Жиры

  • Вид работы:
    Реферат
  • Предмет:
    Химия
  • Язык:
    Русский
    ,
    Формат файла:
    MS Word
    420,79 Кб
  • Опубликовано:
    2013-01-12
Вы можете узнать стоимость помощи в написании студенческой работы.
Помощь в написании работы, которую точно примут!

Жиры

Введение

Человек потребляет в день около 60-100 г жиров. Жиры в пище приблизительно на 90 % состоят из триглицеридов, большую часть которых составляют липиды, содержащие жирные кислоты с длинной цепью из 16 (пальмитиновая кислота) или 18 (стеариновая, олеиновая, линолевая кислоты) атомов углерода. Триглицериды, содержащие жирные кислоты с короткой цепью (2-4 углеродных атома) или средней цепью (6-8 атомов), составляют лишь небольшую часть жиров пищи. 10 % жиров пищи приходится на фосфолипиды, эфиры холестерола и жирорастворимые витамины.

Начальный процесс липолиза происходит в желудке под действием желудочной липазы, вырабатываемой в дне желудка, при оптимальном значении рН 4-5. В результате триглицериды расщепляются до жирных кислот и диглицеридов. В щелочной среде двенадцатиперстной кишки активность желудочной липазы снижается под действием солей желчных кислот. В желудке жиры образуют капельки диаметром около 100 нм, что повышает площадь поверхности для переваривания жиров.

Жиры - это класс органических веществ, ведущее назначение которых - энергообеспечение организма. Известно, что молекулы жира обладают большей энергоемкостью по сравнению с углеводами. Жиры начинают расщепляться в желудочно-кишечном тракте, но процесс этот длительный, так как жир находится в недоступном для ферментов состоянии: для расщепления жира сначала необходимо раздробить его на мельчайшие шарики. Правда, в незначительном количестве жир может всасываться и в цельном виде, нерасщепленным. Затем, он откладывается в подкожно-жировой клетчатке, в виде нейтрального запасного жира, чтобы впоследствии использоваться как источник энергии.

Переваривание жиров

Несомненно, что в повседневной пище из жиров доминируют нейтральные жиры, известные как триглицериды, каждая молекула которых включает глицериновое ядро и боковые цепи, состоящие из трех жирных кислот. Нейтральные жиры - основной компонент животной пищи, а в растительной пище их содержится крайне мало. В обычной пище имеется небольшое количество фосфолипидов, холестерола и эфиров холестерола. Фосфолипиды и эфиры холестерола содержат жирные кислоты и, следовательно, могут рассматриваться как жиры. Впрочем, холестерол является представителем стеринов и не содержит жирных кислот, но проявляет некоторые физические и химические свойства жиров; к тому же он производится из жиров и легко превращается в них. Следовательно, с диетологической точки зрения, холестерол рассматривается как жир.

Переваривание жиров в кишечнике. Небольшое количество триглицеридов переваривается в желудке под действием лингвальной липазы, которая секретируется железами языка в ротовой полости и проглатывается вместе со слюной. Количество перевариваемых таким образом жиров составляет менее 10%, а потому не существенно. Основное переваривание жиров происходит в тонком кишечнике, о чем сказано далее.

Эмульгирование жиров желчными кислотами и лецитином. Первый этап переваривания жиров заключается в физическом разрушении капель жира на мелкие частицы, поскольку водорастворимые ферменты могут действовать только на поверхности капли. Этот процесс называют эмульгированием жиров, он начинается в желудке с перемешивания жиров с другими продуктами переваривания желудочного содержимого.

 

Рис. 1 - Переваривание жиров

Далее основной этап эмульгирования происходит в двенадцатиперстной кишке под влиянием желчи, секрета печени, который не содержит пищеварительных ферментов. Однако желчь содержит большое количество желчных солей, а также фосфолипид - лецитин. Эти компоненты, в особенности лецитин, чрезвычайно важны для эмульгирования жиров. Полярные частицы (места, в которых происходит ионизация воды) желчных солей и молекул лецитина хорошо растворимы в воде, тогда как большая оставшаяся часть этих молекул хорошо растворима в жирах.

Таким образом, жирорастворимые порции секрета печени растворяются в поверхностном слое жировых капель вместе с выступающей полярной частью. В свою очередь, выступающая полярная часть растворима в окружающей водной фазе, что значительно снижает поверхностное натяжение жиров и делает их также растворимыми.

