Розробка та дослідження систем регулювання швидкості електропривода постійного та змінного струму
МІНІСТЕРСТВО
ОСВІТИ І НАУКИ УКРАЇНИ
НАЦІОНАЛЬНА
МЕТАЛУРГІЙНА АКАДЕМІЯ УКРАЇНИ
Кафедра
електротехніки та електроприводу
РОЗРАХУНКОВО-ПОЯСНЮВАЛЬНА
ЗАПИСКА
до
курсового проекту з дисципліни:
«Системи
керування електроприводом»
«Розробка
та дослідження систем регулювання швидкості електропривода постійного та
змінного струму»
Виконала: студентка
групи АП-01-10-2
Авраменко О.В.
Керівник проекту:
Стьопкін В.В.
Дніпропетровськ
2014
Завдання
. Розрахувати та дослідити
перехідні процеси в однофазній системі регулювання швидкості (ЕРС) двигуна з
підлеглим регулювання струму якоря.
. Розрахувати параметри
скалярної системи керування АД та дослідити перехідні процеси у контурах струму
та частоти.
Вихідні дані:
Таблиця 1 - Вихідні дані для ДПС
Вар. № Тип двигуна 
,
кВт
,
ВТип
РССтат. пом.,
%
/
|
 ,с
|
|
|
|
|
|
|
|
|
1
|
2ПФ160LГ
|
16
|
220
|
П
|
8
|
2,3
|
1,65
|
0,01
|
Таблиця 2 - Вихідні дані для АД
Вар. № Тип двигуна 
,
кВт
,
об / хв
,


,
С,
|
Нм / рад
|
|
|
|
|
|
|
1
|
4А80В2У3
|
2,2
|
3000
|
0,0021
|
0,0042
|
24,025
|
Таблиця 3 - Параметри ДПС
Тип двигуна 
,
кВт
,
ВККД,
%
,
А
,
об / хв
,
Ом
,
мГн
,
|
|
|
|
|
|
|
|
|
|
|
|
2ПФ160LГ
|
16
|
220
|
87
|
84
|
2360
|
0,075
|
1,4
|
0,1
|
|
|
Вибір тиристорного перетворювача
Вибір тиристорного перетворювача
здійснюється за номінальною напругою та струмом двигуна.
електропривод асинхронний двигун
регулювання

,
Де 

- номінальні значення
випрямленої напруги та струму ТП.
Таблиця 4 - Технічні
дані перетворювача та силового трансформатора
Тип КТП Тип тран-ра 
,
кВA
,
В
,
В
А
,
Вт
,
|
%
|
|
|
|
|
|
|
|
КТЕУ-100/220
|
ТСЗП-25
|
29,1
|
205
|
230
|
100
|
1100
|
5,5
|
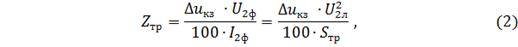
Розраховуємо активний опір фази
трансформатора:
де 
- втрати короткого
замикання, Вт;

- фазний струм
вентильної обмотки, А;

- лінійна напруга
вентильної обмотки, В;

- номінальна потужність
трансформатора, ВА.
Повний опір фази
трансформатора, зведений до вторинної обмотки:
де 
- напруга короткого
замикання, %.
Індуктивний опір фази
трансформатора, зведений до вторинної обмотки:
Індуктивність фази
трансформатора:
де 
= 2
f - кутова частота
струму у мережі живлення.
Вибір згладжуючого
дроселя:
Реактори в тиристорному
електроприводі виконують наступні функції:
- зменшують зону
переривчастих струмів:
згладжують пульсації
випрямленого струму;
обмежують струм через
тиристори при КЗ на стороні випрямленої напруги;
обмежують струм при
опрокиданні інвертора.
Зменшення зони
переривчатих струмів
Для отримання гранично -
безперервного режиму при заданому куті регулювання α у коло випрямленого
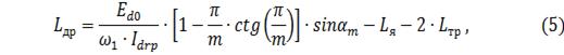
струму необхідно вмикати індуктивність, значення якої:
де 
- максимальна ЕРС
тиристорного перетворювача, В;= 6 - пульсність мостової схеми ТП, що прийнята у
КТЕУ;

- максимальний кут
регулювання, що відповідає мінімальній швидкості обертання двигуна.

