Сложные жиры

  • Вид работы:
    Реферат
  • Предмет:
    Химия
  • Язык:
    Русский
    ,
    Формат файла:
    MS Word
    47,83 Кб
  • Опубликовано:
    2015-06-10
Вы можете узнать стоимость помощи в написании студенческой работы.
Помощь в написании работы, которую точно примут!

Сложные жиры

Федеральное государственное бюджетное учреждение высшего профессионального образования

«Пермская государственная сельхозная академия имени академика Д.Н. Прянишникова»







Реферат

по органической и физколлоидной химии

Сложные жиры.


Выполнила студентка факультета

ветеринарной медицины

Группа В-11(б)

Попова Анна Александровна

Проверила доцент кафедры

общей химии Махова Т.В.



Пермь, 2015

Содержание

Введение

.   Лецитины

2.      Цереброзиды

.        Кардиолипин

.        Дипальмитоилфосфатидихолин

Список литературы

Введение

В живых организмах выполняют, прежде всего, структурную и энергетическую функции: они являются основным компонентом клеточной мембраны, а в жировых клетках сохраняется энергетический запас организма.

Наряду с углеводами и белками, жиры - один из главных компонентов питания. Жидкие жиры растительного происхождения обычно называют маслами - так же, как и сливочное масло.

Состав жиров отвечает общей формуле:


где R¹, R² и R³ - радикалы (одинаковых или различных) жирных кислот.

Жиры нерастворимы в воде, хорошо растворимы в органических растворителях, но обычно плохо растворимы в спирте. При обработке перегретым паром, минеральными кислотами или щёлочью жиры подвергаются гидролизу (омылению) с образованием глицерина и жирных кислот или их солей образуя мыла. При сильном взбалтывании с водой образуют эмульсии. Примером стойкой эмульсии жира в воде является молоко. Эмульгирование жиров в кишечнике (необходимое условие их всасывания) осуществляется солями жёлчных кислот.

В организме жиры - основной источник энергии. Энергетическая ценность жира в 2 с лишним раза выше, чем углеводов. Жиры, входящие в состав большинства мембранных образований клетки и субклеточных органелл, выполняют важные структурные функции. Благодаря крайне низкой теплопроводности жир, откладываемый в подкожной жировой клетчатке, служит термоизолятором, предохраняющим организм от потери тепла, что особенно важно для морских теплокровных животных (китов, тюленей и др.). Вместе с тем жировые отложения обеспечивают известную эластичность кожи. Содержание жира в организме человека и животных сильно варьирует. В некоторых случаях (при сильном ожирении, а также у зимнеспящих животных перед залеганием в спячку) содержание жира в организме достигает 50%. Особенно высоко содержание жира у сельскохозяйственных животных при их специальном откорме. В организме животных различают жиры запасные (откладываются в подкожной жировой клетчатке и в сальниках) и протоплазматические (входят в состав протоплазмы в виде комплексов с белками, называемые липопротеидами).

При голодании, а также при недостаточном питании в организме исчезает запасной жир, процентное же содержание в тканях протоплазматических жиров остаётся почти без изменений даже в случаях крайнего истощения организма. Запасный жир легко извлекается из жировой ткани органическими растворителями. Протоплазматические жиры удаётся извлечь органическими растворителями только после предварительной обработки тканей. жир лецитин кардиолипин эфир

В растениях жиры содержатся в сравнительно небольших количествах. Исключение составляют масличные растения, семена которых отличаются высоким содержанием жира.

Применение жиров:

·    Пищевая промышленность (в частности, кондитерская).

·        Фармацевтика

·        Производство мыла и косметических изделий

·        Производство смазочных материалов

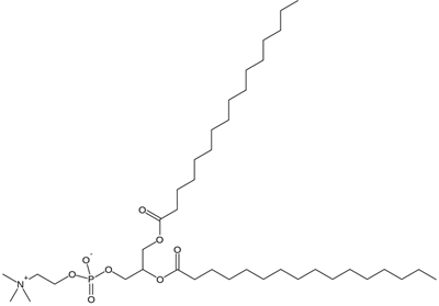
1. Лецитины

Лецитины - сложные эфиры глицерина, фосфорной и жирных (олеиновой, пальмитиновой и стеариновой) кислот. Лецитины содержатся в тканях с высокоинтенсивным обменом: в веществе мозга, печени, почках, сердечной мышце и др.

