Розрахунок балок і колон будівлі
Міністерство
освіти і науки, молоді та спорту України
Національний
авіаційний університет
КУРСОВИЙ
ПРОЕКТ
з дисципліни
«Будівельні конструкції»
Виконав:
студент МЕФ 401
Каретнік
Вадим
Перевірив:
Яковенко І.А.
Київ 2012
Зміст
1. Розрахунок
конструювання настилу
.1
Проектування балкової клітки
.2
Визначення товщини настилу
1.3
Розрахунок балки настилу
2. Розрахунок
і конструювання головної балки
.1
Розрахунок нормативного і розрахункового навантажень головної балки
.2
Визначення навантаження зусиль отриманої сталі і підбір перерізу
2.3
Перевірка міцності на дотичні напруження
.4
Перевірка місцевої стійкості стінки
. Розрахунок
і конструювання колони.
4. Підбір
перерізу елементів за граничною гнучкістю.
5. Розрахунок
оголовка колони
6. Розрахунок
бази колони
Початкові дані:
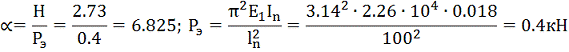
Довжина прольоту головних балок - l1=9m
Довжина прольоту балок настилу - l2=6m
Нормативне корисне навантаження -
;
Марка сталі балок та колони - 18Гсп
Конструктивна висота колони - h=6м
Клас бетону фундаменту - B20
Глибина закладення фундаменту -
d=2.0м
Умовний розрахунковий опір ґрунту
основи -
;
Вертикальне навантаження на
верхньому обрізі фундаменту -
;
Розміри ГПА - L=13м,В=7м
1. Розрахунок конструювання настилу
.1 Проектування балкової клітки
Товщина сталевого настилу
залежить
від довжинийого прольоту
, величини
нормативного навантаження
, і
граничного прогину
, який
визначають згідно таблиці 1.1.
Таблиця
1.1
* - для приміщень висотою до 6
метрів.
Для розрахунку настилу вирізаємо
смужку шириною 1м і розраховуємо її як балку на двох опорах .
З таблиці 1.1 обираємо
граничний прогин
, для балки
довжиною 1м.
Товщину настилу визначаємо з
умови необхідної його жорсткості при значеннях
від 120 до 150 за формулою
- довжина прольоту
настилу
-товщина настилу
,
а - крок балок настилу , приймаємо
його 1 м.
,
де
-
коефіцієнт Пуассона.
1.2 Визначення
товщини настилу
Граничне відношення прольоту настилу
до його ширини визначається за формулою:
Приймаємо товщину настилу
згідно ГОСТ 82-70.
Знаючи розміри настилу, перевіряємо
прогин і несучу здатність настилу.
Перевіряємо несучу здатність згідно
з I групою граничних станів.
;
-площа поперечного
перерізу смужки, яку ми розраховуємо.
-розрахунковий опір
сталі ,
-коефіцієнт
надійності по навантаженню.
-момент опору
смужки.
Силу, що розтягує настил (розпір),
визначають за формулою
,
,
-момент інерції
;
- згинальний момент
балки
- сила Эйлера
.
, отже умова
міцності виконується.
Визначаємо граничний прогин настилу
(згідно II групи граничних станів)
, де
- граничний прогин
настилу.
- балковий прогин
настилу.
.
Отже умова жорсткості виконується.
Таким чином міцність і жорсткість
настилу при його товщині 6 мм гарантована.
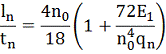
1.3 Розрахунок
балки настилу.
Нормативне навантаження:
,- навантаження від
власної ваги настилу
- об’ємна вага
сталі.
Розрахункове навантаження:
-- коефіцієнт
надійності при тимчасовому навантаженні
- коефіцієнт
надійності при постійному навантаженні
Розрахунковий згинаючий момент і
поперечна сила:
З умови міцності балки по нормальним
напруженням (1-ша група граничних станів) визначаємо потрібний момент опору
перетину балки:
-розрахунковий
опір сталі 18Гсп ГОСТ 23570-79 за границею текучості;
- коефіцієнт
надійності за робочих умов.