;

.
Згладжування
пульсацій випрямленого струму
Потрібне значення індуктивності
згладжу вального дроселя, який застосовується для зменшення пульсацій
випрямленого струму якоря:
(6)
де
-
припустимий коефіцієнт пульсацій струму якоря;
- відносна величина
ефективного значення першої гармоніки випрямленої напруги.

Обмеження струму через
тиристори при короткому замиканні на стороні випрямленої напруги
При короткому замиканні
на стороні постійного струму реактор повинен обмежити швидкість нарастання аварійного
струму, для того щоб він не перевищив небезпечного для тиристорів значення до
спрацювання захисних пристроїв. Індуктивність реактора розраховується за
формулою:

(7)
де 
-
максимально-допустимий на протязі одного півперіода струм тиристора, А;

- струм навантаження у
момент короткого замикання, А.
Обмеження струму при
опрокиданні інвертора
У випадку однофазного
опрокидання у мостовій схемі якір двигуна закорочується через тиристори.
Індуктивність реактора, яка необхідна для обмеження аварійного струму на час
спрацювання захисту:
(8)
де
-
опір якірного кола, Ом;
- ЕРС двигуна у момент
початку опрокидання інвертора, В.
У якості потрібної
індуктивності реактора, що встановлюється у кола випрямленого струму,
приймається найбільше з значень, знайдених за формулами (6, 7, 9, 10).
Після розрахунків обираю
індуктивність за формулою 7:
Так як отримана величина
додатна до установки приймаємо один реактор. Його параметри визначаються за
додатком 3 (таблиця Д.3.2), в залежності від струму двигуна:
(9)
|
Тип ректора
|
Iрн, А
|
Lдр, мГн
|
Rдр, мОм
|
|
ДСА-555
|
100
|
0,5
|
2,9
|
Вибір шунта
Шунт для кола якоря обирається за
додатком 3 (таблиця Д.3.3) з умови:
(10)
Падіння напруги на шунті
при номінальному струмі
.
Вибір тахогенератора
Вибір тахогенератора
здійснюється за максимальною швидкістю обертання за додатком 3 (таблиця Д.3.4).
Так як привод
однозонний,
.
Тому:
Параметри тахогенератора
|
Тип
|
Uн,В
|
nн, об/хв
|
Rн,кОм
|
|
ТМГ-30П
|
230
|
4000
|
2,9
|
Розрахунок параметрів об’єкта
регулювання
При проведенні розрахунків необхідно
скористатися таблицею Д.3.5 додатка 3.
Опір, обумовлений перекриттям
вентилів:
(11)
Активний опір шин та
кабелів:
(12)
Активний опір головного
кола електропривода:
(13)
де
-
коефіцієнт, що враховує зміну опорів при нагріванні;
- активний опір дроселя,
Ом.
Індуктивність головного
кола електропривода:
(14)
Електромагнітна постійна
часу головного кола електропривода:
(15)
Електромагнітна постійна
часу двигуна:
(16)
Електромеханічна
постійна часу:
(20)
де
-
момент інерції двигуна, кгм2;- коефіцієнт інерції.
(17)
Коефіцієнт підсилення
тиристорного перетворювача при косинусоідальній опорній напрузі, що прийнята у
КТЕУ:
(18)
де
-
максимальна величина пилкоподібної напруги у СІФК.
При розрахунках системи
регулювання датчики струму якоря та швидкості приймаємо безінерційними.
Коефіцієнт передачі кола
від’ємного зворотного зв’язку за струмом:
(19)
Коефіцієнт передачі кола
від’ємного зворотного зв’язку за швидкістю:
(20)
Коефіцієнт передачі кола
від’ємного зворотного зв’язку за напругою:
(21)
Синтез структурної схеми
електропривода
Структурна схема системи
автоматичного регулювання (САР) швидкості наведена на рис.1.
Рис.1. Структурна схема
системи однозонного регулювання швидкості двигуна з підлеглим контуром
регулювання струму якоря:
- передаточна функція
фільтра на вході САР;
- передаточна функція
регулятора швидкості;
- передаточна функція
регулятора струму;
- передаточна функція
тиристорного перетворювача;
- передаточна функція
кола зворотного зв’язку за струмом;
- передаточна функція
кола зворотного зв’язку за швидкістю.
Оптимізація контуру
регулювання струму якоря
Контур регулювання
струму з ПІ-регулятором
Структурна схема контуру
струму з ПІ-регулятором наведена на рис.2.
(22)
де
-
постійна часу контуру струму, с;
- некомпенсована
постійна часу контуру струму, с.
Рис.2. Структурна схема
контуру струму з ПІ-регулятором
Наявність внутрішнього
зворотного зв’язку за ЕРС двигуна викликає статизм при регулюванні струму.
Усталене значення струму буде меншим за задане у
разів. Введення
додатного зворотного зв’язку за ЕРС двигуна виключає усталену помилку за
струмом, зменшує некомпенсовану постійну часу:
(23)
при одночасному зниженні
коливальності процесу нарастання струму. Це дозволяє збільшувати коефіцієнт
