Розрахунок залізобетонного моста
Зміст
I. Розрахунок головної
балки моста коробчастого перетину
.1 Вихідні дані
.2 Навантаження і їх сполучення
.3 Визначення навантаження і
місць їх прикладання
.4 Вибір марки сталі і напруг
що
допускаються
.5 Вибір поперечного перерізу
балки
.6 Перевірка балки на статичну
і динамічну жорсткість
.7 Перевірка балки на стійкість
.8 Розрахунок звареного
з'єднання пояса зі стінкою. Розрахунок моста решітчастої головної ферми
.1 Дані для проектування
головної ферми
.2 Навантаження та їх складової
.3 Вибір марки сталі допустимих
навантажень
.4 Визначення
зусиль
в елементах головної
ферми
.4.1 Визначення навантаження і
місць їх прикладання
.4.2 Визначення зусиль від
навантажень діючих в горизонтальній площині
.5 Вибір перерізу головної
ферми
.5.1 Вибір перерізу верхнього
пояса
.5.2 Вибір перерізу нижнього
пояса
.5.3 Вибір перерізу розкосів і
стойок
.6 Розрахунок зварних швів
Список використаної літератури
I. Розрахунок головної балки
моста коробчастого перетину
.1 Вихідні дані
балка навантаження шов міст
Вантажопідйомність Q = 100кН.
Проліт 
= 32 м.
Швидкість переміщення крану
U= 70 м/хв.
Час зупинки крану t = 2,2с.
База візка 
Колія візка 
Вага візка 
Режим роботи - важкий.
Розрахункова температура 
30
С.
Висота ферми
Н = (1/12 
1/16) 
= 1,17 м.
Висота ферми в місці
кріплення кінцевих 
= 0,95 м.
Ширина горизонтальних ферм В
=
Довжина панелі верхнього
поясу а( 0,8
1,2) Н = 1,2м
При виборі Hі а необхідно робити
так, щоб кут нахилу розкосів був як можна ближчим до або рівним 45̊.
.2 Навантаження і їх сполучення
Розрахунок балки проводиться
відповідно до методу напруг, що допускаються. Згідно з цим методом навантаження
поділяються на основні і додаткові. До основних навантажень відносять постійні
(власна вага балки, вага площадки, механізми пересування, кабіни та ін.).
Додаткові навантаження - це динамічні навантаження, що виникають при пуску -
гальмуванні моста.
Розрахунок балки проводиться для
двох сполучень навантажень. Сполучення (кран нерухомий, різкий підйом вантажу)
включаю:
GБ + GТ + Q
.
Сполучення ǁ ( кран
пересувається, різке гальмування)
(GБ +GТ +Q)+ 2 (q'+ P')
У наведених виразах GБ- вага
балки і площадки обслуговування; GТ- вага навантаженого візка, 
- коефіцієнт, який враховує
поштовхи, що виникають через нерівність шляху при пересуванні крана; q', P' -
відповідно динамічні навантаження від маси балки і маси візка з вантажем.
Визначення коефіцієнта 
пов'язано з параметрами механізму
підйому. Орієнтовно значення 
можна призначити залежно від режиму
роботи: при легкому - 1,2; при середньому - 1,3; при важкому - 1,4.
Коефіцієнт К вибирається
залежно від швидкості пересування крана v: при v до 60 м/хв, К = 1; при v =
60…90 м/хв, К = 1.1; при v = 90…180м/хв. К = 1,2. У нашому випадку 
К = 1,1.
.3 Визначення навантаження і місць
їх прикладання
Постійні навантаження від власної
ваги балки і площадки обслуговування приймаються рівномірно розподіленими по
довжині балки:
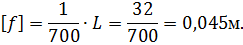
Мал.1.1. Вага балки від прогону і
вантажопідйомності.
Значення 
приймається за графіком (мал.1)
залежно від прогону і вантажопідйомності.
Рухоме навантаження P
визначається з умови, що вага візка з вантажем рівномірно розподілена на всі
чотири ходові колеса:
Динамічні горизонтальні навантаження
від маси балки і площадки розподілені рівномірно по прогону і прикладені до
центру ваги перетину балки:
де g = 9, 81 м/c2 - прискорення сили
ваги.
Швидкість пересування v і час
гальмуваннявстановленовідповідно до завдання.
