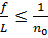
|
Вид шва
|
Умовні позначення
|
Величина, МПа
|
Вид зусиль
|
|
Стиковий
|
[Ϭґ] p
|
160
|
Розтяг
|
|
[Ϭґ] с
|
160
|
Стиск
|
|
[фґ]
|
104
|
|
Кутовий
|
[фґ]
|
104
|
Зріз
|
1.6
Норми і технічні умови на проектування
Особливістю конструкції
балки переміщення безпосередньо по верхньому поясі різних навантажень, так в
яких виникає не тільки деформацію балки в цілому, але й місцеву деформацію
стінки, особливо плоских з'єднань.
. Навантаження
які діють на балки, можна поділити на дві групи - вертикальні та горизонтальні.
До вертикальних відносять: велика маса балки, тиск крайових коліс.
. Матеріал. ТУ регламентують
застосовувати для балок низько вуглецеву та низьколеговані сталі. (ГОСТ 380-88
та ГОСТ 12282-73).
. Допустимі
напруження. Для балочних конструкцій допустимі напруження приймаються за
таблицями, а для зварних швів практичному відношенні від допустимих напружень
на основний метал. Міцність і економічність буде забезпечена коли Ϭmax≤5%│Ϭ│p.
. Показником
економічності перерізу балки є параметр W/F;
де F - площа перерізу, см2, W - момент опору перерізу, см3.
Чим більше це
відношення, тим при меншій масі металу досягається збільшення опору перерізу
балки на згин.
. Зварювання.
Робочі елементи конструкції необхідно зварювати якісними електродами або
автоматичним електродуговим зварюванням.
6. Границі
деформації. Найбільший прогин балки не повинен перевищувати 
прольоту. Розрахунок
прогину балок ведеться у припущені тільки статичного навантаження.
. Геометричні
розміри. Висота балок визначається потрібною геометрією. Рекомендується приймати
висоту балки h в залежності від довжини прольоту L в наступних межах:
h/L
= (
;
8. Загальна і місцева стійкість
балки. При проектуванні необхідно забезпечити загальну стійкість,
тобто всієї стиснутої частини перерізу балки.
При проектуванні зварних
балок необхідно забезпечити не тільки іх необхідну працездатність, але і
найбільшу економічність. Піднесення економічності досягається більш можливим
використанням матеріалу, який забезпечує можливість одержання найменшої маси і
більш високої технологічності конструкції, яка забезпечується вибором форми,
які допускають використання високопродуктивних методів зварювання.
Висока працездатність
зварних балок забезпечується виконанням вимог які встановлені умовами міцності,
жорсткості і витривалості.
Визначення розмірів
перерізу балки слід починати з вибору її висоти яка є головним розміром
поперечного перерізу. Від вибору висоти вертикального листа балки залежить її
жорсткість і маса. Тому висота вертикального листа і вибирається виходячи із
умов забезпечення необхідної жорсткості і мінімальної маси виробу. При цьому
слід мати на увазі, що із двох названих умов перша являється обов’язковою так
як визначається вимогами технічних умов на проектування балок.
Умова забезпечення
необхідної жорсткості балок витікає із заданих технічними умовами обмеження по
прогину балки.
Перевірка жорсткості
балки здійснюється визначенням відносного прогину, який не повинен
перебільшувати нормативну величину тобто:

;
Граничне значення відносного прогину 
величина елементів в
частках від прольоту є такі: 
і залежить від
призначення балки. Величина відносного граничного прогину балки залежить від
відношення висоти балки до її прольоту. Висота балки визначається із умов
жорсткості по виведені формули для кожного конкретного випадку навантаження в
залежності від довжини прольоту.
.7
Експериментальне визначення напружень в зварних з’єднаннях
Найбільш універсальними
засобами для вимірювання залишкових напружень, а також напружень від дії зовнішніх
зусиль є тензометри опору матеріалів в результаті деформацій.
Методика вимірювання
робочих напружень
Якщо металевий дріт
діаметром d, натягнути силами Р так, що в ньому виникнуть напруження х.
Тоді зміну діаметра дроту можна представляти, з однієї сторони, як:
ed =
;
і з другої сторони, як:
ed =-х
;
Як відомо, величина ed пропорційна
відносній зміні електричного дроту R. Тоді:
ed =
=K 
; Ϭx=-К
.
Таким чином
знаючи початковий електричний опір провідника R і його абсолютну зміну ∆R
можна знайти напруження x.
Практика роботи з
тензоризисторами опору, показала, що початковий опір краще вибирати в границях
150…200 Ом. При такому опорі довжина дроту діаметром 0,02 мм досягає 100…120
мм. Дріт названої довжини складають в вигляді решітки яка утворює датчик певної
бази. Дротяну решітку приклеюють на спеціальну полімерну плівку. Виводи
припаюють із більш товстого дроту діаметром 0,15…0,3 мм. При кріплені давачів
до поверхні виробів використовують спеціальні клеї, які не втрачають пружних
властивостей при деформаціях.
Градуювання
датчиків проводиться на спеціальних стендах (рис. 2.).
Принципова електросхема
зображена на рис. 3.
Рис. 2. Пристрій для
градуювання дротяних давачів
Рис. 3. Електрична схема
вимірювань
Др - робочий давач;
Дк - компенсаційний давач;1, R2-дротяні тензометри мостової схеми;
Е - джерело живлення;
Розрахунок робочих
напружень проводиться наступним шляхом. Напруження в верхніх шарах балки і в
давачі при згині визначається:
x=
=
; (1)
З другої сторони
прогин балки в місці наклеїного давача можна знайти за формулою:
fmax=

