Конкурентоспроможність продукції промислового підприємства та розробка заходів щодо її підвищення

  • Вид работы:
    Курсовая работа (т)
  • Предмет:
    Эктеория
  • Язык:
    Украинский
    ,
    Формат файла:
    MS Word
    1,46 Мб
  • Опубликовано:
    2013-11-17
Вы можете узнать стоимость помощи в написании студенческой работы.
Помощь в написании работы, которую точно примут!

Конкурентоспроможність продукції промислового підприємства та розробка заходів щодо її підвищення

Черкаський інститут банківської справи Університету банківської справи

Національного банку України (м. Київ)

Кафедра економіки та менеджменту








КУРСОВА РОБОТА

Економіки підприємства

на тему: Конкурентоспроможність продукції промислового підприємства та розробка заходів щодо її підвищення










м. Черкаси - 2013 рік

ВСТУП

Перехід в сучасних умовах до ринкових відносин потребує використання на практиці головних питань і категорій ринку. В зв'язку з розширенням підприємств у виборі партнерів, асортиментної та збутової політики великого значення набуває поняття «якість», ще більшого «конкурентоспроможність продукції». Конкурентоспроможність та якість - сконцентрований вираз всієї сукупності можливостей будь-якого виробника створювати, випускати і збувати товари та послуги.

Обґрунтування поняття та методики оцінки конкурентоспроможності розкривається у працях зарубіжних дослідників: Ж. Ламбена, Л. Мартіна, М. Портера, Д. Роудерса, Р. Фатхутдінова. Різні аспекти забезпечення конкурентоспроможності відповідних об'єктів є предметом дослідження і вітчизняних фахівців, зокрема Л.В. Балабанової, С.С. Гаркавенка, В.Д. Немцова, П.Т. Саблука та інших.

Метою курсової роботи є дослідження конкурентоспроможності продукції промислового підприємства та розробка заходів щодо її підвищення.

Предметом дослідження є аналіз теоретичних підходів до оцінки конкурентоспроможності підприємства.

Об’єктом дослідження є діяльність ТОВ «Перлина» за 2011-2012 рр.

Завданням роботи є:

.        Дослідити економічну сутність конкурентоспроможності продукції підприємства;

.        Здійснити аналіз фінансового стану ТОВ «Перлина»;

.        Охарактеризувати основні економічні показники діяльності ТОВ «Перлина» за 2011-2012 рр.;

.        Вдосконалити шляхи підвищення конкурентоспроможності підприємства;

.        Визначити фактори забезпечення конкурентоспроможності підприємства продукції.

Протягом дослідження питання конкурентоспроможності продукції промислового підприємства та розробки заходів щодо її підвищення було використано такі методи:аналіз, синтез, системний підхід, систематизація, узагальнення, порівняння.

РОЗДІЛ 1. ТЕОРЕТИЧНІ ЗАСАДИ ОЦІНКИ КОНКУРЕНТОСПРОМОЖНОСТІ ПРОДУКЦІЇ ПІДПРИЄМСТВА

 

1.1 Економічна сутність конкурентоспроможності продукції підприємства


На даний час конкурентоспроможність продукції підприємства в

Україні регулюється наступними законами:

-    Господарський кодекс України від 16 січня 2003 року №436-IV

-        Конституція України;

         ЗУ «Про підприємства в Україні»;

         ЗУ «Про підприємництво»;

         Податковий кодекс України.

         ЗУ «Про захист прав споживачів»;

         Постанови Кабінету Міністрів Україні в сфері торгівлі та наданні послуг.

         ЗУ «Про захист економічної конкуренції»11 січня 2001 року №2210 III;

Проблема конкурентоспроможності вітчизняної продукції в умовах подальшого розвитку економіки пов'язана, насамперед, з розробкою системи управління конкурентоспроможністю. Завоювання й утримання конкурентних переваг - ключові фактори успіху підприємства в конкурентній боротьбі. Особливої гостроти ця проблема досягає в умовах посилення інтенсивності конкуренції на окремих ринках, де від виробників продукції потрібно постійно відслідковувати зміни попиту, вартості сировинних ресурсів, а питання рентабельності активів прямо залежить від ступеня використання новітніх підходів у сфері стратегічного маркетингу.

Питанням розробки методології управління конкурентним перевагами різних об'єктів присвячені роботи як закордонних вчених-економістів - Ф. Котлера, М. Портера, А.А. Томпсона, І. Ансоффа, Г. Асселя, так і вітчизняних дослідників - В.І. Герасимчука, І.Л. Решетникової, Е.М. Азаряна, А.Є. Воронкової, Ю.Ф. Ярошенка. Безпосередньо проблемі аналізу конкуренції в галузі присвятили свої праці такі вітчизняні науковці, як Г.Л. Азоєв, А.П. Градов, Н.К. Мойсеева, Н.Е. Симеонова, Р.А. Фат-хутдінов, А.Д. Юданов, Е.П. Пешкова, Е.П. Голубков, А.Н. Романов, А.А. Бревнов, Г.Л. Багієв та ін.

Для сформованих концептуальних підходів до управління конкурентними перевагами характерна безліч відмінностей, що стосуються не тільки понятійного апарату, а й постановки цілей, теоретико-методологічної й практичної бази процесу дослідження й аналізу ринку.

Конкурентоспроможність товару відображає його здатність більш повно відповідати запитам покупців порівняно з аналогічними товарами, представленими на ринку.

Вона визначається конкурентними перевагами [1, с. 54]:

) з одного боку, якістю товару, його технічним рівнем, споживчими властивостями,

) з іншого боку - цінами, установлюваними продавцями товарів.

) крім того, на конкурентоспроможність впливають переваги:

в гарантійному й післягарантійному сервісі,

рекламі,

іміджі виробника,

а також ситуація на ринку, коливання попиту.

Високий рівень конкурентоспроможності товару свідчить про доцільність його виробництва й можливості вигідного продажу. Разом з тим конкурентоспроможність товару - це не тільки висока якість і технічний рівень, це й уміле маневрування в ринковому просторі й у часі, а головне - максимальний облік вимог і можливостей конкретних груп покупців. Причому об'єктивна оцінка всіх аспектів рівня конкурентоспроможності може бути вироблена тільки на основі критеріїв, якими оперує споживач, для якого цей товар призначений. Причини конкурентоспроможності товару необхідно шукати в конкурентних перевагах окремих його характеристик, що є наслідком більш ефективного управління процесом розробки, реалізації й експлуатації пропонованої продукції.

Конкурентоспроможність продукції й конкурентоспроможність фірми виробника співвідносяться між собою як частина й ціле. Можливість компаній конкурувати на певному товарному ринку безпосередньо залежить від конкурентоспроможності товару, а також сукупності економічних методів управління діяльністю фірми, що роблять вплив на результати конкурентної боротьби.