підсилення регулятора струму до тих пір, доки перерегулювання не досягне 4,3% (
).
У цьому випадку передаточна функція регулятора струму:
(24)
Передаточна функція
замкнутого контуру регулювання струму:
(25)
Оптимізація контуру
регулювання швидкості
Вигляд передаточної
функції регулятора швидкості обумовлений вимагаємим статизмом. Величина
статичного падіння швидкості для однократно-інтегруючої системи:
(26)
де
-
при використанні зворотного зв’язку за ЕРС двигуна, с;
- при використанні
зворотного зв’язку за швидкістю двигуна, с.
Спочатку перевіряється
можливість використання зворотного зв’язку за ЕРС двигуна, потім за швидкістю.
Якщо однократно-інтегруюча система регулювання не забезпечує необхідного
статизму, застосовують двократно-інтегруючу систему регулювання швидкості.
Контур регуювання ЕРС з
П-регулятором
Структурна схема контуру
регулювання ЕРС з П-регулятором наведена на рис.4.
Коефіцієнт підсилення
регулятора ЕРС при налагодженні контуру на модульний оптимум:
(27)
(28)
Передаточна функція
фільтра на вході системи регулювання:
(29)
Передаточна функція кола
зворотного зв’язку за ЕРС:
(30)
Рис.3. Структурна схема
контуру регулювання ЕРС двигуна
Складання повної
структурної схеми системи регулювання швидкості
На підставі структурної
схеми (рис.1), вказаного в завданні регулятора струму, обраного типа регулятора
швидкості у п.п.3.1, 3.2 оптимізовані контури регулювання струму та швидкості.
Обравши структурні схеми регулятора струму та швидкості, необхідно перетворити
структурну схему, наведену на рис.1, у відповідності з прийнятими регуляторами
та конкретними значеннями їх налагодження.
Розрахунок параметрів
регуляторів
Контур регулювання ЕРС
Принципова схема
П-регулятора ЕРС наведена на рис.6.
Рис.6. Принципова схема
П-регулятора ЕРС
Розрахунокові
співвідношення для фільтрів на вході регулятора та датчика ЕРС:
(31)
Задавшися
,
за формулою (38) визначаємо
,
.
Опір кола зворотного
зв’язку регулятора ЕРС:
(32)
Розрахункові
співвідношення для кола зворотного зв’язку за ЕРС:
(33)
(34)
(35)
Прийнявши
,
за
рівнянням (42) визначимо
,
за (40, 41) -
:
, (36)
де
(37)
(38)
Складання принципової
схеми електропривода
На підставі принципових
схем регуляторів складаю принципову схему однозонної системи регулювання
швидкості з підлеглим контуром регулювання струму та роздільним керуванням
випрямним та інверторним комплектами тиристорів.
Силова частина
електропривода наводиться в однолінійному вигляді, СІФК, ЛПП, датчики та
логічні схеми, що забезпечують роздільне керування, - у вигляді окремих блоків.
Зведення структурної
схеми електропривода до відносних одиниць
Зведення до відносних
одиниць здійснюється для зручності моделювання та аналізу перехідних процесів у
системах регулювання.
Якщо для входів та виходів
усіх ланок структурної схеми визначені базові величини, то перехід до системи
відносних одиниць полягає у отриманні добутка передаточних функцій кожної ланки
на коефіцієнт, що дорівнює відношенню базових величин на його вході та виході.
При цьому не принципово є ланки лінійною або нелінійною.
Вигляд передаточних
функцій у системі відносних одиниць у багатому залежить від вибору базових
величин. До основних змінних, що визначають поведінку двигуна, відносяться
напруга та струм якоря, магнітний потік та частота обертання двигуна. За базові
значення для них приймаємо номінальну напругу
, струм якоря
,
магнітний потік
.
У якості базової швидкості приймаємо швидкість ідеального холостого ходу, що
відповідає номінальній напрузі:
Визначаємо передаточні
функції структурної схеми у відносних одиницях.
1. Регулятор струму:
, (39)
(40)
2. Тиристорний перетворювач:
, (41)
3. Двигун:
, (42)
(43)
Розрахунок перехідних
процесів в контурах регулювання струму та швидкості
Розрахунок перехідних
процесів здійснюється шляхом моделювання структурної схеми однозонної системи
регулювання швидкості, наданої у відносних одиницях.
При моделюванні контуру
регулювання струму якоря необхідно отримати графіки зміни напруги завдання та
струму якоря при одиничному стрибку напруги завдання на вході контуру струму
для наступних випадків.
ПІ-регулятор:
внутрішній зв’язок за
ЕРС двигуна врахований;
внутрішній зв’язок за
ЕРС двигуна скомпенсований.
Для моделювання системи