Динамічнігоризонтальнінавантженняq,
від маси візка з вантажем передаються на головну балку у місці контакту
ходового колеса з головкою рейки (мал.1.2).
Сили P' можна переводити до центру
ваги перетину балки (мал.1.2); тоді сили P', перекресленні один раз, створюють
додатковий обертовий момент, який необхідно врахувати при розрахунку балки.
.4 Вибір марки сталі і напруг що
допускаються
Для виготовлення головних балок
використовуються маловуглецеві сталі звичайної якості за ГОСТ 380 - 71 і
низьколеговані сталі за ГОСТ 19281 і ГОСТ 19 282 - 73.
Застосування тієї чи іншої марки
сталі обумовлено головним чином температурою зовнішнього повітря, при якій
експлуатується кран.
При температур - 30ºС
або вище застосовуються сталі звичайної якості марок В Ст3 пс 6, В Ст3 сп 5
таін.
При температурі - 40 ºС
або вище - В Ст3 пс 6, В Ст3 сп 5 і низьколеговані
сталі
марок 09Г2, 14Г2, 10Г2С та ін.
При температурі - 40 ºС
до - 65 ºС
- 09Г2С, 10ХСНД та ін.
В нашому випадку кран експлуатується
при температур від -30º до
+30ºС.При виборі марки
сталі варто пам’ятати,
що низькі температури збільшують крихкість сталі. При температурах нижче - 10
ºС пластичність
сталі
помітно
починає
падати.
Тому ми вибираємо матеріал
для виготовлення балок сталь звичайної якості
марок В Ст3 пс 6.
Напруження, що
допускаються,
для першого і другого сполучень навантажень.
де
- межа текучості, для деяких марок
сталей наведена у табл.1.; n1,n2 - коефіцієнти запасу міцності, вибираються залежно від
режиму роботи (при легкому і середньому режимі n1 =
1,5, n2 = 1,33; при важкому режимі - n1
= 1,7, n2 = 1,4).
Табл. 1. - Межа текучості для
деяких марок сталей
|
Марка сталі
|
В Ст3 пс В Ст3 сп
|
09Г
|
09Г2С
|
15ХСНД
|
10ХСНД
|
|
МПа
|
250
|
310
|
330
|
350
|
400
|
|
кН/см2
|
25
|
31
|
33
|
35
|
40
|
.5 Вибір поперечного перерізу баки
Головна балка (мал.2.) містить у
собі два вертикальних листи 1 (стінки), верхній поясний лист 2 і нижній поясний
лист 6.
Для додавання просторової жорсткості
у середину балки вварюються великі балки діафрагми 5; для місцевої стійкості
стінок - поздовжні ребра жорсткості 3.
З умови міцності висота балки
визначається за формулою
де 
- момент опору перетину балки щодо
нейтральної осі х - х; 
- товщина стінки.
Мал.1.2Переріз головної балки
Товщину стінки балки
невеликих прогонів (до 23…25м) і вантажопідйомності 50 …. 150кН можна прийняти
рівною 5 мм; при вантажопідйомності 200..300 кН і великих прогонів - 6….7 мм.
Приймаємо 
Н = 1,17. В =0,39. 
Осьовий момент опору
знаходиться згідно з виразом
де 
- відповідно максимальні згинальні
моменти від постійних і рухомих навантажень.
Величина 
визначається за формулою
Рухоме навантаження
визначається з урахуванням коефіцієнта 
:
Максимальний згинальний
момент від нього навантаження буде під лівим колесом, що відстоїть від лівої
опори на відстані 0,5L - 0,25аТ (мал.1.3);
Ширина балки Вможе бути
прийнята
Приймаємо В =0.3м, ширина
балки повинна бути не менше 300м (для зручності зварювання внутрішніх
діафрагм).
Товщина поясних листів 
вибирається з умови місцевої
стійкості (більше значення застосовується для низьколегованої сталі, менше -
для вуглецевої сталі):
Приймаємо
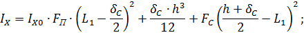
Післявиборугеометричнихрозмірів
поперечного перерізу балки визначаєтьсявактичнезначення
:
де 
- момент інерції поперечного
перерізу балка відносно нейтральної осі х-х.
При симетричному перетині,
коли товщина верхнього і нижнього поясу однакова,
Де 
- момент інерції поясу відносно осі
х1-х2:

-площа пояса:

- момент інерції стінки відносно
осі х - х:
При симетричному перетині,
коли товщина верхнього і нижнього поясу однакова, h і 
- визначаються за мал.1.2;

= B + 2· 15 = 400 + 2 · 15 = 430
мм,= H - (2·
) =1,17 - (2· 0, 01) = 1,15м
де 15 - відстань, необхідна
для зручності зварювання, мм.
Напруження в крайніх волокнах
на рівні точки А(мал.1.2) становитиме:
Підставивши значення
отримаємо:
Перевірку перетину на дію
основних і додаткових навантажень (друге сполучення навантажень) виконуємо за
формулою:
де 
- згинальний момент від дії
постійних навантажень:
Згинальний момент від
рухомого навантаження:

- згинальні моменти від динамічних
навантажень q' іp', щодіють на балку в горизонтальнійплощині;
де 
- момент опору перетину балки щодо
осі у - у; 
- момент інерції поперечного
перерізу балки щодо нейтральної осі у - у, визначається аналогічно 
:
У горизонтальній площині
(мал.4.1.) міст являє собою статично невизначену раму. У практиках розрахунках
вплив закладення головних балок у кінцевих можна врахувати врахувати для них на
20% згинального моменту, розглядаючи при цьому балку як шарнірно обперту на
двох опорах.Для другого сполучення навантажень гальмування приймаємо різким і
величину прискорення вдвічі більше середньої. Коефіцієнт поштовхів для
горизонтальних навантажень не враховується, тобто К =1:
Дотичні напруження в перетині
1 - 1 у місці переходу стінки в пояс (точки Б, мал1.2.)
де 
- дотичне напруження від поперечної
сили Qp (мал.1.3,г);

- дотичне напруження від крутіння
балки.
Напруження 
визначається за формулою
де 
1 - 1 балки від рухомого
навантаження, коли ліве колесо стоїть над цим перетином;

- статичний момент поясу щодо до
осі х - х:
Напруження 
визначається за формулою:
де 
- крутний момент від сили Р':
де 
- висота під візкової рейки; 
- ширина і висота балки по осях, що
проходять через середину листів стінок і поясів (мал.1.3).
Як під візкова рейка до
кранів невеликої вантажопідйомності застосовані рейки залізничні для доріг
вузької колії, основні розміри яких наведені у табл.1.3.
Для кранів вантажопідйомністю
Q = 50 кН застосовують рейки типу Р8; для Q = 100кН - Р11; для Q = 150 кН -
Р15; для Q = 200кН - Р18; для Q = 300кН - Р24.
У нашому випадку Q
100кН, тому Р11,
Таблиця.
2.Основнірозмірирейок
|
Тип
|
Висота, мм
|
Ширина головки,
мм
|
Ширина підошви,
мм
|
|
Р 8
|
65
|
27
|
54
|
|
Р 11
|
80,5
|
32
|
66
|
|
Р 15
|
91,5
|
37
|
76
|
|
Р 18
|
90
|
40
|
80
|
|
Р 24
|
107
|
51
|
92
|
|
Р 38
|
135
|
68
|
114
|
Приведенні напруження будуть
визначені:
де 
нормальне напруження в місці
переходу стінки в пояс визначається за формулою:
з підстановкою
Крім перетину 1 - 1, балку
необхідно перевірити на міцність в опорному перетині, де головна балка
стикається з кінцевою; висота балки тут Н': Н'=
0,6· Н=0,6·1,17 =0,102 м.
Ліве колесо візка знаходиться
на відстані d = Hвід лівої опори (перетин 11 - 11 на мал.1.4). Положення візка
обрано не випадково. Далі при розгляді стійкості пластини опорного відсіку це
положення нами буде використано.
Епюри поперечних сил від
рухомого навантаження, коли ліве колесо візка знаходиться в перетині 11 - 11,
показані на мал.1.3, д.
Опорний перетин перевіряється
за найбільшими дотичними напруженнями, оскільки нормальне напруження тут
близьке до нуля.
де 
- поперечна сила в опорному
перетині від рухомого навантаження:

- поперечна сила в опорному
перетині від постійного навантаження:
S - статичний момент опорного
напівперетину щодо осі х - х:
1 - момент інерції опорного
перетину щодо осі х-х:
Дотичне напруження, що
допускається:
Мал.1.3.Епюри згинаючого
моменту і поперечних сил головної балки для першого та другого сполучення
навантажень

.
1.6 Перевірка балки на
статичну і динамічну жорсткість
Перевірка балка на статичну
жорсткість полягає у визначенні прогину балки від статично прикладеного
рухомого навантаження. Максимальний прогин балки при однакових тисках
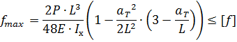
визначаємо за формулою.