Конкурентоспроможність визначається за формулою

 

 - корисний ефект

 - ціна споживання

На рівень конкурентоспроможності фірми найважливіший вплив мають науково-технічний рівень і ступінь удосконалювання технології виробництва, використання новітніх винаходів і відкриттів, впровадження сучасних засобів автоматизації виробництва. Вирішальний фактор, що визначає стабільність конкурентоспроможності підприємства, - це не просто його здатність виробляти високоякісні товари, а й можливість забезпечити ними комерційний успіх. Конкурентоспроможність фірми - це не тільки результат діяльності фірми, а й стан вітчизняної економіки, низький рівень якої є ускладнюючим чинником при прогнозуванні результатів діяльності.

Найбільш складним є оцінка міри конкурентоспроможності, тобто виявлення характеру конкурентної переваги порівняно з іншими. Таким чином, рівень конкурентної переваги потрібно оцінювати щодо відповідної фірми-лідера. За умови дотримання певних вимог (ідентичність фаз життєвого циклу, ідентичність характеру, що задовольняє потреби, і т.д.) рівень конкурентної переваги може бути оцінений як відношення рівня рентабельності виробництва цієї фірми порівняно з аналогічним показником фірми-лідера, обчисленого на певну перспективу.

Таким чином, поняття конкурентної переваги можна визначити як ті характеристики й властивості товару, які створюють для фірми певну перевагу над своїми прямими конкурентами.

Конкурентна перевага може бути зовнішньою і внутрішньою. Зовнішня базується на відмітних якостях товару, які утворюють цінність для покупця, внутрішня - на перевазі фірми щодо витрат виробництва, які менші ніж у конкурентів.

Конкурентні переваги є концентрованим проявом переваги над конкурентами в економічній, технічній, організаційній сферах діяльності підприємства, які можна виміряти економічними показниками (додатковий прибуток, більш висока рентабельність, ринкова частка, обсяг продаж). Необхідно особливо підкреслити, що конкурентну перевагу не можна ототожнювати з потенційними можливостями компанії. На відміну від можливостей, - це факт, що фіксується в результаті реальних й очевидних переваг покупців. Саме тому в практиці бізнесу конкурентні переваги є головною метою й результатом господарської діяльності.

Конкурентні переваги - це результат низької собівартості продукції, високої міри диференціації товарів, розумного сегментування ринку, впровадження нововведень, швидкого реагування на потреби ринку. До них також можуть належати вищий рівень продуктивності праці й кваліфікації виробничого, технічного, комерційного персоналу; якість і технічний рівень виготовлених виробів; управлінська майстерність, стратегічне мислення на різних рівнях управління, що відображаються в економічному зростанні.

Конкурентна перевага є порівняльною, а отже, відносною, а не абсолютною, тому що вона може бути оцінена тільки шляхом порівняння характеристик, які впливають на економічну ефективність продаж. У маркетингових дослідженнях є спеціальний вид оцінки конкурентних переваг товарів, який називають «аналізом пар». Він полягає в тому, що споживачеві пропонують одночасно порівняти пари конкуруючих товарів, і він повинен зробити вибір, сформулювати переваги. Так прийнято порівнювати товари широкого вжитку. Кількість переваг, кращих виборів з боку респондентів відображає рейтинг товарів, що є результатом аналізу. Винятком щодо цього є товари, які володіють унікальними властивостями, що не мають замінників. Такого роду товари з «абсолютними» конкурентними перевагами мають, крім унікальної споживчої цінності, ще й ту особливістю, що вони неодмінно переборюють на певний час рамки конкуренції й займають монопольне положення на ринку. Це той єдиний тип монополізму, що повною мірою підтримується державою й закріплюється шляхом патентування принципово нових характеристик товарів. «Абсолютні» конкурентні переваги створюють додаткові стимули для науково-технічного прогресу і, в остаточному підсумку, сприяють розвитку конкуренції.

Відносність конкурентної переваги проявляється в іншій його важливій властивості - прихильності до конкретних умов і причин. Товар, що володіє перевагою за ціною на одному географічному ринку, може не мати цієї переваги на іншому. І навпаки, товар, що терпить комерційний провал, що витісняється з ринку, через певний час може мати успіх внаслідок, наприклад, виходу основного конкурента, зміни крос курсу валют, стрибка інфляції, вдало проведеної рекламної кампанії. Із цього видно, що конкурентна перевага будь-якого конкретного економічного об'єкта не може бути універсальною. При його аналізі фактор прив'язки до реальних ринкових умов повинен обов'язково враховуватися.

Другою характеристикою конкурентної переваги є її схильність неоднозначному впливу безлічі різнорідних факторів. Для того щоб домогтися конкурентної переваги, необхідні комплексні зусилля. Іноді і їх виявляється недостатньо через дію зовнішніх, неконтрольованих факторів. Більше того, ті самі фактори можуть, як підсилювати, так і послаблювати конкурентну перевагу.

1.2 О Оцінка конкурентоспроможності продукції підприємства


Оцінювання конкурентоспроможності продукції різних підприємств, згідно роботи Должанського І.3., Загорної Т.О.[17], може бути структуроване у вигляді наступних напрямків:

. Етапи оцінювання конкурентоспроможності продукції:

комплексний підхід до підвищення якості й конкурентоспроможності продукції;

концепція якості продукції в системі внутрішньофірмового управління;

загальна схема оцінювання конкурентоспроможності;

вибір номенклатури параметрів, які використовуються при оцінюванні конкурентоспроможності;

вибір бази порівняння для оцінювання конкурентоспроможності;

вибір методів оцінювання конкурентоспроможності товару;

. Оцінка конкурентоспроможності персоналу, організації, галузі, держави:

особливості оцінювання конкурентоспроможності персоналу;

системний аналіз у методиці оцінювання конкурентоспроможності організації;

загальні підходи до оцінювання конкурентоспроможності галузі, регіону, держави;

Конкурентоспроможність визначається сукупністю властивостей продукції, що входять до складу її якостей, важливих для споживача, і визначають витрати споживача з придбання, споживання (експлуатації) та утилізації продукції.


Рис. 1.1 Загальна схема оцінювання конкурентоспроможності

Оцінювання конкурентоспроможності починається з визначення мети дослідження:

якщо необхідно визначити положення даного товару в ряді аналогічних, то досить провести їхнє пряме порівняння за найважливішими параметрами;

якщо метою дослідження є оцінювання перспектив збуту товару на конкретному ринку, то в аналізі слід використовувати інформацію, що включає відомості про вироби, які вийдуть на ринок у перспективі, а також відомості про зміну діючих у країні стандартів і законодавства, динаміки споживчого попиту.

При аналізі слід використовувати ті самі критерії, якими оперує споживач, вибираючи товар. По кожній із груп параметрів проводиться порівняння, що показує наскільки ці параметри близькі до відповідного параметра потреби. Аналіз конкурентоспроможності починається з оцінки нормативних параметрів. Якщо хоча б один з них не відповідає рівню, що запропонований діючими нормами й стандартами, то подальша оцінка конкурентоспроможності продукції недоцільна, незалежно від результату порівняння за іншими параметрами.

Проводиться підрахунок групових показників, які в кількісній формі виражають розходження між аналізованою продукцією й потребою по даній групі параметрів і дозволяє судити про ступінь задоволення потреби по цій групі. Розраховується інтегральний показник, що використовується для оцінювання конкурентоспроможності аналізованої продукції за всіма розглянутими групами параметрів у цілому.