Когда поверхностное натяжение капли нерастворимой жидкости низкое, нерастворимая в воде жидкость во время перемещения значительно легче разрушается на множество мелких частиц, чем при более высоком поверхностном натяжении. Следовательно, основная функция желчных солей и лецитина - делать капли жира способными к легкому размельчению при перемешивании с водой в тонком кишечнике. Это действие аналогично действию синтетических моющих средств, широко используемых в домашнем хозяйстве для устранения жира.

Каждый раз в результате перемешивания в тонком кишечнике диаметр жировых капель существенно уменьшается, поэтому общая жировая поверхность многократно увеличивается. Из-за того, что средний диаметр частичек жира в кишечнике после эмульгирования оказывается менее 1 мкм, общая площадь жировой поверхности, образованная в результате процесса эмульгирования, увеличивается в 1000 раз.

Фермент липаза является водорастворимым и может воздействовать только на поверхности жировых капель. Отсюда понятно, насколько значительна детергентная роль лецитина и желчных солей в переваривании жиров.

В процессах пищеварения все омыляемые липиды (жиры, фосфолипиды, гликолипиды, стериды) подвергаются гидролизу на составные части, уже названные ранее, стерины же химическим изменениям не подвергаются. При изучении этого материала следует обратить внимание на отличия пищеварения липидов от соответствующих процессов для углеводов и белков: особую роль желчных кислот в распаде липидов и транспорте продуктов пищеварения. В составе липидов пищи преобладают триглицериды. Фосфолипидов, стреинов и других липидов потребляется значительно меньше.

Большая часть поступающих с пищей триглицеридов расщепляется до моноглицеридов и жирных кислот в тонком кишечнике. Гидролиз жиров происходит под влиянием липаз сока поджелудочной железы и слизистой оболочки тонкого кишечника. Соли желчных кислот и фосфолипиды, проникающие из печени в просвет тонкого кишечника в составе желчи, способствуют образованию устойчивых эмульсий. В результате эмульгирования резко увеличивается площадь соприкосновения образовавшихся мельчайших капелек жира с водным раствором липазы, и этим самым увеличивается липолитическое действие фермента. Соли желчных кислот стимулируют процесс расщепления жиров не только участвуя в их эмульгировании, но и активируя липазу.

Рис. 2 - Эмульгирование жира: а) слой воды, масла и эмульгатора (•); б) молекула эмульгированного жира, окруженная молекулами эмульгатора, обращенного гидрофильными группами к воде, а гидрофобными участками к маслу

Расщепление стероидов происходит в кишечнике при участии фермента холинэстеразы, выделяющегося с соком поджелудочной железы. В результате гидролиза стероидов образуются жирные кислоты и холестерин. Фосфолипиды расщепляются полностью или частично под действием гидролитических ферментов - специфических фосфолипаз. Продуктом полного гидролиза фосфолипидов являются: глицерин, высшие жирные кислоты, фосфорная кислота и азотистые основания.

Всасыванию продуктов переваривания жиров предшествует образование мицелл - надмолекулярных образований или ассоциатов. Мицеллы содержат в качестве основного компонента соли желчных кислот, в которых растворены жирные кислоты, моноглицериды, холестерин и т.п.

В клетках кишечной стенки из продуктов пищеварения, а в клетках печени, жировой ткани и других органов из предшественников, возникших в обмене углеводов и белков, происходит построение молекул специфических липидов тела человека - ресинтез триглицеридов и фосфолипидов. Однако их жирнокислотный состав по сравнению с жирами пищи изменен: в триглицеридах, синтезируемых в слизистой оболочке кишечника содержатся арахидоновая и линоленовая кислоты даже в том случае, если они отсутствуют в пище. Кроме того, в клетках кишечного эпителия жировая капля покрывается белковой оболочкой и происходит формирование хиломикронов - большая жировая капля, окруженная небольшим количеством белка. Транспортирует экзогенные липиды в печень, адипозную ткань, соединительную ткань, в миокард. Поскольку липиды и некоторые их составные части нерастворимы в воде, для переноса из одного органа в другой они образуют особые транспортные частицы, в составе которых обязательно есть белковый компонент. В зависимости от места образования эти частицы различаются структурой, соотношением составных частей и плотностью. Если в составе такой частицы в процентном соотношении жиры преобладают над белками, то такие частицы называются липопротеинами очень низкой плотности (ЛПОНП) или липопротеинами низкой плотности (ЛПНП). По мере увеличения процентного содержания белка (до 40%) частица превращается в липопротеин высокой плотности (ЛПВП). В настоящее время изучение таких транспортных частиц дает возможность с большой степенью точности оценивать состояние липидного обмена организма и использование липидов в качестве источников энергии.