регулювання швидкості підлеглий контур регулювання струму надати у згорнутому
вигляді - у вигляді коливальної ланки:
ПІ-регулятор струму:
(44)
Загальна структурна
схема електропривода зображена на Аркуші 1.
САК швидкістю АД
Вибір асинхронного
двигуна та системи керування
Номінальний момент на валу обраного
двигуна визначається за формулою:
, (45)
де РН - номінальна
потужність двигуна, кВт;Н - номінальна швидкість двигуна, об/хв.
(46)
де МКР - критичний
момент двигуна, Н·м;
МН - номінальний момент
двигуна, Н·м;
МСП - момент опору руху
під час пуску, Н·м;
λ - перевантажувальна
здатність двигуна,
JДВ - момент інерції
двигуна, кг·м2.
Для вказаного у завданні (додаток 2,
таблиця Д.2.2.) асинхронного короткозамкненого двигуна обрати перетворювач частоти,
технічні данні якого наведені у додатку 4 (таблиця Д.4.1.).
Вибір перетворювача частоти
здійснюється за умовами:
(47)
де
,
,
-
номінальні значення відповідно напруги, струму та повної потужності на виході
перетворювача частоти;
,
,
-
номінальні значення відповідно лінійної напруги, лінійного струму та повної
потужності АД.
Параметри перетворювача
частоти:
Тип: ЕКТ2Д-25/380-50
УХЛ4
Потужність, що
споживається -
,
Діапазон регулювання
частоти -
,
Робочий діапазон
регулювання частоти -
,
Робочий діапазон
регулювання напруги -
Значення номінальної
лінійної напруги АД залежить від схеми з’єднання обмоток двигуна:
у зірку
;
у трикутник
.
Номінальний лінійний
струм АД
та
повну потужність, яку споживає АД
можна розрахувати за
формулами:
(48)
(49)
де
-
номінальна потужність двигуна, кВт;
- номінальний коефіцієнт
корисної дії АД;
- номінальний коефіцієнт
потужності АД.
Якщо припустити що
гальмування приводу здійснюється рідко, то більш доцільним буде обрати
модифікацію перетворювача частоти з динамічним частотним гальмуванням із
розсіюванням енергії на резисторах.
Спрощена функціональна
схема привода ЕКТ 2 наведена на рис.10.
В електроприводі ЕКТ 2
перетворення частоти здійснюється у два ступеня: спочатку змінна напруга мережі
випрямляється керованим тиристорним перетворювачем ТП у постійну напругу, потім
постійна напруга за допомогою автономного інвертора напруги АІН перетворюється
у змінну напругу потрібної частоти. У ланці постійного струму встановлено
фільтр Ф для згладжування пульсацій випрямленої напруги.
Підтримка постійного
рівня потоку намагнічування АД при різних заданих частотах напруги здійснюється
завдяки додержанню відповідного співвідношення між рівнем напруги АД та її
частоти. Додатково, для врахування падіння напруги на активному опорі статора
АД, введено IR компенсацію, тому в електроприводі ЕКТ 2 підтримується
співвідношення
.
Рис.10. Спрощена
функціональна схема приводу ЕКТ 2
САР привода складається
з двох контурів: внутрішнього контуру струму та зовнішнього контуру частоти. З
виходу регулятора струму (РС) керуюча напруга
потрапляє на ТП,
завдяки якому встановлюється потрібний рівень напруги у ланці постійного
струму.
Із сигналів датчиків
струму
та
напруги
у
ланці постійного струму в датчику ЕРС (ДЕ) формується сигнал зворотного зв’язку
за ЕРС
.
Функціональний
перетворювач (ФП) забезпечує виконання умови
. Керуюча напруга
із
його виходу використовується як сигнал зворотного зв’язку за частотою, та як
задавальна напруга, що встановлює частоту перемикання тиристорів АІН, тобто
частоту напруги на виході перетворювача частоти.
Для забезпечення роботи
електропривода в усіх режимах на лінійній ділянці механічної характеристики, на
вході САР встановлено задавач інтенсивності (ЗІ).
Таким чином, ТП
встановлює рівень амплітуди напруги, а АІН - значення частоти напруги, що
живить АД.
Розрахунок параметрів
об’єкта керування
Параметри силової
частини перетворювача частоти
Задамося наступними
припущеннями:
випрямляч визначимо у
вигляді джерела ЕРС
,
що дорівнює середньому значенню випрямленої ЕРС;
витрати енергії в колі
змінного струму і у випрямлячі враховуються еквівалентним опором
та
індуктивністю
;
інвертор вважаємо
безінерційною ланкою із коефіцієнтом передачі
;
враховуємо лише першу
гармоніку вихідної напруги АІН.
У такому разі силова
частина приводу буде мати вигляд, як на рис.11.
Рис.11. Еквівалентна
схема силової частини приводу ЕКТ 2
На рис.11 позначені:
,
- відповідно струм випрямляча, ємності та інвертора,
-
напруга на вході інвертора.
, Гн (50)