= 
;
(2)
Підставивши рівняння 2в1 отримаємо:
Ix=
; fmax=
=
;max*2Ebд3=3PlL2;=
;
Звідки
x=
;
Використовуючи
виведену формулу вирахуємо напруження при градуюванні дротяних давачів і
будуємо залежність зміни напружень від деформації елемента конструкції.
2.
Розрахунковий розділ
Відповідно до завдання
виходячи із умови міцності на згин від дії максимального моменту на балку
необхідно підібрати переріз балки в виді зварного тавра з висотою стінки h і
товщиною листових елементів д.
.1 Розрахункова схема
конструкції
Необхідно розрахувати
конструкцію зварної балки прогоном L м, яка вільно опирається на дві опори і
навантажена рівномірно розподілиним навантаженням q кн/м. (рис. 4.). Переріз
балки - зварний тавр. Найбільший прогин балки відповідно ТУ f/L= 1/500.
Рис. 4. Розрахункова схема
конструкції.
При симетричному
навантажені реакції:
RA=RB= 
=
= 6 нм;
.2
Визначення розрахункових зусиль Mq i Q
Момент від рівномірного
розподілення навантаження визначається із рівняння:
Mx=RA*x- 
=
x-
;
Максимальне значення моменту буде при х= 
:

=
*
- 
;
Звідки Мmax= 
=6 кн.
Складаємо
рівняння для визначення величини поперечної сили:
Qx=RA-qx,
якщо х=0;
тоQ0=RA= 
, якщо х= 
;
то QL= RA-qL= 
qL= -
;
QL=-

; QL=-6 нм.
За одержаними
результатами розрахунку побудовано епюри Mq i Qq (рис. 4.)
.3
Розрахунок конструювання балок складеного перерізу
Складені зварні балки
мають двотаврові перерізи, як найбільш вигідні при роботі на згин. Їх
виготовляють з трьох елементів: вертикальної стінки і двох полиць.
Вирішальний вплив на
міцність і жорсткість конструкції робить висота перерізу. Із збільшенням висоти
перерізу до оптимального значення зменшується маса полиць і збільшується маса
стінки при цьому загальна маса балки зменшується.
Основні розміри балки -
це прольот і її висота, які призначаються виходячи із оптимальних співвідношень
розмірів споруди.
Висоту балки визначають
головним чином із умов її найменшої маси, необхідної жорсткості.
Визначення
висоти балки із умов економічності
Оптимальна з точки зору
висота балки може бути визначена наступним шляхом. Позначимо через F площу
зварної таврової балки (рис. 5.), тоді площа перерізу однієї полиці буде рівна:
Fп =F-hст* дст;
де hст - висота стінки
дст - товщина
стінки
Висота вертикальної
стінки hст мало відрізняється
(1…2%) від висоти балки h, тому для спрощення приймаємо hст=h. Товщину вертикальної стінки дст можна визначити за
емпіричною залежністю для таврової балки:
дст=
;
Рис. 5. Визначення оптимальної за масою висоти таврової балки
Нехтуючи із-за
малої величини моментами інерції полок відносно їх власних осей, а також
приймаємо висоту стінки hст=h, можна з достатньою точністю
вважати:
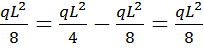
Wx=
Fn 
+
=(
) h+
=
-
;
Звідки площа перерізу
таврової балки може бути наближено визначена за
формулою:
F=

+
h дст;
Якщо позначити 
=k=100…250, тоді
F=

+
;
Для визначення оптимальної
з точки зору маси балки значення h беремо першу похідну від площі перерізу F за висотою h і
прирівнюємо до нуля:

= - 
+ 
=0;
Підставивши в рівняння
k=

:

+ 
*
=0;
Звідки:
опт
=
= 1,23 
;
де Wx
- найбільший момент опору перерізу балки відносно осі х-х.
На на практиці
часто оптимальна висота балки постійного перерізу можна визначити з формули:
опт = k
;
де k - коефіцієнт (k=1,2…1,3)max
- розрахунковий вигинаючий момент перерізу балки
│Ϭ│ - допустимі напруження
Найменша можлива
висота балки, яка визначається із умови жорсткості не є, як правило оптимальною
з точки зору розходу матеріалу.
Максимальний
прогин f балки на двох опорах. Довжиною L при рівномірно розповсюдженому
навантаженні можна наближено визначити (рис. 6.)
Рис. 6.
Розрахунок висоти балки з умов жорсткості
Для такої балки:
fmax=
=
* 
;

= 
=W= 
де
Mmax - згинаючий момент
Відношення
граничного прогину до прольоту встановлюється відповідно до призначення
конструкції що споруджується, то при розрахунку за допустимими напруженнями
воно дорівнює │Ϭ│:
для сталі Е= 2,1*105 МПа
Тоді
min
≥
Приведена формула
може використана для визначення висоти балки із умов жорсткості при будь-якому
поперечному навантажені.
2.4
Визначення висоти балки
Висота балки із умови
мінімальної маси (k=1,2) дст=10 мм
hm= k
=1.2
=33.25
мм
2.5
Конструювання поперечного перерізу
Основні параметри поперечного
перерізу визначаються виходячи із необхідної висоти балки і форми (рис. 7).
Рис. 7. Переріз таврової
балки
Розміри перерізу балки
попередньо наближено вибираються, а потім робиться перевірочний розрахунок.
Порядок підбору перерізу
балки. Висоту балки h приймають у межах між оптимальною і мінімальною. Висоту стінки hст приймають дещо меншою висоти балка (1…2%). Для повного використання листів,
що прокатують на заводах,
слід позначити висоту стінки кратною 50 мм.
Для попереднього
визначення товщини стінки можна скористатися формулою:
дст=7+
мм
Виходячи з умов
стійкості стінки приймають відношення:

=
При цьому товщина
стінки дст повинна бути не меншою 6 мм.
Полиці балки як
правило симетричні. Площа перерізу даної полиці може бути визначена з умов
необхідності міцності.
Порахувавши
висоту і товщину стінки перерізу балки можна знайти необхідний момент опору
полиць.

= 
Конструювання проводиться
в наступні послідовності (висота
h визначена із умов жорсткості і мінімальної маси):
1. Визначаємо
необхідний момент інерції поперечного перерізу зварної балки таврового профілю:
Iн=Wн
= 932.7
Wн= 
= 
= 60.2
2. Висота вертикального листа hст=h=10 мм.
де
. Момент інерції
підібраного вертикального листа
Iв=
=
=2250
4. Необхідний
момент інерції горизонтального листа таврової балки
Іг = Іп-Ів=3182,7
. З другої сторони
момент інерції горизонтального листа можна записати у вигляді:
Іг=І0+F2*а2
так як І0=0,
а=
h
то
Fг=

=
=30см2
або
Fг=b*дп,
звідки b=
=
=15 см
Таким чином після
розрахунку отримаємо (рис. 8): h=31 см, hст=30 см, дст=1
см, дп=1 см.
Рис. 8. Момент інерції
балки
Після підбору перерізу
балки визначимо фактичний момент опру Wх і момент Іх і
проводимо перевірку міцності балки на розрахунковий вигинаючий момент.
Площа поперечного
перерізу тавра:
F= F1+Fг= 15+30=45см2
Координати центра мас перерізу:
Yцм = - F1*
+Fг*
=
=9,8см2
Момент інерції
поперечного перерізу елементу відносно осі Х
Іх= І0-F* Yцм2 = 9005-45*9,82=4685 см
Момент опору
поперечного перерізу балки
=