Если образование липидов происходит из углеводов или белков, предшественником глицерина становится промежуточный продукт гликолиза - фосфодиоксиацетон, жирных кислот и холестерина - ацетилкофермент А, аминоспиртов - некоторые аминокислоты. Синтез липидов требует больших энерготрат для активации исходных веществ. Основной частью продуктов распада жиров всасывается из клеток кишечного эпителия в лимфатическую систему кишечника, грудной лимфатический проток и только затем - в кровь. Незначительная часть короткоцепочечных жирных кислот и глицерина способна всасываться непосредственно в кровь воротной вены.

 

Рис. 3 - Расщепление жиров в процессе пищеварения

Липиды, образовавшиеся из продуктов пищеварения, поступают, в основном, в депо, где откладываются в запас. Они могут мобилизоваться при увеличении потребности организма в них. Часть вновь синтезированных липидов поступает в клетки различных органов, где используется преимущественно как структурный компонент протоплазмы и мембран клеток. Эти липиды, в отличие от депонированных, обладают видовой специфичностью и значительной устойчивостью.

Мобилизация липидов из депо особенно усиливается при охлаждении организма, длительной мышечной работе, понижении содержания углеводов. Мобилизация представляет собою липолиз (гидролитическое расщепление) липидов и включение продуктов этого расщепления в обменные процессы в различных органах.

Всасывание жиров

Переваривание жиров в желудочно-кишечном тракте (ЖКТ) отличается от переваривания белков и углеводов. Жиры не растворимы в жидкой среде кишечника, и поэтому для того, чтобы они гидролизовались и всасывались, необходимо их эмульгирование - разбивка на мельчайшие капельки. В результате получается эмульсия - дисперсия микроскопических частиц одной жидкости в другой. Эмульсии могут быть образованы двумя любыми не смешивающимися жидкостями. В большинстве случаев одной из фаз эмульсий является вода. Эмульгирование жиров идёт с помощью желчных кислот, которые синтезируются из холестерина в печени. Так что холестерин важен для усвоения жиров.

Как только произошло эмульгирование, жиры (липиды) становятся доступными для панкреатических липаз, которые секретирует поджелудочная железа, особенно для липазы и фосфолипазы А2.

Продукты расщепления жиров панкреатическими липазами - это глицерин и жирные кислоты.

В результате расщепления молекул липидов (жиров) получаются глицерин и жирные кислоты. Они, а также мельчайши капли нерасщеплённого эмульгированного жира, всасываются в верхнем отделе тонкого кишечника в начальных 100 см. В норме всасывается 98% пищевых липидов.

. Короткие жирные кислоты (не более 10 атомов углерода) всасываются и переходят в кровь без каких-либо особенных механизмов. Этот процесс важен для грудных детей, т.к. молоко содержит в основном коротко- и среднецепочечные жирные кислоты. Глицерол тоже всасывается напрямую.

. Другие продукты переваривания (жирные кислоты, холестерол, моноацилглицеролы) образуют с желчными кислотами мицеллы с гидрофильной поверхностью и гидрофобным ядром. Их размеры в 100 раз меньше самых мелких эмульгированных жировых капелек. Через водную фазу мицеллы мигрируют к щеточной каемке слизистой оболочки. Здесь мицеллы распадаются и липидные компоненты проникают внутрь клетки, после чего транспортируются в эндоплазматический ретикулум.

Желчные кислоты частично также могут попадать в клетки и далее в кровь воротной вены, однако большая их часть остается в химусе и достигает подвздошной кишки, где всасывается при помощи активного транспорта.

Этапы переваривания жиров

Потребность в липидах взрослого организма составляет 80-100 г в сутки, из них растительных (жидких) жиров должно быть не менее 30%. С пищей в основном поступают триацилглицеролы, фосфолипиды и эфиры ХС.

