Управління якістю й конкурентоспроможністю продукції підприємства
РЕФЕРАТ
Курсова робота містить - 69
сторінок, 20 таблиць, список
літератури з 10 джерел, додатків 1.
Об’єктом даного дослідження є процес
удосконалення управління якістю й конкурентоспроможністю продукції вітчизняних
товаровиробників.
Предметом дослідження є аналіз
теоретичних підходів до оцінки якості та конкурентоспроможності продукції
підприємства та практична оцінка фактичного стану і перспектив підвищення
якості та конкурентоспроможності продукції на підприємстві ПП "ВКФ
С-КОРТ".
Актуальність дослідження
конкурентоспроможності та якості продукції полягає в тому, що це основна
складова загальної конкурентоспроможності підприємства в ринковій економіці і
тільки вихід на ринок з конкурентоздатним товаром дає можливість підприємству
вижити в умовах ринку. Мета роботи є розробка і реалізація заходів, направлених
на підвищення конкурентоспроможності та якості продукції ПП "ВКФ
"С-КОРТ" в умовах ЗЕД, що є розробником і виробником
телекомунікаційних систем та приладів і має значний досвід у проектуванні та
введенні в експлуатацію телекомунікаційних, інформаційних систем.
У цілому конкурентоздатність
підприємства це відносна характеристика, що виражає відмінності розвитку даної
фірми від розвитку конкурентних фірм по ступеню задоволення своїми товарами
потреби людей і по ефективності виробничої діяльності. Конкурентоздатність
підприємства характеризує можливості і динаміку його пристосування до умов
ринкової конкуренції.
Ключові слова: ЯКІСТЬ, РІВЕНЬ ЯКОСТІ, НАДІЙНІСТЬ,
ДОВГОВІЧНІСТЬ,
РЕМОНТОПРИДАТНІСТЬ, ДИЗАЙН, ЦІНА КОНКУРЕНТОСПРОМОЖНІСТЬ.
ЗМІСТ
РЕФЕРАТ
ВСТУП
РОЗДІЛ
1. ТЕОРЕТИЧНІ ОСНОВИ ТА ЗНАЧЕННЯ ЯКОСТІ І КОНКУРЕНТОСПРОМОЖНОСТІ ПРОДУКЦІЇ
.1
Економічна сутність якості та конкурентоспроможності продукції
.2
Методика проведення аналізу якості та конкурентоспроможності продукції
РОЗДІЛ
2. АНАЛІЗ ЯКОСТІ ТА КОНКУРЕНТОСПРОМОЖНОСТІ ПРОДУКЦІЇ
.1
Організаційно-економічна характеристика підприємства
.2
Аналіз якості продукції підприємства
2.3
Аналіз конкурентоспроможності продукції підприємства
РОЗДІЛ
3. ЗАХОДИ ДЛЯ ПОЛІПШЕННЯ ЯКОСТІ ТА КОНКУРЕНТОСПРОМОЖНОСТІ ПРОДУКЦІЇ
ПІДПРИЄМСТВА
3.1
Оцінка наявних резервів підвищення якості продукції підприємства
.2
Оцінка наявних резервів підвищення конкурентоспроможності продукції
підприємства
3.3
Запропоновані заходи щодо поліпшення якості та конкурентоспроможності продукції
підприємства
ВИСНОВКИ
СПИСОК
ВИКОРИСТАНИХ ДЖЕРЕЛ
ДОДАТКИ
ВСТУП
Актуальність теми курсової роботи
пов’язана з тим, що перехід в сучасних умовах до ринкових відношень потребує
використання на практиці головних питань і категорій ринку. В зв'язку з
розширенням підприємств у виборі партнерів, асортиментної та збутової політики
великого значення набуває поняття "якість", ще більшого
"конкурентоспроможність продукції". Конкурентоспроможність та якість
- сконцентрований вираз всієї сукупності можливостей будь-якого виробника
створювати, випускати і збувати товари та послуги.
Обґрунтування поняття та методики
оцінки конкурентоспроможності розкривається у працях зарубіжних дослідників: Ж.
Ламбена, Л. Мартіна, М. Портера, Д. Роудерса, Р. Фатхутдінова. Різні аспекти
забезпечення конкурентоспроможності відповідних об'єктів є предметом
дослідження і вітчизняних фахівців, зокрема Л.В. Балабанової, С.С. Гаркавенка,
В.Д. Немцова, П.Т. Саблука та інших.
Мета роботи полягає в аналізі оцінки
рівня конкурентоспроможності підприємства ПП "ВКФ "С-КОРТ" (м.
Запоріжжя) в сучасних ринкових умовах та розробці пропозицій по підвищенню
рівня конкурентоспроможності продукції підприємства на ринку
телекомунікаційного обладнання.
Предметом дослідження є аналіз
теоретичних підходів до оцінки конкурентоспроможності підприємства, практичне
оцінювання фактичного рівня і перспектив підвищення конкурентоспроможності ПП
"ВКФ "С-КОРТ" на ринку телекомунікаційного обладнання в
Запорізькій області.
Об’єкт дослідження - виробниче
підприємство ПП ІКФ С-КОРТ".
Актуальність та мета курсової роботи
визначили наступні завдання:
У 1 розділі курсової роботи:
проаналізувати основні теоретичні
аспекти сутності економічної категорії "конкурентоспроможність" та
відокремити основні параметри, які застосовуються в оцінках
конкурентоспроможності продукції підприємства та підприємства в цілому;
виділити основні методи та етапи
оцінки конкурентоспроможності продукції, які будуть застосовані в практичних
розрахунках курсової роботи.
У 2 розділі курсової роботи:
проаналізувати сферу бізнесу ПП
"ВКФ "С-КОРТ" та основні показники його діяльності;
здійснити аналіз цінових та
нецінових параметрів конкурентоспроможності продукції ПП "ВКФ
"С-КОРТ";
розробити розрахункову модель та провести
практичне оцінювання рівня порівняльної конкурентоспроможності продукції ПП
"ВКФ "С-КОРТ" на ринку телекомунікаційного обладнання в
Запорізькій області.
У 3 розділі курсової роботи:
проаналізувати рівень конкуренції та
перспективи розвитку ринку телекомунікаційного обладнання Дніпропетровської
області;
запропонувати та обґрунтувати
пропозиції по підвищенню конкурентоспроможності продукції ПП "ВКФ
"С-КОРТ" (підвищення якості продукції, зниження собівартості
продукції, освоєння нового сегменту ринку).
Інформаційна база розрахункових
досліджень - звітні документи ПП ВКФ "С-КОРТ" за 2011-2013 роки,
статистичні та нормативні документи в області діяльності підприємства.
конкурентоспроможність
якість собівартість ціновий
РОЗДІЛ 1. ТЕОРЕТИЧНІ ОСНОВИ ТА ЗНАЧЕННЯ
ЯКОСТІ ТА КОНКУРЕНТОСПРОМОЖНОСТІ ПРОДУКЦІЇ
1.1 Економічна сутність якості та
конкурентоспроможності продукції підприємства
Конкурентоспроможність є синтезом
багатьох економічних категорій. Застосовано загальний підхід щодо дослідження
конкурентоспроможності різних об’єктів з єдиних системних і методичних позицій
та уявлень про її сутність.
Сьогодні конкурентоспроможність на
товарних ринках стає проблемою державної безпеки. Враховуючи, що критерієм
адаптації підприємства до ринкових умов господарювання є рівень
конкурентоспроможності, необхідно досліджувати взаємозв’язок між
конкурентоспроможністю країни в цілому, підприємств, конкретних товарів. На
сучасному етапі у вітчизняних підприємств існують такі проблеми у сфері
визначення своєї конкурентоспроможності: низький рівень інформаційного
забезпечення, відсутність чітких цілей та завдань оцінювання, інтуїтивний
характер проведення оцінки, відсутність єдиної методологічної бази.
Конкурентоспроможність є синтезом
багатьох економічних категорій. Як зазначається в науковій літературі, у
широкому розумінні конкурентоспроможність - це зумовлена економічними,
соціальними політичними чинниками позиція країни або товаровиробника на
внутрішньому та зовнішньому ринках. За умов відкритої економіки вона може визначатися
і як здатність підприємства протистояти міжнародній конкуренції на власному
ринку і ринках інших країн. Проблема підвищення конкурентоспроможності
стосується практично всіх сторін суспільного життя. Загострення конкурентної
боротьби за збут продукції, за місце на ринку змушує підприємства постійно
шукати нові резерви, вимагає вдосконалення технологій з метою створення більш
якісних товарів.
Оскільки не існує загальноприйнятого
визначення конкурентоспроможності, не сформовано загальний підхід щодо дослідження
конкурентоспроможності різних об’єктів, то є нагальна необхідність
проаналізувати поняття, "конкурентоспроможність" з єдиних системних і
методичних позицій і уявлень про її сутність, конкретизуючи і доповнюючи зміст
цього поняття для кожного з можливих об’єктів дослідження. Аналіз досліджень і
публікацій дозволяє сформулювати трактування категорії
"конкурентоспроможність", пропоновані відомими авторами (табл. 1.1).
Таблиця 1.1. Визначення
поняття , "конкурентоспроможність"
|
Визначення
|
Джерело
|
|
Конкурентоспроможність -
здатність забезпечити кращу позицію в порівнянні з конкуруючим підприємством
|
Б. Карлофф
|
|
Конкурентоспроможність - це
здатність конкретного предмету витримати конкуренцію (потенційну і/або
реальну)
|
Е.А. Горбашко
|
|
Конкурентоспроможність -
властивість об’єкт, що характеризує ступінь реального чи потенційного
задоволення ним конкретної потреби в порівнянні з аналогічними об’єктами,
представленими на конкретному ринку
|
Р.А. Фатхутдінов
|
|
Конкурентоспроможність - це
сукупність переваг і здатності суб’єкта в порівнянні з йому подібними в
боротьбі за досягнення мети, характерної для них, в умовах дії законів
певного навколишнього середовища (системи)
|
А.Г. Дементьєва
|
|
Конкурентоспроможність -
синтез якості й можливості успішної реалізації продукції на конкурентному
вітчизняному або міжнародному ринку у певний момент часу за рахунок
досягнення конкурентних переваг
|
Т.В. Гринько
|
|
Конкурентність
(конкурентоспроможність) - відносна здатність не тільки підприємства, але й
сектора, народного господарства, у порівнянні з іншими суб’єктами економічних
відносин до: виробництва сучасних, технологічно інтенсивних товарів,
вирішення нових технічних проблем, досягнення доходів (постійно зростаючих)
при високому рівні зайнятості та відносно високому рівні заробітної плати
|
Б. Шлюсарчик
|
|
Конкурентоспроможність -
виступає результатом створення підтримки протягом тривалого періоду часу та
сукупної оцінки конкурентних переваг
|
Н.А. Дробітько
|
Загальний підхід до трактування
поняття, "конкурентоспроможність" дає можливість визначити його як
здатність досягти найкращих результатів у конкретній сфері діяльності в процесі
суперництва. Найважливіше значення у цьому визначенні має аспект ринкового
суперництва, бо саме він утворює засади поняття "конкурентоспроможність".
В економічній сфері суперництво
набуває форми економічного змагання суб’єктів господарювання. У роботі для
даної сфери оцінки й аналізу конкурентоспроможності вона трактується як
володіння властивостями, що формують переваги для суб’єкта економічного змагання.
Розвивається концепція конкурентоспроможності, згідно з якою для такого
суб’єкта господарювання як галузь промислового виробництва, головний предмет
економічного суперництва полягає в боротьбі за споживача та ресурси. Основна
відмітна риса такого підходу полягає в тому, що вона розглядається з позицій
володіння властивостями, які створюють переваги в конкурентній боротьбі за
споживача та корисні ресурси. Конкурентоспроможність можна визначити як
здатність суб’єкта активно завойовувати та утримуватися в сегменті як
внутрішнього, так і зовнішнього ринку в конкретно визначений час. Слід також
відзначити, що конкурентоспроможність не обмежується "ефективним веденням
господарської діяльності", а є більш розширеним поняттям і не замкнутим
межами внутрішньої діяльності. Також слід відзначити, що поняття
"конкурентоспроможність" поширюється не тільки на продукцію, але й на
підприємства, галузі, країни.
Аналізуючи наведені трактування
конкурентоспроможності, можна визначити такі точки зору в підходах до формування
останньої як категорії: існування власного мотиву до діяльності, очікування
позитивних результатів; наявність конкурентних переваг; можливість і здатність
протистояти суперникам. Однак, слід відзначити, що жодне з трактувань не
акцентує уваги на раціональності використання ресурсів та не наголошує на
можливості пошуку додаткових резервів за для підвищення рівня
конкурентоспроможності в майбутньому. Для повного розуміння процесів
конкуренції, формування глибокої уяви щодо формування конкурентоспроможності необхідно
визначити основні чинники, які на неї впливають. Під чинниками слід розуміти
внутрішні та зовнішні сили, інструменти, які обумовлюють об’єктивний та
суб’єктивний вплив на формування конкурентного середовища. Чинники визначають і
описують характеристики елементів, їх стан, що дозволяє найбільш об’єктивно і
правильно формувати підхід до організаційного забезпечення управління
конкурентоспроможністю підприємства. Слід зазначити, що визначені вище елементи
повинні розглядатися в єдності та взаємозв’язку, а також можуть бути описані
конкретними характеристиками. Саме це дозволить оцінити рівень і стан елемента.
Після аналізу
чинників конкурентоспроможності підприємства виявлено, що за економічним
характером їх можна розділити на чинники мікро- і макросередовища (Додаток А).
При цьому слід зазначити, що не всі чинники мають прямий вплив на
конкурентоспроможність підприємства і формують кінцевий результат, тому було
визначено саме ті, що є пріоритетними.
Слід також відзначити, що механізм
формування конкурентоспроможності підприємства виступає складовою його системи
управління. Формування механізму конкурентоспроможності, систематизація методів
та показників визначення конкурентоспроможності підприємства дає можливість
опанувати ринкову ситуацію та її зміни, визначити пріоритети конкурентів,
провести аналіз можливостей розширення ринку збуту та виступає в практичній
діяльності підприємства основою для розробки заходів щодо забезпечення його
конкурентоспроможності. Найочевиднішою причиною, яка виступає перешкодою для
успішного функціонування й досягнення конкурентоздатності, є "висока
інерційність" існуючих моделей управління, що виявляється в ігноруванні
змін зовнішнього оточення. Крім того, існують такі негативні особливості
системи управління підприємствами, як відсутність довгострокової стратегії;
неузгодженість внутрішніх управлінських структур; невідповідність усіх
підсистем, стилю і методів управління напрямам діяльності.
Підвищення конкурентоспроможності
національного виробництва сьогодні можливе за умов забезпечення однакових
можливостей конкуренції з іноземними виробниками в першу чергу на внутрішньому
ринку, що в подальшому має формувати достатній рівень конкурентоспроможності
країни в цілому. Сучасні визначення національної конкурентоспроможності, прийняті
рядом офіційних організацій або пропоновані окремими вченими, за суттю,
відповідають загальному визначенню конкурентоспроможності як здатності
компаній, галузей, регіонів забезпечувати порівняно високий рівень доходів та
заробітної плати, залишаючись при цьому відкритими для міжнародної конкуренції.
Більшість західних
економістів визначають конкурентоспроможність країн, як можливість розробляти
та виготовляти товари й послуги або вищої якості, або ж за цінами, значно
нижчими порівняно з цінами конкурентів. У широкому аспекті
конкурентоспроможність національної економіки сприймається як здатність країни
забезпечувати збалансованість своїх зовнішніх пропорцій та уникати тих
обмежень, що зумовлюються зовнішньоекономічною сферою, само відтворювати поліпшення
своїх світогосподарських зв'язків.
