн - ефективна площа поршня в порожнині нагнітання.

Оскільки витрата через гідроциліндр, при дросельному регулюванні дорівнює витраті через дросель, то можна записати:

(6)

де - коефіцієнт витрати, що характеризує форму отвору;

Sдр - площа прохідного отвору дроселя;

- щільність робочої рідини.

Гідродвигун, наприклад, гідроциліндр, при розрахунку гідроприводу можна розглянути як особливий місцевий гідравлічний опір, що викликає втрату тиску др.

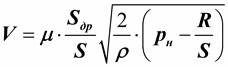
Виражаючи швидкість поршня рівняння (5) з урахуванням формул (3) і (6) будемо мати:

(7)

При цьому швидкість не залежить від того, розташований дросель на вході в гідродвигун або на виході з нього.

Залежність , тобто навантажувальна характеристика гідроприводу, при дроселюванні на вході така ж, як і при дроселюванні на виході, і зображується спадаючою параболою (рис. 2), кожна з парабол відповідає своєму ступеню відкриття дроселя .

Рис. 2. Навантажувальні характеристики гідроприводу при послідовному включенні дроселя

Швидкість вихідної ланки при її регулюванні послідовно включеним дроселем пропорційна ступеню відкриття дроселя , а її максимальне значення буде при = 1.

Максимальне навантаження на гідроциліндрі - Rmax, при якому вихідна ланка гальмується (), від ступеня відкриття дроселя не залежить.
Відносно витрат тиску, при регулюванні послідовно включеним дроселем, байдуже, де виникає дроселювання потоку: на вході в гідродвигун або на виході.

Однак дроселювання потоку на виході має свої переваги. При цьому гідродвигун працює більш стійко, особливо при знакозмінному навантаженні. Є можливість регулювання гідроприводу при негативних навантаженнях, тобто при напрямку подоланої сили R убік переміщення поршня. Крім того, при установці дроселя в зливній гідролінії тепло, що виділяється при дроселюванні потоку рідини, відводиться в бак без нагрівання гідродвигуна, як це має місце в схемі із дроселем на вході. У результаті гідродвигун працює в більше сприятливих умовах.

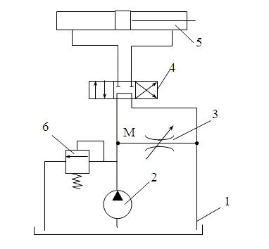
Паралельне включення дроселя

При включенні регулюючого дроселя паралельно гидродвигуну (рис. 3) потік робочої рідини в точці М розгалужується: один потік через розподільник 4 спрямовується в гідроциліндр 5, а інший - у регулюючий дросель 3. Клапан 6 у цьому випадку є запобіжним. Він відкривається лише при надмірному підвищенні тиску в системі.

Рис. 3. Схема гідроприводу із дросельним регулюванням при паралельному включенні дроселя:

- гідробак; 2 - насос; 3 - дросель; 4 - розподільник; 5 - гідроциліндр; 6 - запобіжний клапан.

Швидкість вихідної ланки - штока гідроциліндра регулюється зміною ступеня відкриття дроселя. Чим вона більша, тим більша частка подачі насоса направляється не в гідроциліндр, а в гідробак і тем менше швидкість . При повному відкритті дроселя швидкість поршня зменшується до нуля або до мінімального значення залежно від навантаження R.

Для паралельного включення дроселя, припускаючи, що втрати тиску в розподільнику і гідролініях відсутні, маємо:

(8)

, (9)

де і - витрата та перепад тиску на гідроциліндрі.

Рівняння (9) записано на підставі рівняння втрат тиску в паралельних трубопроводах.

При цьому швидкість поршня з урахуванням (8) визначається рівнянням:

(10)

Підставивши у рівняння (6) рівняння (9) отримаємо:

, (11)


. (12)

На рис. 4 показані навантажувальні характеристики гідроприводу при його регулюванні паралельно включеним дроселем, побудовані за формулою (12) для ряду постійних значень:


Рис. 4. Навантажувальні характеристики гідроприводу при паралельному включенні дроселя

На відміну від характеристик при послідовному включенні дроселя, вони мають протилежну кривизну і виходять із однієї точки, що відповідає і . Навантаження , що викликає гальмування вихідної ланки, зменшується зі збільшенням ступеня відкриття дроселя.
При паралельному включенні дроселя виключається можливість регулювання при напрямку подоланої сили уздовж штока убік його переміщення (за аналогією із дроселем послідовно на вході).

Втрати в гідроприводі при дросельному регулюванні

При дросельному регулюванні і будь-якому випадку включення дроселя повний ККД гідроприводу визначається як втратами енергії в насосі і гідродвигуні, так і втратами, зумовленими процесом керування.
Тому доцільно ввести поняття ККД процесу керування , що є відношенням потужності потоку , витраченої в гідродвигуні, до потужності потоку , що подається насосом, тобто:

(13)

Величина оцінює втрати потужності на регулювання швидкості вихідної ланки гідроприводу.

