Розрахунок трифазного керованого випрямлячу
1. Теоретичні відомості
У трифазному мостовому
випрямлячі (мал. 1, а) послідовно з'єднані дві трифазні випрямні групи: анодна
VS2, VS4, VS6 і катодна VSI, VS3, VS5, кожна з який повторює роботу трифазної
схеми із середньою крапкою. Отже, при такому ж значенні е.д.с. вторинної
обмотки трансформатора Е2 і
= 0, як і в трифазній схемі із
середньою крапкою, дана схема має середнє випрямлену напругу Ud у два рази
більшу, чи навпаки, при тім же значенні Ud значення Е2, буде в два рази менше
E2 = 0,43U2.
При активному навантаженні
(La = 0; Ld = 0; ra= 0) у мостовій схемі одночасно пропускають
струми два тиристори: один - з найбільш високим потенціалом анода щодо
середньої крапки трансформатора з катодної групи тиристорів, а іншої - з
найбільш низьким потенціалом катода з анодної групи тиристорів. Так, наприклад
при
= 0 в
інтервалі (
мал. 22.16,
б) пропускають струм тиристори VSI і VS4, в інтервалі
тиристори
VSI і VS6, в інтервалі
тиристори
VS3 і VS6 і т.д.
Рис. 1. Трифазний мостовий
симетричний випрямляч при активному навантаженні; а - схема; б - часові діаграми
струмів і напруг при
= 0 .
Випрямлена напруга Ud в
інтервалі визначиться різницею фазних е.д.с. еа й ев в
інтервалі
Ud = еа
- ec і т.д. Таким чином, випрямлена напруга має шестифазні
пульсації (m П= 6).
У мостовому випрямлячі немає
змушеного намагнічування сердечника трансформатора, тому що струм у вторинній
обмотці протікає за період двічі, причому, у протилежних напрямках.
Електричні параметри
визначаються такими ж закономірностями, як і для трифазного випрямляча із
середньою крапкою при зупинці м 2 = м П = 6, а також
замість фазної е.д.с. Е 2m враховувати лінійну е.д.с.
. Трифазна
мостова схема в даний час знаходить найбільш широке застосування внаслідок її
гарних техніко-економічних показників. З метою поліпшення форми кривої струму у
вторинних обмотках трансформатора варто з'єднувати ці обмотки в «трикутник».
При такіому з'єднанні струм у кожній обмотці протікає безупинно, вміст високих
гармонійних складових відносно знижується.
З часових діаграм мал. 1, б
видно, що кожен тиристор пропускає струм 60° у парі з одним тиристором, а 60° у
парі з іншим. Наприклад, тиристор VS1 пропускає струм 60° у парі з VS4 і 60° у
парі з VS6. Аналогічно й інші тиристори.
При пуску випрямляча чи при
переході його в режим переривчастих струмів і використанні одиночних імпульсів
із шириною меншою 60° не може бути забезпечена працездатність схеми, тому що не
можуть відкриватися одночасно два тиристори в анодній і катодній групах. У
зв'язку з цим система керування повинна виробляти одиночні керуючі імпульси із
шириною більшої 60° чи здвоєні короткі імпульси, що слідують друг за другом
через 60°.
При активно-індуктивному
навантаженні (Ld =
, La =
0, rа = 0) струм у ланцюзі навантаження виходить ідеально
згладженим, незмінним по величині і безупинними у всьому діапазоні регулювання
(мал. 2, а).
Рис. 2. Часові діаграми
струмів і напруг трифазного мостового симетричного випрямляча при
активно-індуктивному навантаженні (ra=0; La =0; Ld =
) a - у
відсутності нульового діода; б - при наявності нульового діода.
При
>60° у
кривої випрямленої напруги, побудованої як різниця випрямлених напруг катодної
й анодної груп тиристорів, з'являються негативні ділянки. Середнє значення
випрямленої напруги для всього діапазону регулювання визначається виразом
Uda = Ud0COS
(1)
З виразу (1) - випливає, що
граничний кут керування при Ld =
дорівнює
90°.
Коефіцієнт потужності
випрямляча при Ld =
і La = 0
= (3cos
)/
Коефіцієнт пульсацій
визначається виразом (2):
Рис. 3. Трифазний мостовий
несиметричний випрямляч: 1- схема; часові діаграми струмів і напруг; б - при
активно-індуктивному навантаженню (rа =0; L а = 0; Ld =
) без
нульового діода; з нульовим діодом.