Дж. Сакс вважає, що
конкурентоспроможність національної економіки визначається наявністю в країні
здорового ринку, чинників виробництва та інших характеристик, які формують
потенціал для досягнення стабільного економічного зростання. Здорова економіка
має бути підкріплена зростанням ділової активності, керована законом та
стабільними цінами. На необхідності забезпечення високого рівня
конкурентоспроможності національної економіки як засобу підвищення добробуту
суспільства наголошував М. Портер - один із провідних дослідників проблем
конкурентоспроможності у світі. Він зазначав, що конкурентоспроможність не є
самоціллю, яка забезпечує економічний розквіт країни. "Головна мета
держави, - писав він, - забезпечити власним громадянам досить високий та
зростаючий рівень життя. Спроможність держави зробити це залежить не від
якогось аморфного терміна "конкурентоспроможність", а від того,
наскільки продуктивно використовуються національні ресурси - праця та капітал"
[1,
с.35].
Конкурентоспроможність
національної економіки виявляє здатність економічної системи забезпечувати
соціально-економічну оптимальність за будь-якого впливу внутрішніх та зовнішніх
чинників. Слід підкреслити такі особливості конкурентоспроможності національної
економіки:
– конкурентоспроможність
національної економіки є атрибутом господарської системи, що базується на
світовому поділі праці та міжнародному товарному обміні;
– конкурентоспроможність
національної економіки розвивається у внутрішньому середовищі країни в
результаті конкурентного змагання. Вона є результатом прогресу виробничих сил
та науково-технічного прогресу;
– відповідальність
за стан конкурентоспроможності національної економіки несе держава, якій
належить провідна роль у визначенні важелів економічної політики, дотриманні
зобов'язань перед світовими організаціями та країнами-партнерами.
Враховуючи, що
критерієм адаптації підприємства до ринкових умов господарювання є рівень
конкурентоспроможності, можна відстежити взаємозв’язок між конкурентоспроможністю
країни в цілому, підприємств, товарів, а вже потім визначати ті фактори, які
впливають на кожен з них.
Так, про
конкурентоспроможність національної економіки свідчить наявність
конкурентоспроможних галузей, яка, в свою чергу, реалізується тільки через
виробничо-господарську діяльність підприємств, що в ній працюють. Тоді як,
конкурентоспроможність продукції є лише окремою частиною в комплексі цілей
підприємства поряд з його можливостями і ринковою активністю.
1.2 Методика проведення аналізу якості
та конкурентоспроможності продукції підприємства
Розвиток сучасних ринкових відносин
призводить до підвищення вимог споживачів до продукції, яку вони споживають.
Основним завданням підприємства, що нерозривно пов’язане з ефективністю
виробництва, забезпеченням випуску необхідної кількості виробів і високою
якістю, є досягнення конкурентоспроможності продукції на ринку. Сильні та
слабкі сторони діяльності підприємства, визначені у процесі оцінювання
конкурентоспроможності, дають змогу виявити та мобілізувати приховані
можливості для отримання вигідних позицій на ринку. Однак, визначення
можливостей підприємства у конкурентній боротьбі та досягнення високих
результатів стає все складнішим. Це пов’язано з необхідністю постійного
пристосування до умов, що постійно змінюються. Крім того, важливою проблемою
стає кількісна оцінка рівня конкурентоспроможності товару і управління нею, так
як це досить трудомісткий, інтегрований процес, що складається із
взаємопов’язаних складових і від якого залежить конкурентоспроможність всього
підприємства.
Дослідженням даної проблеми
займалося багато вчених таких, як Ф. Котлер, М. Портер, Р. Фатхудінов, В.
Блонська, М.Саєнко, М. Юдін, А. Загородній, С. Клименко та багато інших. В
їхніх наукових працях розкрито різні методичні підходи до оцінки
конкурентоспроможності продукції. Проте в сучасній економічній літературі немає
єдиної загальної методики оцінювання конкурентоспроможності продукції. Саме
тому дослідження є актуальним, адже від правильно підібраного методу залежить
точність оцінки та подальші дії підприємства.
В ринковій економіці підприємства
орієнтуються на задоволення потреб ринку, на вимоги споживачів та виробництво
тільки тієї продукції, що користується попитом і може принести необхідний для
подальшого розвитку прибуток. Тобто умови та принципи функціонування
підприємств, а також результати діяльності залежать від конкурентоспроможності
їх продукції на ринку.
Аналіз наукових джерел свідчить, що
конкурентоспроможність є багатоаспектним поняттям, проте, у загальному розумінні
конкурентоспроможність продукції можна визначити як сукупність якісних і
цінових характеристик продукції, виготовленої за схемою оптимальних витрат для
забезпечення потреб споживачів, що відповідає вимогам конкурентного ринку у
порівнянні з аналогічною продукцією, представленою на ньому [2, с. 6].
З запропонованого визначення
випливає, що з метою точної оцінки та комплексного дослідження означеної
категорії доцільно розрізняти параметри та показники конкурентоспроможності.
Параметри конкурентоспроможності -
це найчастіше кількісні характеристики властивостей товару, що враховують
галузеві особливості оцінки його конкурентоспроможності. Виділяють такі групи
параметрів конкурентоспроможності: технічні, економічні, нормативні [3, с.
120].
Показники конкурентоспроможності -
це сукупність критеріїв кількісної оцінки рівня конкурентоспроможності товару,
що базуються на параметрах конкурентоспроможності [4, с. 101].
Показник конкурентоспроможності
продукції - одна з найважливіших складових, що комплексно оцінює характеристики
продукції та може слугувати основою для виходу підприємства з даною продукцією
на нові ринки. Правильна оцінка даного показника дозволяє знизити ризики, що
виникають при діяльності підприємства у новому ринковому середовищі, у той же час
невідповідність розрахованого показника реальним характеристикам продукту може
призвести до зниження ефективності діяльності підприємства. Тому варто звернути
увагу на те, щоб показник конкурентоспроможності продукції враховував якомога
більше факторів та об’єктивно визначав їх вплив на конкурентоспроможність [5,
с. 40].
Точно та об’єктивно визначити
показник конкурентоспроможності продукції можна за рахунок її оцінки. Оцінка
конкурентоспроможності продукції - це визначення її рівня, що дає відносну
характеристику можливості продукції задовольняти вимоги конкретного ринку в
теперішній період, відносно продукції конкурентів.
В основу здійснення оцінки показника
конкурентоспроможності продукції закладаються конкретні методи. Вибір
конкретної методики визначення конкурентоспроможності залежить від специфіки
продукту, терміновості отримання результатів оцінки, обсягів доступної
інформації, ресурсних обмежень, аудиторії, на яку вони розраховані, тощо. На
сьогоднішній день найпоширенішою є їх наступна класифікація:
) в залежності від номенклатури
критеріїв: прямі та непрямі;
) в залежності від мети та стадії
оцінки: методи, які застосовуються на стадії виготовлення продукції та які
застосовуються на стадії реалізації продукції;
) в залежності від форми подання
даних: розрахункові, матричні, графічні, комбіновані;
) в залежності від порівняння
властивостей виробу: кваліметричний;
) в залежності від порівняння зі
зразком для визначення відносного рівня якості: диференційований, комплексний,
змішаний.
В той же час, їх аналіз дає підстави
стверджувати, що вони лише певною мірою розкривають і характеризують
конкурентоспроможності продукції - не повністю відображають вплив усіх чинників
на конкурентоспроможність продукції.
Інформацію про товар складають три
основні групи показників: якість власне товару, якість фірмових послуг, що
надаються разом з товаром, економічні характеристики товару. Окрім цього, товар
знаходиться в певному економічному середовищі, яке є ще одним чинником впливу
на інтегральний показник конкурентоспроможності [5,
с. 42]. Саме тому, в умовах посилення процесу глобалізації, коли виникає все
більша низка чинників, здатних впливати на загальний рівень
конкурентоздатності, постає питання про формування інтегрального показника
конкурентоспроможності та пошуку найбільш адекватних вимогам методів її оцінки.
Серед основних, які намагаються
певним чином більш системно аналізувати і оцінювати фактори впливу на
конкурентоспроможність, тобто і визначати її рівень слід виділити наступні:
методика оцінки конкурентоспроможності товарів на основі їх рейтингу, за
обсягом продажу, диференціальний, комплексний та змішаний методи.
Методика оцінки
конкурентоспроможності товарів на основі їх рейтингу розраховується за формулою
1.1 [6, с. 117]:
(1.1),
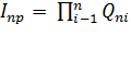
де: Рt - рейтинг t-го товару;і -
відносний показник якості товару; n - кількість одиничних показників якості,
взятий для оцінки.
Переваги цієї методики полягають у:
простоті розрахунку; наявності оперативної інформації про якість продукту, що
дає змогу швидко реагувати на зміни у ринковому середовищі. Серед недоліків
методики є те, що вона не охоплює характеристики продукції повною мірою, тобто
основний акцент під час розрахунку показника рівня конкурентоспроможності
зроблено на якісні показники товару, абстрагуючись від впливу економічних
показників та показників якості послуг, а тому вона не може бути використана
для середнього та довготермінового планування [7,
с. 117].
Розрахунок показника
конкурентоспроможності проводиться за формулою 1.2.
(1.2),
де Kij -
конкурентоспроможність i-го товару на j-му ринку; ai - питома вага
і-го товару в обсязі продажу, за період який аналізують (даний показник
розраховується за формулою (1.3));
bi - показник значимості ринку, на якому представлений товар
підприємства. Для зовнішніх ринків промислово
-
розвинутих
країн значимість ринку рекомендують приймати рівною 1, для зовнішніх ринків
інших країн - 0,7, для внутрішнього ринку - 0,5.
(1.3),
де: Vi - обсяг продажу i-го товару
за період, що аналізують, грошова одиниця; V - загальний обсяг продажу
підприємства за той самий період, грошова одиниця.
Дана методика дозволяє достовірно
оцінити інформацію про динаміку продажу на ринках, проте цей показник
суперечить поняттю "конкурентоспроможність", оскільки не враховує
якісні показники продукції підприємства [5, с.41].
Диференціальний метод оцінки
конкурентоспроможності базується на використані і співставленні одиничних
параметрів аналізованої продукції та бази порівняння. Якщо за базу оцінки
береться потреба, розрахунок одиничного показника конкурентоспроможності
здійснюється за формулою 1.4
[7,
с. 261].:
(1.4),
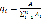
де qі - одиничний
параметричний показник конкурентоспроможності по і -му параметру; Pi
- величина і -го параметра для продукції, що аналізується; Pio -
величина і -го параметра, за якого потреба задовольняється повністю.
Проте, диференціальний метод
дозволяє лише констатувати факт конкурентоспроможності аналізованої продукції
або наявності у неї недоліків, порівняно з товаром - аналогом, проте не
враховує вплив на перевагу споживача при виборі товару вагомості кожного
параметра. Як правило, за значеннями одиничних показників неможливо однозначно
оцінити рівень конкурентоспроможності продукції, тому широке поширення знайшли
комплексні та змішані методи оцінки [6,
с. 261].
Комплексний метод оцінювання
конкурентоспроможності заснований на використанні комплексних (групових,
інтегральних, узагальнених) показників або порівнянні питомих корисних ефектів
продукції, яка аналізується. Конкурентоспроможність продукції розраховується за
формулою 1.5:
(1.5),
де: Rij - рівень
конкурентоспроможності продукції досліджуваного суб’єкта ринку та інших
конкурентів; A1, A2, …, Aij - одиничні
показники оцінки конкурентоспроможності продукції досліджуваного суб’єкта ринку
та інших конкурентів. Цей метод використовують для оцінки
конкурентоспроможності продукції за величиною комплексного чи інтегрального
показника на основі поєднання показника конкурентоспроможності товарів і
показників ефективності організаційно-економічного управління підприємством [3,
с. 121].
Змішаний метод оцінки
конкурентоспроможності поєднує в собі диференціальний і комплексний методи, а
саме: при проведенні оцінювання використовується частина параметрів,
розрахованих диференціальним методом, та частина параметрів, розрахованих комплексним
методом. Даний метод визначення конкурентоспроможності товару не є досконалим,
оскільки він не враховує важливість споживчих властивостей товару для покупця [3,
с. 121].
Аналіз кожної з методик дає підстави
стверджувати, що методи оцінки конкурентоспроможності товарів на основі їх
рейтингу та оцінки конкурентоспроможності товарів за обсягом продажів не
враховують фірмове обслуговування та розраховані на ринок з однорідною
продукцією.
Для розвиненого ринку найбільш
придатним є комплексний та змішаний методи, так як вони передбачають визначення
інтегрального показника рівня конкурентоспроможності з урахуванням ціни
споживання або визначення комплексного показника конкурентоспроможності.
Розглянуті вище методи передбачають,
що покращення складових товару підвищить його конкурентоспроможність на ринку.
Проте, таке твердження не завжди є вірним. Адже при цьому не враховуються смаки
споживачів, наприклад, якщо збільшити кількість фруктози в яблуці, це може
сподобатись не всім. Комусь до вподоби солодкі, а комусь кислі. Звідси
випливає, що покращення деяких характеристик товару в порівнянні з еталонним не
завжди приносить конкурентні переваги. Тому, при проведенні оцінки
конкурентоспроможності товару, перш за все, потрібно враховувати думку
споживачів. На жаль, у працях присвячених вивченню проблеми конкуренції, мова
йдеться про споживачів, лише як про один з боків ринкового механізму, без
дослідження споживацької поведінки. Вивчення ринку показує, що споживачі
по-різному реагують на один і той же товар з одними і тими ж властивостями, цю
тенденцію необхідно враховувати в теоретичних розробках проблеми
конкурентоспроможності.
Таким чином, можна стверджувати, що
розглянуті методики не є ідеальними та потребують подальшої модифікації з
урахуванням поєднання таких критеріїв як: якість, важливість властивостей
товару для споживачів, врахування глобалізаційних та інтеграційних процесів у
світовій економіці, імідж підприємства, особливості регіональних ринків
продукції, вплив сервісної економіки на інтегральний показник
конкурентоспроможності.
Перш за все, необхідно вносити
корективи та покращувати не тільки методики, а й сам алгоритм проведення оцінки
конкурентоспроможності. Доцільно внести такий критерій як споживацька
поведінка, що дозволить отримувати більш точний результат. Даний алгоритм
представлений на рис.1.1
Рис. 1.1
Алгоритм проведення оцінки конкурентоспроможності товару
З рис.1.1
видно, що наведений алгоритм передбачає цілий ряд процедур. Одним з
найголовніших етапів, від якого залежить точність оцінки, є формування переліку
параметрів. Цей процес є досить багатоваріантним, тому доцільно в подальшому
розробити механізм захисту від неточностей при виборі параметрів оцінювання.
Проведене дослідження дало змогу
розглянути найпоширеніші методи оцінки конкурентоспроможності продукції та
дійти висновку, що різні методики враховують лише частину тих критеріїв від
яких залежить конкурентоспроможність продукції. В сучасних ринкових умовах
найдоцільнішим є застосування комплексного та змішаного методів, проте вони
потребують подальшої модифікації і врахування таких критеріїв як: інтеграція,
інтелектуальний потенціал підприємства, регіональні відмінності ринку. Крім
того, корективи потрібно вносити до самого алгоритму оцінки конкурентоспроможності,
адже він не враховує фактора споживацької поведінки. Потрібно розробляти
механізм захисту від неточностей при виборі параметрів оцінки.
Покращення усіх цих чинників, а
також врахування глобалізаційних процесів в економіці, допоможе підприємствам
здійснювати оцінку на більш високому рівні та помножувати свої прибутки.
РОЗДІЛ 2. АНАЛІЗ ЯКОСТІ ТА
КОНКУРЕНТОСПРОМОЖНОСТІ ПРОДУКЦІЇ
2.1 Організаційно-економічна
характеристика підприємства
Приватне підприємство
"Виробничо-комерційна фірма "С-КОРТ" було засновано 15.10.1998
року. Основними предметами діяльності підприємства є: ведення
зовнішньоекономічної діяльності; виконання наукових, науково-технічних,
науково-кошторисної та конструкторської документації; виробництво будівельних
матеріалів, розробка та виробництво телекомунікаційних систем та приладів.