Предполагаемая формула строения лецитинов имеет вид:


Такое строение подтверждается распадом лецитинов при действии баритовой воды на жировые кислоты, глицеринфосфорную кислоту и холин (или коламин).

Лецитины легко растворимы в спирте, трудно - в эфире. Они дают соли как с кислотами, так и с основаниями.

Лецитины обычно оптически деятельны. Если фосфорная кислота связана со средним углеродным атомом глицерина, то асимметрический атом углерода может появиться лишь при этерификации двумя различными жировыми кислотами.

Лецитины способствуют транспорту нейтральных жиров, противодействуют избыточному отложению холестерина в сосудах. Лецитины оказывают благоприятное влияние на обмен веществ, особенно растущего организма, улучшают рост костной ткани, оказывают лечебный эффект при явлениях истощения нервной системы, малокровии, общем истощении, сосудистой гипотонии, циррозе печени. Лецитин наряду с фосфором, железом и солями кальция входит в препарат фосфрен, назначаемый по тем же показаниям.

Лецитины - соединения, относящиеся к липидам, но их можно рассматривать и как производные триглицеридов (нейтральных жиров), у которых один из остатков молекулы жирной кислоты замещен на фосфорный эфир холина. Из двух оставшихся в молекуле лецитина жирных кислот одна насыщенная (стеариновая или пальмитиновая), а другая - ненасыщенная (олеиновая, линолевая или арахидоновая). В зависимости от положения замещаемой жирной кислоты различают α- и β-лецитины.

В клетках они являются постоянными компонентами, как наружных мембран, так и мембран субклеточных структур, причем в большой степени определяют проницаемость этих мембран для различных веществ. В крови лецитины находятся в эритроцитах и в плазме, причем большая часть лецитина в плазме связана с белками и входит в состав липопротеидов.

Интенсивность синтеза лецитинов в печени играет очень большую роль в жировом обмене: лецитины гораздо быстрее покидают печень, чем нейтральные жиры, и являются лучшими переносчиками жирных кислот между печенью, органами и жировыми депо. Поэтому при недостаточном образовании лецитина в печени, например вследствие недостаточности холина в пище, легко возникает ожирение печени.

Лецитин как лекарственный препарат применяется при заболеваниях нервной системы, общем упадке сил, малокровии и сосудистой гипотонии, а также при некоторых хронических поражениях кожи, некоторых формах детской экземы и др.

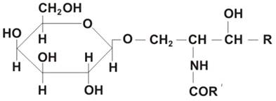
. Цереброзиды

Цереброзиды - природные органические соединения из группы сложных липидов. Впервые цереброзиды были обнаружены в составе мозга. Эти соединения образованы остатками аминоспирта сфингозина, жирной кислоты и углевода (галактоза, реже глюкоза). В качестве жирнокислотного компонента в состав цереброзидов, чаще всего, входят насыщенные, ненасыщенные и окси-кислоты с 24 атомами углерода в цепи.

Структурная формула цереброзидов:


где R и R’ - алифатические радикалы

Цереброзиды содержатся в тканях человека, животных и высших растений. С их функционированием связана деятельность организма в целом и на клеточном уровне (изолирующие свойства миелиновой оболочки нервных аксонов, межклеточное узнавание, иммунологические реакции). Биосинтез цереброзидов протекает по двум путям: гликозилирование церамидов с помощью уридиндифосфатсахаров или гликозилирование сфингозинов с послед. N-ацилированием. Нарушения метаболизма цереброзидов, обусловленные снижением активности или отсутствием ферментов их гидролиза, имеют наследственный характер; при этом в органах и тканях, особенно в мозге, накапливаются галактоцереброзиды. Повышение содержания глюкоцереброзидов в мозге, печени свидетельствует о нарушениях обмена ганглиозидов (болезнь Гоше).