Для поліпшення коефіцієнта
потужності в схему вводять нульовий діод VD0, що вступає в роботу при
> 60°,
тобто коли крива миттєвих значень випрямленої напруги змінює знак (мал. 2, б).
Через нульовий діод замикається струм навантаження. Напруга на навантаженні в
період роботи нульового діода дорівнює нулю, а трансформатор знеструмлюється і
тому струм у вторинній і первинній обмотках трансформатора має розривний
характер (мал. 2, б). Нульовий діод запобігає можливість повернення в живильну
мережу енергії, накопиченої в магнітному полі дроселя Ld, і тим самим, поліпшує
коефіцієнт потужності випрямляча
Коефіцієнт пульсацій
визначається виразом (3):
Трифазний мостовий керований
випрямляч може бути виконаний і за несиметричною схемою (три тиристори VS1,
VS2, VS3 і три діоди VD1, VD2, VD3, мал. 3, а). Несиметрична схема знаходить
широке застосування у випрямлячах невеликої потужності. При роботі на
активно-індуктивне навантаження і зміні кута керування крива випрямленої
напруги буде мати вид показаний на мал. 3, б. При збільшенні кута
в кривої
випрямленої напруги Ud відмінність від симетричної мостової схеми
негативні ділянки не з'являються.
При переході позитивної
напівхвилі напруги працюючого тиристора через нуль, наприклад VS1, вона
продовжує проводити струм з діодом, що вступає в роботу, VD1 тієї ж фази.
Ланцюг навантаження виявляється зашунтований одночасно провідний струм
тиристором VS1 і діодом VD1 і напруга на навантаженні дорівнює нулю. Цей
інтервал триває до вступу в роботу чергового тиристора VS2 (мал. 22.18, б). У
кривої випрямленої напруги з'являються паузи від моменту переходу позитивної
напівхвилі живильної напруги через нуль до вступу в роботу чергового тиристора.
При
тиристори
виявляються цілком замкненими, і напруга на навантаженні дорівнює нулю. Середнє
значення випрямленої напруги для всього діапазону зміни кута керування
визначається
вираженням (4):
Особливістю роботи схеми при
активно-індуктивному навантаженні в діапазоні кута керування (
) є те, що
при знятті сигналу керування не вдається забезпечити закриття всіх тиристорів.
При знятті сигналу керування відбувається запирання двох тиристорів, а третій
залишається відкритим за рахунок е.д.с. самоіндукції навантаження і через нього
протікає струм навантаження. Це приводить до зниження діапазону регулювання
напруги і погіршенню використання тиристорів по струму.
Для підвищення ефективності
схеми в неї вводять нульовий діод VDo що шунтює навантаження. При наявності
нульового вентиля VDo індуктивність навантаження розряджається через нього і не
перешкоджає запиранню тиристорів. Це дозволяє реалізувати повний діапазон
регулювання випрямленої напруги обумовленої виразом (4). Якщо кут керування
, нульовий
діод VDo увесь час замкнений і потреба в ньому відпадає. На мал. 3, в приведені
часові діаграми струмів і напруг у схемі з нульовим діодом.
Основна (перша) гармоніка пульсацій
випрямленої напруги має частоту (1) = 3f c , що є
істотним недоліком схеми в порівнянні із симетричною. Коефіцієнт пульсацій
випрямленої напруги по першій гармоніці для схеми без нульового діода і з
нульовим діодом визначається відповідно виразом
При збільшенні кута керування
збільшується
коефіцієнт пульсацій. Тому несиметричні мостові схеми застосовують при
невеликому діапазоні регулювання (
). При активно-індуктивному навантаженні
в діапазоні регулювання
коефіцієнт
зрушення несинусоїдальності і потужності визначаються виразами
. Вихiднi дані
. Номiнальне, мiнiмальне,
максимальне значення фазної напруги мережi живлення: Е1 ном.= 110 В; Е1 min =
93,5 В; Е1 max = 126,5 В;
. Частота мережi живлення: fc
= 1000 Гц
3. Номiнальне значення вихiдної
напруги: Ud ном. =220 В;
. Дiапазон регулювання вихiдної
напруги: Ud min = 187 В; Ud max = 253В;
. Максимальний i мiнiмальний струм
навантаження випрямляча: Id min =8 A; Id max = 12 А;
. Амплiтуда основної гармонiки
пульсацiї вихiдної напруги: U(1) m ≤ 0,5 В;
. Температура навколишнього
середовища: Тсє max = 323 К / +50єС/ Тсє min = 233 К /-40 єС/
. Розрахунок силової частини
випрямляча
. Для пiдвищення коефiцiєнта
потужностi i спрощення системи керування силову частину виконуємо за мостовою
несимметричною схемою, а трьома теристорами I нульовим дiодом. Для згладжування
пульсацiї випрямленої напруги на виходi випрямляча використовуємо Г-подiбний
LC-фільтр, застосування якого забезпечує жорстку зовнішню характеристику
випрямляча, а також сприятливий режим роботи вентилів та трансформатора.