Виконання будівельних робіт на об’єктах підприємства, а також за договорами для
інших фізичних та юридичних осіб; вирощення, заготівля, закупка
сільськогосподарської продукції та сировини, а також продовольчих товарів та їх
реалізації; роздрібна і комісійна торгівля продовольчими і непродовольчими
товарами.
Має свій поточний розрахунковий
рахунок, що знаходиться у ЗРУ КБ "ПРИВАТБАНК". Підприємство
зареєстроване як платник податку на додану вартість. Взяте на податковий облік
ДПІ у Орджонікідзевському районі м. Запоріжжя.
В своїй діяльності ПП "ВКФ
"С-КОРТ" керується законами України, Постановами ВРУ, Указами КМУ,
постановами, розпорядженнями і наказами міністерств і відомств України, а також
статутом, наказами, розпорядженнями та іншими нормативними актами і діючим
положенням про ПП "ВКФ "С-КОРТ".
Підприємство є самостійним
господарюючим суб’єктом, має права юридичної особи, володіє відокремленим
майном, від свого імені набуває майнові та немайнові права і несе обов’язки,
здійснює виробничу, комерційну, посередницьку та іншу господарську діяльність.
Станом на 31.12.2013р. статутний
капітал підприємства становить 200000 тис. грн. Статутний капітал підприємства,
був створений за рахунок вкладу його власника Нікішиной Оксани Миколаівни і
складає 100% (Протокол №1-10.101998 від 10.10.1998р.).
Згідно із статутом підприємство має
право здійснювати будівельні, монтажні, пусконалагоджувальні, проектні роботи;
торгівельну діяльність, зовнішньоекономічну діяльність, іншу комерційну
діяльність, що не суперечить чинному законодавству.
На даний час підприємство займається
будівництвом, реконструкцією, капітальним та поточним ремонтом шляхів,
заготівлею і переробкою металобрухту, торгівельною діяльністю.
Підприємство має державну ліцензію
на виконання спеціальних видів робіт у проектуванні та будівництві.
Адміністративно-управлінський апарат
підприємства складається з: директора та головного бухгалтера, крім того на
кожному підрозділі є матеріально-відповідальна особа, що несе відповідальність
за його діяльність.
Під керівництвом головного
бухгалтера знаходяться бухгалтер і касир. Для раціонального використання
робочого часу обов’язки між працівниками бухгалтерії розподілені так:
касир займається веденням операцій
по касі, а також робить обробку звітів матеріально-відповідальних осіб, що
подаються кожної неділі;
бухгалтер веде податковий облік на
підприємстві загалом;
головний бухгалтер займається
складанням звітності, а також певною мірою виконує обов’язки замісника
директора.
Бухгалтерський облік на підприємстві
ведеться відповідно до журнально-ордерної форми обліку, при якій накопичення і
систематизація документів за господарськими операціями здійснюється в журналах
- ордерах.
Якщо розглядати результати діяльності
підприємства, то вони свідчать про досить ефективну його роботу.
Нерозподілений прибуток станом на
31.12.2013р. складає 1576372,0 тис. грн. Фінансовий результат ПП "ВКФ
"С-КОРТ" за 2013 рік - прибуток 592073,0 тис. грн.
Відображені поточні зобов’язання на
31.12.2013 р. та складають:
З бюджетом 4232,0 тис. грн.
Зі страхування 0 тис. грн.
З оплати праці 1015,2 тис. грн.
На підприємстві показники
платоспроможності і ліквідності за 2013 рік досягли наступного рівня (Таблиця
2.1)
Наведені показники свідчать, що у
підприємства досить висока фінансова стійкість та незалежність. При значенні
коефіцієнта фінансової автономії (Кфа) 0,73 можна зробити висновок, що
залежність підприємства від позикового капіталу складає лише 0,27 (або 27 %),
що знаходиться на оптимальному рівні. Коефіцієнт фінансової залежності (Кфз)
свідчить, що на підприємстві власні кошти переважають позичені в 1,37.І хоча ці
коефіцієнти за звітний період не змінилися, але досягнутий рівень свідчить, що
доля
Таблиця 2.1 Показники
платоспроможності і ліквідності ПП "ВКФ "С-КОРТ"
|
№ з/п
|
Показники
|
Алгоритми Рядки форми
"Балансу"
|
Абсолютне значення показника
2013рік
|
|
1
|
Коефіцієнт фінансової
незалежності
|
|
0,73
|
|
2
|
Коефіцієнт фінансової
залежності
|
|
1,37
|
|
3
|
Коефіцієнт концентрації
залученого капіталу
|
|
0,27
|
|
4
|
Коефіцієнт готівкової
(грошової) ліквідності
|
|
0,12
|
|
5
|
Коефіцієнт критичної
ліквідності
|
|
2,71
|
|
6
|
Коефіцієнт поточної
ліквідності
|
|
2,21
|
|
7
|
Коефіцієнт абсолютної
ліквідності
|
|
0,12
|
|
8
|
Коефіцієнт загальної
заборгованості
|
|
0
|
|
9
|
Коефіцієнт загального
покриття
|
|
2,21
|
власника у загальній вартості майна
складає 73 відсотки і підприємство завжди може погасити свої боргові
зобов'язання.
Згідно розрахованих коефіцієнтів
(Таблиця 2.2) чистий оборотний капітал за звітний період зменшився на 60,6 тис.
грн. і на дату балансу має від’ємне значення та складає - 33,00 тис. грн.
Забезпечення власними коштами зменшилось та становить -0,03 за рахунок
суттєвого збільшення поточних зобов’язань.
Таблиця 2.2. Показники фінансового
стану ПП "ВКФ "С-КОРТ" за 2012-2013рік
|
№ з/п
|
Показники
|
Формула розрахунку показника
|
Розрахункове значення на
початок року
|
Розрахункове значення на
кінець року
|
Орієнтоване позитивне
значення показника
|
|
1
|
Коефіцієнт абсолютної
ліквідності
|
К1=(р 220 ф1 + р 230 ф1 +
р240 ф1) / р 620 ф1
|
0,06
|
0,12
|
0,25 - 0,5
|
|
2
|
Коефіцієнт загальної
ліквідності (покриття)
|
К2 = р 260 ф1 / р 620 ф1
|
1,99
|
2,2
|
1,0 - 2,0
|
|
3
|
Коефіцієнт фінансової
стійкості (або незалежності, або автономії)
|
К3 = р 380 ф1 / р 280 ф1
|
0,68
|
0,72
|
0,25 - 0,5
|
|
4
|
Коефіцієнт структури капіталу
|
К4 = сум ( р 480 ф1; р 620
ф1) / р 380 ф1
|
0,45
|
0,37
|
0,5 - 1,0
|
Коефіцієнт абсолютної ліквідності на
кінець 2013 року склав 0,12. Коефіцієнт загальної ліквідності становить 2,2 та
знаходиться практично в межах нормативного значення, що свідчить про можливість
підприємства погашати всі поточні борги, при застосуванні всіх оборотних коштів.
Згідно коефіцієнту фінансової стійкості підприємство має 75,00% власного
капіталу в загальний сумі валюти балансу. Коефіцієнт структури капіталу
становить 0,37 знаходиться в межах норми.
Середня тривалість обороту
кредиторської та дебіторської заборгованості складає відповідно 63145 і 936043
днів. Показники знаходиться за межами норми. На кінець 2013 року підприємство
отримало прибуток 2842073,0 тис. грн. Рентабельність активів на кінець 2013
року (+29,41)%. Рентабельність власного капіталу збільшилась на (+36,1%).
З вище наведених даних, можна
зробити висновок про те, що підприємство рентабельне.
Показники фінансово-господарську
діяльність підприємства ПП "ВКФ "С-КОРТ" за 2011-2013 рр.
представлені у таблиці 2.3.
Таблиця 2.3. Показники
фінансово-господарську діяльність підприємства ПП ВКФ "С-КОРТ" за
2011-2013 рр.
|
Показники
|
2011 р.
|
2012 р.
|
2013 р.
|
Зміни стосовно 2013 року,
тис. грн.
|
Зміни стосовно 2013 року, %
|
|
|
|
|
2011 р.
|
2012р.
|
2011 р.
|
2012 р.
|
|
1
|
2
|
3
|
4
|
5
|
6
|
7
|
8
|
|
1. Капітал (станом на кінец
періоду), тис. грн.
|
|
Власний капітал:
|
16253,9
|
18076,3
|
18359,3
|
2105,4
|
283,0
|
112,95
|
101,57
|
|
Нерозподілений прибуток
(непокриті збитки)
|
1758,1
|
1415,8
|
448,8
|
-1309,3
|
-967,0
|
25,53
|
31,7
|
|
Залучений капітал
|
766,8
|
212,5
|
106,3
|
-660,5
|
-106,2
|
13,86
|
50,02
|
|
2. Ресурси
|
|
Середньорічна вартість
основних засобів тис. грн.
|
13320,9
|
13323,0
|
13110,2
|
-210,7
|
-212,8
|
98,42
|
98,4
|
|
Середньорічна вартість
оборотних активів, тис. грн.
|
2752,3
|
3319,6
|
2697,2
|
-55,1
|
-622,4
|
98,0
|
81,25
|
|
- зокрема: запасів
|
371,7
|
405,2
|
286,8
|
-84,9
|
-118,4
|
77,16
|
70,78
|
|
Середньорічна кількість
працівників, чол.
|
23,0
|
25,0
|
25,0
|
2,0
|
0,0
|
108,7
|
100,0
|
|
Фонд оплати праці, тис. грн.
|
17,1
|
21,5
|
30,0
|
12,9
|
8,5
|
175,44
|
139,53
|
|
3. Економічні показники
|
|
Виручка від реалізації, тис.
грн.
|
6636,7
|
7049,5
|
7638,1
|
1001,4
|
588,6
|
115,09
|
108,35
|
|
Обсяг випуску продукції, тис.
грн.
|
6636,7
|
7049,5
|
7638,1
|
1001,4
|
588,6
|
115,09
|
108,35
|
|
Виробнича собівартість
продукції, тис. грн.
|
4000,9
|
4771,1
|
5247,9
|
1247
|
476,8
|
131,17
|
109,99
|
|
Собівартість реалізованої
продукції (товарів, робіт, послуг), тис. грн.
|
4000,9
|
4771,1
|
5247,9
|
1247,0
|
476,8
|
131,17
|
109,99
|
|
Витрати, від операційної
діяльності тис. грн.
|
9,7
|
412,2
|
402,5
|
411,4
|
4249,48
|
51525,0
|
|
- від інвестиційної
діяльності
|
|
|
|
|
|
|
|
|
- від фінансової діяльності
|
-
|
7,8
|
522,2
|
522,2
|
514,4
|
100,0
|
6694,87
|
|
Витрати з виручки
|
60,0
|
68,0
|
81,0
|
21,0
|
13,0
|
135,0
|
119,12
|
|
Прибуток (збиток), тис. грн.:
|
|
|
- валовий прибуток (збиток)
|
1529,7
|
1103,4
|
1117,2
|
-412,5
|
13,8
|
73,03
|
101,25
|
|
- від здійснених операцій
|
1047,7
|
331,3
|
119,2
|
-928,5
|
-212,1
|
11,38
|
35,98
|
|
- від звичної діяльності до
оподаткування
|
1215,9
|
415,5
|
401,6
|
-1617,5
|
-817,1
|
-33,03
|
-96,65
|
|
- від звичної діяльності
|
911,9
|
311,6
|
401,6
|
-1313,5
|
-713,2
|
-44,04
|
-128,88
|
|
- чистий прибуток (збиток)
|
911,9
|
311,6
|
401,6
|
-1313,5
|
-713,2
|
-44,04
|
-128,88
|
|
Продуктивність праці, грн.
|
288,6
|
282,0
|
305,5
|
16,9
|
23,5
|
105,86
|
108,33
|
|
Середньомісячна вести, грн.
|
745,0
|
860,0
|
1200,0
|
455,0
|
340,0
|
161,07
|
139,53
|
|
Фондовіддача
|
40,2
|
41,5
|
43,6
|
3,4
|
2,1
|
108,46
|
105,06
|
|
Рентабельність, %
|
|
|
- продажу
|
4,39
|
15,3
|
-
|
-4,39
|
-15,3
|
100,0
|
100,0
|
|
- основних засобів
|
14,6
|
42,8
|
-
|
-14,6
|
-42,8
|
100,0
|
100,0
|
|
- оборотних активів
|
3,0
|
10,7
|
-
|
-3
|
-10,7
|
100,0
|
100,0
|
|
- виробничих ресурсів
|
0,4
|
1,3
|
-
|
-0,4
|
-1,3
|
100,0
|
100,0
|
|
- трудових ресурсів
|
0,025
|
0,08
|
-
|
-0,025
|
-0,08
|
100,0
|
100,0
|
|
- господарських ресурсів
|
0,4
|
1,3
|
-
|
-0,4
|
-1,3
|
100,0
|
100,0
|
|
- витрат
|
4,4
|
15,3
|
-
|
-4,4
|
-15,3
|
100,0
|
100,0
|
|
- активів
|
3,0
|
10,7
|
-
|
-3
|
-10,7
|
100,0
|
100,0
|
|
- власного капіталу
|
17,8
|
58,0
|
-
|
-17,8
|
-58
|
100,0
|
100,0
|
|
Обертаємість оборотних
активів
|
18,4
|
19,7
|
15,7
|
-2,7
|
-4,0
|
85,33
|
79,7
|
|
- кількість оборотів
|
1,8
|
1,9
|
1,5
|
-0,3
|
-0,4
|
83,33
|
78,95
|
|
Фінансові коефіцієнти
|
|
- автономності
|
1,1
|
0,9
|
1,3
|
0,2
|
0,4
|
118,18
|
144,44
|
|
- маневрування
|
2,4
|
2,5
|
1,8
|
-0,6
|
-0,7
|
75,0
|
72,0
|
|
- фінансової залежності
|
7,8
|
8,9
|
8,5
|
0,7
|
-0,4
|
108,97
|
95,5
|
|
- абсолютної ліквідності
|
0,21
|
0,18
|
0,15
|
-0,06
|
-0,03
|
71,43
|
83,33
|
|
- термінової ліквідності
|
8,7
|
8,5
|
8,4
|
-0,3
|
-0,1
|
96,55
|
98,82
|
|
- загальної ліквідності
|
0,52
|
0,56
|
0,48
|
-0,04
|
-0,08
|
92,31
|
85,71
|
|
- трансформації капіталу
|
1,5
|
1,8
|
2,4
|
0,9
|
0,6
|
160,0
|
133,33
|
|
Тривалість операційного
циклу, дні
|
32,0
|
34,0
|
31,0
|
-1,0
|
-3,0
|
96,85
|
91,18
|
|
Тривалість фінансового циклу,
дні
|
40,0
|
43,0
|
39,0
|
-1,0
|
-4,0
|
97,5
|
90,7
|
|
Період окупності капіталу
|
158,0
|
159,0
|
142,0
|
-16,0
|
-17,0
|
89,87
|
89,31
|
|
Показник ймовірності
банкрутства
|
1,69
|
1,87
|
2,6
|
0,91
|
0,73
|
153,85
|
139,04
|
З таблиці 2.3
видно зміни основних фінансово-економічних показників діяльності підприємства
ПП "ВКФ "С-КОРТ". Як показав аналіз фінансового становища ПП
"ВКФ С-КОРТ", діяльність можна охарактеризувати позитивно. Аналізуючи
діяльність підприємства за 2011-2013 роки, встановлено, що певний стан
підприємства фінансово стійкий, але не завжди рентабельний. Підприємство
збільшило свої активи, знизило витрати виробництва, унаслідок чого зменшилася
виробнича собівартість, що привело до зменшення чистого прибутку у 2013 році.