Результати оцінювання конкурентоспроможності використовуються для вироблення висновку про неї, а також - для вибору шляхів оптимального підвищення конкурентоспроможності продукції для вирішення ринкових завдань. У результаті оцінювання конкурентоспроможності продукції можуть бути прийняті такі рішення:

зміна складу, структури застосовуваних матеріалів (сировини, напівфабрикатів), що комплектують вироби або конструкції продукції;

зміна порядку проектування продукції;

зміна цін на продукцію, цін на послуги з обслуговування й ремонту, цін на запасні частини;

зміна порядку реалізації продукції на ринку;

зміна структури й розміру інвестицій у розробку, виробництво й збут продукції;

зміна системи стимулювання постачальників;

зміна структури імпорту й видів імпортованої продукції.

Принципи й методи оцінювання конкурентоспроможності можуть бути використані для обґрунтування прийнятих рішень при:

комплексному вивченні ринку й виборі напрямів комерційної

діяльності підприємства;

розробленні заходів щодо підвищення конкурентоспроможності продукції;

оцінюванні перспектив продажу конкретних виробів і формуванні структури продаж;

розробленні пропозицій з розвитку виробничого потенціалу підприємства;

контролі якості продукції;

установленні цін на продукцію;

відборі продукції при купівлі через тендери й торги;

атестації продукції.

Оцінювання конкурентоспроможності ґрунтується на порівнянні характеристик аналізованої продукції з конкретною потребою й виявленні їхньої відповідності один одному. Для об'єктивного оцінювання необхідно використати ті самі критерії, якими оперує споживач, вибираючи товар на ринку. Отже, повинно бути вирішене завдання визначення номенклатури параметрів, що підлягають аналізу й істотні з погляду споживача.

Номенклатура параметрів, використовуваних при оцінці конкурентоспроможності, включає дві узагальнюючі групи - параметрів якості: (технічних) та економічних параметрів (Додаток Б).

До групи технічних належать параметри потреби, які характеризують зміст цієї потреби й умови її задоволення. До них належать: параметри призначення; ергономічні параметри; естетичні параметри, нормативні параметри.

Параметри призначення характеризують сферу застосування продукції й функції, які вона призначена виконувати. По них можна судити про зміст корисного ефекту, що досягається за допомогою застосування даної продукції в конкретних умовах споживання.

Параметри призначення поділяються [31, с. 41]:

на класифікаційні параметри, що характеризують належність продукції до певного класу й використовуються при оцінюванні тільки на етапі вибору сфери застосування продукції й товарів-конкурентів, вони є базою для наступного аналізу і в подальших розрахунках не беруть участі;

параметри технічної ефективності, що характеризують прогресивність технічних рішень, використовуваних при розробці й виготовленні продукції (наприклад, продуктивність верстата, точність і швидкість спрацьовування вимірювальних приладів, обсяг пам'яті для ЕОМ), вони можуть бути одночасно й класифікаційними;

конструктивні параметри, що характеризують основні проектно-конструкторські рішення, які використовуються при розробці й виробництві виробу (склад виробу, його структура, розміри, маса), окремі параметри також можуть бути цілям класифікації;

ергономічні параметри, що характеризують продукцію з погляду її відповідності властивостям людського організму при виконанні трудових операцій або споживанні (гігієнічні, антропометричні, фізіологічні властивості людини, що проявляється у виробничих і побутових процесах);

естетичні параметри, що характеризують інформаційну виразність (раціональність форми, цілісність композиції, досконалість виробничого виконання продукції й стабільність товарного виду), вони моделюють зовнішнє сприйняття продукції й відображають саме такі її зовнішні властивості, які є для споживача найбільш важливими, вони ранжуются за мірою значимості для конкретного виду продукції;

нормативні параметри, що характеризують властивості продукції, які регламентуються обов'язковими нормами, стандартами й законодавством на ринку, де цю продукцію передбачається збувати (параметри патентної чистоти, що характеризують міру втілення в продукцію технічних рішень і не підпадають під дію патентів, виданих у країнах передбачуваного збуту, екологічні параметри, параметри безпеки, по яких для даного ринку встановлені обов'язкові діючі вимоги міжнародних, національних стандартів, технічних регламентів, норм, законодавства).

До груп економічних параметрів належать повні витрати споживача (ціна споживання) на придбання й споживання продукції, а також умови її придбання й використання на конкретному ринку. Повні витрати споживача в загальному випадку включають одноразові й поточні витрати.

Одноразові витрати являють собою витрати на придбання продукції (ціна продукції), транспортування, митні збори й витрати, витрати на налагодження, пробний пуск, якщо вони не входять в ціну продукції. Іноді це витрати на спорудження, необхідність у яких обумовлена вимогами експлуатації або споживання продукції.

Поточні витрати включають [39, с. 59]:

витрати на оплату праці обслуговуючого персоналу, які визначаються нормами й місцевими тарифами в конкретних умовах використання (експлуатації) продукції;

витрати на паливо й енергію, які включають їхню вартість відповідно до норм і цін, що діють на конкретному ринку, а також додаткові витрати, пов'язані з доставкою, навантаженням і розвантаженням палива;

витрати на сировину, основні й допоміжні матеріали, споживані при використанні продукції, обумовлені відповідно до норм їхньої витрати для експлуатації або споживання оцінюваної продукції й цінами конкретного ринку;

витрати на ремонт, запасні частини та інші статті витрат для конкретного покупця, що виходять з умов експлуатації (споживання) продукції в цього покупця, а також нормами, ставками й цінами на послуги й частини на конкретному ринку (у випадку відсутності конкретної інформації для конкретного покупця, зазначені витрати визначаються з використанням даних, середніх для галузі або країни, до яких належить споживач продукції).

Від вибору бази порівняння значною мірою залежить правильність результату оцінки конкурентоспроможності й прийняті надалі рішення. Вибір бази порівняння включає: установлення цілі оцінки конкурентоспроможності продукції; вибір передбачуваних ринків збуту продукції; аналіз стану ринків, обсягів і структури попиту та пропозиції, динаміки їхньої зміни на відповідний період оцінки.

Типи баз порівняння [30, с. 15]:

. Потреба покупців: вибір номенклатури й установлення величин параметрів потреби покупців, оцінюваної й конкуруючої продукції, якими споживач користується при оцінці продукції на ринку, а також вагомості цих параметрів у загальному їхньому наборі;

. Величина необхідного споживачеві корисного ефекту продукції, а також сума коштів, які споживач готовий витратити на придбання і споживання (експлуатацію) продукції;

. Зразок - який застосовується, якщо оцінювана продукція відомого класу й на ринку існують її аналоги. Товар - зразок моделює потребу й виступає як матеріалізовані вимоги, яким повинна задовольняти продукція, що підлягає оцінці;

. Гіпотетичний зразок являє собою середнє значення параметрів групи виробів. Застосовується, коли інформації з конкретного зразка-аналогу недостатньо. Фактично мова йде про аналіз потреби, який може й не існувати, тому ця оцінка повинна розглядатися як орієнтовному й підлягає подальшому уточненню;

. Група аналогів, відібраних з погляду узгодження, класифікаційних параметрів зразка й оцінюваної продукції. з яких вибираються найбільш представницькі, а потім прогресивні вироби, що мають найкращу перспективу для подальшого розширення обсягу продаж. Застосовується, якщо порівняння проводиться для визначення ціни товару на конкретному ринку.