Для гальванічного
розв’язування системи керування і силової частини застосовується оптоелектронні
теристори. Часові діаграми випрямленої напруги і струмів у вентилях при роботі
випрямляча на RL- навантаження і кутах керування
,
,
.
При побудові діаграм
припускаємо, що трансформатор і вентилі - ідеальні, індуктивність дроселя
фільтра
Ф
.
.Коєфіцієнт зміни напруги
живлення:
а
в
=
.Активний опір і
індуктивність трансформатора:
де
-
розрахункові коефіцієнти, що залежать від схеми випрямляча, характеру навчання
і способу з’єднання обмоток трансформатора.
Для трифазного мостового
випрямляча, який працює на RL-навантаження:
При з’єднанні обмоток
Зірка/зірка, трикутник/зірка
-
- число стержнів трансформатора, на
яких розміщенні обмотки;
- максимальна індукція в осерді
трансформатора.
При використанні стрічкових
осердь і холоднокатаних сталей при габаритній потужності трансформатора до 2500
максимальну
індукцію беруть
Тл, при
Гц.
. Падіння напруги на
активному опорі трансформатора при мінімальному і максимальному струмі
навантаження:
.Витрати випрямленої напруги,
зумовлені комутацією, при мінімальному і максимальному струмі навантаження:
.Орієнтовно падіння напруги
на активному опорі дроселя фільтра при мінімальному і максимальному
навантаженні:
де
- активний
опір обмотки дроселя.
при
де
-
номінальний опір навантаження випрямляча.
Менші значення
беруть при
більших значення потужності в навантаженні. В даному прикладі
Приймаємо
. Максимальне середнє
значення випрямленої напруги з урахуванням втрат напруги на елементах:
де Uт, Uд - середнє значення
прямого падіння напруги на тиристорі та діоді випрямляча.
У процесі попереднього
розрахунку падіння напруги на тиристорі і діоді беремо
. Після
вибору вентилів значення Uт , Uд слід уточнити.
. Мінімальна, номінальна і
максимальна напруги вторинної обмотки трансформатора:
де
-
мінімальний кут регулювання. Який забезпечує роботу випрямляча на крутій
ділянці регулювальної характеристики:
. Мінімальне середнє значення
випрямленої напруги на виході випрямляча /на вході фільтра/:
. Максимальний кут керування
. Середнє значення
випрямленої напруги на вході фільтра і кут керування у номінальному режимі
роботи:
. Середнє значення
випрямленої напруги на вході фільтра і кут керування в режимі, відповідному
мінімальній напрузі на навантаженні і максимальному струмовому навантаженню
нульового вентиля:
. Середній струм тиристорів і
діодів випрямляча в режимі максимального навантаження /режим
/ при
і наявності
нульового вентиля:
. Діюче значення струму
тиристорів і діодів випрямляча у режимі максимального навантаження:
. Середнє і діюче значення
струму нульового вентиля в режимі:
:
. Зворотна напруга на
вентилях випрямляча:
Виходячи з розрахункових
даних з довідника, вибираємо:
а) оптроні тиристори типу ТО
125-10-5 з параметрами
;
;
;
;
;
;
;
;
;
б) діоди типу ВЧ2-160-5 з
параметрами:
;
;
;
.
. Потужність статичних втрат
у тиристорі:
. Потужність статичних втрат
у діоді:
. Потужність статичних втрат
у нульовому вентилі:
. Згідно з визначеними
значеннями потужності втрат у вентилях і заданою температурою навколишнього
середовища обчислюємо площі тепловідводних радіаторів. Для охолодження
використовуємо ребристі односторонні радіатори при природному охолодженні.