= 2,1·104кН/см2 = 2,1·105 МПа -
модуль пружності при розтяганні сталі;

- допустимий прогин балки
Якщо перетин балки
задовольняє умови (23), то на цьому закінчується перевірка балки на статичну
жорсткість, а в протилежному випадку необхідно змінювати геометричні розміри
балки.
Перевірка на динамічну
жорсткість полягає у визначенні часу загасання поперечних коливань балки, що
виникають при підйомі чи опусканні вантажу. Час загасання коливань балки
визначається з умови, що наприкінці її амплітуди складе близько 5% від
первісного значення t3 = 540·T3
де T - період власних
коливань балки:
де М - приведена до середини
балки маса балки і маса візка без вантажу:
С - коефіцієнт жорсткості
балки у вертикальній площині
Отриманий час загасання
коливань не повинен перевищувати допустимого [t3] = 12…15с.= 540·0,2133=5,2 с.
<[t3]
1.7 Перевірка балки на
стійкість
Елементи балки коробчастого
перетину (пояса, стінки) необхідно перевіяти на загальну стійку. Товщина пояса
вже обрана з умови місцевої стійкості. У цьому розділі перевіряють на стійкість
стінки балки. Вони можуть зміцнюватись тільки основними поперечними ребрами
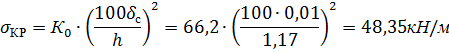
жорсткості (діафрагмами) 3 (мал.1.2), відношенні 80≤h/
≤130для балок з
низьколегованих сталей.
Стінки повинні зміцнюватися
одночасно поперечними й одним поздовжнім ребром жорсткості 5 при відношенні 160≤
h/
≤ 265 для балок зі сталі Ст3 і
130 ≤ h/
≤225 для балок з
низьколегованих сталей.
Поздовжні ребра жорсткості
ставляться на відстані крайньої стиснутої крайки пояса: при одному ребрі -
(0,2… 0,25) h; при двох ребрах, перше ребро - (0,15…0,2)h, друге ребро
-(0,32…0,4)h.
Відстань а1 між короткими
діафрагмами 4 вибираємо так, щоб рейка цілком сприймала тиск ходових коліс:
Де значення
вибираємо з таблиці 4.
Для відсіків, що примикають
до кінцевих балок балок, відстань а між основними діафрагмами приймаємо рівною
Н.
У наступних відсіках ця
відстань збільшується й усередині прогону може призначатися до 2 Н, але не
більше 3 м.
Стійкість стінок
перевіряється у двох перетинах балки. Перший перетин знаходиться над лівим
колесом візка, що стоїть від лівої опори на відстані 0,5L - 0,25
(мал.1.4.); другий - в опорному
відсіку, під лівим колесом, що стоїть від опори на відстані d = H.
Таблиця 3. - Основні
характеристики рейок
|
Тип
|
Площа перетину
см2
|
Вісь Х - Х
|
Маса кг/м
|
|
|
Відстань до Центра тяжіння від головки
рейки, см
|
Момент Інерції, см4
|
Момент опору для верхнього волокна, см3
|
|
|
Р 8
|
10,76
|
3,61
|
59
|
16,4
|
8,42
|
|
Р 11
|
14,31
|
4,09
|
125
|
30,5
|
11,20
|
|
Р 15
|
19,16
|
4,65
|
222
|
47,7
|
15,00
|
|
Р 18
|
23,07
|
4,71
|
240
|
51,0
|
18,06
|
|
Р 24
|
32,70
|
5,34
|
468
|
87,6
|
25,60
|
|
Р 38
|
49,063
|
6,719
|
1223
|
181,95
|
38,42
|
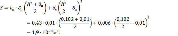
Перетин 1- 1. Розглянемо
відсік балки ( мал. 4, а), де стінка підкріплена тільки основними діафрагмами
(малі діафрагми при розрахунку на стійкість не враховуються. У цьому відсіку
стінка представляю пластинку довжиною а, висотою h і товщиною 
, що затиснена в поясах і вільно
обперта на діафрагмах. У цьому перетині вплив дотичних напружень не великі;
стінка тут піддається головним чином впливу нормальних напружень, закон розподілу
який показаний на (мал.4,а). Під дією поздовжніх сил пластинка випинається і
при визначених (критичних) напруга може втратити стійкість, що спричиняє втрату
несучої здатності балки
Для балок коробчастого
перетину з рейкою, покладено посередині пояса, місцеве напруження, стиснення у
відсіку приймається 
= 0. Для розглянутої пластинки
критичне нормальне напруження в см2.кН/м
Мал.1.4. Фрагменти головної балки
де 
- коефіцієнт, що залежить від
ступеня затискування пластинки в стиснутому поясі, характеризується величиною
де с = 2 у випадку, коли
рейка не приварена до поясу балки. Значення 
залежно від 
наведені в табл. 5, 
Табл. 4-Значення коефіцієнта 
|
|
0,8
|
1,0
|
2,0
|
4,0
|
6,0
|
10,0
|
30
|