На кінець 2013 року власний капітал підприємства
у порівнянні з 2011 роком зріс на 2105,4 тис. грн., а з 2012 роком - на 283,0
тис. грн. за рахунок збільшення статутного капіталу.
Нерозподілений прибуток на кінець
2013 року у порівнянні з 2011 роком знизився на 1309,3 тис. грн., а з 2012 роком
знизився на 967,0 тис. грн. Це пов’язано зі зниженням обсягу виробництва та
реалізації продукції підприємства.
Залучений капітал підприємства на
кінець 2013 року у порівнянніи з показником 2011 року знизився на 660,5 тис.
грн., а в порівнянні з 2012 роком на 106,2 тис. грн. Це сталося в зв'язку з
погашенням заборгованості за кредитами перед банківськими установами.
Середньорічна вартість основних
засобів у порівнянні з 2011 роком знизилася на 210,7 тис. грн., а з 2012 роком,
на 212,8 тис. грн. Це пов’язано з списанням основних засобів підприємства
внаслідок їх зносу.
На кінець 2013 року виручка від
реалізації продукції, товарів та послуг у порівнянні з 2011 роком збільшилася
на 1001,4 тис. грн., а ще через рік, на 588,6 тис. грн. Це пов’язано зі
збільшенням обсягу виробництва та реалізації продукції.
Собівартість реалізації також
збільшилася 2012 року на 1247,0 тис. грн., за рік, в 2013 року на 476,8 тис.
грн. Причинами цьому може бути підвищення цін сировини, матеріалів, а також за
рахунок збільшення виробництво продукції.
Чисельність співробітників зросла
незначно, всього на 2 людини у 2012 році.
Витрати від операційної діяльності
підприємства на кінець 2013року у порівнянні з показником 2011 року збільшились
на 402,5 тис. грн., а в порівнянні з показником у 2012 році на 411,4 тис. грн.
Це пов’язано з збільшенням вартості необхідних ресурсів.
Витрати від фінансової діяльності
підприємства збільшилися у порівнянні з 2012 роком на 514,4 тис. грн..У 2011
року ці витрати були відсутні. Причиною підвищення витрат від фінансової
діяльності послужило збільшення виплачених дивідендів власнику підприємства.
Валовий прибуток знизився у
порівнянні з 2011 роком на 412,5 тис. грн., а ще через рік, у порівнянні з 2012
роком збільшився на 13,8 тис. грн. Це відбулося за рахунок збільшення обсягу
реалізованої продукції.
Прибуток від здійснених операцій
знизився у 2011 року на 928,5 тис. грн., а ще через рік, у 2012 року на 212,1
тис. грн. Це пов’язано із збільшенням собівартості продукції підприємства.
Прибуток від звичної діяльності на
кінець 2013 року у порівнянні з показником за 2011 рік знизився на 1617,5 тис.
грн., а у порівнянні з показником за 2012 рік також знизився на 817,1 тис. грн.
Показник чистого прибутку на кінець
2013 року становить 401,6 тис. грн.., що у порівняні з показником 2011 року
становить зниження на 1313,5 тис. грн.., а у порівнянні з показником 2012 року
також свідчить про зменшення на 713,2 тис. грн.., що негативним аспектом
підприємствам. Слід зазначити, що втрати підприємство отримало в цілому протягом
року. Однак в окремих кварталах 2013 року у підприємства був прибуток і
підприємством було сплачено податок на прибуток підприємства.
Продуктивність праці співробітників
в 2013 році збільшилась на 16,9 грн., у порівнянні з показником 2011 року.
Також збільшення відбулось і в порівнянні з показником 2012 року на 23,5 грн.
Це відбулося за рахунок збільшення обсягу виробництва.
Фондовіддача збільшувалася протягом
двох років. Так у порівнянні з 2011 роком фондовіддача збільшилась на 3,4. А
показник 2012 року вказує на збільшення на 2,1. Це пов’язано з зниженням зносу
основних засобів підприємства.
У 2011 році підприємство одержало
прибуток у розмірі 911,9 тис. грн. У 2012 році підприємство одержало прибуток у
розмірі 311,6 тис. грн. У 2013 році підприємство одержало збиток у розмірі
401,6 тис. грн. У зв'язку з цим, показники рентабельності розраховувалися лише
у 2011 і 2012 роках.
Економічний аналіз
фінансово-господарської діяльність підприємства ПП "ВКФ "С-КОРТ"
починається з оцінки фінансового становища за даними балансу.
Порівняльний аналіз активів балансу
підприємства ПП "ВКФ "С-КОРТ" за 2011-2013 рр. представлено
таблиці 2.4.
Таблиця 2.4.
Порівняльний аналіз активів балансу підприємства ПП "ВКФ
"С-КОРТ" за 2011-2013 рр., (тис. грн.)
|
Показники
|
Аналізуємий період
|
Зміни
|
|
2011 р.
|
2012 р.
|
2013 р.
|
(2012-2011) рр. (+/-)
|
(2012/2011) рр. %
|
(2013-2012) рр. (+/-)
|
(2013/2012) рр. %
|
|
1
|
2
|
3
|
4
|
5
|
6
|
7
|
8
|
|
І. Необоротні активи
|
|
Незавершене будівництво
|
956,3
|
3638,7
|
9333,8
|
+2682,4
|
280,5
|
+5695,1
|
156,5
|
|
Залишкова вартість нематеріальних
активів
|
0,8
|
2,2
|
7,9
|
+1,4
|
175
|
+4,3
|
259,1
|
|
Залишкова вартість основних
засобів
|
13320,9
|
13323,0
|
13110,2
|
+2,1
|
0,015
|
-212,8
|
1,6
|
|
Інші фінансові інвестиції
|
|
|
|
|
|
|
|
|
Разом у розділі І
|
14278,0
|
16996,9
|
22491,0
|
+2718,9
|
19
|
+5494,1
|
32,3
|
|
ІІ. Оборотні активи
|
|
Виробничі запаси
|
371,7
|
405,2
|
286,8
|
+33,5
|
9
|
-118,4
|
29,2
|
|
Грошові кошти в національній
валюті
|
653,3
|
1886,6
|
841,9
|
188,8
|
-1044,7
|
55,4
|
|
Розрахунки з дебіторами
|
1718,1
|
978,7
|
1539,6
|
-739,4
|
43
|
+560,9
|
57,3
|
|
Інші оборотні активи
|
9,2
|
49,1
|
28,9
|
+39,9
|
433,7
|
-20,2
|
41,1
|
|
Разом у розділі ІІ
|
2752,3
|
3319,6
|
2697,2
|
+567,3
|
20,6
|
-622,4
|
18,7
|
|
ІІІ. Витрати майбутніх
періодів
|
1,3
|
3,3
|
4,4
|
+2
|
153,8
|
+1,1
|
33,3
|
|
Баланс
|
17031,6
|
20319,8
|
25192,6
|
+3288,2
|
19,3
|
+4872,8
|
24
|
Провівши порівняльний аналіз активів
балансу підприємства ПП "ВКФ "С-КОРТ" у період 2011-2012 рр.,
можна зробити такі висновки. За аналізований період загальна вартість майна
підприємства ПП "ВКФ С-КОРТ" має загальну тенденції до підвищення,
тобто вартість майна підприємства збільшилася за станом на 31.12.2011 р. на
3288,2 тис. грн. (19,3%), а по стану на 31.12.2012 р. збільшилася на 4872,8
тис. грн. (23,4%). Причому оборотні активи більше зменшувалися, а необоротні
більше збільшилися. Зокрема, сталося збільшення основних засобів підприємства,
зниження коштів та інших оборотних активів. Спостерігається зменшення
виробничих запасів на 118,4 тис. грн. (29,2%). Оборотні активи знизилися
внаслідок витрати виробничих запасів і надходження коштів. Необоротні активи
збільшилися внаслідок придбання основних засобів і нематеріальних активів. З
вище сказаного видно, наскільки від співвідношення власного капіталу та
запозиченого капіталу, великою мірою залежить фінансове становище підприємства.
Тобто при рівномірному співвідношенні власного капіталу та запозиченого капіталу,
стан підприємства фінансово стабільний, а у випадку перевищення залученого
капіталу над власним - підприємство фінансового хитливе.
Порівняльний аналіз пасивів балансу
підприємства ПП "ВКФ "С-КОРТ" за 2011-2013 рр. виконаний у
таблиці 2.5.
Таблиця 2.5.
Порівняльний аналіз пасивів балансу підприємства ПП "ВКФ
"С-КОРТ" за 2011-2013 рр. (тис. грн.)
|
Показники
|
Аналізуємий період
|
Зміни
|
|
2011 р.
|
2012 р.
|
2013 р.
|
(2012-2011) рр. (+/-)
|
(2012/2011) рр. %
|
(2013-2012) рр. (+/-)
|
(2013/2012) рр. %
|
|
1
|
2
|
3
|
4
|
5
|
6
|
7
|
8
|
|
I. Власний капітал
|
|
Статутний капітал
|
15510,0
|
15510,0
|
15510,0
|
-
|
-
|
-
|
-
|
|
Додатково вкладений капітал
|
-
|
-
|
1250,0
|
-
|
-
|
+1250,0
|
100
|
|
Інший додатковий капітал
|
1062,8
|
1062,8
|
1062,8
|
-
|
-
|
-
|
-
|
|
Резервний капітал
|
-
|
87,9
|
87,9
|
+87,9
|
100
|
-
|
-
|
|
Нерозподілений прибуток (непокритий
збиток)
|
1758,1
|
1415,8
|
448,8
|
-342,3
|
19,5
|
-967,0
|
68,3
|
|
Неоплачений капітал
|
2077,0
|
-
|
-
|
-2077,0
|
100
|
-
|
-
|
|
Разом у розділі I
|
16253,9
|
18076,3
|
18359,3
|
+1822,4
|
11,2
|
+283,0
|
1,6
|
|
II. Забезпечення майбутніх
витрат і платежів
|
|
Разом у розділі II
|
-
|
-
|
-
|
-
|
-
|
-
|
-
|
|
III. Довгострокові
зобов'язання
|
|
Довгострокові кредити банків
|
-
|
2024,5
|
2024,5
|
+2024,5
|
100
|
-
|
-
|
|
Разом у розділі III
|
-
|
2024,5
|
2024,5
|
+2024,5
|
100
|
-
|
-
|
|
IV. Поточні зобов'язання
|
|
Короткострокові кредити банку
|
-
|
-
|
-
|
-
|
-
|
-
|
-
|
|
Кредиторська заборгованість
|
36,3
|
26,5
|
20,0
|
-9,8
|
26,9
|
-6,5
|
24,5
|
|
Поточні зобов'язання
|
730,5
|
49,0
|
86,3
|
-681,5
|
93,3
|
+37,3
|
76,1
|
|
Разом у розділі IV
|
766,8
|
212,5
|
106,3
|
-554,3
|
72,3
|
-106,2
|
49,9
|
|
V. Доходи майбутніх періодів
|
10,9
|
6,5
|
7,9
|
-4,4
|
40,4
|
+1,4
|
21,5
|
|
Баланс
|
17031,6
|
20319,8
|
25192,6
|
+3288,2
|
19,3
|
+4872,8
|
23,4
|
Як очевидно з таблиці 2.5
прибуток підприємства ПП "ВКФ "С-КОРТ": на 31.12.2012 р.
становить 1415,8 тис. грн., що на 342,3 тис. грн. (19,5%) менш за показник 2011
року, а на 31.12.2013 р. прибуток підприємства зменшився на 967,0 тис. грн.
(68,3%) проти 31.12.2012 р. Це сталося у зв'язку з тим, що у 2013 року у деяких
кварталах підприємство одержало збиток, у цілому протягом року також вийшов
збиток. Спостерігається спочатку зменшення, і потім збільшення поточних
зобов'язань загалом на 31.12.2013 р. на 37,3 тис. грн. (76,1%). Зниження на
31.12.2012 р. становило 681,5 тис. грн. (93,3%). Дане зниження є досить велике.
Зниження поточних зобов'язань пов'язані з погашенням кредиторську
заборгованість.
Порівняльний аналіз активів балансу
підприємства ПП "ВКФ "С-КОРТ" за 2011-2013 рр. наводиться в
таблиці 2.6.
Таблиця 2.6.
Порівняльний аналіз активів балансу підприємства ПП "ВКФ
"С-КОРТ" за 2011-2013 рр. (тис. грн.)
|
Показники
|
Аналізуємий період
|
Зміни
|
|
2011 р.
|
2012 р.
|
2013 р.
|
2011/2012 рр., %
|
2012/2013 рр., %
|
|
тис. грн.
|
% від виробленого
|
тис. грн.
|
% від виробленого
|
тис. грн.
|
% від виробленого
|
|
|
|
1
|
2
|
3
|
4
|
5
|
6
|
7
|
8
|
9
|
|
І. Необоротні активи
|
|
Незавершене будівництво
|
956,3
|
6,695
|
3638,7
|
21,59
|
9333,8
|
41,67
|
+14,895
|
+20,08
|
|
Залишкова вартість
нематеріальних активів
|
0,8
|
0,005
|
2,2
|
0,01
|
7,9
|
0,03
|
+0,005
|
+0,02
|
|
Залишкова вартість основних
засобів
|
13320,9
|
93,3
|
13323,0
|
78,4
|
13110,2
|
58,3
|
-14,9
|
-20,1
|
|
Інші фінансові інвестиції
|
-
|
-
|
-
|
-
|
-
|
-
|
-
|
-
|
|
Разом у розділі I
|
14278,0
|
100
|
16996,9
|
100
|
22491,0
|
100
|
-
|
-
|
|
II. Оборотні активи
|
|
Виробничі запаси
|
371,7
|
13,5
|
405,2
|
12,2
|
286,8
|
10,6
|
-1,3
|
-1,6
|
|
Незавершене виробництво
|
-
|
-
|
-
|
-
|
-
|
-
|
-
|
-
|
|
Готова продукція
|
-
|
-
|
-
|
-
|
-
|
-
|
-
|
-
|
|
Товари
|
-
|
-
|
-
|
-
|
-
|
-
|
-
|
-
|
|
Грошові кошти в національній
валюті
|
653,3
|
23,7
|
1886,6
|
56,8
|
841,9
|
31,2
|
+33,1
|
-25,6
|
|
Розрахунки з дебіторами
|
1718,1
|
62,4
|
978,7
|
29,5
|
1539,6
|
57,1
|
-32,9
|
+27,6
|
|
Інші оборотні активи
|
9,2
|
0,4
|
49,1
|
1,5
|
28,9
|
1,1
|
+1,1
|
-0,4
|
|
Разом у розділі II
|
2752,3
|
100
|
3319,6
|
100
|
2697,2
|
-
|
-
|
-
|
|
ІІІ. Витрати майбутніх
періодів
|
1,3
|
100
|
3,3
|
100
|
4,4
|
100
|
-
|
-
|
17031,6
|
100
|
20319,8
|
100
|
25192,6
|
-
|
-
|
-
|
Порівняльний аналіз активів балансу
показав, що у структурі активів підприємства ПП "ВКФ "С-КОРТ"
відбулися зміни, саме: протягом аналізованого періоду вартість необоротних
активів збільшувалася. Зокрема, незавершене будівництво збільшилося на 20,08% в
2013 року порівняно з 2012 роком. Нематеріальні активи збільшилися на 0,02% в
2013 року порівняно з 2012 року. Оборотні активи в 2013 року знизилися
внаслідок витрати виробничих запасів і надходження коштів порівняно з 2012
роком.
Виробничі запаси знизилися на 1,6% в
2013 року порівняно з 2012 роком. Грошові кошти в національній валюті знизилися
на 25,7% в 2013 році порівняно з 2012 роком. Розрахунки з дебіторами
збільшилися на 27,6% в 2013 року порівняно з 2012 роком.