Параметри аналізованої продукції оцінюють шляхом зіставлення з параметрами бази порівняння.

Порівняння проводиться за групами технічних та економічних параметрів. При оцінюванні використовують диференціальний і комплексний методи.

Диференціальний метод оцінювання конкурентоспроможності заснований на використанні одиничних параметрів аналізованої продукції й бази порівняння та їхньому зіставленні.

Цей метод дозволяє лише констатувати факт конкурентоспроможності аналізованої продукції або наявності в ній недоліків порівняно з товаром-аналогом. Він може використовуватися на всіх етапах життєвого циклу продукції, особливо при її порівнянні з гіпотетичним зразком. Він не враховує впливу на перевагу споживача при виборі товару вагомості кожного параметра.

Комплексний метод оцінювання конкурентоспроможності ґрунтується на застосуванні комплексних (групових, узагальнених та інтегральних) показників або зіставленні питомих корисних ефектів аналізованої продукції й зразка.

Груповий показник за економічними параметрами обчислюють на підставі визначення повних витрат споживача на придбання й споживання (експлуатацію) продукції.

Відзначаючи взаємозв'язок і взаємозалежність споживчих властивостей і вартості товару, як головних напрямів маркетингової діяльності з забезпечення конкурентоспроможності продукції в довгостроковому періоді, варто підкреслити, що підвищення споживчих властивостей товару на шкоду його вартісним характеристикам неминуче веде до негативного результату.

Конкурентноздатність товару знаходиться в прямій залежності від різних факторів. Серед них першорядне значення мають:

- витрати виробництва,

-        продуктивність,

         інтенсивність праці.

Одним з основних показників, що визначають товарну конкурентноздатність на світовому ринку, є продуктивність праці, оскільки саме в процесі виробництва закладаються матеріальні основи конкуренції, що виявляються на ринку через порівняльний рівень цін і прибутковості.

Під конкурентоспроможністю (Competitiveness) продукції заведено розуміти сукупність її властивостей, що відбиває міру задоволення конкретної потреби проти репрезентованої на ринку аналогічної продукції. Вона визначає здатність витримувати конкуренцію на ринку, тобто мати якісь вагомі переваги над виробами інших товаровиробників [32, с. 36].

Конкурентоспроможність підприємства є результатом його конкурентних переваг, до яких належать певні характеристики товарів, умови виробництва і реалізації, додаткове обслуговування, тобто все те, що відрізняє його діяльність і створює перевагу над конкурентами. До основних чинників конкурентоспроможності підприємства на сучасному етапі віднесено такі: якість продукції і послуг, рівень техніки й технології, доступ до привабливих джерел фінансового забезпечення, рівень активності інноваційно-інвестиційної діяльності, наявність стратегії підтримки високого рівня конкурентоспроможності, орієнтація у своїй діяльності на ринок і систематичну роботу зі споживачами, наявність конкурентної стратегії щодо безпосередніх конкурентів, рівень кваліфікації персоналу і рівень менеджменту, ринкова інфраструктура, правове поле функціонування підприємства тощо.

рентабельність витрати конкурентоспроможність актив

РОЗДІЛ 2. ПРАКТИЧНІ АСПЕКТИ ВИЗНАЧЕННЯ ФІНАНСОВОГО СТАНУ ТОВ "Перлина"

 

2.1 Організаційно-економічна характеристика ТОВ "Перлина"


ТОВ «Перлина» зареєстровано у Виконавчому комітеті Уманської міської ради від 12.09.2001 за № A00 151063. Форма власності - приватна(код 31712679).

ТОВ «Перлина» не є засновником інших юридичних осіб чи установ.

Місцезнаходження ТОВ «Перлина» (платника податків) відповідно до установчих документів (юридична адреса):18016, Черкаська обл., м. Умань вул. Леніна буд. 23.

На балансі ТОВ «Перлина» рахуються власні офісні та складські приміщення.

Згідно статуту та відповідно до довідок органу статистики, основним видом діяльності фінансової установи є  роздрібна торгівля годинниками та ювелірними виробами <#"704672.files/image005.gif"> 

Середньооблікова чисельність відображає чисельність працівників у середньому включених до списку підприємства за певний період і за 2012 рік становить 70 осіб.

. Визначено коефіцієнти обороту робочої сили по прийому та по звільненню:

а) коефіцієнт обороту робочої сили по прийому

 

ЧСС - середньоспискова чисельність працівників

ЧП - чисельність прийнятих на роботу за період

 

Коефіцієнт робочої сили по прийому відображає відношення кількості прийнятих працівників до середньоспискової чисельності. Коефіцієнт робочої сили по прийому становить 0,39.

б) коефіцієнт обороту робочої сили по звільненню

 

ЧЗВ. ЗАГ. - загальне число звільнених за період

 

Коефіцієнт робочої сили по звільненню відображає відношення кількості звільнених працівників до середньоспискової чисельності. Коефіцієнт робочої сили по звільненню становить 0,19.

. Визначено продуктивність і трудомісткість праці за 2011 та 2012 роки:

а) продуктивність праці

 

Q - обсяг виробництва продукції

 

 

Продуктивність праці характеризує її ефективність і відображає співвідношення обсягу продукції та кількості праці затраченої на її виробництво. У звітному періоді продуктивність праці зменшилася за рахунок скорочення обсягу виробництва і збільшення кількості працівників.

б) трудомісткість праці

 

 

 

Трудомісткість праці є оберненим показником рівня продуктивності праці, що характеризує кількість робочого часу витраченого на виробництво одиниці продукції. Трудомісткість має тенденцію до збільшення. Тобто відбулося збільшення втрат робочого часу на виробництво одиниці продукції у зв’язку зі зменшенням обсягу виробництва і збільшенням кількості працівників.

. Розраховано коефіцієнт фізичного зносу основних засобів за 2011 та 2012 роки

 

АСУМ - сума амортизаційних відрахувань

ПВ - первісна вартість основних засобів

 

 

Показник фізичного зносу відображає втрати основними засобами своїх споживчих властивостей, внаслідок чого вони не відповідають вимогам, які до них ставляться.

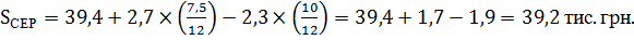
. Визначено середньорічну вартість основних засобів:

 

ПОЧ - вартість основних засобів на початок рокуВВ - вартість введених основних засобівВИВ - вартість виведених основних засобів

 

Середньорічна вартість основних засобів відображає вартість основних засобів у середньому включених до списку підприємства за певний період і за звітний період становить 39,2 тис.грн.

. Визначено коефіцієнт оновлення і коефіцієнт вибуття основних засобів:

а) коефіцієнт оновлення основних засобів

 

SК - вартість основних засобів на кінець року

 

Коефіцієнт оновлення характеризує інтенсивність введення в дію нових основних засобів, показує частку введених основних засобів за визначений період у загальній вартості основних засобів на кінець звітного періоду. У звітному періоді даний коефіцієнт становить 0,068.