. Площа тепловідного
радіатора для тиристора:
де
-
коефіцієнт тепловіддачі, який залежить від конструкції, матеріалу і ступеня
воронування тепловідводу.
При природному охолоджені і
нормальному тиску
; для
воронованого ребристого алюмінієвого тепловідводу
;
-
максимальна робоча температура переходу, яка для надійності вибирається на
10...20
меншою ніж
;
- тепловий
опір між корпусом і тепловідводом, величина якого залежить від чистоти обробки
поверхні, наявності мащення прокладок і зусилля, яке притискує вентиль до
тепловідводу, міститься в межах 0,1...1,0
; приймаємо
. Для
зменшення теплового контактного опору поверхні вентиля і радіатора в місці
контакту змащують теплопровідною пастою КТП-8.
. Площа радіатора для діода:
. Площа радіатора для
нульового діода:
. Пряме падіння напруги на
транзисторі і діоді:
. Розрахунок згладжувального
фільтра. Коефіцієнт пульсації
з основної гармоніки на вході
фільтра максимальний у режимі
, а також при куті керування
з графіка
для
.
. Коефіцієнт пульсації
випрямленої напруги на навантаженні з основної гармоніки:
. Коефіцієнт згладжування
фільтру:
. Добуток LC при цьому
вважаємо, що коефіцієнт передачі фільтром постійної складової випрямленої
напруги дорівнює одиниці:
де
=3 - число
пульсацій випрямленої напруги за період мережі живлення;
- кутова
частота мережі живлення.
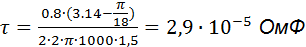
. Індуктивність дроселя за
умови дістання індуктивної реакції фільтра у заданому діапазоні зміни струму
навантаження:
З урахуванням знайденого
значення L та максимального струму навантаження
вибираємо два стандартні дроселі
типу Д136-0.0003-12.5 , та Д151-0.0006-12.5, які з’єднуємо послідовно. Дроселі
мають такі параметри: струм підмагнічування Іпід=12,5 А;активний
опір обмоток Rдр=0,029 Ом; діапазон робочих частот 50...5000 Гц.
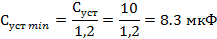
. Ємність фільтра:
При виборі конденсатора
необхідно урахувати: потрібну ємність, робочу напругу, діапазон робочих
температур, допустиму амплітуду змінної складової, діапазон робочих частот
конденсатора, технологічний і температурний розкид ємності.
Вибираємо 2 електролітичні
конденсатори типу К75-30-750В-4мкФ, та К75-30-750В-6мкФ. Згідно з технічними
умовами даний конденсатор має такі параметри: діапазон робочих температур (-40 0С...+70
0С), допустима амплітуда пульсації на частоті 1000 Гц та t0=+70
0С дорівнює
(1000 Гц)=14 В; у діапазоні частот
50 Гц...50кГц допустима амплітуда змінної складової визначається так:
,
де K,n - коефіцієнти, залежні
від частоти пульсації і температури навколишнього середовища відповідно. Так,
при
згідно з ТУ
n=0,8; коефіцієнт пульсації 
.
Оскільки згідно з технічним
завданням амплітуда пульсації вихідної напруги 
, нерівність 
, виконується, тому конденсатор буде
працювати у межах вимог технічних умов.
. Установлена ємність фільтра
з урахуванням можливого відхилення від номінального значення на -20%:
Внаслідок можливого
відхилення на -20% ємність конденсатора може дорівнювати
Таким чином, у заданому
діапазоні температур розраховане значення ємності С=10 мкФ буде забезпечено.
. Перевіримо параметри
фільтру на відсутність резонансу на частоті основної гармоніки пульсацій.
Резонансна частота фільтра:

Оскільки 
резонанс відсутній.
. Уточнюємо мінімальну,
номінальну і максимальну напругу фази вторинної обмотки:

. Діюче значення струму у
фазі вторинної обмотки трансформатора в режимі максимальної струмової віддачі:
36. Розрахункове значення
струму первинної обмотки (без урахування ХХ трансформатора):

. Розрахункова потужність
вторинної та первинної обмоток трансформатора:
. Типова потужність
трансформатора:
Величини 
, 
, 
, 
, 
, 
, а також максимальні значення
індукції в осерді 
Використовуються як вихідні данні
для розрахунку трансформатора згідно з відповідною методикою.