Переваривание липидов осложняется тем, что их молекулы полностью или частично гидрофобны. Для преодоления этой помехи используется процесс эмульгирования, когда гидрофобные молекулы (ТАГ, эфиры ХС) или гидрофобные части молекул (ФЛ, ХС) погружаются внутрь мицеллы, а гидрофильные остаются на поверхности, обращенной к водной фазе. Условно внешний обмен липидов можно подразделить на следующие этапы:

1. Эмульгирование жиров пищи - необходимо для того, чтобы ферменты ЖКТ смогли начать работу.

. Гидролиз триацилглицеролов, фосфолипидов и эфиров ХС под влиянием ферментов ЖКТ.

. Образование мицелл из продуктов переваривания (жирных кислот, МАГ, холестерола).

. Всасывание образованных мицелл в эпителий кишечника.

. Ресинтез триацилглицеролов, фосфолипидов и эфиров ХС в энтероцитах.

После ресинтеза липидов в кишечнике они собираются в транспортные формы - хиломикроны (основные) и липопротеины высокой плотности (ЛПВП) (малое количество) - и разносятся по организму.

Эмульгирование и гидролиз липидов

Первые два этапа переваривания липидов, эмульгирование и гидролиз, происходят практически одновременно. Вместе с этим, продукты гидролиза не удаляются, а оставаясь в составе липидных капелек, облегчают дальнейшее эмульгирование и работу ферментов.

Переваривание в ротовой полости

У взрослых в ротовой полости переваривание липидов не идет, хотя длительное пережевывание пищи способствует частичному эмульгированию жиров.

Переваривание в желудке

Собственная липаза желудка у взрослого не играет существенной роли в переваривании липидов из-за ее небольшого количества и того, что ее оптимум рН 4,5-5,5. Также влияет отсутствие эмульгированных жиров в обычной пище (кроме молока).

Тем не менее, у взрослых теплая среда и перистальтика желудка вызывает некоторое эмульгирование жиров. При этом даже низко активная липаза расщепляет незначительные количества жира, что важно для дальнейшего переваривания жиров в кишечнике, т.к. наличие хотя бы минимального количества свободных жирных кислот облегчает эмульгирование жиров в двенадцатиперстной кишке и стимулирует секрецию панкреатической липазы.

Переваривание в кишечнике

Под влиянием перистальтики ЖКТ и составных компонентов желчи пищевой жир эмульгируется. Образующиеся лизофосфолипиды также являются хорошим поверхностно-активным веществом, поэтому они способствуют эмульгированию пищевых жиров и образованию мицелл. Размер капель такой жировой эмульсии не превышает 0,5 мкм.Гидролиз эфиров ХС осуществляет холестерол-эстераза панкреатического сока.Переваривание ТАГ в кишечнике осуществляется под воздействием панкреатической липазы с оптимумом рН 8,0-9,0. В кишечник она поступает в виде пролипазы, активируемой при участии колипазы. Колипаза, в свою очередь, активируется трипсином <#"605316.files/image004.jpg">

Рис. 4 - Действие фосфолипазы А2 и лизофосфолипазы на примере фосфатидилхолина

В кишечном соке имеется активность фосфолипазы А2 и С. Имеются также данные о наличии в других клетках организма фосфолипаз А1 и D.

 Рис. 5 - Специфичность фосфолипаз


Образование мицелл

В результате воздействия на эмульгированные жиры ферментов панкреатического и кишечного соков образуются 2-моноацилглицеролы, жирные кислоты и свободный холестерол, формирующие структуры мицеллярного типа (размер около 5 нм). Свободный глицерол всасывается прямо в кровь.

Рис. 6 - Схематичное изображение переваривания липидов

Рис. 7 - Полный ферментативный гидролиз триацилглицерола

Желчь представляет собой сложную жидкость со щелочной реакцией. В ней выделяют сухой остаток - около 3% и воду - 97%. В сухом остатке обнаруживается две группы веществ:

попавшие сюда путем фильтрации из крови натрий, калий, бикарбонат-ионы, креатинин, холестерол (ХС), фосфатидилхолин (ФХ),

активно секретируемые гепатоцитами билирубин и желчные кислоты.

В норме между основными компонентами желчи выдерживается соотношение Желчные кислоты: ФХ: ХС равное 65:12:5. Без желчи липиды не перевариваются.

В сутки образуется около 10 мл желчи на кг массы тела, таким образом, у взрослого человека это составляет 500-700 мл. Желчеобразование идет непрерывно, хотя интенсивность на протяжении суток резко колеблется.