Повний ККД гідроприводу дорівнює добутку ККД насоса, ККД процесу керування та ККД гідродвигуна .

Наприклад, при використанні гідроциліндра ККД гідроприводу дорівнює:

, (14)

де Nз - потужність, затрачувана насосом.

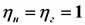
Якщо втрати в насосі, гідродвигуні і трубопроводах відсутні (== 1), тоді повний ККД гідроприводу дорівнює ККД процесу керування = .

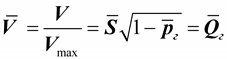
Для аналізу ККД процесу керування застосуємо безрозмірні величини, тобто величини, віднесені до максимально можливих їх значень, а саме до гідроциліндра.

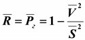
Відносне навантаження рівне відносному перепаду тиску на гідроциліндрі дорівнює:

(15)

Відносна швидкість поршня, яка дорівнює відносній витраті, що підводиться до гідроциліндра визначається з рівняння:

; (16)

Відносна площа прохідного отвору дроселя (ступінь відчинення дроселя) визначається з рівняння:

(17)

Величиною визначається частка тиску насоса, яка використовується в гідродвигуні, а величиною - частка подачі насоса, що спрямовується у гідродвигун.

З формули повного ККД (з урахуванням, що утрати на насосі відсутні) получимо:

(18)

Швидкість V max знаходиться з рівняння:

(19)

Прийнявши, що R = 0 і S др = Sдр.max, маємо:

(20)

Прийнявши, що коефіцієнт витрати дроселя m не залежить від ступеня його відкриття, визначимо відносну швидкість поршня:

(21)

Звідси:

(22)

На підставі рівнянь можна представити втрати при дросельному регулюванні з послідовним його включенням, у двох варіантах:

(23)

(24)

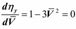
З рівнянь видно, що ККД буде максимальним при , тобто при повному відкритті дроселя. Оптимальні значення і знаходять дослідженням на максимум.

Наприклад, якщо продиференціювати рівняння (24) при по V і прирівняємо похідну до нуля, то отримаємо:

(25)

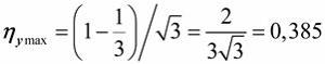
Звідси оптимальна швидкість буде дорівнювати:


а максимальний ККД з рівняння (24)

З рівняння (22) випливає, що відносне навантаження при цьому дорівнює:

.

Таким чином, навіть при ККД насоса і гідродвигуна рівних одиниці, ККД регульованого гідроприводу з послідовним включенням дроселя не може бути більше 0,385. Це значення, як бачимо з попереднього, виходить як добуток:


Настільки низьке значення ККД пояснюється тим, що навіть на оптимальному режимі роботи гідроприводу тільки 58% подачі насоса направляється в гідродвигун (інше йде через клапан) і лише 2/3 тиску насоса використовується в гідродвигуні (інше втрачається в дроселі), тобто втрати потужності відбуваються одночасно і у дроселі і у клапані.
Залежності ККД процесу керування від відносної швидкості і відносного навантаження (рис. 5) побудовані за формулами (23, 24) для ряду постійних значень ступеня відкриття дроселя. Варто мати на увазі, що загальний ККД гідроприводу буде ще нижче за рахунок втрат потужності в насосі і гідродвигуні.

Рис. 5. Залежність ККД процесу керування: а - від відносної швидкості поршня; (); б - від відносного навантаження, () ККД гідроприводу при паралельному включенні дроселя визначається так само, як і при послідовному за формулою (14), а при припущенні, що, він дорівнює ККД процесу керування . Останній визначається за формулою (13) тобто для гідро циліндра:

, (26)

де для розглянутого випадку:

(27)

Отже, при паралельному включенні дроселя, на відміну від рівнянь (23) і (24) маємо:

(28)

де відносна швидкість поршня дорівнює:

(29)

Таким чином, у цьому випадку ККД процесу керування однозначно визначається відносною витратою рідини через дросель або, що те ж саме, ступенем відкриття дроселя:

. (30)

 

 


Список використаних джерел


1. Мала гірнича енциклопедія. В 3-х т. / За ред. В.С. Білецького. - Донецьк: Донбас, 2008.

. Кулінченко В.Р. Гідравліка, гідравлічні машини і гідропривід: Підручник. - Київ: Фірма «Інкос», Центр навчальної літератури, 2006.

. Гiдроприводи та гiдропневмоавтоматика: Пiдручник / В.О. Федорець, М.Н. Педченко, В.Б. Струтинський та iн. за ред. В.О. Федорця. - К: Вища школа, 2008.

Похожие работы на - Регулювання дроселя

 

Не нашли материал для своей работы?
Поможем написать уникальную работу
Без плагиата!
Без нейросетей!