. Визначимо коефіцієнт
потужності схеми при мінімальному і максимальному кутах регулювання. Оскілки 
, то при мінімальному значенні 
визначаємо:
Через те, що 
то при максимальному значенні 
визначаємо коефіцієнт потужності:
. Система керування
випрямлячем
Система керування (СК)
випрямлячем призначена:
а) для формування керуючих
імпульсів вимагаємої амплітуди і тривалості;
б) для синхронізації керуючих
імпульсів з напівперіодами фазних напруг;
в) для розподілу керуючих
імпульсів по трьох каналах відповідно до числа фаз випрямляча.
Принципова схема триканальної
системи керування, в якій реалізовано метод «вертикального керування» [1], наведена
на схемі. Як базові елементи при побудові схеми використані операційні
підсилювачі загального призначення .
Часові діаграми, що пояснюють
роботу першого каналу формування імпульсів керування тиристора фази А, наведені
на рис 3.7.
Рис. 4
Синусоїдальна напруга фази А
(
) , яку знімають з додаткової
обмотки (синхронізуючої) силового трансформатора TV1, надходить на вхід
синхронізатора, зібраного за схемою симетричного двостороннього обмежника
напруги на діодах VD1 та VD2. У зв’язку з не лінійністю вольт амперної
характеристики діодів на виході синхронізатора формується трапецеїдальна
напруга з амплітудою 
, яка дорівнює падінню напруги на
відкритому діоді і тривалістю фронту 
(рис. 4).
Вихідна напруга обмежника
синхронізує роботу генератора пилкоподібної напруги (ГПН), зібраного на
операційному підсилювачі ДАІ. Запуск ГПН здійснюється у момент переходу
синхронізуючої напруги 
через нуль, тому імпульси керування
фаз А, В, С зсунуті між собою на кут 120. На виході генератора формується
пилкоподібна напруга 
(рис. 3.7), період якої дорівнює
періоду силової напруги, а амплітуда визначається сталою ланцюга інтегрування
С1, R2. Резистор R4 стабілізує роботу інтегратора за постійним струмом. З
виходу ГПН пилкоподібна напруга надходить на інвертуючий вхід компаратора ДА2,
на неінвертуючий вхід подається напруга керування 
(рис 4).
У момент рівності вказаних
напруг компаратор перемикається з одного насиченого стану в протилежний,
внаслідок чого на виході формується послідовність різнополярних імпульсів з
частотою мережі живлення. Позитивний імпульс вихідної напруги компаратора через
обмежуючий резистор R7 надходить до ланцюга бази транзистора VT1. Який виконує
функції вихідного підсилювача потужності. При відмиканні транзистора в його
колекторному ланцюзі протікає імпульс струму керування тиристора VS1 з
амплітудою 
(рис. 4). Під дією 
світодіод оптрона випромінює
світовий імпульс і переводить силовий тиристор фази А у ввімкнений стан. Для
обмежування амплітуди керуючого струму вмикається резистор R8. В інтервалі
часу, коли вихідна напруга компаратора негативна, транзистор VT1 зачинений.
5. Розрахунок синхронізуючого
приладу і генератора напруги
. Як діоди двостороннього
обмежника вибираємо діоди типу Д223А з параметрами :
допустимий струм 
;
допустима зворотна напруга 
;
діапазон робочих температур
213 К … 392 К.
Використанні діоди повинні
мати малий диференціальний опір у відкритому стані. Подальший розрахунок
обмежника виконується при таких допущеннях: а) діоди VD1, VD2 мають ідентичні
параметри; б) диференціальний опір відкритого діода дорівнює нулю, тобто
напруга на ньому не залежить від прямого струму і дорівнює пороговій напрузі
діода; в) амплітуда синхронізуючої напруги 
значно більша напруги обмежника 
, 
,
; г) вхідні струми операційного
підсилювача і зворотні струми діодів VD1, VD2 дорівнюють нулю.
. Задаємось прямим струмом
через діоди обмежника при максимальній напрузі мережі 
, згідно з статичною вольт-амперною
характеристикою діода для 
визначимо пряме падіння напруги на
діоді: 
.
. Визначимо діюче і
амплітудне значення синхронізуючої напруги, близької до прямокутної, необхідно,
щоб амплітуда синусоїдальної напруги вибиралася за умовою: 
тоді 
, діюче значення напруги
. Вихідний опір обмежника
Вибираємо стандартний
резистор згідно з номіналом 
та потужністю: 
Тип - С2-33-0.125-560 Ом±5%.