|
|
63
|
66,2
|
70
|
72,7
|
73,2
|
73,7
|
74,6
|
Критичні напруження (27) порівнюємо
з граничним стискувальним напруженням:
Пластинка буде стійка, якщо запас
місцевої стійкості
де 
- запас по міцності.
У стінці балки симетричного
перетину, укріпленої, крім поперечних діафрагм, одним поздовжнім ребром
жорсткості, розташованим на відстані b1від розрахункової (стиснутої) границі
відсіку (мал.3,б), обидві пластинки, на яких це ребро розділяє відсік,
перевіряються окремо.
Критичні напруження в кН/см2
для першої пластинки перевіряють за формулою
Друга пластинка, розташована
між поздовжнім ребром і розтягнутим поясом, перевіряється за формулою:
Критичні напруження 
і 
порівняємо відповідно з 
і 
за умовою стійкості:
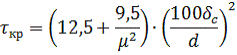
Перетин ǁ - ǁ. У
цьому перетині на втрату стійкості стінки переважно впливають дотичні
напруження, оскільки нормальні напруження тут будуть невеликі і їх можна не
враховувати.
Опорний відсік укріплений
тільки основними поперечними ребрами жорсткості мал.3,в. Прямокутна пластинка
довжиною а, висотоюH' і товщиною 
, затиснена в поясах і вільно
обперта на діафрагмах, знаходиться під дією рівномірно розподілених по краях
дотичних сил 
.
Під впливом цих сил пластинка
розтягується в напрямку діагоналі БД і стискується в напрямку діагоналі АС.
Внаслідок цього можливо випинання в напрямку діагоналі АС.
Критичне дотичне напруження в
стінці (кН/см2) визначається за формулою
де d - менша сторона
пластинки; 
- відношення більшої сторони
пластинки до меншої.
Напруження порівнюються із
середніми дотичними напруженнями, діючими в перетині ǁ - ǁ (мал.4):
Значення 
були знайдені раніше.
Пластинка буде стійка, якщо:
Підставляємо значення у
формулу:
Умова стійкості виконується
При підкріплені пластинки
поперечними і поздовжніми ребрами жорсткості залишаються попередніми .
Ребра жорсткості. Товщина
ребер жорсткості 3 і 4 вибирається з умови місцевого стиснення за формулою
де 
- ширина підошви рейки (табл. 3); 
- товщина ребра; Z-умовна довжина
розподілу тиску (мал. 3)
Значення Z одержуємо за
формулою
де I = IP+IП - сума моментів
інерції рейки і пояса відносно їх власних осей, а у випадку приварювання рейки
до поясу - щодо загальної осі рейки і пояса.
Момент інерції рейки
приймається за табл. 4. Момент інерції пояса
де 
- ширина ділянки уздовж діафрагми.
Для полегшення великих
діафрагм робиться овальний виріз.
При розгляді стійкості стінки
приймалося, що її ділянки між поздовжніми ребрами і поясами випинаються
незалежно одна від одної, тобто вони опираються на твердий контур, для чого
ребра жорсткості повинні мати достатню вигибну жорсткість.
Необхідний момент інерції
поздовжнього ребра I1визначається залежно від величини b1/h(мал. 5):
при b1/h = 0,2I1= (1,5…7)·h·
;
при b1/h = 0,25 I1=
(1,5…3,5)·h·
;
при b1/h = 22 /0,86 = 0,25;
I1= 2,5·1.15·
.
Величина I1обчислюється щодо
до осі, що збігає з найближчої до ребра грані стінки. Як ребро використовують
смугу, кутник, швелер, а також гнуті профілі. У випадку смуги момент інерції
дорівнює
де 
- товщина ребра; с - ширина ребра.
Задавши товщину 
з формули, легко знайти ширину
ребра:
Після визначення ширини ребра
необхідно перевірити умову:
1.8 Розрахунок
звареного з'єднання пояса зі стінкою
Пояс зі стінками зз'єднують
звареним безупинним швом автоматичним зварюванням. Шви накладають на зовнішніх
сторонах стінок.
Зварні шви сприймають зсувні
зусилля, що виникають при вигинанні балки. У двостінчатих балках тиск від
ходових коліс сприймається стінкою через поперечні діафрагми, тому це
навантаження при розрахунку поясних швів не враховують.
Найбільші зусилля будуть
виникати поблизу опорного перетину, коли вантажний візок знаходиться в
крайньому лівому положенні.
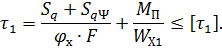
Поясний шов розраховуємо на
зріз за формулою
де 
- поперечна сила і момент інерції в
опорному перетині
П - статичний момент пояса щодо
нейтральної осі опорного перетину;
K - катет шва;