1) Перевірка міцності балки по
нормальним напруженням (1-ша група граничних станів):
, так що сила
променя за умови:
2. Розрахунок і
конструювання головної балки
2.1 Розрахунок нормативного і
розрахункового навантажень головної балки
Нормативне навантаження:
де
.2 Визначення навантаження зусиль
отриманої сталі і підбір перерізу
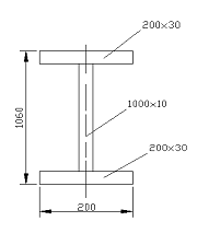
Підбір перерізу балки:
Потрібна висота балки:
мінімальна (з умови достатньої
жорсткості балки):
(з умови
мінімальної витрати сталі):
Потрібний момент опору перетину
визначають з умови міцності по нормальним навантаженням:
Товщина стінки:

Розміри поясів балки назначаємо
згідно потрібної площі перетину кожного поясу:
Ширина поясу:
Товщина поясу:
Площа поперечного перетину поясу:
Ми маємо пластини 200x30
Перевірка міцності балки по
нормальним напруженням (1-ша група граничних станів, умова
)
Геометричні характеристики перетину:
2.3 Перевірка
міцності на дотичні напруження
1) Перевірка жорсткості балки (2-га
група граничних станів):
0.0021<0.004
2) Перевірка місцевої стійкості:
3) 4<15 Перевірка місцевої
стійкості стінки
Стінку балки необхідно
укріплювати поперечними ребрами жорсткості, коли її умовна гнучкість (
) перевищує
, у випадку
нерухомого навантаження, і
при рухомому навантажені. Відстань
між ребрами жорсткості приймають не більше
(допускається збільшувати ці відстані
до
за умови
забезпечення місцевої стійкості стінки).
Умовна гнучкість стінки:
3.034<3.5
Місцева стійкість забезпечена.
) Конструкція ребер жорсткості
ширина
товщина
навантаження
балка настил колона
3. Розрахунок і конструювання колони
3.1 Розрахункова схема колони
Розрахункова висота колони:
=l1*l2=66
m2
де
залежить від
способу закріплення бази і оголовка колони.
Розрахункове зусилля в колоні
дорівнює двом реакціям опор головної балки з урахуванням навантаження від
власної ваги (1% від навантаження, що передають балки)
.2 Складання навантажень
4. Підбір перерізу елементів за
граничною гнучкістю
В першому наближенні задаємось
гнучкістю колони
Коефіцієнт
повздовжнього прогину
.
Із умови стійкості стержня (І група
граничних станів) визначаємо потрібну колону стержня:
δ=
Ry*γc
δ=
Розрахунок геометричних параметрів
колони:
=
=
=7.5см
потр.=
req=
Для стійкості перерізу умова
повинна
виконуватись H
Обираємо стінку
Для фланців:
-умова гнучкості колони
.75
Отже, стійкість фланців і стін
забезпечена.
Перевіримо стійкість колони (згідно
I-ї групи граничних станів)
Отже, стійкість колони забезпечена.
Конструкція ребер колони.
Ребра забезпечать колоні жорсткість
та зменшать крутний момент при транспортуванні та встановленні.
Крок ребер жорсткості визначається
за формулою:
Розміри ребер жорсткості:
Я обираю
(згідно
стандартів).
Товщина ребер визначається за
формулою:
Згідно до стандартів найменше
допустиме значення
.
5. Розрахунок оголовка колони
1. Довжина оголовка колони
визначається за формулою:
- найбільший розмір
колони в перерізі.
Конструкція опорної плити
Товщина опорної плити обирається в
наступних межах:
Приймаємо
Розміри L і B повинні бути обрані
так, щоб вони перевищували на 15-20мм секцію колони.
Конструкція вертикальних ребер
ширина ребер
br=40 мм згідно ГОСТ
103-76
товщина вертикальних ребер
згідно ГОСТ 103-76
висота вертикальних ребер
- катет зварного
шва=4 кількість зварювань
(
)=12.6
кН/см2
Перевіряємо ребро і стійкість колони
на міцність згідно I-ї групи граничних станів
26.05>13.26, в цьому випадку ми
маємо збільшити товщину вертикального ребра b tr=25mm
Для колони
26.05>13.26 ми також збільшуємо
товщину стінки до 25мм.
11.46<13.26
Отже, оголовок колони задовольняє
умови міцності.
6. Розрахунок бази колони
. Площа опорної плити:
Розрахунковий опір бетону
для бетону марки B20.
Приймаємо
- товщина траверси
приймається в межах 10…16мм
Проліт консолі плити: c = 40 -100 mm
Висота траверси визначається за формулою:
. Розмір опорної плити визначається
за формулою:

. Перевірка міцності фундаменту
Приймаємо розмір верхнього зрізу
фундаменту на 200…300мм більше розмірів плити та перевіряємо міцність бетону
фундаменту
1.38<2.34
Отже, умова міцності бетону
виконується.