Анализ сигналов в радиотехнических цепях
Оглавление
Задание
на курсовую работу
.
Аналитическое и графическое представление исходного сигнала
.
Спектральный анализ непериодического сигнала
.1
Аналитическое выражение спектральной плотности
.2
Графическое представление модуля и аргумента спектральной плотности
.3
Эффективная ширина спектра
.4
Энергия сигнала
.
Спектральный анализ периодического сигнала (Период Т=20мс)
.1
Представление сигнала рядом Фурье
.1.1
Амплитудный спектр
.1.2
Фазовый спектр
.2
Средняя мощность периодического сигнала
.
Анализ характеристик исходной линейной цепи
.1
Аналитическое выражение коэффициента передачи цепи
.2
Графики АЧХ и ФЧХ цепи
.3
Аналитическое выражение и график импульсной характеристики цепи
.
Корреляционный анализ сигналов
.1
Аналитическое и графическое представление корреляционной функции исходного
непериодического сигнала
Заключение
Список
литературы
Приложение
спектральный цепь сигнал
Задание на курсовую работу
Вариант 11-5
Теоретическая часть должна включать:
расчеты спектральной плотности, амплитудного и
фазового спектров сигнала и его автокорреляционной функции;
расчеты передаточной, амплитудно-частотной,
фазо-частотной и импульсной характеристик заданной RС-цепи;
расчеты сигнала на выходе заданной RС-цепи при
подаче на её вход заданного сигнала.
Также необходимо предоставить:
результаты компьютерных расчетов;
результаты компьютерного моделирования
прохождения сигнала через линейную цепь.
1. Теоретическая часть
. Расчет спектральной плотности, амплитудного и
фазового спектров сигнала и его автокорреляционной функции
График заданного сигнала представлен на рис.
1(построение стр.16 приложения).
Рис. 1. График исходного сигнала
2. Спектральный анализ непериодического сигнала
.1 Аналитическое выражение спектральной
плотности
(вычисление стр.16 приложения).
.2 Графическое представление модуля и аргумента
спектральной плотности
Рис. 2. Амплитудный спектр сигнала
Рис. 3. Фазовый спектр сигнала
2.3 Эффективная ширина спектра
эффективная ширина спектра может быть, найдена
как
, таким образом
(вычисление стр.17 приложения).
эффективная ширина спектра равна 5.46*10^-6
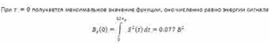
.4 Энергия сигнала
Энергия сигнала находится через его мощность
,
таким образом энергия сигнала
энергия сигнала равна 0.077 (вычисление стр.17
приложения).
3. Спектральный анализ периодического сигнала
(Период T=20мс)
.1 Представление сигнала рядом Фурье
Разложение в ряд Фурье осуществляется по
формуле:
Зная что τ0=0.5 мс
подставляем данные в вышеуказанные формулы и получаем разложение Фурье для
заданного периодического сигнала(стр.17 приложения):
.1.1 Амплитудный спектр
Периодическую функцию можно представить рядом
Фурье в виде:
, тогда:
(построение стр.17-18 приложения).
.1.2 Фазовый спектр
Периодическую функцию можно представить рядом
Фурье в виде:
(построение стр.18 приложения).
.2 Средняя мощность периодического сигнала
По определению под средней мощностью
периодического сигнала понимается средняя мощность за один период
Средняя мощность за период равна 2.827(стр.18
приложения).
. Расчет передаточной, амплитудно-частотной,
фазо-частотной и импульсной характеристик заданной RC-цепи
Рассмотрим заданную RC-цепь (рис. 5).
Рис. 5. Исходная RC-цепь
.1 Коэффициент передачи цепи в операторной форме
Подставим в коэффициент передачи значения С=10^4
пФ, R1=10 кОм:
(стр.19 приложения).
.2 Графики АЧХ и ФЧХ
Рис. 6. Амплитудно-частотная характеристика цепи
(построение стр.19 приложения).
Рис. 7. Фазо-частотная характеристика цепи
(построение стр.19 приложения).
.3 Аналитическое выражение и график импульсной
характеристики цепи
После подстановки p1 окончательно получаем:
Рис. 8. Импульсная характеристика цепи
(построение стр.20 приложения).
5. Корреляционный анализ сигналов
.1 Аналитическое и графическое представление
корреляционной функции исходного непериодического сигнала
Рис. 4. Автокорреляционная функция
сигнала.(построение стр.21 приложения).
Сравнение непериодических сигналов на входе и
выходе цепи, вывод о влиянии цепи на сигнал
Сигнал на выходе цепи (построение стр.21
приложения).:
Цепь представляет собой трехзвенный
низкочастотный фильтр а значит пропускает только низкочастотные сигналы.
Заключение
В процессе работы мы попрактиковались в анализе
сигналов в радиотехнических цепях (определение амплитудного и фазового
спектров, расчёт спектральной плотности), а также в исследовании линейных RC
цепей(определение АЧХ, ФЧХ, импульсной характеристики). Также приобретён опыт
работы с двумя компьютерными САПР: Mathcad 14.0 и Multisim 11.0.
Список использованной литературы
1
Радиотехнические цепи и сигналы. Методические рекомендации по выполнению
курсовой работы / Сост. Л.Б. Кочин, В.К. Соколов; Балт. гос. техн. ун-т. СПб.,
2002. 53 с.
.
Баскаков С.И., РТЦ и С./ Учебник для ВУЗов/-М.: Энергия
.
Гоноровский И.С. РТЦиС. -М.: Сов. Радио, 1986.
Приложение
текст работы в Mathcad