б) коефіцієнт вибуття основних засобів

 

 

Коефіцієнт вибуття відображає рівень інтенсивності вибуття основних засобів зі сфери виробництва. У звітному періоді даний коефіцієнт становить 0,058. Оскільки коефіцієнт оновлення більший за коефіцієнт вибуття, то має місце розширене відтворення основних засобів.

. Розраховано показники фондовіддачі, фондомісткості,фондоозброєностіта рентабельності основних засобів підприємства за 2011 та 2012 роки:

а) фондовіддача

 

 

 

Фондовіддача характеризує частку обсягу випущеної підприємством продукції, що припадає на 1 грн. середньорічної вартості основних засобів. У 2012 році відносно 2011 року фондовіддача зменшилася через скорочення обсягу виробництва.

б) фондомісткість

 

 

 

Фондомісткість є показником оберненим до фондовіддачі.

Вона характеризує частку середньорічної вартості основних засобів, що припадає на 1 грн. випущеної підприємством продукції.

в) фондоозброєність

 

 

 

За допомогою показника фондоозброєності можна охарактеризувати забезпеченість підприємства основними засобами.

г) рентабельність основних засобів

 

П - прибуток

 

 

Характеризуючи показник рентабельності основних засобів, можна сказати, що розмір прибутку на одиницю основних засобів збільшився в 2012 році порівняно з 2011, тобто на даному підприємстві спостерігається тенденція до підвищення ефективності його діяльності.

а) матеріаломісткість

 

МЗАГ - загальна сума матеріальних затрат

 

 

Матеріаломісткість продукції виступає вартісним показником, який відображає рівень матеріальних витрат на кожну гривню товарної продукції. У 2012 році порівняно з 2011 показник матеріаломісткості зріс.

б) матеріаловіддача

 

 

 

Матеріаловіддача є показником зворотним до показника матеріаломісткості і характеризує вихід продукції з 1 грн. витрачених матеріальних ресурсів.

в) рентабельність оборотних засобів

 

ПБ - прибуток балансовий

ОЗСЕР - середній залишок оборотних засобів

 

 

Характеризуючи рентабельність оборотних засобів можна сказати, що у 2012 році порівняно з 2011 показник збільшився, так як збільшився прибуток.

Отже рентабельність оборотних засобів збільшилася, що свідчить про підвищення рівня окупності використання у виробництві оборотних засобів.

2.2 Оцінка фінансового стану ТОВ "Перлина"


3. Здійснено оцінку фінансово-економічного стану підприємства, зокрема визначено значення коефіцієнтів: автономії, маневреності, фінансової стабільності, фінансової незалежності, фінансового важелю (левериджу), платоспроможності, абсолютної ліквідності, покриття, швидкої ліквідності:

а) коефіцієнт автономії (норм. знач. ≥0,5)

 

 

 

Коефіцієнт автономії показує, яку частину у загальних вкладеннях у підприємство складає власний капітал. Він характеризує фінансову незалежність підприємства від зовнішніх джерел фінансування його діяльності. У звітному періоді відносно базового коефіцієнт автономії зменшився і свідчить про достатньо високу залежність підприємства від залучених коштів.

б) коефіцієнт маневреності власного капіталу(норм. знач. > 0,5)

 

 

 

Коефіцієнт маневреності показує, здатність підприємства підтримувати рівень власного оборотного капіталу й поповнювати оборотні кошти в разі потреби за рахунок власних джерел.У 2012 році порівняно з 2011 цей коефіцієнт зріс і показує достатню маневреністьвласного капіталу підприємства.

в) коефіцієнт фінансової стабільності

 

 

 

Коефіцієнт фінансової стабільності розраховують для визначення фінансової стійкості підприємства. Він характеризує співвідношення власних та позикових коштів. Нормативне значення коефіцієнта ≥ 1. У 2012 році цей коефіцієнт зменшився і показує на недостатню фінансову стійкість підприємства.

г) коефіцієнт фінансової незалежності

 

 

 

Коефіцієнт фінансової незалежності є оберненим до коефіцієнта фінансової стабільності і характеризує відношення залученого капіталу до власного. Нормативне значення коефіцієнта < 1.

д) коефіцієнт фінансового важелю (левериджу)

 

 

 

Коефіцієнт фінансового левериджу показує залежність підприємства від довгострокових зобов’язань. Нормативне значення повинно бути < 0,5. У 2012 році порівняно з 2011 цей коефіцієнт зменшився і показує на достатньо високу незалежність підприємства від довгострокових зобов’язань.

е) коефіцієнт платоспроможності

 

 

 

Характеризуючи коефіцієнт платоспроможності, можна сказати, що за нормальних умов він має бути > 1. У 2012 році коефіцієнт платоспроможності становив 1,14, що свідчить про достатню здатність до погашення зобов’язань.

є) коефіцієнт абсолютної ліквідності

 

 

 

Коефіцієнт абсолютної ліквідності показує, яку частину короткострокових позикових зобов’язань можна за необхідності погасити негайно. Оптимальний рівень коефіцієнта дорівнює 0,2 - 1. Можна зробити висновок, що підприємство може негайно погасити достатню частину короткострокових зобов’язань.

ж) коефіцієнт покриття

 

 

 

Коефіцієнт покриття - це показник, який дає загальну оцінку платоспроможності. Виходячи з того, що він повинен бути ≥ 1, то можна зробити висновок, що підприємство має достатні оборотні кошти, сформовані завдяки власним джерелам.

к) коефіцієнт швидкої ліквідності

 

 

 

Коефіцієнт швидкої ліквідності дає можливість оцінити платоспроможність підприємства. Ймовірність погашення короткострокових зобов’язань тим більша, чим вищий цей коефіцієнт. У світовій практиці вважається, що даний коефіцієнт повинен бути не меншим 1, оптимальними межами є 0,6-0,8. У зв’язку з цим можна зробити висновок, що хоча коефіцієнт швидкої ліквідності у 2012 році і знизився порівняно з 2011 роком, проте він все ще є достатнім для забезпечення нормальної платоспроможності.

. Визначено рентабельність продукції, власного капіталу, активів, витрат, реалізації продукції:

а) рентабельність продукції

 

 

 

б) рентабельність власного капіталу

 

 

 

Показник рентабельності власного капіталу показує скільки чистого прибутку припадає на одиницю власного капіталу.

в) рентабельність активів

 

 

 

Показник рентабельності активів показує скільки припадає чистого прибутку на одиницю інвестованих в активи коштів. Збільшення цього показника є позитивним для підприємства.

г) рентабельність витрат

 

 

 

Рентабельність витрат показує частку прибутку, яку підприємство має з кожної гривні, витраченої на виробництво і реалізацію продукції.

д) рентабельність реалізації продукції

 

 

 

Рентабельність реалізації продукції показує, яку частину прибутку одержує підприємство з кожної гривні проданої продукції.

Розглянувши розраховані показники рентабельності діяльності підприємства видно, що в загальному його прибутковість підвищується.