Порівняльний аналіз пасивів балансу
підприємства ПП "ВКФ "С-КОРТ" за 2011-2013 рр. наводиться в
таблиці 2.7.
Таблиця 2.7
Вертикальне
аналіз пасивів балансу підприємства ПП "ВКФ "С-КОРТ" за
2011-2013 рр. (тис. грн.)
|
Показники
|
Аналізуємий період
|
Зміни
|
|
2011 р.
|
2012 р.
|
2013 р.
|
(2011-2012) рр., %
|
(2012-2013) рр., %
|
|
тис. грн.
|
% від виробленого
|
тис. грн.
|
% від виробленого
|
тис. грн.
|
% від виробленого
|
|
|
|
I. Власний капітал
|
|
Статутний капітал
|
15510,0
|
69,9
|
15510,0
|
85,8
|
15510,0
|
84,5
|
+15,9
|
-1,3
|
|
Додатково вкладений капітал
|
-
|
-
|
-
|
-
|
1250,0
|
6,8
|
-
|
+6,8
|
|
Нерозподілений прибуток
(збиток)
|
1758,1
|
10,8
|
1415,8
|
7,8
|
448,8
|
2,4
|
-3,0
|
-5,4
|
|
6.Неоплаченний капітал
|
2077,0
|
12,8
|
-
|
-
|
-
|
-
|
-12,8
|
-
|
|
Разом у розділі I
|
16253,9
|
100
|
18076,3
|
100
|
18359,3
|
100
|
-
|
-
|
|
II. Забезпечення майбутніх витрат
і платежів
|
|
Разом у розділі II
|
-
|
-
|
-
|
-
|
-
|
-
|
-
|
-
|
|
III. Довгострокові
зобов'язання
|
|
Разом у розділі III
|
-
|
-
|
2024,5
|
100
|
2024,5
|
100
|
-
|
-
|
|
IV. Поточні зобов'язання
|
|
Короткострокові кредити банку
|
-
|
-
|
-
|
-
|
-
|
-
|
-
|
-
|
|
Кредиторська заборгованість
|
36,3
|
4,7
|
26,5
|
12,5
|
20,0
|
18,8
|
+7,8
|
+6,3
|
|
Поточні зобов'язання
|
730,5
|
95,3
|
49,0
|
87,5
|
86,3
|
81,2
|
-7,8
|
-6,3
|
|
Разом у розділі IV
|
766,8
|
100
|
212,5
|
100
|
106,3
|
100
|
-
|
-
|
|
V. Доходи майбутніх періодів
|
|
Разом у розділі V
|
10,9
|
100
|
6,5
|
100
|
7,9
|
100
|
-
|
-
|
|
Баланс
|
17031,6
|
100
|
20319,8
|
100
|
25192,6
|
100
|
-
|
-
|
Дані таблиці 2.7 показують, що
наприкінці аналізованого періоду збільшився власний капітал підприємства ПП
"ВКФ "С-КОРТ" як у сумі, так і за часткою в пасиві. Зокрема
збільшився додатково вкладений капітал в 2013 році на 6,8% проти 2012 року.
Власний капітал підприємства ПП "ВКФ "С-КОРТ" зріс завдяки
допомоги додатково вкладеного капіталу. Також спостерігається зниження частки
пасиву поточних зобов'язань, тобто позикових короткострокових коштів. На
початку аналізованого періоду частка становила 95,3% пасивів, а до кінця
періоду становила 81,2%. З таблиці 2.7
складемо діаграми для деяких показників.
Аналіз фінансового становища
показав, що підприємство ефективно використовує основні фонди. Показники
ліквідності і платоспроможності знижуються, що свідчить про залежність від
зовнішніх кредиторів і нездатності вчасно й у всьому обсязі погашати
заборгованість перед кредиторами. Показники фінансової стабільності говорять
про зниження залученого капіталу, що є позитивною тенденцією. Показники ділової
активності говорять про позитивну господарську діяльність, про швидкі обороти
обігових коштів і дебіторську заборгованість.
В цілому можливо дійти невтішного
висновку, що фінансово-господарська діяльність ПП "ВКФ "С-КОРТ"
не є стабільною, але завжди рентабельна. Економічна криза вплинула на фінансову
діяльність цього підприємства, відтак підприємству можна порекомендувати
збільшувати обсяги виробництва та реалізації товарів з метою підвищення
прибутку.
2.2 Аналіз якості продукції
підприємства
Необхідною умовою для виходу
підприємства на внутрішній та світовий ринки, для формування сталого іміджу
виробника як економічно надійного партнера є постійний і зростаючий випуск
конкурентоспроможної продукції, підвищення її якості.
Підвищення якості продукції в кінцевому
підсумку еквівалентне збільшенню її виробництва з меншими загальними витратами.
Йдеться про багато спрямований вплив підвищення якості продукції не лише на
підвищення ефективності підприємства, а й на його імідж.
Розглянемо аналіз узагальнюючих показників
якості продукції на підприємстві ПП "ВКФ "С-КОРТ" у таблиці 2.8.
Таблиця 2.8.
Аналіз узагальнюючих показників якості продукції ПП "ВКФ
"С-КОРТ"
|
Показник
|
Минулий рік
|
Звітний рік
|
|
|
план
|
факт
|
|
Середньозважений бал якості
продукції
|
0,70
|
0,75
|
0,74
|
|
Питома вага, %: продукції
вищої якості експортованої продукції забракованої продукції
|
75,0 29,0 0,55
|
76,0 35,0 0,40
|
78,0 36,5 0,50
|
ДВ = (Ц1 -Ц0) *VВП1 (2.1)
ДП = ( (Ц1 -Ц0) * VРП1) - ( (С1 -С0)
* VРП1 (2.2)
де Ц0 і Ц1 - відповідно ціна виробів
до і після зміни якості;
С0 і С1 - відповідно рівень
собівартості виробів до і після зміни якостіВП 1 - обсяг виробленої продукції
підвищеної якості;РП1 - реалізація продукції підвищеної якості.
Якщо підприємство випускає продукції
по сортах і відбулася зміна сортового складу, то спочатку необхідно
розрахувати, як змінилися середньозважена ціна продажу та середньозважена
собівартість одиниці виробленої продукції, та за допомогою наведеними вище
алгоритмам визначити вплив сортового складу на випускаємую продукцію, виручку і
прибуток за її реалізації.
Розрахунок впливу сортового складу
продукції обсяг її виробництва, у вартісному вираженні можна провести способом
абсолютних різниць: зміна частки в кожному сорту
потрібно
помножити на ціну відповідного сорту (Ц), результати додати і помножити
спільний фактичний випуск цього виду продукції натуральному вираженні
(VВПобщ1):
(2.3)
Як очевидно з таблиці 2.9, у зв'язку
з поліпшенням якості продукції (збільшенням частки першого сорту і зменшенням,
відповідно, частки другого сорту) середня ціна реалізації по продукції
"А" вище базової ціни на 70 грн.
Таблиця 2.9.
Вплив сортового складу на зміну ціни продукції "А" на "ПП
"ВКФ "С-КОРТ"
|
Сорт продукції
|
Ціна, грн.
|
Структура продукції
|
Зміна середньої ринкової
ціни, грн.
|
|
|
T0
|
T1
|
+,-
|
|
|
Перший сорт
|
5400
|
0,70
|
0,75
|
+0,05
|
(+0,05) х 5400 = +270
|
|
Другий сорт
|
4000
|
0,30
|
0,25
|
-0,05
|
(-0,05) х 4000 = - 200
|
|
Разом
|
-
|
1,00
|
1,00
|
-
|
+70
|
Вартість всього фактичного випуску
даного виробу збільшилась на 931 тис. грн. (70 грн. х 13300 прим.), а сума
виручки - на 878,22 тис. грн. (70 грн. х 12 546 прим.).
Якість продукції, випущеної на
підприємствах легкої, харчової і деяких інших галузей промисловості, оцінюється
за показниками сортності . У ході аналізу обчислюють питому вагу випуску
продукції кожної категорії сорту в загальному випуску, вивчають, скільки
продукції здано з першого подання, скільки виробів "переведено" в
нижчий сорт. Обчислені показники порівнюють з плановими, з фактичними
показниками попередніх періодів і роблять висновки про зміни щодо якості
продукції. Визначають і дають оцінку коефіцієнту сортності, який дозволяє
виміряти втрати у вартісному обсязі випуску продукції внаслідок зниження
сортності виробів або, навпаки, нарощування вартості випуску при підвищенні
сортності.
Коефіцієнт сортності - це відношення
вартості всієї випущеної продукції до її вартості за умови, що вся продукція
випускається за ціною найвищого сорту. У таблиці 2.10
розглянемо аналіз виконання плану випуску продукції за рівнем сортності.
Таблиця 2.10.
Аналіз виконання плану випуску продукції за рівнем сортності.
|
Сортність
|
Ціна за шт. грн..
|
За планом
|
Фактично
|
Виконання плану
|
|
|
кіл-сть шт..
|
частка (%)
|
Сума тис. грн..
|
кіл-сть шт..
|
частка (%)
|
Сума тис. грн..
|
за кіл-стю
|
за сумою
|
|
Вищий
|
300
|
4000
|
57,2
|
1200
|
4800
|
65,3
|
1440
|
120
|
120
|
|
Перший
|
250
|
2200
|
31,4
|
550
|
2000
|
27,2
|
500
|
90,9
|
90,9
|
|
Другий
|
200
|
800
|
11,4
|
160
|
550
|
7,5
|
110
|
68,8
|
68,8
|
|
Усього
|
Х
|
7000
|
100
|
1910
|
7350
|
100
|
2050
|
105
|
107.3
|
|
Вартість за ціною вищого
сорту
|
300
|
7000
|
100
|
2100
|
7350
|
100
|
2205
|
105
|
105
|
Як свідчать дані таблиці, якість
продукції порівняно з планом дещо поліпшилась: питома вага продукції вищого
сорту зросла на 8,1 % (із 57,2 %
до 65,3%). Випуск продукції першого
та другого сортів скоротився на 4,2 % (із 31,4 % до 27,2 %) і 3,9 % (із 11,4 %
до 7,5 %) відповідно. Плановий коефіцієнт сортності становить: 1910 / 2100 =
0,9095 (90,95%). Фактичний коефіцієнт сортності :2050 / 2205 = 0,9297 (92,97%).
Отже, сортність випущеної продукції вища від запланованої на 2,02% (92,97 -
90,95) при перевиконанні плану з випуску продукції на 7,3%
Розглянемо аналіз якості продукції
за допомогою бального методу. Бальний метод - кожній категорії якості
присвоюється відповідна кількість балів. Виходячи з цього, обчислюється
середньозважений бал за вагу беруть кількість продукції, яка отримала той чи
інший бал. Якщо умовно продукції вищої категорії якості присвоїти п'ять балів,
першої - чотири бали, а другої - нуль, то середній бал якості за звітний рік
(виходячи з даних таблиці) становить 4,35:(5 ×
4800 + 4 × 2000
+ 0 × 550) / (4800 + 2000 + 550) = 4,35
Порівняння середніх балів за кілька
років дає змогу визначити динаміку якості продукції на підприємстві, а
порівняння його з іншими підприємствами - те місце, яке воно займає за якістю
продукції в галузі.
Одним з показників, що свідчать про
відхилення від норм за якістю виготовлення виробів, є брак продукції. За
можливістю виправлення брак поділяється на виправний (це усунення дефектів
виробів, після чого ці вироби є придатними до експлуатації або споживання) і
невиправний (кінцевий брак, який виправити неможливо або економічно
недоцільно). За місцем виявлення розрізняють внутрішній брак (допущений на
підприємстві під час виготовлення виробів) і зовнішній (виявлений покупцями або
споживачами під час користування виробами або споживання продукції ). У ході
аналізу вивчають динаміку браку за абсолютною сумою, тобто порівнюють фактичні
втрати від браку у звітному періоді з аналогічними показниками минулих
періодів. Окрім того, визначають питому вагу браку в загальному випуску
товарної продукції. Визначають втрати від браку і втрати товарної продукції.
На основі даних, наведених в таблиці
2.11,
проаналізуємо втрати підприємства від браку товарної продукції.
Таблиці 2.11.
Аналіз втрат підприємства від браку товарної продукції.
|
1
|
Вартість товарної продукції в
діючих цінах
|
26749
|
|
2
|
Собівартість товарної
продукції
|
25032
|
|
3
|
Собівартість забракованої
продукції
|
350
|
|
4
|
Витрати на виправлення браку
|
40
|
|
5
|
Вартість браку за ціною
можливого використання
|
120
|
|
6
|
Утримання з винних осіб
|
3
|
|
7
|
Стягнено з постачальників за
поставку неякісних матеріалів
|
5
|
Розрахуємо втрати підприємства від
браку:
) Втрати = 350 + 40 - 120- 3 - 5 =
262 тис. грн.
) Суму недоотриманої продукції у
зв’язку з випуском бракованих виробів розраховуємо по формулі:
(товарна продукція ×
% браку в собівартості продукції ) / 100
У процесі аналізу вивчають причини
допущеного браку за місцем його виникнення та за центрами відповідальності. Такими
причинами можуть бути:
– використання
матеріалів і напівфабрикатів з прихованими дефектами;
– недостатній
рівень кваліфікації робітників;
– використання
несправного устаткування, неудосконалених пристроїв та інструментів, засобів
вимірювальної техніки;
– відхилення
від технологічного процесу;
– порушення
ритмічності виробництва;
– відсутність
належного упакування, маркування;
– порушення
умов зберігання, перевезення, навантажування..
Завершальним етапом аналізу є
розробка заходів щодо поліпшення якості продукції.
2.3 Аналіз конкурентоспроможності
продукції підприємства
З поняттям аналіз
конкурентоспроможності продукції підприємства пов’язують міру переваги
одного виробу, однієї моделі над іншими за умов реальної експлуатації або
використання товару споживачем. Цей показник поєднує показники технічного рівня
виробу, якості його виготовлення та ефективності в експлуатації. В основу
рейтингу покладено системний підхід до поняття якості продукції та її
показників. Як відомо, показники, що характеризують ту чи ту модель, є
взаємозв’язаними: зміна одного показника негайно впливає на інший. Так,
поліпшення функціональних параметрів автомобіля (наприклад швидкості) можна
досягти за рахунок збільшення енерговитрат або зменшення матеріаломісткості
(ваги виробу), збільшення витрат часу на налагоджування та регулювання або
зменшення аеродинамічного опору тощо. Об’єктивність досягнутих результатів
залежить від показників, узятих за базу для порівняння. Рейтинг товару
визначається за формулою:
де Рт - рейтинг товару; Qi -
відносний показник якості товару; n - кількість показників якості, узятих для
оцінки.
Відносний показник якості товару обчислюється
за формулами;
;
Або
де Pi - одиничний показник якості,
що оцінюється; Pib - одиничний показник якості базової моделі.
Перша формула застосовується для
оцінки тих показників, збільшення яких свідчить про підвищення якості продукції
(потужність, продуктивність, ресурс, довговічність). Друга формула
застосовується для оцінки співвідношення показників, зменшення яких забезпечує
підвищення якості (зменшення матеріаломісткості, витрат пального, споживання
енергії, похибки вимірювань тощо). Отже, для визначення рейтингу товару треба
здійснити диференційовану оцінку окремих показників, добуток яких дасть
можливість визначити загальну кількісну характеристику переваг одного виробу
над іншим (табл. 2.12).
Таблиця 2.12 Обчислення рейтингу
двох типів кавомолок
|
Показник якості
|
Одиниця вимірювання
|
Порівняльна модель, Pi
|
Базова модель, Pib
|
Формула розрахунку
|
Відносний показник якості
|
Рейтинг, Рт
|
|
Номінальний вміст зерен кави
|
г
|
50
|
30
|
Pi / Pib
|
1,7
|
2,11
|
|
Час розмелювання
|
с
|
50
|
30
|
Pi / Pib
|
1,7
|
|
|
Номінальна потужність
|
Вт
|
150
|
130
|
Pib / Pi
|
0,87
|
|
|
Ефективність розмелювання
|
%
|
90
|
Pi / Pib
|
1,05
|
|
|
Маса
|
кг
|
1,0
|
0.8
|
Pib / Pi
|
0,8
|
|
Наведений приклад свідчить, що
рейтинг є найпростішим різновидом оцінки технічного рівня продукції. Його
показник можна вважати попередньою, найбільш загальною оцінкою
конкурентоспроможності товару.