=231,9
Найбільше
нормальне напруження в крайньому положенні таврової балки дорівнює max=157.
.6 Загальна і місцева стійкість балки
Стійкість балки залежить
від співвідношення розмірів її поперечного перерізу, а також від свобідної
довжини балки.
Загальна стійкість балки
на всіх ділянках між поперечними зв’язками перевіряються за формулою:
M≤││p*W*цϬ
де М - розрахунковий
вигинаючий момент посередині балки- момент опору перерізу в площині найбільшої
жорсткості
цϬ -
коефіцієнт зменшення несучої здатності балки припри забезпечені загальної
стійкості
Коефіцієнт цϬ для симетричного
перерізу балки визначається з формулою:
цϬ = ш
(
)2*103
Значення ш вибирається з таблиці 3 в залежності від параметру б, який
визначається з формули:
б= 1,6 
(
)2
де Іх
і Іy найбільший і найменший момент
інерції перерізу балки
Ik
- момент інерції при крученні балки- висота перерізу балки
Lp
- розрахункова довжина балки (прольот балки, відстань
між поперечними звязками).
Таблиця 3. Значення
коефіцієнта ш, як функції від б (ш=f(б))
|
Значення цϬ з формули
|
Значення яке слід приймати
|
|
0,85-1,0
|
0,85
|
|
1,0-1,25
|
0,9
|
|
1,25-1,55
|
0,96
|
|
1,55
|
1,0
|
2.7 Деформації
конструкції балочного типу
тавровий балка деформація зварювання
До конструкцій балочного
типу відноситься балки різного перерізу, колони і рамні конструкції, які
складаються із окремих балок.
Характерними
особливостями зварних конструкцій балочного типу є їх відносно велика довжина в
порівнянні з висотою і шириною.
Якщо в балках мають
місце несиметрично розміщені поздовжні і поперечні шви, то із-за великої
довжини балок в них виникають значні деформації - прогини (рис 9).
Рис. 9. Схема таврової
зварної балки з повздовжніми швами
Після зварювання
повздовжнього шва 1 (рис. 9) виникає усадкова сила Рус, яка визначається за
формулою:
Рус=-
[
]
де q - потужність дуги
Vзв - швидкість зварювання
q0 - питома погонна енергія зварювання
q0=
= 4000…38000
д - товщина
При зварюванні
таврового з’єднання послідовно двома однаковими кутовими швами, зони пластичних
деформацій які перекриваються, сумарна усадочна сила від двох швів складає
1,3…1,45 усадкової сили від першого шва.
Усадкова сила Рус
тягне за собою зменшення балки, яка вираховується з формули:
∆пов=
і момент
М= Рус*l
який
викликає вигин балки f, який визначається з формули:
f=
=
де l1
- ексцентриситет прикладанн усадкової сили відносно основних осей поперечного
перерізу x-y
Рис. 10. Зварна
таврова балка
Якщо поперечний
переріз балки несиметричний відносно осі х-х, то залишковий прогин при згині
віл зварювання двох швів у балках, буде направлений вверх.
При зварюванні
таврових балок, особливо з широкими полицями має місце кутова деформація полок
в.
Деформація полки
від накладання двох поясних швів при зварюванні двох таврових перерізів можна
знайти за формулою:
в
= 0,1 (
-0,1)
де k-катет двостороннього шва
в - кут перегину
пояса
.8
Визначення коефіцієнта концентрації напружень
Несуча здатність зварних
з'єднань в значній системні степені залежить від рівня концентрації напружень в
місцях переходу від шва до основного металу, тобто обумовлюється формою шва.
В зв’язку з цим
проведені дослідження впливу різних геометричних параметрів кутових швів
зварної балки на концентрацію напружень в зварних з’єднаннях. Для цього
використовують числові методи вирішення задачі теорії пружності.
Конкретні залежності для
розрахунку коефіцієнта концентрації напружень kt досліджень в роботі
приведені на рис. 11.
Рис. 11. Схема
навантаження зразка.
Дослідження відповідно
до кутових швів проводяться при умові їх роботи на згин.
При згинаючому
навантаженні таврового з’єднання розрахункова залежність kt
визначається формулою:
kt =1+
th{
}*[
]
Приймаємо
відносний радіус спряження 
=0,12; 
=1; и =450;
Тоді
підставивши в приведене рівняння значення параметрів з’єднання
визначаємо kt..t=1,59
Вплив
геометричних параметрів на концентрацію напружень при згині з’єднання з
кутовими швами показано на рис. 12.
Рис. 12. Графік
М(kt.) =f (R/д)
Реальні значення kt. знаходитись в границях:
1< kt.=1+
де в - кутова
деформація
Висновок
Завдання курсової
роботи розрахувати міцність надземного переходу магістрального
трубопроводу та розробити технологічний процес ремонтного зварювання
магістральних трубопроводів.
Список
використаної літератури
1. Ведомственные
строительные нормы ВСН 006 - 89. Сварка и контроль качества сварных соединений
при сооружении магистральных газопроводов. - Утв. Миннефтегазстрой СССР
14.03.89 Введ. 01.07.89 г. - М. - 1989. - 192 с.
2. Визначення
залишкової міцності магістральних трубопроводів з дефектами: ДСТУ-Н Б
В.2.2-21:2008. - К.: 2008. - 87 с.
. Бабин Л.А.,
Быков Л.И., Волохов В.Я. Типовые расчеты по сооружению трубопроводов. - М.: Недра, 1979. - 176 с.
. Мустафин Ф.М.,
Блехерова Н.Г., Квятковский О.П. и др. Сварка трубопроводов - М.: ООО «Недра -
Бизнесцентр, 2002. 347 с.
. Технология
электрической сварки плавлением. /Под ред. Б.Е. Патона. Учебное пособие. - М.:
Машиностроение. 1977. - 432 с.