РОЗДІЛ 3 ШЛЯХИ ПІДВИЩЕННЯ КОНКУРЕНТОСПРОМОЖНОСТІ ПІДПРИЄМСТВА ТА ПРОДУКЦІЇ

.1       Основні шляхи підвищення конкурентоспроможності підприємства

При виборі шляхів підвищення конкурентоспроможності товару нерідко буває дуже своєчасним рішення не про запуск нового, не про зняття з виробництва морально застарілого, а про модифікацію товару. Рішення про модифікацію товару приймається з метою задоволення особливих вимог покупців для отримання більшого прибутку.

Безперечним є і розвиток такого напрямку підвищення конкурентоспроможності товару, як своєчасне надання комплексу послуг, пов'язаних зі збутом і використанням машин, обладнання та іншої промислової продукції та забезпечують їх постійну готовність до високоефективної експлуатації, тобто сервісне або післяпродажне обслуговування. При вмілій організації сервіс є вирішальним чинником підвищення конкурентоспроможності товару, так як ціни на запасні частини в 1,5 - 2,0 рази нижче, ніж ціни на комплектуючі, використовувані у виробництві.

В окремих галузях промисловості існує практика, відповідно до якої фірма-виробник гарантує постачання запасних частин до продаваним виробам протягом певного більш-менш тривалого періоду (нерідко 10 - 12 років, а в Німеччині наприклад автобудівники законодавчо зобов'язані забезпечити наявність запчастин на протязі 10 років ) після зняття їх з виробництва, що дуже привабливо для користувачів. При цьому дуже важливим є те, що працівники служби сервісу, щодня стикаються з встановленим обладнанням, служать джерелом найбільш цінних ідей, що стосуються підвищення рівня конкурентоспроможності наявних і нових виробів [19, c.43].

У рішенні задач підвищення конкурентоспроможності продукції з кожним роком все зростаюче значення набуває проблема вибору та освоєння нових ринків збуту. У зв'язку з цим на будь-якому підприємстві дуже важливі аналітико-пошукові зусилля в цій області. Нові ринки збуту вирішальним чином можуть змінити конкурентоспроможність товару і рентабельність збутової діяльності. Зрозуміло, що впроваджуючи товар на новий ринок, можна продовжити життєвий цикл товару. Сезонні коливання в попиті можуть сприяти успішній реалізації того самого товару в різних точках планети. А збільшення обсягу продажів на нових ринках дозволить знизити витрати виробництва на одиницю продукції, насамперед за рахунок використання дешевої робочої сили, досить низьких рівнів податків і митних зборів і ряду інших факторів на нових ринках збуту. У зв'язку з цим дуже важливо для подальшого розвитку конкурентоспроможності товару (перш ніж перейти до нового, його модифікації, зняттю з виробництва) спробувати вийти з ним на новий ринок збуту, якщо на внутрішньому його конкурентоспроможність різко впала. Але при цьому треба точно знати ступінь забезпеченості нових ринків висококваліфікованими працівниками ремонтних і обслуговуючих організацій, тому що в противному випадку покупці можуть зажадати підвищення надійності і спрощення конструкції реалізованої продукції.

В результаті оцінки конкурентоспроможності продукції можуть бути прийняті наступні шляхи підвищення конкурентоспроможності [15, с.31]:

- Зміна складу, структури застосовуваних матеріалів (сировини, напівфабрикатів), комплектуючих виробів та / або конструкції продукції;

-        Зміна порядку проектування продукції;

         Зміна технології виготовлення продукції; методів випробувань, системи контролю якості виготовлення, зберігання, упакування, транспортування і монтажу;

         Зміна цін на продукцію, цін на послуги, по обслуговуванню і ремонту, і цін на запасні частини;

         Зміна порядку реалізації продукції на ринку;

         Зміна структури і розміру інвестиції в розробку, виробництво і збут продукції;

         Зміна структури та обсягів коопераційних постачань при виробництві продукції і цін на комплектуючі вироби і складу обраних постачальників;

         Зміна системи стимулювання постачальників;

         Зміна структури імпорту і видів імпортованої продукції.

Стратегія підвищення якості товару є найважливішою складовою частиною стратегії фірми. Об'єктами прогнозування є показники якості товару, що уступають аналогічним показникам товарів конкурентів.

Нагадаємо, що в країнах Європи особливе значення має екологічна група чинників, у тому числі з точки зору їх впливу на конкурентоспроможність підприємств. У всіх країнах світу домінантним стає екологічний тип виробництва, який передбачає комплексне використання ресурсів, впровадження маловідходних і безвідходних технологій, скоєних очисних споруд, всемірне поліпшення стан охорони праці та навколишнього середовища.

Можна відзначити основну можливість, що відкривається на екологічному ринку - це поліпшення існуючої продукції шляхом її адаптації до нових екологічних вимог. Багато діючі компанії розширюють свій бізнес, пристосовуючи вже випускається, або способи виробництва до нових потреб ринку.

Прикладом вдалої реалізації подібної стратегії може служити популярний в Німеччині бренд "Happy Chicken" (Щасливе Курча). Спочатку таке маркування дійсно ставилася на бройлерних курчат, вирощених в екологічно чистих умовах, без застосування генетично зміненого корму і штучних кормових добавок. Потім під цим брендом стали випускатися і інші продукти харчування. Паралельно йшла активна розкрутка нового бренду. Споживачам переконували, що, використовуючи продукцію з маркуванням "Happy Chicken", піклуються про своє здоров'я і здоров'я своїх близьких. На сьогоднішній день популярність цього бренду в Німеччині настільки велика, що навіть незважаючи на в півтора-два рази вищу ціну (порівняно зі звичайною продукцією), продукти з маркуванням "Happy Chicken" користуються дуже високим попитом [20, с.113].

У кінцевому результаті необхідно націлити підприємства, по-перше, на постійне впровадження у виробництво нових, більш досконалих виробів, по-друге, на неухильне скорочення всіх видів витрат на виробництво продукції, по-третє, на підвищення якісних і споживчих характеристик при зниженні цін на вироби, що випускаються, що і має у результаті створити умови для перемоги в конкурентній боротьбі.

3.2     Фактори забезпечення конкурентоспроможності продукції підприємства

В економічній літературі існує різна класифікація факторів конкурентоспроможності в залежності від ознак їх розподілу. Так, за об’єктом дослідження виділяють наступні фактори: ті, що залежать від технології; які належать до сфери виробництва; що стосуються реалізації продукції; які входять до сфери маркетингу; що відносяться до професійних навичок; пов’язані з організаційними можливостями. За природою виникнення фактори поділяються на основні та розвинуті; загальні та спеціалізовані; природні та штучно створені. Існує також класифікація за ознакою керованості: контрольовані і неконтрольовані; керовані та некеровані; за сферою дії - зовнішні та внутрішні; за рівнем спеціалізації - інтегральні та специфічні; за конкурентним рівнем - мікрорівневі, мезорівневі, макрорівневі. Узагальнено фактори конкурентоспроможності підприємств можна поділити на зовнішні та внутрішні.