Роль желчи

Наряду с панкреатическим соком нейтрализация кислого химуса, поступающего из желудка. При этом карбонаты взаимодействуют с НСl, выделяется углекислый газ и происходит разрыхление химуса, что облегчает переваривание.

Усиливает перистальтику кишечника.

эмульгирование для последующего воздействия липазой, необходима комбинация [желчные кислоты+жирные кислоты+моноацилглицеролы],

уменьшает поверхностное натяжение, что препятствует сливанию капель жира,

образование мицелл, способных всасываться.

Экскреция избытка ХС, желчных пигментов, креатинина, металлов Zn, Cu, Hg, лекарств. Для холестерина желчь - единственный путь выведения, с ней может выводиться 1-2 г/сут.

Образование желчных кислот

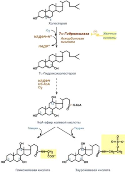
Синтез желчных кислот идет в эндоплазматическом ретикулуме при участии цитохрома Р450, кислорода, НАДФН и аскорбиновой кислоты. 75% холестерина, образуемого в печени, учавствует в синтезе желчных кислот.

Рис. 8 - Реакции синтеза желчных кислот на примере холевой кислоты

В печени синтезируются первичные желчные кислоты - холевая (гидроксилирована по С3, С7, С12) и хенодезоксихолевая (гидроксилирована по С3, С7), затем они образуют конъюгаты с глицином - гликопроизводные и с таурином - тауропроизводные, в соотношении 3:1 соответственно.

Рис. 9 - Строение желчных кислот

В кишечнике под действием микрофлоры эти желчные кислоты теряют НО-группу при С7 и превращаются во вторичные желчные кислоты - дезоксихолевую (гидроксилирована по С3 и С12) и литохолевую (гидроксилирована только по С3).

Кишечно-печеночная циркуляция

Это непрерывная секреция желчных кислот в просвет кишечника и реабсорбция их большей части в подвздошной кишке, что сберегает ресурсы холестерола. В сутки происходит 6-10 таких циклов. Таким образом, небольшое количество желчных кислот (всего 3-5 г) обеспечивает переваривание липидов, поступающих в течение суток. Потери в размере около 0,5 г/сут соответствуют суточному синтезу холестерола de novo.

Рис. 10 - Кишечно-печеночная рециркуляция желчных кислот

Всасывание липидов

После расщепления полимерных липидных молекул полученные мономеры всасываются в верхнем отделе тонкого кишечника в начальные 100 см. В норме всасывается 98% пищевых липидов.

. Короткие жирные кислоты (не более 10 атомов углерода) всасываются и переходят в кровь без каких-либо особенных механизмов. Этот процесс важен для грудных детей, т.к. молоко содержит в основном коротко- и среднецепочечные жирные кислоты. Глицерол тоже всасывается напрямую.

. Другие продукты переваривания (жирные кислоты, холестерол, моноацилглицеролы) образуют с желчными кислотами мицеллы с гидрофильной поверхностью и гидрофобным ядром. Их размеры в 100 раз меньше самых мелких эмульгированных жировых капелек. Через водную фазу мицеллы мигрируют к щеточной каемке слизистой оболочки. Здесь мицеллы распадаются и липидные компоненты проникают внутрь клетки, после чего транспортируются в эндоплазматический ретикулум.

Желчные кислоты частично также могут попадать в клетки и далее в кровь воротной вены, однако большая их часть остается в химусе и достигает подвздошной кишки, где всасывается при помощи активного транспорта.

Ресинтез липидов в энтероцитах.

Ресинтез липидов - это синтез липидов в стенке кишечника из поступающих сюда экзогенных жиров, иногда могут использоваться и эндогенные жирные кислоты. Основная задача этого процесса - связать поступившие с пищей средне- и длинноцепочечные жирные кислоты со спиртом - глицеролом или холестеролом. Это ликвидирует их детергентное действие на мембраны и позволит переносить по крови в ткани.Поступившая в энтероцит жирная кислота обязательно активируется через присоединение коэнзима А. Образовавшийся ацил-SКоА участвует в реакциях синтеза эфиров холестерола, триацилглицеролов и фосфолипидов.

Рис. 11 - Реакция активации жирной кислоты

Ресинтез эфиров холестерола

Холестерол этерифицируется с использованием ацил-S-КоА и фермента ацил-КоА:холестерол-ацилтрансферазы (АХАТ). Реэтерификация холестерола напрямую влияет на его всасывание в кровь. В настоящее время ищутся возможности подавления этой реакции для снижения концентрации ХС в крови.