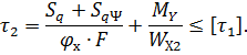
- коефіцієнт, який залежить від
виду зварювання: для автоматичного 
для ручного 
Найменший катет шва можна
приймати рівним 0,5 товщини стінки.
К = 0,5 · 0,6 = 0,3 = 0,003
м.

- допустиме напруження для зварних
швів, що працюють на зріз.
Умова виконується.
II. Розрахунок моста
решітчастої головної ферми
2.1 Дані для проектування
головної ферми
Q = 100кН;Bt = 2кН;=32м;GT =
24кН;= 70 м / хGB = 145 кН;= 2.2с;am =1,4м;
Режим - легкий 6К
температура - 
Мал.2.1.Схема решітчастої
металевої конструкції мостового крана
На основі цих даних
викреслюємо габаритне креслення мосту. Висота ферми назначається в межах.
Висота кінцевої балки:
Такої ж висоти приймаємо
висоту головну балку в місці приєднання до кінцевої.
Ширина горизонтальних
ферм(4):

- 200…400 м, приймаємо 

- колія візка.
Довжина скосу головної ферми:
с = (0,1….0,2)L = 32000·0,2 =
6400 мм.
При симетричній конструкції,
кількість панелей повинна бути парної.
По верхньому поясу приймаємо
n = 20, тоді довжина панелі
2.2Навантаження та їх
складової
Навантаження та їх складові
для моста решітчастої конструкції приймаються такими ж, як і для коробчастої
конструкції.
2.3 Вибір
марки сталі допустимих навантажень
Для виготовлення головних
балок використовуються мало вуглецеві сталі звичайної якості
за ГОСТ 380 - 71 і низьколеговані сталі за
ГОСТ 19281 і ГОСТ 19 282 - 73.
Застосування тієї чи іншої
марки сталі
обумовлено головним
чином температурою зовнішнього повітря, при
якій
експлуатується
кран.
При температур - 30ºС
або
вище застосовуються сталі звичайної якості
марок В Ст3 пс 6, В Ст3 сп 5 таін.
При температурі - 40 ºС
або
вище
- В Ст3 пс 6, В Ст3 сп 5 і низько леговані сталі
марок 09Г2, 14Г2, 10Г2С та ін.
При температурі - 40 ºС до
- 65 ºС -
09Г2С, 10ХСНД та ін.
В нашому випадку
кран експлуатується при температур від -30º до
+30ºС. При
виборі марки сталі варто пам’ятати,
що
низькі температури збільшують крихкість
сталі. При температурах нижче - 10 ºС пластичність
сталі помітно починає падати. Тому ми вибираємо матеріал для виготовлення балок
сталь низьколеговану і марок 09Г2С,.
Напруження, що допускаються,
для першого і другого сполучень навантажень.
де
- межа текучості, для деяких марок
сталей наведена у табл1.1.; n1,n2 - коефіцієнти запасу міцності, вибираються
залежно від режиму роботи (при легкому і середньому режимі n1 = 1,5, n2 = 1,33;
при важкому режимі - n1 = 1,7, n2 = 1,4).
2.4 Визначення зусиль в
елементах головної ферми
При розрахунку елементів
прогонної балки крайню розділяють на ряд плоских ферм.
2.4.1 Визначення
навантаження і місць їх прикладання
Власна вага провідної балки 
визначається на графіку. Більшу
частину ваги балки сприймає головна ферма.