. Амплітуда прямого струму
через діоди обмежника при максимальній напрузі мережі:
. Діюче значення струму в
обмотці синхронізації при максимальній напрузі мережі:
Діюче значення 
і 
використовується при розрахунку
синхронізуючого трансформатора.
. Розрахунок інтегратора ДАІ.
Як підсилюючий елемент використовуємо операційний підсилювач К 140УД7 з
параметрами:
напруга живлення 
;
максимальна вхідна напруга 
;
вихідна напруга 
;
вихідний струм 
коефіцієнт підсилення за
напругою 
;
діапазон робочих температур
233К … 358К
. Стала інтегрування СІ R2
інтегратора згідно з формулою
Де 

; 
- тривалість фронту вихідної
напруги обмежника. При виконанні умови 
кут 
знаходиться в межах 
. Приймаємо 
.
Для забезпечення режиму
лінійного інтегрування задаємося амплітудою напруги на виході інтегратора ДАІ
за умовою 
де мінімальна вхідна напруга
мікросхеми 140УД7 
; беремо 
, тоді

;
. Розрахуємо резистор R2 за
умови, що 
, зумовлене вхідним струмом ОП,
становить 
, тобто 
, тоді

;
Вибираємо стандартний резистор
типу С2-33-0.125-100к±5%.
. Ємність інтегруючого
конденсатора:

;
Для здобуття шуканої ємності
вибираємо стандартний конденсатор ємністю 30 нФ типу КМ.
. З метою стабілізації режиму
роботи за постійним струмом інтегратор охоплений негативним зворотним зв’язком
через резистор R4, величина якого визначається виразом 
, тоді 
. Вибираємо стандартний резистор
типу С2-33-0.125-100к±5%.
. Для забезпечення похибки
інтегрування, зумовленої вхідним струмом мікросхеми, розраховуємо резистор R3,
опір якого вибираємо за умовою:

;
Вибираємо стандартний
резистор типу С2-33-0.125-10к±5%
. Розрахунок компаратора
напруги
. Визначаємо опір резисторів
R5, R6. оскільки амплітуда пилкоподібної напруги m =1,5В, то, згідно
з міркуванням, наведеним в пункті п.10 підрозділ 3.4.1,
Приймаємо:
Вибираємо стандартний
резистор з опором 13 кOм. Опір навантаження мікросхеми ДАІ:
, отже,
мікросхема за струмом не перевантажена.
. Ємність розподілювального
конденсатора С2, який не пропускає постійну складову вихідної напруги
інтегратора, що виникає через зміщення „нуля” операційного підсилювача, а також
через неідентичність параметрів діодів VD1, VD2 на вході компаратора. Ємність
конденсатора вибираємо за умовою:
,
де
- період
синхронізуючої напруги.
Приймаємо
Вибираємо стандартній
конденсатор ємністю 30 нФ.
. Розрахунок вихідного
підсилювача
. Максимальний струм
колектора транзистора Ik.max =Iкер =150 мА , де Iкер
- Імпульсний відмикаючий струм керування оптронного тиристора.
. Максимальна напруга на
колекторі зачиненого транзистора
Параметри транзистора VT1
повинні задовольняти умову
,
де
- струм
колектора зачиненого транзистора /оптрона/. Вибираємо транзистор КТ630Е з
параметрами:
=1 А,
=60 В.
Допустима зворотна напруга емітер-база
= 6 В, статичний коефіцієнт передачі
за струмом
=160...480,
струм колектора зачиненого транзистора
=1*10 А, межова частота підсилення
Гц.
Максимально допустима потужність розсіювання на колекторі
=0,8 Вт.
. Опір обмежуючого резистора
R8 у ланцюзі керування оптрона:
де
-падіння
напруги відкритому транзисторі при струмі
=0,1А, яке визначається згідно з
вихідними статичними характеристиками,
=2,5 В - імпульсна відмикаючи
напруга керування тиристора. Вибираємо стандартний резистор з опором 120 Ом.
.Ефективне значення
колекторного струму транзистора при мінімальному куті керування
. Втрати потужності у
резисторі R8:
Вибираємо резистор типу С2-33
потужністю 2 Вт: С2-33-0,5-20
5%.