Рис. 12 - Реакция ресинтеза холестерола

Ресинтез триацилглицеролов

Для ресинтеза ТАГ есть два пути:

Первый путь, основной - 2-моноацилглицеридный - происходит при участии экзогенных 2-МАГ и ЖК в гладком эндоплазматическом ретикулуме энтероцитов: мультиферментный комплекс триацилглицерол-синтазы формирует ТАГ.

Рис. 13 - Моноацилглицеридный путь образования ТАГ

Поскольку 1/4 часть ТАГ в кишечнике полностью гидролизуется и глицерол в энтероцитах не задерживается, то возникает относительный избыток жирных кислот для которых не хватает глицерола. Поэтому существует второй, глицеролфосфатный, путь в шероховатом эндоплазматическом ретикулуме. Источником глицерол-3-фосфата служит окисление глюкозы, так как пищевой глицерол быстро покидает энтероциты и уходит в кровь. Здесь можно выделить следующие реакции:

Образование глицерол-3-фосфата из глюкозы.

Превращение глицерол-3-фосфата в фосфатидную кислоту.

Превращение фосфатидной кислоты в 1,2-ДАГ.

Синтез ТАГ.

Рис. 14 - Глицеролфосфатный путь образования ТАГ

Ресинтез фосфолипидов

Фосфолипиды синтезируются также как и в остальных клетках организма. Для этого есть два способа. Первый - с использованием 1,2-ДАГ и активных форм холина и этаноламина для синтеза фосфатидилхолина или фосфатидилэтаноламина. Второй путь - через синтезируемую in situ фосфатидную кислоту (см "Cинтез фосфолипидов <#"605316.files/image015.jpg">

Рис. 15 - Общая схема ресинтеза фосфолипидов

После ресинтеза фосфолипиды, триацилглицеролы, холестерол и его эфиры упаковываются в особые транспортные формы липидов - липопротеины и только в такой форме они способны покинуть энтероцит. В кишечнике формируются два вида липопротеинов - хиломикроны и липопротеины высокой плотности.

Переваривание липидов может легко нарушиться

Любое нарушение внешнего обмена липидов (проблемы переваривания или всасывания) проявляется увеличением содержания жира в кале - развивается стеаторея.

Причины нарушений переваривания липидов

. Снижение желчеобразования в результате недостаточного синтеза желчных кислот и фосфолипидов при болезнях печени, гиповитаминозах.

. Снижение желчевыделения (обтурационная желтуха, билиарный цирроз, желчнокаменная болезнь). У детей часто причиной может быть перегиб желчного пузыря, который сохраняется и во взрослом состоянии.

. Снижение переваривания при недостатке панкреатической липазы, который возникает при заболеваниях поджелудочной железы (острый и хронический панкреатит, острый некроз, склероз). Может возникать относительная недостаточность фермента при сниженном выделении желчи.

. Избыток в пище катионов кальция и магния, которые связывают жирные кислоты, переводят их в нерастворимое состояние и препятствуют их всасыванию. Эти ионы также связывают желчные кислоты, нарушая их работу.

. Снижение всасывания при повреждении стенки кишечника токсинами, антибиотиками (неомицин, хлортетрациклин).

. Недостаточность синтеза пищеварительных ферментов и ферментов ресинтеза липидов в энтероцитах при белковой и витаминной недостаточности.

Нарушение желчевыделения

Нарушение желчеобразования и желчевыделения чаще всего связаны с хроническим избытком ХС в организме вообще и в желчи в частности, так как желчь является единственным способом его выведения.

Избыток ХС в печени возникает при увеличении количества исходного материала для его синтеза (ацетил-S-КоА) и при недостаточном синтезе желчных кислот из-за снижения активности 7α-гидроксилазы (гиповитаминозы С и РР).

Рис. 16 - Причины нарушения формирования желчи и возникновения холелитиаза

Избыток ХС в желчи может быть абсолютным в результате избыточного синтеза и потребления или относительным. Так как соотношение желчных кислот, фосфолипидов и холестерола должно составлять 65:12:5, то относительный избыток возникает при недостаточном синтезе желчных кислот (гиповитаминозы С, В3, В5) и/или фосфатидилхолина (недостаток полиненасыщенных жирных кислот, витаминов В6, В9, В12). В результате нарушения соотношения образуется желчь, из которой холестерол, как плохо растворимое соединение, кристаллизуется. Далее к кристаллам присоединяются ионы кальция и билирубин, что сопровождается образованием желчных камней.