Велику увагу належить приділити
економічному змісту розрахунків щодо визначення конкурентоспроможності товару.
У найширшому розумінні конкурентоспроможність товару - це можливість його
успішного продажу на певному ринку і в певний проміжок часу. Водночас
конкурентоспроможною можна вважати лише однорідну продукцію з технічними
параметрами і техніко-економічними показниками, що ідентичні аналогічним
показникам уже проданого товару. Для того, щоб високоякісний товар був
одночасно і конкурентоспроможним, він має відповідати критеріям оцінки
споживачів конкретного ринку в конкретний час. Зрозуміло, що чинник часу має
тут дуже вагоме значення. Те, що потрібне споживачу сьогодні, може стати
абсолютно непотрібним уже завтра через зміну моди або внаслідок появи нового
технічного рішення. Відтак найбільш вірогідні дані для оцінювання
конкурентоспроможності дає дослідження потреб покупців, вимог ринку. Купуючи
щось, споживач знаходить необхідний товар серед аналогічних, тобто вибирає
такий, що найбільше задовольняє його потреби. Однією із умов вибору товару
споживачем є збіг основних ринкових характеристик виробу з умовними
характеристиками конкретної потреби покупця. Такими характеристиками найчастіше
вважають нормативні та технічні параметри, а також ціну придбання та вартість
споживання товару.
Нормативні параметри характеризують
властивості товару, регламентовані обов’язковими нормами, стандартами і
законодавством ринків майбутнього продажу. Це, наприклад, екологічні показники,
показники безпеки. Так, для легкового автомобіля екологічними показниками є
вміст шкідливих речовин у вихлопних газах бензинових та дизельних двигунів,
рівень зовнішнього шуму. Показники безпеки цього виробу регламентуються
законодавчими вимогами щодо безпеки конструкції (Правила ЄЕК ООН).
До групи технічних параметрів, що їх
використовують для оцінювання конкурентоспроможності, зазвичай включають
показники призначення та надійності, а також ергономічні та естетичні
показники. Інколи ці параметри умовно визначають як "жорсткі" та
"м’які" Найбільш докладно вони регламентуються в стандартах систем
показників якості окремих видів товарів. Розглянемо, наприклад, систему
технічних параметрів такого відомого й популярного (особливо серед молоді)
виробу, як гральний автомат. Показниками призначення цього виробу вважають:
кількість ігрових програм; рівень автоматизації; рівень цікавості ігрової
програми; показник рівня виконання ігрових ефектів; міра придатності автомата
для розвитку корисних навичок у людини; час підготовки до роботи; час
безперервної роботи; стійкість до кліматичного впливу; стійкість до механічного
впливу; кількість людей, які одночасно можуть брати участь у грі; наявність
призів; габаритні розміри. До показників надійності грального автомата належать:
час роботи до першого відмовлення; середній строк служби; максимальний строк
служби; середній час відновлення роботи після поломки. Ергономічними
показниками цього виробу вважають: показник рівня шуму; показник відповідності
автомата та його елементів розмірам тіла людини; зусилля натиску на органи
керування; показник відповідності можливостям людини щодо сприйняття (зорового
та слухового), запам’ятовування й обробки інформації. Зовнішній вигляд
грального автомата характеризується естетичними властивостями: показник
стильової відповідності; показник функціонально-конструктивної пристосованості;
показник цілісності композиції; показник досконалості виробничого виконання.
Задовольняючи потреби, покупець
витрачає свої гроші як на придбання товару, так і на його використання. Розмір
цих витрат формує ціну споживання. Вона обчислюється за формулою:
деВі - витрати на придбання товару
і-го виду у власність; Цт - ціна товару; Qi - витрати споживання і-го виду
товару; і - кількість видів витрат за час використання товару; Зв - залишкова
вартість товару.
Склад елементів формули свідчить, що
ціна споживання є значно вищою за ціну продажу. Відтак більш
конкурентоспроможним є товар, що забезпечує мінімальну ціну споживання за час
використання його споживачем. Загальний показник конкурентоспроможності товару
(К) з урахуванням корисного ефекту (Е) та ціни споживання (Qі) може бути
визначений за формулою:
Слід зауважити, що найпоширеніше визначення
конкурентоспроможності товару з допомогою двох його найсуттєвіших ринкових
характеристик (якості й ціни) не цілком ураховує суто маркетингові чинники, які
здебільшого не підлягають формалізації та математичному розрахунку. Це,
наприклад, вимоги споживача до сфери укладання угоди та використання товару:
оперативність поставки; забезпечення запасними частинами; організація сервісу;
репутація держави-імпортера або конкретного виробника тощо. На кожному ринку
вага цих критеріїв може бути різною, тому оцінювання конкурентоспроможності
слід здійснювати для різних ринків окремо. Зрозуміло, що всі критерії споживчі
оцінки переваг вибраного товару над іншими під час розрахунку
конкурентоспроможності взяти до уваги дуже складно. Крім того, навіть у разі
гіпотетичного здійснення таких обчислень було б визначено очікувану, а не
реальну конкурентоспроможність. Для успішного продажу товару необхідно, щоб він
був на тому ринку, де він потрібний, у достатній кількості та своєчасно. До
того ж і споживач має бути готовий до появи на ринку такого товару, а
відповідну маркетингову програму захищено від можливих негативних дій
конкурентів. Отже, конкурентоспроможність продукції на сучасному ринку - це, по
суті, поєднання конкурентоспроможності власне товару та його маркетингової
програми. За сучасних умов товар мусить мати певні додаткові властивості, які
відрізнятимуть його від товарів конкурентів, тобто певну додаткову корисність
за його споживання. За насиченого ринку додаткова корисність, яка ефективніше
вирішує проблеми покупця, нині більше "важить", ніж ціна, покупці
згодні відповідно за неї платити.
Оцінка конкурентоспроможності товару
передбачає:
– аналіз
ринку та вибір найбільш конкурентоспроможного товару-зразка (для порівнювання);
– визначення
сукупності порівнянних параметрів обох товарів;
– розрахунки
інтегрального показника конкурентоспроможності товару, що оцінюється.
Зразок (еталон) для порівнювання
повинен належати до тієї самої групи товарів, що й виріб, який аналізують, мати
такі самі показники використання та функціонального призначення, повністю
відповідати нормативним вимогам майбутнього ринку.
Урахування нормативних параметрів
для оцінки конкурентоспроможності забезпечується з допомогою альтернативного
методу. Для цього застосовується показник, який має лише два значення:
– 1
або 0. Якщо товар відповідає нормі (наприклад вимогам безпеки), цей показник
дорівнює 1, а якщо ні - то 0. Груповий показник усієї сукупності нормативних
параметрів дорівнює добутку одиничних показників кожного з них. Розрахунки здійснюються
за формулою:
де In.р - груповий показник
нормативних параметрів;- одиничний показник i-го параметра;- кількість
нормативних параметрів, що підлягає оцінюванню.
Нульове значення цього індексу
свідчитиме про не конкурентоспроможність товару на даному ринку.
Визначаючи сукупність порівнюваних
параметрів конкурентоспроможності товару, виходять із того, що частина
показників характеризує споживчі властивості товару (споживчу цінність), а
друга - оцінює його економічні показники (вартісні). Споживчі властивості
товару, що формують його корисний ефект, мають здебільшого суто технічні
характеристики (показники призначення, надійності, безпеки, ергономіки), а
також визначаються його дизайном (естетика, упаковка). Множинність показників
споживчих властивостей товару зумовлює необхідність установлення ієрархії всіх
параметрів, що їх треба брати до розгляду. Передовсім вивчаються ті
властивості, які мають найбільшу значущість (вагу) для споживача. Визначення
ваги кожного параметра доручають групі експертів, що спеціально формується на
підприємстві. Обов’язковими вимогами до членів таких груп є компетентність,
професійний інтерес, діловитість та об’єктивність. Експертні групи користуються
здебільшого баловою оцінною системою. Для досягнення достовірних результатів
проводиться кілька турів опитування, що залежить від компетентності експертів і
представництва групи в цілому. Для попередніх оцінок достатня точність
результатів досягається, як правило, уже після двох-трьох турів. Експерти
визначають коефіцієнти вагомості параметрів, що оцінюються в балах або в
частках одиниці. Для оцінки застосовується п’яти - десятибальна шкала. Отримані
результати використовуються для визначення середнього арифметичного значення
коефіцієнтів вагомості кожного параметра (А) за формулою:
де n - кількість параметрів товару;-
кількість експертів;- параметри вагомості i-го показника, що визначені j-м
експертом.
Нормовані коефіцієнти вагомості
обчислюються за формулою:
При цьому задовольняється вимога:
Наприклад, потрібно визначити
коефіцієнти вагомості окремих властивостей спортивної моделі взуття. Експерти
визначають у балах вагомість трьох показників якості:
Р1 - показник зовнішнього вигляду;
Р2 - показник силуету;
Р3 - показник внутрішнього
оздоблення.
Результати оцінювання експертів за
п’яти баловою шкалою наведено в табл. 2.13.
Таблиця 2.13. Підсумкові результати
оцінювання ваги показників якості взуття
|
Експерт
|
Коефіцієнт вагомості
|
|
Р1
|
Р2
|
Р3
|
|
Перший
|
5
|
4
|
5
|
|
Другий
|
4
|
3
|
4
|
|
Третій
|
4
|
3
|
3
|
|
Четвертий
|
3
|
4
|
3
|
|
П’ятий
|
5
|
5
|
4
|
|
Шостий
|
4
|
4
|
5
|
|
Сьомий
|
5
|
3
|
4
|
|
Середній показник
|
4,3
|
3,7
|
4,0
|
Нормативні значення коефіцієнтів
вагомості визначатимуться з такого виразу:
Найбільш пріоритетні з погляду
конкурентоспроможності параметри стають об’єктами детальних досліджень. Саме
такий підхід забезпечує найбільший ефект.
Визначення групового показника, що
характеризує відповідність технічних параметрів виробу ринковим потребам,
здійснюється з допомогою одиничних показників якості з урахуванням вагомості
кожного з них. Розрахунки ведуть за формулою:
де Itp - груповий показник за
технічними параметрами;- одиничний показник i-го технічного параметра
(надійність, потужність, енергоємність);- вага i-го параметра в загальній
сукупності;- кількість параметрів, що їх узято до оцінювання.
Аналогічні розрахунки здійснюються також
щодо товару конкурента (товару-еталона). Порівняння двох групових показників
уможливлює визначення рівня конкурентоспроможності товару щодо
товару-конкурента за технічними параметрами. Такі розрахунки здійснюються за
формулою:
де Kt - показник
конкурентоспроможності за технічними параметрами;
- відповідні
групові показники технічних параметрів товарів, що порівнюються.
У такий самий спосіб обчислюється
сукупність вартісних параметрів товару, що визначає його основні економічні
властивості. Для покупця - це витрати на придбання й використання виробу за час
його експлуатації. До них відносять ціну виробу, витрати на його
транспортування, монтаж, навчання персоналу, експлуатацію, ремонт, технічне
обслуговування, на податки, страхові внески тощо. У сукупності ці витрати
становлять ціну споживання - суму коштів, що їх необхідно витратити споживачу
за весь час використання товару.
Визначення сукупності економічних
параметрів нового товару, їх оцінку та "зважування" треба зробити з
такою самою точністю, що й технічних параметрів товару-зразка.
Груповий показник
конкурентоспроможності за економічними параметрами (Іeп) обчислюється за
формулою:
де Zi - економічний параметр
(витрати на споживання) i-го виду;- вага i-го економічного параметра в
загальній сукупності.
На підставі загальних методичних
положень здійснюється порівнювання групових економічних показників товару, що
оцінюється, з товаром-еталоном. Розрахунки проводяться за формулою:
де Ке - показник
конкурентоспроможності товару порівняно з еталоном;
- відповідно
групові показники економічних параметрів товару, що оцінюється, і
товару-еталона.
Інтегральний показник
конкурентоспроможності товару обчислюють за формулою:
де Jkt - зведений індекс
конкурентоспроможності товару;- показник конкурентоспроможності за технічними
параметрами;е - показник конкурентоспроможності за економічними параметрами.
Якщо Jkt більше за 1 - виріб, що
аналізується, має конкурентні переваги над товаром-еталоном, якщо навпаки -
виріб, що аналізується, програє товару-конкуренту.
Для прийняття остаточних рішень щодо
виходу з товаром на цільовий ринок рекомендується користуватися даними
табл.2.14.
Таблиця 2.14. Шкала оцінювання
перспективності товару за інтегральним показником конкурентоспроможності.
|
Значення показника Jkt щодо
товару-еталона
|
Прогнозна оцінка
конкурентоспроможності товару на цільовому ринку
|
|
1,6 і більше
|
Дуже перспективно
|
|
1,59-1,4 0
|
Перспективно
|
|
1,39-1,20
|
Малоперспективне
|
|
1,19-1,00
|
Неперспективне
|
Інтегральний показник
конкурентоспроможності товару визначає міру його привабливості для покупця.
Економічний зміст цього показника доводить, що вивчення конкурентоспроможності
товару треба здійснювати безперервно, цілеспрямовано й комплексно, орієнтуючись
на задоволення потреб споживачів.
Ціна і якість товару є головними,
але не єдиними чинниками, що визначають конкурентоспроможність продукції на
ринку. За сучасних умов постійно зростає значення інших факторів
конкурентоспроможності. До них належать: зниження ціни споживання товару;
випуск наукомісткої продукції; прискорення строків поставки товару; рівень
після продажного обслуговування. Відтак сукупність послуг, пов’язаних зі збутом
та експлуатацією продукції, стає нині вирішальним чинником перемоги в
конкурентній боротьбі.
РОЗДІЛ 3. ЗАХОДИ З ПОЛІПШИТИ ЯКІСТЬ
ТА КОНКУРЕНТОСПРОМОЖНОСТІ ПРОДУКЦІЇ ПІДПРИЄМСТВА
.1 Оцінка наявних резервів
підвищення якості своєї продукції підприємстві
Забезпечення якості продукції, яким
орієнтоване підприємство, тримаються в рамках діючої для підприємства системи
менеджменту якості шляхом розробки й реалізації цілей та політики у сфері
якості. Воно полягає в перевірці відповідності показників якості продукції
вимогам ТУ, ДСТУ, під контролем технологічних процесів, інструкцій і методик,
результатів внутрішніх перевірок і політичного аналізу даних, ефективності
коригувальних і покликаних унеможливлювати дій. Пріоритетами під час
виробництва побутової техніки є випуск продукції з низьким ефективним
споживанням електроенергії, застосування екологічного безпечного обладнання,
оригінальність дизайну та подальшого зниження собівартості.
Аналіз діючої СМК визначив значення
її результативності R>смк, однакову 0,83, позначив
слабких місць, куди слід особливо звернути увагу під час проектування, виявив
резерви та напрями задля її подальшого вдосконалення. Підвищення якості своєї
продукції можливо за рахунок надання ефективного функціонування та цілісності
системи менеджменту якості. До розгляду пропонується комплекс організаційно-технічних
заходів із основним напрямам діяльність у області якості з урахуванням їхньої
приблизною вартості, поданий у таблиці 3.1.