. Задаємося коефіцієнтом
насичення транзистора VT1: b=1,2…1,5, тоді потрібна амплітуда відмикаючого
струму в ланцюзі бази:
Здобуте значення струму має
задовольнити умову
, де
- допустимий
вихідний струм операційного підсилювача. Для мікросхеми 14ОУД7,
=1,6 mA.
Якщо
, то для
узгодження вихідного опору компаратора з вхідним опором підсилювача потужності
використовують емітер ний повторював, розрахунок якого виконюють згідно з
відомими методиками.
. Опір обмежуючого резистора
у ланцюзі бази:
,
де
=0,65 В -
напруга поміж емітером і базою насиченого транзистора , яка визначається згідно
з вихідними статичними характеристиками при
. Вибираємо стандартний резистор з
опором 1,6 кОм типу С2-33.
. Максимальна зворотна
напруга на базі транзистора
, отже, додаткових заходів по
обмежуванню зворотної напруги не треба.
. Втрати потужності у
транзисторі в інтервалі його відкритого стану при мінімальному куті керування
:
Втратами потужності на
перемикання і втратами у транзисторі в зачиненому стані можна нехтувати, якщо
урахувати низьку частоту перемикання. Оскільки
<
, то транзистор за потужністю
вибрано правильно.
. Мінімальна тривалість
керую.чого імпульсу тиристора при максимальному куті керування
:
.
Оскільки
>
=
с, то у
всьому діапазоні зміни
надійне
включення тиристора буде забезпечене.
Система керування живиться від
допоміжного стабілізуючого джерела живлення. Яке виробляє двополярну напругу
6,3В з
сумарною нестабільністю не гірше 1% і коефіцієнтом пульсації не більше 1%. Для
живлення допоміжного джерела напруги використовується або окремий малопотужний
трансформатор, підключений до мережі, або додаткова обмотка силового
трансформатора VT1.
мостовий випрямляч
генератор трансформатор
Висновки
В даній курсовій роботі був
розрахований трифазний керований випрямляч. Керованим називається випрямляч,
який окрім випрямлення змінної напруги одночасно регулює середнє значення
випрямленої напруги. У керованому випрямлячі некеровані вентилі замінені
керованими вентилями - тиристорами.
Регулювання здійснюється шляхом
затримання відмикання тиристора в межах півперіоду сітьової напруги, де кут
затримування відмикання тиристора називається кутом керування a.
Також був розрахований діапазон
регулювання, елементи схеми випрямляча. Для зміщення керуючих імпульсів на кут
і розподілу сигналів керування на відповідні тиристори необхідна система
керування випрямлячем.
Під час розрахунків було визначено
номінали елементів схеми, параметри їх робочого режиму, найважливіші
енергетичні і якісні показники пристрою.
На підставі розрахункових даних із
довідників було вибрано стандартні елементи (напівпровідникові прилади,
резистори, конденсатори, мікросхеми та ін.) З метою уніфікації і підвищення
технологічності пристрою допускається використовувати стандартні моточні вузли
- трансформатори, дроселі, фільтри, застосування яких не повинно погіршувати
енергетичні, якісні та економічні показники. Коли трансформатор і дросель не
можна вибрати з числа стандартних, слід виконати електричний розрахунок.
Література
1. Чебовський А.Г., Моисеев
Л.Г., Сахаров Ю.В. Силовые полупроводниковые приборы. - М.: Энергия, 1975.
2. Замятин В.Я. Кондратьев
Б.В. Тиристоры. - М.: Сов.радио, 1980.
. Незнайко А.П. Геликман
В.Ю. Конденсаторы и резисторы. - М.: Энергия, 1974.
. Нестеренко Б.К.
Интегральные операционные усилители. - М.: Энергоиздат, 1982.
. Электронные
конденсаторы и конденсаторне установки /Справочник. - М.: Энергоиздат, 1982.
. Сидоров И.М., Мукосеев
В.В. и др.. Малогабаритные трансформаторы и дроссели. - М.: Радио и связь,
1985.
. Методичні вказівки до
виконання курсової роботи з курсу ”Електронні, мікропроцесори та
перетворювальні пристрої”. Розділ ”Керовані випрямлячі”. Для студентів
електричного та електротехнічного фаху усіх форм навчання / Укл. В.І. Сенько,
В.І. Кучерук, В.С. Омірнов та ін. - К.: КПІ, 1995. - 56 с.