Застой в желчном пузыре, возникающий при неправильном питании, приводит к сгущению желчи из-за реабсорбции воды. Недостаток потребления воды или длительный прием мочегонных средств (лекарства, кофеин-содержащие напитки, этанол) существенно усугубляет эту проблему.

Особенности переваривания жира у детей.

У младенцев клетками слизистой корня языка и глотки (железы Эбнера) при сосании секретируется лингвальная липаза, продолжающая свое действие и в желудке.

У грудных младенцев и детей младшего возраста липаза желудка более активна, чем у взрослых, так как кислотность в желудке детей около 5,0. Помогает и то, что жиры молока эмульгированы. Жиры у младенцев дополнительно перевариваются за счет липазы, содержащейся в женском молоке, в коровьем молоке липаза отсутствует. Благодаря таким преимуществам у детей грудного возраста в желудке происходит 25-50% всего липолиза.В двенадцатиперстной кишке гидролиз жира дополнительно осуществляется панкреатической липазой. До 7 лет активность панкреатической липазы невысока, что ограничивает способности ребенка к перевариванию пищевого жира, ее активность достигает максимума только к 8-9 годам. Но, тем не менее, это не мешает ребенку уже в первые месяцы жизни гидролизовать почти 100% пищевого жира и иметь 95% всасывания. В грудном возрасте содержание желчных кислот в желчи увеличивается примерно в три раза, позднее этот процесс замедляется.

Транспорт липидов - отдельная задача

Поскольку липиды являются в основе своей гидрофобными молекулами, то они транспортируются в водной фазе крови в составе особых частиц - липопротеинов. Такие транспортные липопротеины можно сравнить с орехом, который имеет скорлупу и ядро. Поверхность липопротеиновой частицы ("скорлупа") гидрофильна и сформирована белками, фосфолипидами и свободным холестеролом. Триацилглицеролы и эфиры холестерола составляют гидрофобное ядро.

Рис. 17 - Строение липопротеина

Белки в липопротеинах обычно называются апобелками, выделяют несколько их типов - А, В, С, D, Е. В каждом классе липопротеинов находятся соответствующие ему апобелки, выполняющие структурную, ферментативную и кофакторную функции.

Липопротеины различаются по соотношению триацилглицеролов, холестерола и его эфиров, фосфолипидов и как сложные белки состоят из четырех классов.

липопротеины очень низкой плотности (ЛПОНП, пре-β-липопротеины, пре-β-ЛП),

липопротеины низкой плотности (ЛПНП, β-липопротеины, β-ЛП),

липопротеины высокой плотности (ЛПВП, α-липопротеины, α-ЛП).

Хиломикроны и ЛПОНП ответственны, в первую очередь, за транспорт жирных кислот в составе ТАГ.

Липопротеины высокой и низкой плотности - за транспорт холестерола и жирных кислот в составе эфиров ХС.

Обмен ТАГ и ФЛ - это обмен жирных кислот

Жирные кислоты входят в состав большей части липидов. Поэтому вопросы обмена липидов - это, как правило, вопросы обмена жирных кислот: их источники и пути дальнейших превращений.

Судьба жирной кислоты зависит от ее строения (насыщенная ЖК или полиненасыщенная ЖК) и от внутриклеточных условий (наличие или отсутствие энергии).

Состояние покоя и отдыха в абсорбтивный период

В течение нескольких часов после приема пищи (абсорбтивный период) экзогенные насыщенные и мононенасыщенные жирные кислоты поступают с помощью хиломикронов из кишечника в ткани, которые имеют липопротеинлипазу на эндотелии капилляров.

Параллельно в этот период времени в печени жирные кислоты способны синтезироваться из избытка экзогенной глюкозы и полученные эндогенные жирные кислоты этерифицируются с глицеролом в реакциях липогенеза с образованием ТАГ. Далее они транспортируются из печени в ткани, имеющие липопротеинлипазу, в составе ЛПОНП.

В клетках жировой ткани после приема пищи насыщенная жирная кислота либо синтезируется из глюкозы, либо поступает из хиломикронов и ЛПОНП. Далее она направляется в липогенез и запасается в составе ТАГ.