, Ом (51)
, с, (52)
де
,
,
-
відповідно еквівалентна індуктивність, індуктивність фільтра та реактора;
,
,
-
відповідно еквівалентний опір, опір обумовлений комутацією вентилів випрямляча,
опір дроселя, опір реактора;
- еквівалентна стала
часу.
Параметри реактора, що
обмежує струм на вході випрямляча, вибирають із таблиці 1.
|
112550100200400630
|
|
|
|
|
|
|
|
|
2,21,330,660,30,170,170,048
|
|
|
|
|
|
|
|
|
,Ом0,040,0250,00640,0030,00610,00610,0023
|
|
|
|
|
|
|
|
Значення опору
знаходимо
з формули:
(87)
де m - пульсність
випрямляча (для трифазної мостової схеми m=6);
- промислова частота
мережі живлення,
.
Максимально можлива
випрямлена напруга на ємності:
(53)
де
-
коефіцієнт схеми випрямляча (для трифазної мостової схеми
);
- лінійна номінальна
напруга мережі живлення.
Коефіцієнт передачі
перетворювача частоти:
(54)
де
-
максимальна напруга на вході системи імпульсно-фазового керування,
.
Номінальні значення
струму випрямляча
та
струму інвертора
:
(55)
Дросель
,
що входить до складу фільтра, призначений для забезпечення безперервного струму
випрямляча в усьому діапазоні можливих навантажень, а також зменшення вмісту
вищих гармонік у споживаному ним струмі. Для трифазної мостової схеми його
індуктивність дорівнює:
де
-
кутова частота мережі живлення,
=314рад/с;
- значення
гранично-безперервного струму,
А;
- кут регулювання
перетворювача,
.
Параметри дроселів
зведені до таблиці 2.
Таблиця 2 - Параметри
дроселів
|
2550100
|
|
|
|
|
1,00,50,5
|
|
|
|
|
,Ом0,00830,00460,0029
|
|
|
|
Конденсатор
фільтру
обмежує коливання напруги на вході АІН. Його ємність повинна бути такою, щоб
частота власних коливань фільтра:
(56)
була набагато меншою від
частот перемикання ключів випрямляча та інвертора:
де
-
найменша вихідна частота АІН,
(
).
Тоді ємність конденсатора
фільтра:
(57)
Розрахунок за формулою
(91) не задовольняє вимогам схеми АД, тобто перехідні процеси не виходять на
потрібні значення, тому я заміняю Сф=0,88 на Сф1 = 0,008.
Структурна схема силової
частини привода наведена на рис.12.
Рис.12. Структурна схема
силової частини привода
Асинхронний двигун як
об’єкт керування
Перетворювач частоти із
задавачем інтенсивності (ЗІ) забезпечує постійну роботу АД на лінійній частині
робочої ділянки механічної характеристики. Це справедливо тому, що САР,
працюючи за законом
,
підтримує в усіх режимах номінальне значення потокозчеплення двигуна. У такому
разі АД можливо представити у вигляді, приведеному на рис.13.
Рис.13. Структурна схема
АД, що відповідає роботі двигуна в межах лінійної ділянки робочої
характеристики
(58)
(59)
, (60)
де b - модуль жорсткості
лініаризованої механічної характеристики АД;
- номінальна кутова
швидкість поля статора двигуна, рад/с;
- критичний момент АД,
Нм;
- критичне ковзання АД;
- кількість пар полюсів
АД.
Розрахунок параметрів
САР. Контур регулювання струму
Внутрішній контур
регулювання струму випрямляча призначений для стабілізації струму
на
потрібному рівні, обмеження струму на рівні
та компенсації великої
сталої часу
у
силовій частині ланки постійного струму.
Інерційність випрямляча
враховується малою сталою часу
.
Контур струму шляхом
послідовної корекції налаштовується на модульний оптимум. Регулятор струму
компенсує велику сталу часу
, стала часу
не
компенсується. Передаточну функцію регулятора струму знаходимо без урахування
від’ємного зворотного зв’язку по напрузі
.
Структурна схема контуру
струму зображена на рис.14.
Рис.14. Структурна схема
контуру струму
Бажана передаточна
функція розімкнутого контуру струму виглядає як:
(61)
У відповідності з рис.14
та виразом (97) передаточна функція пропорційно-інтегрального регулятора струму
знаходиться із формули:
(62)
Коефіцієнт передачі
датчика струму:
(63)
Контур регулювання частоти
Зовнішній контур
регулювання частоти автономного інвертора напруги (АІН) призначений для
стабілізації напруги
і
частоти f на заданому рівні, та компенсації інерційності Сф у
силовій частині ланки постійного струму. Обмеження виходу регулятора частоти
забезпечує обмеження завдання на струм на рівні
.
Датчик ЕРС із сигналів
зворотних зв’язків за напругою
та струму
формує
сигнал зворотного зв’язку по ЕРС двигуна
. Функціональний
перетворювач, забезпечуючи виконання умови
, перетворює сигнал по
ЕРС
у
відповідний сигнал зворотного зв’язку по частоті
.
Згорнутий контур струму
враховується як аперіодична ланка першого порядку із інерційністю
.
Для забезпечення
астатизму по навантаженню, контур частоти налаштовується на симетричний
оптимум. Регулятор частоти компенсує інерційність Сф, стала часу
не
компенсується. Передаточну функцію регулятора частоти знаходимо без урахування
від’ємного зворотного зв’язку по струму інвертора
,
який пропорційний струму АД.
Структурна схема контуру
частоти зображена на рис.15.