Зовнішні фактори - соціально-економічні й організаційні відносини, що дозволяють підприємству створити продукцію, що за ціновими і неціновими характеристиками більше приваблива. До зовнішніх факторів відносяться:

- тип підприємства та кон’юнктура ринку;

- наявність і можливості конкурентів;

- забезпеченість, склад і структура трудових ресурсів;

- податкова політика;

- фінансово-кредитна політика;

- державна система стандартизації;

- правовий захист інтересів споживачів;

Внутрішні фактори - це об’єктивні критерії, які визначають можливості підприємства із забезпечення власної конкурентоспроможності. До внутрішніх факторів відносяться:

- інноваційний потенціал;

- виробничий та фінансово-економічний потенціал;

- потенціал маркетингових служб, імідж фірми;

- якість і ціна товару;

- рівень матеріально-технічного обслуговування;

- конкурентоспроможність продукції та послуг;

Враховуючи специфіку сфери діяльності підприємства, різні підприємства, мають різний стратегічний потенціал, реалізовують різні стратегії і можуть функціонувати в середовищі різної міри складності. При цьому одні і ті ж фактори для різних підприємств можуть бути як керованими (тобто підприємство здатне впливати на них), так і некерованими або такими, що враховуються (підприємство пристосовується до їх зміни). До керованих факторів конкурентоспроможності аграрних підприємств відносяться:

- використання природних ресурсів;

- просторові умови;

- фінансовий потенціал;

- кваліфікованість та використання персоналу підприємства;

- рівень матеріально-технічного, техніко-технологічного забезпечення;

- ефективна підприємницька стратегія, маркетинг;

- ступінь вертикальної інтеграції та рівень диверсифікації виробництва.

Некеровані фактори конкурентоспроможності підприємств включають в себе:

- природно-кліматичні умови, здатність деяких видів продукції швидко псуватися;

- екологічні умови;

- винаходи, технологічний прорив;

- тенденції ресурсного забезпечення;

- кон’юнктура та інфраструктура ринку;

- політична , адміністративна, криміногенна ситуація

Фактори - це ті явища і процеси виробничої діяльності підприємства і соціально-економічного життя суспільства, які викликають зміну абсолютної і відносної величини витрат на виробництво, а в результаті зміну рівня конкурентоспроможності самого підприємства. Вони можуть впливати як у бік підвищення конкурентоспроможності підприємства, так і у бік зменшення. Але наявності самих факторів недостатньо для забезпечення конкурентоспроможності. Здобуття конкурентної переваги на основі факторів залежить від того, наскільки ефективно вони використовуються і де, в якій галузі, вони застосовуються.

Таким чином, підвищення конкурентоспроможності підприємства залежить від ефективного використання всіх факторів, що дасть змогу збільшити виробництво високоякісної продукції, знизити затрати праці та коштів, одержати прибутки в розмірах, сприятиме прискоренню виходу галузі з фінансової кризи, дозволить зміцнити експортний потенціал та надійність продовольчої безпеки.

ВИСНОВКИ


У ході дослідження за темою «конкурентоспроможність продукції промислового підприємства та розробка заходів щодо її підвищення», було зроблено ряд висновків:

1) Конкурентоспроможність продукції на промисловому підприємстві регламентується такими документами: Господарський кодекс України від 16 січня 2003 року №436-IV,Податковий кодекс України, Постанови Кабінету Міністрів Україні в сфері торгівлі та наданні послуг,Закон України «Про захист економічної конкуренції»11 січня 2001 року №2210 III та ін.;

3) Високий рівень конкурентоспроможності товару свідчить про доцільність його виробництва й можливості вигідного продажу. Разом з тим конкурентоспроможність товару - це не тільки висока якість і технічний рівень, це й уміле маневрування в ринковому просторі й у часі, а головне - максимальний облік вимог і можливостей конкретних груп покупців.

) У другому розділі курсової роботи було проведено аналіз фінансового стану підприємства ТОВ «Перлина» за такими показниками: рентабельність основних та оборотних засобів; коефіцієнт матеріаломісткості; коефіцієнти автономії, фінансової стабільності, фінансового левериджу, платоспроможності та ін.

) У третьому розділі надані пропозиції та рекомендації щодо шляхів підвищення конкурентоспроможності, які полягають у: 1) зміні цін на продукцію, цін на послуги, по обслуговуванню і ремонту, і цін на запасні частини; 2) зміні системи стимулювання постачальників; 3) Зміна технології виготовлення продукції; методів випробувань, системи контролю якості виготовлення, зберігання, упакування, транспортування і монтажу;4) своєчасне надання комплексу послуг, пов'язаних зі збутом і використанням машин, обладнання та іншої промислової продукції.

6) також було розглянуті фактори забезпечення конкурентоспроможності продукції підприємства, які полягають у: 1) розподілі заробітної плати на 3 частини (за чітке виконання обов’язків, за вислугою років, за досягнення результатів в попередній період); 2) здійснювати преміювання або мораль-не заохочення досить оперативно; диференціювати заробітну плату залежно від певної групи працівників, умов праці та трудових досягнень; підвищення заробітної плати за виконання особливих видів робіт (найбільш відповідальних, важливих, потрібних); 3) запровадження системи послідовної винагороди.

СПИСОК ВИКОРИСТАНИХ ДЖЕРЕЛ


1. Господарський кодекс України від 16 січня 2003 року №436-IV (діє з 01.01.2004) // Із змінами і доповненнями, внесеними Законами України від 9 січня 2007 року №549-V, ОВУ, 2007 р., №8, ст. 276

2. Податковий Кодекс України від 2 грудня 2010 року №2755-VI // Із змінами і доповненнями, внесеними Законом України від 23 грудня 2010 року №2856-VI

3. Закон України «Про збір та облік єдиного внеску на загальнообов'язкове державне соціальне страхування» №2464-VI від 08.07.2010 // Із змінами і доповненнями, внесеними Законами України станом №3668-VI від 08.07.2011

. Положення (стандарт) бухгалтерського обліку 2 «Баланс» // Наказ Мі-ністерства фінансів України від 31 березня 1999 р. №87 (Із змінами і допов-неннями, внесеними наказами Міністерства фінансів України станом від 18 березня 2011 року №372)

. Положення (стандарт) бухгалтерського обліку 3 «Звіт про фінансові результати» // Наказ Міністерства фінансів України від 31 березня 1999 р. №87 (Із змінами і доповненнями, внесеними наказами Міністерства фінансів Укра-їни станом від 18 березня 2011 року №372)

. Балабанова Л.В. Управління конкурентоспроможністю підприємств: навч. посібник / Л.В. Балабанова, Г.В. Кривенко, І. В. Балабанова; М-во освіти і науки України, Донецький нац. ун-т екон. і торгівлі ім. М. Туган-Барановського. - К.: Професіонал, 2009. - 256 с.

. Березін О.В. Економіка підприємства: навч. посібник / О.В. Березін, Л.М. Березіна, Н.В. Бутенко. - К.: Знання, 2009. - 390 с

. Бердар М.М. Фінанси підприємств: навч. посібник / М.М. Бердар; М-во освіти і науки України, Київський нац. ун-т ім. Тараса Шевченка. - К.: Центр учбової літератури, 2010. - 350 с.

. Білик М.Д., Павловська О.В., Притуляк Н.М., Невмержицька Н.Ю. Фінансовий аналіз: Навч. посібник / Київський національний економічний ун-т ім. Вадима Гетьмана. - К.: КНЕУ, 2005. - 592 с.