Основні мети впровадження заходів:
розробляти нові вироби, підвищувати якість випущених виробів, знижувати
матеріаломісткість продукції і на підвищувати рівень енергозбереження;
підвищувати технічний рівень виробництв у цих колегіях переоснащення і
можливість модернізації,
Таблиця 3.1 Заходи з організації,
функціонування та вдосконалення підприємства
|
Напрям робіт і найменування
заходів
|
Примітка
|
Сума витрат, тис. грн.
|
|
1. Управління якістю й
підвищення експортних організації
|
|
1.1 Впровадження в практику
управління організацією статистичних методів управління під час аналізу
якості та конкурентоспроможності продукції, виявленні потенційних дефектів
продукції і на процесів, аналізі та управлінні процесами виробництва, аналізі
ефективності системи менеджменту
|
Проведення аналізу
відповідності своєї продукції вимогам міжнародних стандартів, і оцінки її
технічного рівня життя та конкурентоспроможності тоді як зарубіжними
аналогами
|
|
|
2. Організація метрологічного
забезпечення і випробувань
|
|
2.1 Проведення робіт з
метрологічного забезпечення енергоефективності
|
Створення автоматизованої
системи обліку електричної енергії в ливарному, ковальському, зварювальному,
транспортному цехах, дільниці деревообробки. Розробка порядку проведення
метрологічного обслуговування системи
|
86 946
|
|
2.2 Оснащення метрологічної
бази засобами вимірів показників якості електричної енергії і коштами їх
перевірки
|
Закупівля і атестація
аналізаторів якості мережі
|
8 041,131
|
|
3. Розвиток системи оцінки
відповідності
|
|
3.1 Проведення добровільної
сертифікації продукції
|
Сертифікація транспортного
устаткування: ліній попередньої обробки
|
387
|
|
Сертифікація компресорів С-К
з комплектом пускозахистним і комплектом монтажних частин
|
414
|
|
3.2 Проведення організаціями
аудитів виробництв і систем менеджменту якості підприємств - постачальників
|
Перевірки (аудити) на
підприємствах
|
74,0
|
|
4. Удосконалення
інформаційного забезпечення у області якості та конкурентоспроможності
|
|
4.1 Формування й актуалізація
фондів законодавчих, технічних нормативних правових актів, державні
стандарти, інших тих нормативних документів і інформування керівників і
спеціалістів організацій
|
Впровадження інформаційно-пошукової
системи "Стандарт", що містить повнотекстові бази внутрішніх
документів підприємства
|
6 000
|
|
5 Освіта і підготовка кадрів
|
|
5.1 Підвищення кваліфікації
керівників і спеціалістів всіх рівнів у сфері передових технологій, які
забезпечують якість продукції і на розширення міжнародних професійних
контактів
|
Пропонується організувати
багаторівневу перепідготовку і навчання персоналу питанням: управління якості
з урахуванням міжнародних стандартів; управління навколишнім середовищем з
урахуванням міжнародних стандартів; управління охороною праці та інших.
Навчання, на семінарах і курсах у представників сторонніх організацій
|
414 870
|
|
5.2 Організація навчання
новопризначених керівників різного управління, і навіть фахівців та
керівників, включених у складі кадрового резерву
|
Мета цих заходів - їх
адаптація до умов праці та на підвищення кваліфікації у сфері управління,
зокрема менеджменту якості, застосування сучасних методів аналізу та
управління продукції і на праці
|
18522
|
|
Разом витрати
|
|
4 085 763
|
Впроваджуючи високоточне і
продуктивне устаткування, забезпечуючи високу технологічність процесів
виготовлення продукції; здійснювати просування робіт з розвитку метрологічного
забезпечення виробництва технічної бази метрологічних і випробувальних лабораторій;
проводити в організації перепідготовки і навчання персоналу, залучати до
навчання співробітників сторонніх організацій; здійснювати постійний контроль
за затратами на гарантійне обслуговування; підвищувати моральний і передбачати
матеріальний стимули працівників, при постійній здачі продукції з першого
пред'явлення, вести пропаганду у сфері якості; вивчати й енергійніше
впроваджувати нові програмні продукти для систем електронного технічного
документообігу.
Загальновизнаний фахівець у галузі
якості Пітер Друкер стверджує, що попервах слід краще визначитися з вибором
стратегії, з цільової спрямованістю діяльності, вказати правильний орієнтир, та
намагатися досягти поставленої мети мінімально можливими засобами. Спочатку -
правильна стратегія, та економічне виробництво. Ще Майкл Портер писав, що
маркетингова стратегія, відбиває конкуренцію з урахуванням мінімальних витрат.
Передбачається, що вимоги до таких аспектів конкурентоспроможності та якості,
договірна дисципліна, сервіс тощо.
Основні аргументи на користь
результативності та ефективності СМK зазвичай висловлюються такі: скорочення
витрат на всіх стадіях життєвого циклу продукції (чи зниження витрат за
"погану якість"); збільшення доходів (збільшення частки ринку і
одержувачів відповідного обсягу продажу, зокрема за допомогою виправданого
підвищення цін); поліпшення керованості компанії завдяки підвищенню
обґрунтованості і оперативності прийнятих рішень.
Ефективність і результативність до
різних зацікавлених сторін перебуває різна, це питання балансу, інтересів та
можливого компромісу. Що вважати результатом і ефектом - це, передусім, питання
стратегії компанії. У принципі так, будь-які показники можна використовувати з
метою оцінки результативності та ефективності системам управління. Об'єктивною
основою виникнення ефекту системи є реальна взаємодія її елементів. Звідси
можна зробити два методичних виведення: ефект системи більше, ніж алгебраїчна
сума ефектів входять до неї елементів; ефективність системи обов'язково
пов'язана з визначенням приросту величини загального ефекту системи в
порівнянні із сумарною ефективністю функціонування її елементів.
Конкурентоспроможність продукції
збільшується за незначного зниження її собівартості. Вирішальною умовою
зниження собівартості служить безперервний технічний прогрес. Впровадження
нової техніки, комплексна механізація і автоматизація виробничих процесів,
вдосконалення технології, впровадження прогресивних видів матеріалів дозволяють
значно знизити собівартість продукції.
Серйозним резервом зниження
будівельної собівартості продукції є розширення спеціалізації і кооперування.
На спеціалізованих підприємствах, із масово - поточним виробництвом
собівартість продукції значно нижчі від, собівартості на підприємствах, які б
виробляли цю продукцію у невеликих кількостях. Розвиток спеціалізації вимагає
встановлення й найбільш раціональних кооперованих перетинів поміж
підприємствами.
Зниження собівартості продукції
забезпечується, передусім, за рахунок підвищення продуктивність праці. Зі
збільшенням продуктивність праці скорочуються витрати на одиницю продукції,
отже, зменшується питома вага заробітної плати в структурі собівартості. Коли
встановлені норми вироблення і розцінки не змінюються, величина витрат на
зарплатню робітників у собівартості одиниці виробленої продукції не
зменшується. Але зі зростанням продуктивність праці збільшується обсяги
виробництва, що зумовлює економію за іншими статтями витрат, зокрема
скорочуються витрати на обслуговування виробництва та управління. Відбувається
це оскільки у цехових витратах значної частини витрат (а загальнозаводських
майже зовсім) умовно постійні витрати (амортизація устаткування, утримання
будинків, зміст цехового і загальнозаводського апарату та інші витрати), які
залежать від рівня виконання плану виробництва. Це означає, що й загальна сума
не змінюється або майже не змінюється залежно від виконання плану виробництва.
Звідси випливає, що, чим більше випускати продукції, тим менша частка цехових і
загальнозаводських витрат у її собівартості.
Зі збільшенням обсягу випуску продукції
прибуток підприємства збільшується як з допомогою зниження собівартості, так і
в наслідок збільшення кількості своєї продукції. Отже, що більше обсяги
виробництва, тим за інших рівних умов більше сума прибутку яку одержує
підприємство.
3.2 Оцінка наявних резервів
підвищення якості продукції на підприємстві
Конкуренція - одна з головних рис
ринкового господарства. Саме вона створює умови для розробки і створення нових
товарів і послуг. Між собою конкурують товари, товаровиробники, галузі, країни.
Між цими рівнями конкуренції існує тісна залежність. Проблема підвищення рівня
конкурентоспроможності підприємства є актуальним питанням.
Сучасний етап розвитку економіки
України висуває якісно нові вимоги до управління конкурентоспроможністю
підприємств. Умови формування
ринкових відносин в Україні, які
характеризуються динамічністю зовнішнього середовища, зниженням
платоспроможності населення, загостренням конкурентної боротьби, підвищенням
рівня комерційного ризику, тяжким фінансовим станом більшості підприємств
потребують пошуку засобів виживання підприємств та забезпечення їхнього
ефективного функціонування [8].
Конкуренція (термін
"конкуренція" походить від латинського слова concurrere, що
означає "зіштовхуюсь") - це суперництво між учасниками ринкового
господарства за найвигідніші умови виробництва, продажу і купівлі товарів та
послуг, за привласнення найбільших прибутків. Такий вид
економічних відносин існує тоді,
коли виробники товарів виступають як самостійні, ні від кого незалежні
суб’єкти, їхня залежність пов’язана тільки з кон’юнктурою ринку, бажанням
виграти у конкурентів позиції у виробництві та реалізації своєї продукції.
Першою умовою виникнення конкуренції
є наявність на ринку великого числа незалежно діючих виробників будь-якого
конкретного продукту або ресурсу. Якщо виробництво зосереджено в руках одного
власника, то панує монополія, яка по суті заперечує конкуренцію. Монополія і
конкуренція - це антиподи.
Друга умова виникнення конкуренції -
це свобода вибору господарської діяльності виробників. Кожний з них не тільки
визначає що виробляти, а й має право вносити будь-які зміни у виробництво,
визначати його обсяги тощо.
Третьою умовою виникнення
конкуренції є відповідність між попитом і пропозицією. Якщо, припустимо, попит
перевищує пропозицію, то у покупця не має свободи вибору, оскільки через
дефіцит уся продукція реалізується. Там, де є дефіцит, там немає вільної
конкуренції.
Четвертою умовою виникнення
конкуренції слід вважати наявність ринку засобів виробництва. У конкурентній
боротьбі велике значення має встановлення високої норми прибутку, яка по суті є
орієнтиром у виборі господарської діяльності.
Однак вибір діяльності показує
тільки можливість виробництва. Для того, щоб ця можливість перетворилась на
дійсність, потрібно, маючи грошовий капітал, перетворити його на засоби
виробництва. У своєму розвитку конкуренція пройшла певний шлях удосконалення
від простих до складніших форм.
Конкуренція як явище була властива
рабовласницькій, феодальній і навіть первіснообщинній епосі, її зародження й
виникнення історично відносять до простого товарного виробництва. Конкуренція
між простими товаровиробниками (ремісниками, селянами) орієнтується на
суспільну (ринкову) вартість товару [9].
Управління конкурентоспроможністю
підприємства стає все більш важливим в умовах ринкових відносин і на сьогодні є
запорукою успішної підприємницької діяльності. В сучасній конкурентній боротьбі
за всієї її гостроти та динамізмі виграє той, хто аналізує та змагається за
свої конкурентні позиції. Щоб вижити у цій боротьбі, кожне підприємство має
поставити перед собою задачу підвищення рівня конкурентоспроможності не лише
своєї продукції, а й підприємства та його потенціалу.
Аналіз конкурентоспроможності може
бути проведений для кожного з рівнів, в залежності від цілей дослідження. Якщо
говорити про поняття конкурентоспроможності на макрорівні, то воно відображає
позиції національної економіки в системі міжнародних відносин, головним чином в
сфері міжнародної торгівлі, і
одночасно її здатність зміцнювати позиції. Це найбільш важливий, але не єдиний
аспект поняття конкурентоспроможності нації. Слід враховувати здатність
зберігати і нарощувати темпи економічного зростання, зайнятості, реальні доходи
громадян [10].
Конкурентоспроможність як
соціально-економічна категорія - це спроможність, вміння досягати законним
шляхом найвищих економічних та соціальних переваг.
Підтримка високої
конкурентоспроможності означає, що всі ресурси підприємства використовуються
настільки продуктивно, що воно опиняється більш прибутковим, чим його головні
конкуренти. Для підтримки такого стану керівництво підприємства повинно вміти
відслідковувати зміни, що відбуваються в умовах господарювання, і проводити
відповідні перетворення в політиці ведення виробництва та реалізації товарів.
Такими перетвореннями можуть бути:
зміна товарної політики, впровадження нових технологій, диверсифікація
виробництва, зміна організаційно-правового статусу підприємства, модернізація
форм збуту продукції, вихід на нові ринки, створення спільних виробництв.
Отже, це сукупність характеристик,
що відрізняють його від товарів-аналогів за ступенем задоволення конкретних
потреб індивідуального споживача, а також за рівнем витрат на його купівлю та
подальше використання. Основними факторами підтримання та підвищення конкурентоспроможності
товарів є:
– зниження
ціни споживання;
– мінімізація
термінів постачання товарів;
– підвищення
рівня після продажного обслуговування.
На практиці виділяють три основних
напрямки підвищення конкурентоспроможності продукції: якість продукції, ціна і
сервіс.
Для того, щоб визначити наскільки
успішним є підприємство на ринку, необхідно регулярно проводити його оцінку
конкурентоспроможності.
Розглянемо детальніше діяльність ПП
"ВКФ "С-КОРТ".
ПП "ВКФ С-КОРТ" створено в
Запоріжжя в жовтні 1998 року. Фактичні види діяльності ПП "ВКФ
С-КОРТ":
– розробка
програмного забезпечення;
– виробництво
приладів;
– ремонт
та калібрування приладів.
ПП "ВКФ "С-КОРТ"
займає досить сильні позиції на національному ринку вимірювальних приладів та
виходить на міжнародний. Організаційна структура підприємства є
лінійно-функціональною.
Аналіз інформації, викладеної вище
дозволяє визначити сильні та слабкі сторони ПП "ВКФ С-КОРТ" та
виявити можливості та потенційні загрози для його діяльності.
Сильні сторони:
– Встановлені
стабільні зв'язки з основними споживачами;
– Встановлені
стабільні та взаємовигідні стосунки із сировинними базами;
– Перспективність
та динамічність політики, що її проводить керівництво ПП ВКФ "С-КОРТ"
– Знання
та досвід роботи управлінської команди підприємства на українському ринку.
Слабкі сторони:
– Недостатньо
повні дослідження внутрішнього та зовнішнього ринку;
– Нестача
висококваліфікованих спеціалістів в галузі маркетингу;
– Відсутність
налагодженої системи збору маркетингової інформації.
Можливості:
– Можливість
розширити номенклатуру товарів;
– Можливість
розширення збутової мережі;
– Можливість
збільшення обсягів продажу;
– Вихід
на нові регіональні ринки;
– Пошук
нових ринкових ніш (споживачів).
Загрози:
– Ймовірність
покращення конкурентними організаціями своїх маркетингових програм;
– Економічна
нестабільність в Україні.
Розглянемо детальніше рівень
конкурентоспроможності підприємства в таблиці 3.2.
Таблиця 3.2. Визначення рівня
конкурентоспроможності фірми
|
Фактори
конкурентоспроможності
|
ПП"ВКФ"С-КОРТ"
|
Конкуренти
|
|
|
ТОВ "Спектр"
|
ВАТ "Метротекс"
|
ЗАТ "Савватс"
|
ВАТ
"Київпром-стройсервіс"
|
|
Продукт Якість Технічні
параметри Гарантійний строк експлуатації Унікальність Надійність Захищеність
патентами
|
5 5 4 5 5 4
|
3 4 4 2 4 1
|
4 3 3 2 4 3
|
4 3 4 3 3 3
|
3 2 2 2 2 1
|
|
Ціна Розмір прейскурантної
ціни Строки платежів Умови кредитування
|
3 4 4
|
4 5 2
|
4 4 3
|
4 4 4
|
5 5 2
|
|
Канали розподілу Розвиток
системи оптових посередників Кваліфікація торгового(збутового)персоналу
Охоплення ринку Розвиток складських площ Система управління запасами Система
транспортування продукції
|
3 4 5 5 5 5
|
1 3 1 2 3 2
|
3 4 3 3 4 3
|
2 4 2 4 3 5
|
4 3 3 2 4 2
|
|
Система комунікацій Розвиток
реклами Індивідуальний продаж Презентація товарів Навчання і підготовка збутових
служб Система стимулювання збуту
|
2 4 4 4 4
|
1 5 1 1 3
|
4 5 4 3 4
|
3 5 3 4 3
|
5 4 4 4 4
|
|
Загальна кількість балів:
|
84
|
52
|
70
|
70
|
63
|
Для оцінки рівня міжнародної
конкурентоспроможності ПП ВКФ "С-КОРТ" використаємо експертні оцінки
якості приладу "ПИТ-E1" та приладу російського виробника-конкурента
під назвою "Беркут-E1" що представлені в таблиці 3.3.