Бажана передаточна
функція розімкнутого контуру частоти виглядає як:
(64)
При лінійній залежності
частоти f від ЕРС Е коефіцієнт функціонального перетворювача дорівнює одиниці.
У відповідності з рис.15
та виразом (100) передаточна функція пропорційно-інтегрального регулятора
частоти знаходиться із формули:
(65)
Коефіцієнт зворотного
зв’язку по ЕРС двигуна:
(66)
Сигнал зворотного
зв’язку по частоті
одночасно
є сигналом завдання на частоту АІН, тому коефіцієнт передачі інвертора
знаходимо
таким чином:
(67)
Складання загальної
структурної схеми моделі та дослідження динаміки електропривода
Зв’язок між моментом
двигуна М та струмом інвертора
виражений через
коефіцієнт
:
(68) (104)
Загальна структурна
схема електропривода зображена на Аркуші 2.
Література
1. Герман-Галкин С.Г. Компьютерное моделирование полупроводниковых
систем в MATLAB 6.0: Учебное пособие. - СПб.: КОРОНА принт., 2001. - 320 с.
. Кравчик А.Е., Шлаф М.М., Афонин В.И., Соболевская Е.А.
Асинхронные двигатели серии 4А
. Москаленко В. В. Системы автоматизированного управления
электропривода: Учебник. - М.: ИНФРА-М, 2004. -208 с.
. http://elmech.mpei.ac.ru/books/edu/AD-4A/3.1_frameset.html
. http://electronpo.ru/electrodvigateli-4a-4am