Кран великої вантажопідйомності.
Вага 
розкладається по вузлам верхнього
поясу. Навантаження в кожному вузлі складає:
де m - число усіх вузлів, що
прилягають до верхнього поясу.
Тиск ходових коліс від ваги
візка з вантажем сприймається тільки елементами головної ферми. Тиск на одне
ходове колесо:
Переріз верхнього поясу ферми
здійснюють постійно по всій довжині прогону. У зв’язку цим підбір перерізу
виконується по максимальному зусиллю, яке діє на пояс силою ваги балки і візка
з вантажем. Легко визначити те що максимальне зусилля, як від власної ваги
ферми так і від рухомого навантаження будуть сприймати стержні 8 - 29, 9 - 28
верхнього поясу, і стержні 17 - 30, 17 - 27 нижнього поясу.
Визначимо ці зусилля див. мал. 4.
Мал. 2.2. Діаграма зусиль
Зусилля в стержнях 8 - 29 від
рухомого навантаження буде максимальним, тоді ліве колесо візка стане над
моментною точкою А1.
- X1 + S8-29 ·H = 0; X = X1 = 14,5;
Величина 
залежить від положення візка на
мосту
Х - текуча координата лівого
колеса теліжки від опору А. Зусилля в стержні 17 - 30 буде максимальним, якщо
ліве колесо візка поставити над моментною точкою А2:
Х =Х2 = 12,2- X2 + S17-30·H =
0
Х1 - Х2 
Розкоси. Найбільш
навантаженим є опорний розкіс 38 - 37. Однак в якості розрахунку приймається
розкіс 36 - 35, який має велику довжину. Зусилля в розкосі 36 - 37 буде
максимальним, якщо ліве колесо візка поставити в вузол А3 розрізавши ферму і
спроектувавши внутрішнє зусилля на ліву частину ферми і реакцію RА на
вертикальну вісь отримаємо:
де а - кут між розкосом і
нижнім поясом; 
- величина реакції підстановкою Х
=Х3 = 4,9 м.
.4.2 Визначення зусиль від
навантажень діючих в горизонтальній площині
Динамічні навантаження, які
виникають в процесі запуску або тормозіння мосту сприймаються елементами
горизонтальних ферм.
Динамічне навантаження 
частини маси прольотної балки
(мається на увазі, що верхня горизонтальна ферма сприймає навантаження від маси

другу частину сприймає нижня
горизонтальна ферма) розподіляється по вузлам ферм(2.2)
Динамічне навантаження від маси
теліжки з вантажем;
Сприймається тільки верхня
горизонтальна ферма.
Зусилля в стержні 8 - 29 буде
максимальним, коли ліве колесо візка стане над моментною точкою А1.

- сума моментів всіх сил (
)розміщених ліворуч перерізу 1 - 1
відносно А1( 
- реакція від сил 
і 
при даному положенні візка):
.5 Вибір перерізу головної ферми.
Для проектування головної ферми
необхідно вибрати переріз верхнього і нижнього поясів, розкосів і стояків.
.5.1 Вибір перерізу верхнього пояса
По верхньому поясу укладають рейки у
вигляді квадрату або рейки типу Р.
Приймемо переріз верхнього пояса у
вигляді тавру. Спочатку площі перерізу вибираємо орієнтовно, по максимальному
перерізу який виникає у стержні пояса від навантажень першого перерізу:
де 
зусилля в стержні від власної ваги
ферми, 
зусилля в стержні 8 - 29 від
рухомого навантаження з врахуванням коефіцієнта 
Формула не враховує місцевого згину
верхнього пояса, тому допустиме напруження слідує знизити до:
Для кранів великої
вантажопідйомності 80…110кН і легкого режиму роботи візкових рейок можна
приварити до пояса, і тоді площа перерізу рейки вводить в площу перерізу поясу.
В останніх випадках рейка кріпиться до пояса планками і в склад перерізу поясу
не входить.
Визначивши площу, назначаємо розрізи
полки і стінки тавра (мал.??):
В = 140мм.В1 = 162 мм.

=7 мм.
= 330 мм.