10. Бойко В.В. Економіка підприємства України: Навч. Посібник / В.В. Бойко. - 4-е вид., перероб. і доп. - Д.: Національний гірничий університет, 2008. - 551 с.

11. Бригхэм, Юджин Ф. Финансовый менеджмент / Юджин Ф. Бригхэм, Майкл С. Эрхардт; [пер. с англ. Е. Бугаевой, А. Колос; под ред. Е.А. Дорофеева]. - 10-е изд. - СПб.: Питер, 2009. - 960 с.

12. Ван Хорн, Джеймс К.С. Основы финансового менеджмента / Джеймс С. Ван Хорн, Джон М. Вахович, мл.; [пер. с англ. О.Л. Пелявского; под ред. А.А. Старостиной]. - М.: Вильямс, 2010. - 1225 с.

13. Внутрішній економічний механізм підприємства: Навчальний посібник для студ. вищих навч. закладів/ П.В. Круш, С.О. Тульчинська, Р.В. Тульчинський, С.О. Кириченко. - Київ: ЦУЛ, 2008. - 206 с.

14. Войчак А. Конкурентні переваги підприємства: сутність і класифікація / Войчак А., Камишніков Р. // Моніторинг на Україні. - 2005. - №2. с. 50-53.

15. Голубков Є.П. Вивчення і завоювання переваг у конкурентній боротьбі. / / Маркетинг у Росії і за кордоном. - 1999. - № 2. - С.27-43.

. Гетьман О.О. Економіка підприємства: навчальний посібник для студентів вищих навчальних закладів / О.О. Гетьман, В.М. Шаповал. - Київ, Центр навчальної літератури, 2006. - 488 с.

17. Дєєва Н.М., Дедіков О.І. Фінансовий аналіз: навч. посіб. для студ. ВНЗ / Дніпропетровська держ. фінансова академія. - К.: Центр учбової літератури, 2007. - 328 с.

18. Должанський І.З. Конкурентоспроможність підприємства: Навчальний посібник/ І.З. Должанський, Т.О. Загорна. - К.: Центр навчальної літератури, 2006. - 384 с.

. Дихтль Є., Хершген Х. Практичний маркетинг. - М.: Вища школа, 1995. - 64 с.

20. Ємельянов С. Міжнародна конкурентоспроможність виробників: фактори, що визначають становище на ринках і конкурентні переваги. / / Маркетинг у Росії і за кордоном. - 2002. - № 1. - С.107-116.

. Загородній А.Г. Фінансово-економічний словник/ А.Г. Загородній, Г.Л. Вознюк. - Київ: Знання, 2007. - 1072 с

. Грещак М.Г Економіка підприємства: підручник / М.Г. Грещак, В.М. Колот, О.Г. Мендрул, О. І. Олексюк [та ін]; за заг. та наук. ред. Г.О. Швиданенко; М-во освіти і науки України, ДВНЗ «Київський нац. екон. ун-т ім. В. Гетьмана». - Вид. 4-те, переробл. і доповн. - К.: КНЕУ, 2009. - 816 с.

. Іванілов О.С. Економіка підприємства: підручник / О.С. Іванілов; М-во освіти і науки України, Харківський держ. техн. ун-т будівництва та архітектури. - К.: Центр учбової літератури, 2009. - 728 с.

24. Кукоба В.П. / Інвестиційний менеджмент: навч. посібник / В.П. Кукоба; М-во освіти і науки України, ДВНЗ «Київський нац. екон. ун-т ім. В. Гетьмана». - К.: КНЕУ, 2008. - 384 с.

25. Лапченко О. /Теоретичні аспекти формування і оцінювання конкуренто-спроможності підприємства // Держава і регіони. - 2006. - №2. с. 334-340.

26. Наконечний С. / І. Економетрія: Підручник / С.І. Наконечний, Т.О. Терещенко, Т.П. Романюк - Вид.3-тє, доп. та перероб. - К.: КНЕУ, 2004. - 520 с.

. Омельяненко Т.В. Управління конкурентоспроможністю підприємства: навч.-метод. посібник для самост. вивч. дисципліни / Т.В. Омельяненко, Д.О. Барабась, А.В. Вакуленко; М-во освіти і науки України, Київський нац. екон. ун-т. - К.: КНЕУ, 2009. - 269 с.

. Портер Майкл Э. /Конкуренция / Майкл Э. Портер; [пер. с англ. О.Л. Пелявского, Е.Л. Усенко, И.А. Шишкиной; под ред. Я.В. Заблоцкого]. - Обновл. и расшир. изд. - М.: Вильямс, 2010. - 591 с.

29. Радєва М. / Аналіз конкурентоспроможності підприємства на основі розрахунку критерію ринкових можливостей підприємства / М. Радєва Держава і регіони. - 2006. - №2. с. 215-220.

. Романенко В. / Конкуренція і конкурентоспроможність / В. Романенко Вісник Національної академії наук України. 2007. - №8. - с. 14-17.

31. Сумець О.М./ Оцінка конкурентоспроможності сучасного промислового підприємства: навч.-практ. посібник / О.М. Сумець, О. Є. Сомова, Є. Ф. Пєліхов; М-во освіти і науки України. - 2-ге вид., переробл. та доповн. - К.: Професіонал, 2009. - 280 с.

. Клименко С.М. / Управління конкурентоспроможністю підприємства: навч. посібник / С.М. Клименко [и др.]; М-во освіти і науки України, ДВНЗ «Київський нац. екон. ун-т ім. В. Гетьмана». - Вид. 2-ге, без змін. - К.: КНЕУ, 2009. - 515 с.

. Фатхутдінов Р.А / Управління конкурентоздатністю організації: підручник / Р.А. Фатхутдінов, Г.В. Осовська; за заг. ред. Г.В. Осовської. - К.: Кондор, 2009. - 469 с.

. Білик М.Д. / Фінансовий аналіз: навч. посібник / М.Д. Білик, О.В. Павловська, Н.М. Притуляк, Н.Ю. Невмержицька; М-во освіти і науки України, ДВНЗ «Київський нац. екон. ун-т ім. В. Гетьмана». - Вид. 2-ге, без змін. - К.: КНЕУ, 2009. - 588 с.

35. Черемис Ю. //Основні поняття та фактори конкурентоспроможності під-приємства // Ю. Черемис Формування ринкових відносин в Україні. - 2005. - №12. с. 31-34.

. Шубалий О.М //Методика порівняльної оцінки конкурентоспроможних переваг підприємств галузі // О.М. Шубалий Актуальні проблеми економіки. 2008. - №1. с. 70-77.

37. #"704672.files/image089.gif">



Додаток Б




Додаток В

Рис. 1.2 Графічна інтерпретація моделі оцінки конкурентоспроможності

Додаток Г

Рис.1.3 Параметри конкурентоспроможності продукції підприємства

Похожие работы на - Конкурентоспроможність продукції промислового підприємства та розробка заходів щодо її підвищення

 

Не нашли материал для своей работы?
Поможем написать уникальную работу
Без плагиата!
Без нейросетей!