Таблиця 3.3. Експертні оцінки якості
приладу "ПІТ-E1" та приладу "БЕРКУТ-E1"
виробника-конкурента
|
Вибрані експертами параметри
якості
|
Кількісні характеристики,
бали
|
|
ПІТ-E1 ПП ВКФ
"С-КОРТ", ni
|
Беркут-E1
"Метротек", Росія, ni
|
Вага кожного Параметра
(значущість), ai
|
|
Дизайн приладу
|
8
|
8
|
0,075
|
|
Якість корпусу
|
8
|
7
|
0,175
|
|
Функціональність
|
9
|
8
|
0,175
|
|
Габарити
|
7
|
6
|
0,175
|
|
Вага
|
7
|
6
|
0,125
|
|
Гарантія
|
7
|
4,5
|
0,125
|
|
Ціна (min) грн..
|
10500
|
10220
|
|
Результати розрахунку інтегрального
індексу конкурентоспроможності подано в таблиці 3.4.
Таблиця 3.4. Результати розрахунку
інтегрального індексу конкурентоспроможності
|
Назва показника
|
Значення показника,
|
|
Індекс економічних параметрів
|
1,03
|
|
Індекс технічних параметрів
|
1,02
|
|
Інтегральний індекс
|
0,98
|
Індекс економічних параметрів = Ціна
продукції підприємства / Ціна продукції підприємства-конкурента.
Інтегральний індекс конкурентоспроможності
продукції = Індекс технічних параметрів / Індекс економічних параметрів.
Звідси бачимо що інтегральний індекс
конкурентоспроможності продукції ПП "ВКФ С-КОРТ" менше одиниці, тому
"ПІТ-E1" менш конкурентоспроможний, ніж "Беркут-E1".
Проведене дослідження
продемонструвало, що ПП ВКФ С-КОРТ" , яке спеціалізується на розробці і
виробництві сучасного телекомунікаційного устаткування, у порівняні із його
основним конкурентом на ринку, яким є компанія "Метротек", має більш
високий рівень конкурентоспроможності продукції за технічними, але менший за
економічними показниками.
Це дозволяє зробити висновок про
необхідність формування та реалізації заходів спрямованих на підвищення рівня
конкурентоспроможності .
Основою ефективної діяльності підприємства
в умовах ринкових відносин є розробка стратегії його розвитку. При розробленні
стратегічних планів багато фірм застосовують SWOT-аналіз. Аналізу підлягають
сильні сторони, слабкі сторони внутрішнього середовища, а також можливості і
загрози зовнішнього середовища організації.
З’ясовано, що на підприємстві
переважають сильні сторони, а також воно має чудові шанси для подальшого
розвитку. Що ж стосується слабких
сторін, то, підприємству варто
направити свої зусилля на розробку ефективної маркетингової стратегії.
Оскільки метою діяльність ПП ВКФ
"С-КОРТ" є максимальне задоволення потреб споживачів, основна увага
приділена удосконаленню асортименту діяльності підприємства у поєднанні із
формуванням і реалізацією заходів просування продукції на ринок.
Проаналізувавши ситуацію на ринку,
запропоновано такі заходи по підвищенню конкурентоспроможності ПП ВКФ
С-КОРТ":
– витрати
на проведення виставок в Україні та за кордоном;
– витрати
на радіо рекламу;
– витрати
на зовнішню рекламу за кордоном;
– реклама
у мережі Інтернет.
Загальний бюджет на здійснення
запропонованих заходів щодо поліпшення діяльності фірми представлено таблиці
3.5.
Таблиця 3.5. Загальний бюджет на
здійснення запропонованих заходів щодо поліпшення діяльності ПП "ВКФ
"С-КОРТ".
|
Термін виконання
|
Вповноважений за виконання
|
Витрати, грн.
|
|
Участь у спеціалізованих
виставках
|
Червень-липень
|
Відділ продаж, головний
бухгалтер
|
10000
|
|
Радіо реклама
|
Червень
|
Відділ продаж, рекламний
відділ станції "Авторадіо"
|
20200
|
|
Зовнішня реклама
|
Червень-липень
|
Відділ продаж, рекламне
агентство
|
17800
|
|
Разом
|
48000
|
3.3 Запропоновані заходи щодо
поліпшити якість та конкурентоспроможності продукції підприємства.
За сучасних умов розвитку ринкових
відносин, які характеризуються загостренням конкурентної боротьби, падінням
результативності у діяльності підприємств, відсутністю єдиного підходи до
аналізу їх управління загострюється проблема усебічне вивчення
конкурентоспроможності та пошуку способів її вдосконалення. Основним способом
вдосконалення ціноутворення є використання стратегічних підходів з керування.
Стратегічний процес управління
конкурентоспроможністю на підприємствах передбачає: по-перше, формулювання цілі
й місії підприємства. По-друге, виявлення можливостей задля досягнення
поставленої мети. У цьому управління передбачає взаємодія елементів з
довкіллям. Задля досягнення цілей підприємствам сприяє стратегічний процес
маркетингу. Метою стратегічного процесу маркетингу є задоволення потреб,
досягнення переваги над конкурентами, завоювання частка ринку.
Отже, конкурентоспроможність
підприємства залежить від використанні стратегічного аналізу, стратегічного
планування, стратегічної організації та контролю.
Стратегічний аналіз
конкурентоспроможності діяльності складається з чотирьох послідовних етапів. У
першому етапі проаналізувати цільової ринок, у якому здійснює своєї діяльності
підприємство. Другий етап залежить від розробці матриці цільового ринку. На
етапі аналізується діяльність підприємства, після чого, на четвертому етапі,
виявляються конкурентні переваги підприємства, і виходить профіль його
конкурентних переваг. Завершальним етапом стратегічного аналізу
конкурентоспроможності підприємств є виявлення конкурентних переваг підприємств
процес формування їх профілю.
Беззбитковість - такий стан, коли
бізнес не приносить ні прибутку, ні збитків. Це виручка, яка необхідна для
того, щоб підприємство почало отримувати прибуток. Її можна сформулювати й у
кількості одиниць продукції, яку треба продати, щоб покрити витрати, після чого
кожна додаткова одиниця проданої продукції приноситиме прибуток підприємству.
Різниця між фактичною кількості реалізованої продукції і на беззбитковим
обсягом продажів - це зона, безпеки (зона прибутку), і чим вона більше, тим
міцніше фінансове становище підприємства. Беззбитковий обсяг продажу, і зона
безпеки підприємства є основними показниками розробки бізнес-планів,
обґрунтуванні управлінські рішення, оцінка підприємств, визначення й
аналізування які мають вміти кожен бухгалтер, економіст, менеджер.
Розрахунок даних показників полягає
в взаємодії: витрати - обсяг продажу - прибуток. Для визначення їхніх рівня
можна використовувати графічний і аналітичний способи. Усе, вироблене -
збувається, незавершеного виробництва та залишків готової своєї продукції на
складах немає. Отже, обсяги виробництва продукції дорівнює обсягу продажів
(виручці), т.е.20 млн. грн. Постійні витрати (амортизація, накладні витрати та
інших.) становлять 4 млн. грн. Змінні витрати одиниці продукції - 12 тис. грн.,
але в весь запланований випуск продукції - 12 млн. грн. При таких умовах
прибуток від продукції становитиме 4 млн. грн. (20 - 4 - 12).
Різниця між фактичним і беззбитковим
обсягом продажів - зона безпеки. Якщо підприємство повністю використовує свою
виробничу потужність, випустить і реалізують 1000 виробів, то зона безпеки
(запас фінансової міцності) становитиме 50 %, при реалізації 700 виробів - 20 %
тощо. Зона безпеки показує, наскільки відсотків фактичний обсяг продажу вище
критичного, у якому рентабельність дорівнює нулю.
При обсязі реалізації, рівному нулю,
підприємство отримує збиток у розмірі суми постійних витрат. При обсязі 1000
виробів прибуток становитиме 4 млн. грн.
Аналітичний спосіб розрахунку
беззбиткового обсягу продажу і зони безпеки підприємства більш зручний проти
графічним, бо потрібно креслити щоразу графік, що досить занадто багато роботи.
Можна вивести ряд формул і з допомогою розрахувати дані показники.
З оцінки конкурентоспроможності
продукції можна назвати, продукція ПП "ВКФ "С-КОРТ" є
конкурентоспроможної над ринком України і є конкурентоспроможним за ціною, за
якістю.
Близькість споживача зменшує ціну
продукції, чим ставить ПП "ВКФ С-КОРТ" в конкурентоспроможне
становище.
З даних, можна рекомендувати відділу
маркетингу ПП "ВКФ С-КОРТ" у його рекламній діяльності
відштовхуватися від найбільш виграшних позицій серійного виду промисловості.
Паралельно зі відділом головного
конструктора розглянути можливість збільшення ресурсу до першого капітального
ремонту, зниження експлуатаційних витрат. До програми "якість"
підприємству необхідно включити пункт контролю за якістю комплектуючих виробів
що до їх постачання на підприємство. Активна участь у долі фінансування
інвестиційних проектів дозволить підприємству знизити відпускну ціну на власну
продукцію, яка веде до підвищення конкурентоспроможності продукції.
Для освоєння нових ринків збуту
своєї продукції, та просування на ринки послуг своєї продукції для
максимального збільшення товарного і фінансового обороту, для найшвидшої
побудови продуктивної та виробничої системи комплексного обслуговування своїх
споживачів, підприємству слід формувати дилерську мережу. Отже, впровадження
запропонованих заходів поліпшить економічні показники ПП "ВКФ
"С-КОРТ", дозволить його продукції зайняти додаткове місце на
вітринах торгових підприємств міста, істотно підвищить якісні характеристики
продукції, що неодмінно згодом позначиться позитивно на переваги споживачів і
попиті продукції, відповідно, і подальшому економічному зростанні підприємства.
ВИСНОВКИ
Досліджене в курсовому проекті
виробниче підприємство ПП "ВКФ С-КОРТ" спеціалізується на розробці і
виробництві сучасного телекомунікаційного устаткування.
Аналіз діяльності підприємства
показав, що в зону господарювання підприємства потенційно входять більше 10
великих організацій які спеціалізуються на розробці та виробництві такого
устаткування.
Економіко-математична модель
оцінювання конкурентоспроможності ПП "ВКФ "С-КОРТ" в курсовому
проекті побудована на основі маркетингового дослідження ринку
телекомунікаційного устаткування в Запорізькій області та по Україні, в
результаті якого, в якості бази порівняння для підприємства ПП ВКФ С-КОРТ"
вибрані наступні підприємства:
- в якості нормативу - ВАТ
"Київпром-стройсервіс";
В курсовому проекті для оцінювання
використаний інтегральний рівень конкурентоспроможності, якій показує
співвідношення індексів споживчої цінності продукції для споживача та індексу
економічних витрат споживача на придбання та експлуатацію продукції.
Інтегральний індекс конкурентоспроможності такого виду реалізує підхід М.
Портера до ідентифікації стратегії концентрації підприємства на окремому
сегменті ринку ("ринкова ніша"), в якій є особливі схильності
споживачів до якості чи вартості товарів.
Конкурентоспроможність ПП "ВКФ
"С-КОРТ" реалізована на базі стратегії цінової конкурентної переваги
- "найдешевша продукція посередньої якості", тобто найвищий рівень
конкурентоспроможності досягнутий відносно еталону в обмеженій
"ніші", на яку на ринку Запорізької області все ще існує високий
попит.
Аналіз конкурентоспроможності
показав, що підприємству для досягнення еталонних показників по галузі
необхідно звернути увагу на:
підвищення рівня
науково-конструкторських розробок та рівня реклами і продажного (після
продажного) сервісу;
підвищення коефіцієнтів новизни та
естетичної привабливості продукції;
- підвищення виробничої
потужності та підвищення прибутковості за рахунок зниження собівартості
продукції при стратегії "Мінімальна продажна ціна на ринку";
- зниження витрат споживачів
при користуванні продукцією (зниження експлуатаційної енергоємності та вагових
характеристик продукції);
впровадження нової
технології та сучасного класу устаткування.
При окупності проектів 4 - 6 місяців
в курсовому проекті застосований недисконтований алгоритм розрахунку рентабельності
інвестування коштів в інноваційно-технологічні проекти підвищення
конкурентоспроможності ПП "ВКФ "С-КОРТ" за рахунок зайняття
ринкової "ніши" в Запорізькій області по виробництву
телекомунікаційного обладнання.
Розрахована рентабельність проекту
на рівні 22,5 - 31,5% є вищою ніж альтернативне вкладення грошей на депозитні
банківські рахунки, тому проекти є інвестиційно привабливими та можуть бути
реалізовані за рахунок коштів зовнішнього інвестування.
Практична цінність отриманих
результатів полягає в тому, що проведене в курсовому дослідженні оцінювання
сучасного рівня конкурентоспроможності підприємства ПП "ВКФ
"С-КОРТ" показало, що на сучасному етапі підприємству доцільно
зайняти на ринку телекомунікаційного обладнання нову іноваційно-технологічну "нішу".
СПИСОК ВИКОРИСТАНИХ ДЖЕРЕЛ
1. Про
бухгалтерський облік і фінансової звітності України: закон України від
16.07.1999 р. № 996;
2. Загородній
А.Г. Оцінювання конкурентоспроможності інноваційної продукції в процесі вибору
інноваційної стратегії підприємства / А.Г. Загородній, В.М. Чубай // Фінанси
України. - 2007. - № 1. - С. 99-110.
М. Юдін "Порівняльна характеристика методів
оцінки конкурентоспроможності продукції" [Електронний ресурс] / М. Юдін //
Економіст - 2010 - №6 - с.40 - Режим доступу до журналу:
<http://www.nbuv.gov.ua/portal/Soc_Gum/Ekonomist/2010_6/40_42.pdf>
1. В.І.
Блонська, Н.Т. Депа "Порівняльна характеристика методів оцінки
конкурентоспроможності продукції" [Електронний ресурс] / В.І. Блонська,
Н.Т. Депа //Науковий вісник НЛТУ України. - 2010. − Вип. 20.15, с.115-120
2. Клименко
С.М. Управління конкурентоспроможністю підприємства / С. М.Клименко, О. С.
Дуброва, Д. О.Барабась - К.:КНЕУ, 2006. - 527с.
3. Основи
охорони праці [Текст] : навч. посіб. [для вищ. навч. закл. / Березуцький В.В.,
Бондаренко
Т.С., Валенко Г.Г. та ін.] ; Нац. техн. ун-т "Харк. політехн.
ін-т".
- Х. : Факт, 2005.
- 479 с
4. Виноградов
О.А. Методи аналізу конкурентоспроможності впровадження інновацій на
засадах
маркетингу / О.А. Виноградов // Актуальні проблеми економіки. - 2006. - № 1. -
С.
65-73.
5. Должанский
И.З. Конкурентоспособность предприятия [Текст] : Учеб. пособие для студ.экон.
спец. вузов / И.З. Должанский, Т.О. Загородняя; Макеевский
экономико-гуманитарный ин-т. - Донецк : Норд-пресс, 2005. - 362 с.