=7мм.
Площа перерізу розподіляється
приблизно порівну між стінкою і полкою. Звідси полки b1по вимогам місцевої рівноваги
визначають:
де 
- товщина полки.
Знаходимо положення
нейтральної вісі перерізу.
Відстань L1від краю полки до
нейтральної вісі перерізу рівна:

-площа перерізу відповідно полки і
стінки. Вибраний переріз пояса перевіряється за формулою:
де 
- коефіцієнт поздовжнього згину
залежності від гнучкості стержня,
момент протистояння перерізу для
верхніх волокон полки.
Місцевий згинаючий момент
визначається за формулою:
Гнучкість пояса 
відносно вісі ОХ визначається за
формулою:
Другий небезпечний переріз
буде у вузлі, по скільки туди теж діє згинаючий момент 
але з зворотнім знаком у вузлі.
Напруги для нижніх волокон в
вузлі:
Перевірка перерізу по другому
складанню навантаження з урахуванням рівноваги пояса відносно осей ОХ або ОУ:
де 
коефіцієнт поштовху; Sq = 350 кН;
Sр = 260.42кН; F = 53.5см2; 
; Мn = 717.12кН; 
де k - коефіцієнт поштовху; S
' - зусилля в стержні 8 - 29 від горизонтальних динамічних навантажень;МП' = а
· Р·' · d = 0,166· 3,44 · 160=91,4- номінальний момент від сили Р·', осьовий
момент протистояння перерізу пояса відносно вісі ОY.
Рівновага пояса.
Перевіримо рівновагу стінки,
оскільки її висота h>b, а товщина 
Стінки випробовує рівномірне
стискання по двом коротким сторонам.
Критичне нормальне напруження
для такого закріплення пластини:
Пластина буде стійкою проти
місцевого напруження, якщо
В якості визначеного 
слідує взяти більше значення 
.5.2 Вибір перерізу нижнього
пояса.
Нижній пояс розтягнутий.
Приймаємо переріз із двох кутників. Площа перерізу пояса Fвизначається з умови:
де 
зусилля в стержні;
По значенню F підбираємо два
кутники №14:

140
; z0 = 3.9см; F = 32.49 см2;
Гнучкість стержня в
плоскостях ферми:
де L - геометрична довжина
прольоту.
По більшій гнучкості
знаходять 
і визначають дійсне напруження в
розкосі:
.5.3 Вибір перерізу розкосів
і стойок
Січення розкосів і стойок
взагалі складається із 2-х рівнополочних кутників закріплених по довжині
планками.
Площа перерізу розкосу
вибирається орієнтовно при гнучкості 
за формулою:
де 
- зусилля в розкості 36 - 37 від
власної ваги; 
36 - 37 від рухомого навантаження, 
коефіцієнт поздовжнього згину, при
По площині F =11
вибираються два кутника №7,5
загальною площею FП і потім знаходиться дійсна гнучкість стержня.

75
; z0 = 2,15см; F = 11,5 см2;
Гнучкість стержня в плоскості
ферми:
де 
- геометрична довжина розкосу.
Гнучкість ферми на плоскості
ферми:
По більшій гнучкості
знаходять 
і визначають дійсне напруження в
розкосі:
Визначаємо переріз стійки:
По площині F = 7,1 
вибираються два кутника №7,5
загальною площею FП і потім знаходиться дійсна гнучкість стержня.

63
; z0 = 1,78см; F = 7,28 см2;
Гнучкість стискуючих розкосів
і стійок не повинна бути більшою 120 - 150.
Гнучкість стержня в плоскості
ферми:
де 
- геометрична довжина розкосу.
Гнучкість ферми на плоскості
ферми:
По більшій гнучкості
знаходять 
і визначають дійсне напруження в
розкосі:
.6 Розрахунок зварних швів
де S - зусилля, що діє в
елементах ферми; 
і 
- беремо з попередніх розрахунків.
Висота катета шва k позначається на 2 мм менше ніж товщина полки кутника, але
менше 4 мм.
Список
використаної літератури
. Методичні
вказівки решітчастої конструкції по курсу «Металеві конструкції
вантажопідйомних машин». Харків ХПІ 1982р.
2. Методичні
вказівки до розрахунку і проектуванню металевих конструкцій мостових кранів по
курсу «Металеві конструкції вантажопідйомних машин». Харків ХПІ 1982р.
. Довідник
по кранам 1 - 2: Під ред. Гохберга М.М.: Машинобудування, 1988.
. Іванченко
Ф.К. : Розрахунок вантажопідйомних і транспортуючих машин. - К.: 1978.
. «Довідник
конструктора будівельних зварних конструкцій» Сахновський М.М.