Если липопротеинлипазы нет в ткани, то жирная кислота доставляется сюда в комплексе с альбумином (как в случае со скелетной мышцей). Этот комплекс образуется после работы липопротеинлипазы в других тканях.

Полиненасыщенные жирные кислоты (ПНЖК) обычно поступают в клетки в виде эфиров холестерола и фосфолипидов в составе ЛПВП и ЛПНП. Эти жирные кислоты необходимы для синтеза эйкозаноидов в некоторых видах клеток либо они участвуют в синтезе фосфолипидов для мембран клетки.

Рис. 18 - Возможные источники и пути использования жирной кислоты в клетке

Голодание, мышечная работа, покой в постабсорбтивный период.

В постабсорбтивный период и при голодании хиломикроны и ЛПОНП в крови отсутствуют. Так как данному состоянию обычно сопутствует гипогликемия, то для ее компенсации из поджелудочной железы секретируется глюкагон. Под влиянием глюкагона и других гормонов в жировых депо активируется расщепление ТАГ до жирных кислот и глицерола (липолиз). Транспорт жирных кислот, вышедших в кровь, осуществляется альбумином.

При физической работе гормоны адреналин, соматотропин и глюкокортикоиды, влияя на адипоциты, также вызывают в них липолиз и выход жирных кислот в кровь. В комплексе с альбумином эти кислоты главным образом доставляются в мышцу для обеспечения мышечного сокращения.

В состоянии покоя, когда процессы пищеварения уже закончились, при краткосрочном и длительном голодании, при физической нагрузке в большинстве клеток, кроме нейронов и эритроцитов, жирные кислоты сгорают в процессах β-окисления и ЦТК, обеспечивая 50% и более всей энергии клетки.

В печени при длительном голодании (более 20 часов) жирные кислоты направляются в кетогенез на синтез кетоновых тел. Кетоновые тела далее разносятся по организму, преобразуются в ацетил-SКоА и используются для энергетического обеспечения клеток.

Заключение

жиры липиды переваривание кишечник

В процессе переваривания жиров в желудочно-кишечном тракте всасывается около 98% жирных кислот, входящих в состав пищевых жиров, и практически весь образовавшийся глицерин. Оставшееся небольшое количество жирных кислот выделяется с калом в неизмененном виде или же подвергается превращению под воздействием микробной флоры кишечника. В целом за сутки у человека с калом выделяется около 5 г жирных кислот, причем не менее чем половина их имеет полностью микробное происхождение. С мочой выделяется небольшое количество короткоцепочечных жирных кислот (уксусная, масляная, валериановая). Появление высших жирных кислот в моче наблюдается при липоидном нефрозе, переломах трубчатых костей, при заболеваниях мочевых путей, сопровождающихся усиленным слущиванием эпителия, и при состояниях, связанных с появлением в моче альбумина (альбуминурия).

Регуляция жирового обмена осуществляется ц.н.с., в частности гипоталамусом, что проявляется уже на этапе расщепления и всасывания жиров в желудочно-кишечном тракте. Денервация участков желудочно-кишечного тракта, а также состояние наркоза приводят к замедлению расщепления и всасывания жиров. Нейрогормональное влияние на жировой обмен связано, в первую очередь, с регулированием процесса мобилизации жирных кислот из жировых депо. Известно, что при эмоциональных стрессах в крови повышается содержание НЭЖК (в норме концентрация НЭЖК в плазме крови составляет 400-800 мкмоль/л), что объясняется резким увеличением выброса в кровь катехоламинов <http://znaiu.ru/art/400120200.php>, активацией липолиза и освобождением НЭЖК. Поэтому длительно продолжающийся эмоциональный стресс может вызвать заметное похудание. Через активацию или угнетение липолиза осуществляется действие на жировой обмен и многих других гормонов - глюкокортикоидов, глюкагона, АКТГ, гормонов щитовидной железы и др., а также реализуется влияние различных состояний организма (голодание, охлаждение и др.).

Список литературы

1. Нечаев А.П., Траубенберг С.Е., Кочеткова А.А. «Пищевая Химия».

. Чиркин А.А., Данченко Е.О. «Биохимия».

. Мецлер Д. (Том 3) «Биохимия».

Похожие работы на - Жиры

 

Не нашли материал для своей работы?
Поможем написать уникальную работу
Без плагиата!
Без нейросетей!