. Кардиолипин

Кардиолипин - фосфолипид, который является важным компонентом внутренней мембраны митохондрий, липидный состав которой включает около 20 % кардиолипина. Кардиолипин во внутренней мембране митохондрий клеток млекопитающих и растительных клеток необходим для функционирования многочисленных ферментов, участвующих в энергетическом обмене.

В 1941 г. Пангборн выделил из сердечной мышцы быка серологически активное соединение полйглицерофосфатного типа, которое он назвал кардиолипином. Позднее показано присутствие кардиолипина во многих тканях млекопитающих, бактериальных организмах, в зеленых листьях высших растений, дрожжах. Обычно содержание кардиолипина в тканях невелико, однако он является основным фосфолипидом митохондрий.

Кардиолипин представляет собой дифосфатидилглицерол: два фосфатидилглицерола соединены с глицеролом, формируя димерную структуру. Таким образом, кардиолипин имеет четыре хвоста жирных кислот и два остатка ортофосфорной кислоты. Четыре алкильных группы кардиолипина открывают широкие возможности для разнообразия. Однако в большинстве животных тканей кардиолипин содержит C18-цепи с двумя ненасыщенными связями в каждой из них. Возможно, (18:2)-4 конфигурация радикальных групп является важным структурным требованием для высокой аффинности кардиолипина к белкам внутренней мембраны митохондрий млекопитающих, хотя, согласно некоторым исследованиям, важность этой конфигурации зависит от рассматриваемого белка.

Структурная формула кардиолипина:


Каждый из фосфатов кардиолипина может связать один протон. При этом ионизация одного фосфата происходит при значении pH, сильно отличном от кислотности среды, при которой ионизуются обе фосфатные группы: pK1 = 3, pK2 > 7.5. Поэтому при нормальных физиологических условиях (значение pH примерно равно 7) кардиолипин несёт только один отрицательный элементарный заряд. Гидроксильные группы (-OH и -O-) фосфатов образуют при этом внутримолекулярные водородные связи с центральной гидроксильной группой глицерола, формируя бициклическую резонансную структуру. Эта структура связывает один протон, который затем используется при окислительном фосфорилировании. Такая бициклическая структура «головки» кардиолипина очень компактна, и «головка» этого фосфолипида мала относительно большого «хвоста», состоящего из четырёх длинных цепей.

Значение в медицине

Сифилис. Кардиолипин из сердца коров используется в качестве антигена в тесте Вассермана на сифилис. Антикардиолипиновые антитела могут быть использованы для диагностики других болезней, в том числе малярии и туберкулёза.

4. Дипальмитоилфосфатидихолин

Дипальмитоилфосфатидилхолин (ДПФХ) - фосфолипид из группы насыщенных фосфатидилхолинов, один из главных компонентов лёгочного сурфактанта. Широко применяется в исследовательской работе как модельный фосфолипид при изучении липосом, липидных бислоёв и модельных биологических мембран, а также при получении искусственных липопротеинов высокой плотности, а также липосом (модельных мембран).

Структурная формула дипальмитоилфосфатидихолина:


Кроме этого, дипальмитоилфосфатидилхолин, являясь поверхностно-активным веществом, служит основным компонентом сурфактанта легочных альвеол. Его недостаток в легких недоношенных младенцев приводит к развитию синдрома дыхательной недостаточности. Еще одной функцией является участие в образовании желчи и поддержании находящегося в ней холестерина в растворенном состоянии.

Список литературы

1. https://ru.wikipedia.org/wiki/Триглицериды

2.      http://www.medical-enc.ru/11/lecithin.shtml

.        http://www.xumuk.ru/organika/401.html

.        http://megabook.ru/article/Цереброзиды

.        https://ru.wikipedia.org/wiki/%CA%E0%F0%E4%E8%EE%EB%E8%EF%E8%ED

.        https://ru.wikipedia.org/wiki/%C4%E8%EF%E0%EB%FC%EC%E8%F2%EE%E8%EB%F4%EE%F1%F4%E0%F2%E8%E4%E8%EB%F5%EE%EB%E8%ED

.        http://www.biochemistry.ru/biohimija_severina/B5873Part65-432.html

Похожие работы на - Сложные жиры

 

Не нашли материал для своей работы?
Поможем написать уникальную работу
Без плагиата!
Без нейросетей!