Расчет токов короткого замыкания в электрических сетях
Расчет токов короткого
замыкания в
электрических сетях
Введение
короткое замыкание электрический схема
Коротким замыканием (далее КЗ) называется нарушение нормальной работы
электрической установки, вызванное замыканием фаз между собой, а также
замыканием фаз на землю в сетях с глухозаземленными нейтралями. При КЗ токи в
поврежденных фазах увеличиваются в несколько раз по сравнению с предшествующим
режимом работы электроустановки, а напряжения снижаются, особенно вблизи места
повреждения.
Протекание больших токов вызывает повышенный нагрев проводников, а это
ведет к увеличению потерь электроэнергии , ускоряет старение и разрушение
изоляции, может к потере механической прочности токоведущих частей и
электрических аппаратов.
Снижение уровня напряжения при КЗ в сети ведет к уменьшению вращающего
момента электродвигателей, их торможению, снижению производительности и даже
полному останову.
Резкое снижение напряжения при КЗ может привести к нарушению устойчивости
параллельной работы генераторов электростанций и частей электрической системы,
возникновению системных аварий. В результате возможно лавинообразное развитие
системной аварии.
Элементы электрических систем обладают активными, индуктивными
сопротивлениями и емкостными проводимостями. Поэтому при внезапном нарушении
режима работы вследствие КЗ электрическая система представляет собой
колебательный контур. Токи в ветвях и напряжение в узлах будут изменяться в
течение некоторого времени после возникновения КЗ в соответствии с параметрами
этого контура. За время КЗ с момента его возникновения до момента отключения
поврежденного участка в цепи протекает переходный процесс с большими
мгновенными токами, вызывающими электродинамическое воздействие на
электрооборудование. При длительном, более 0,01 с, КЗ токи оказывают
термическое действие, которое может привести оплавлению и выгоранию контактов,
повреждению самих токоведущих частей. Таким образом, режим КЗ является
аварийным. Необходимо уметь рассчитывать эти режимы, в частности, определять
величины токов КЗ в любой точке электрической системы в любой момент времени.
Результаты расчета используются: при выборе и проверке проводников и
электрических аппаратов по электродинамической и термической стойкости, а
выключателей и предохранителей - еще и по отключающей способности; определении
рациональных схем и режимов выдачи, передачи и распределении мощности в
электрической системе; выборе необходимых средств ограничения токов КЗ; для
оценки условий работы и настройки релейной защиты и автоматики; для анализа
аварий в электроустановках; для проектирования заземляющих устройств; оценки
допустимости и разработки методики проведения различных испытаний в
электрических системах; подбора характеристик разрядников для защиты от
перенапряжений и т.д.
Объект работы - расчетная схема электроснабжения (см. рисунок 1).
Рисунок 1 - Общая расчетная схема электроснабжения
1.Расчетная часть
Определение параметров элементов схемы замещения
в именованных единицах
Определим параметры элементов схемы замещения. За базовое напряжение
примем напряжение точек КЗ К-1, К-2, т.е. Uб = 10,5 кВ.
Определим мощность трехфазного КЗ на шинах 230 кВ Sк(3), МВА:
где
- среднее номинальное напряжение ступени, на которой
рассчиты-вается мощность трёхфазного КЗ, В;
Iк(3) -
заданное значение тока трехфазного КЗ, А.
Определим индуктивное сопротивление энергосистемы xс ном, Ом:
Определим индуктивное сопротивление энергосистемы, приведенное к базовому
напряжению xс б = x1, Ом:
Определим индуктивное сопротивление обмотки высокого напряжения
трансформатора, приведенное к базовому напряжению xТ ВН = x2, Ом:
где
- напряжение короткого замыкания между выводами обмоток
высокого и низкого напряжения, выраженное в %;
- номинальная мощность трансформатора, МВА.
Определим индуктивное сопротивление обмоток низкого напряжения
трансформатора, приведенное к базовому напряжению
:
Определим активное сопротивление обмоток низкого напряжения
трансформатора, приведенное к базовому напряжению
:
где
- потери короткого замыкания трансформатора, Вт;
- номинальный ток во вторичной обмотке трансформатора, А.
где
- номинальное напряжение обмотки низкого напряжения
трансформатора, В.
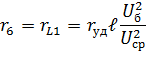
Определим индуктивное сопротивление линии из кабеля СБ 3×120
длиною в 7 км
, приведенное к базовому напряжению:
где
- удельное индуктивное сопротивление кабеля на 1 км длины,
Ом/км [1];
- длина линии, км;
- среднее напряжение в месте установки данного элемента цепи
электроснабжения, кВ.
Определим активное сопротивление линии из кабеля СБ 3×120,
приведенное к базовому
напряжению
:
где
- удельное активное сопротивление кабеля длиною в 1 км,
Ом/км [1].
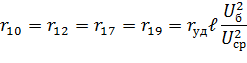
Определим индуктивное сопротивление линии из кабеля ААБ 3×185
длиною в 5 км,
приведенное к базовому напряжению
:
Определим активное сопротивление линии из кабеля ААБ 3×185,
приведенное к базовому
напряжению
:
Определим индуктивные сопротивления ветвей сдвоенного реактора,
приведенные к базовому напряжению
:
где
- коэффициент связи обмоток реактора;
- номинальное индуктивное сопротивление реактора, Ом.
Определим активное сопротивление ветвей реактора
:
где
- номинальные потери на фазу в ветвях реактора, Вт [1];
- номинальный ток ветви реактора, А.
Определим индуктивное сопротивление линий из кабеля СБ 3×70
длиною 0,2 км,
приведенные к базовому напряжению
:

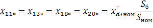
Определим сверхпереходные индуктивные сопротивления по продольной оси
синхронных электродвигателей, приведенные к базовому напряжению

:
где
- сверхпереходное индуктивное сопротивление по продольной
оси двигателя в относительных номинальных единицах;
- номинальная полная мощность синхронного электродвигателя,
МВА.
где
- коэффициент кратности пускового тока.
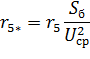
Определим активные сопротивления обмоток статоров электродвигателей
[2, п. 2.9]:
Численные выражения активных и индуктивных сопротивлений элементов сети
электроснабжения отразим на рисунке 2.
Рисунок 2 - Общая схема замещения системы электроснабжения (сопротивления
элементов указаны в омах)
2. Расчет тока трехфазного КЗ в точке К-1 в
именованных единицах
Составим расчетную схему для определения тока КЗ в точке К-1.
Рисунок 3 - Расчетная схема для определения тока КЗ в точке К-1
Определим схему замещения для расчета тока трехфазного короткого
замыкания в точке К-1.
Рисунок 4 - Схема замещения для расчета тока трехфазного КЗ в точке К-1
2.1 Расчет тока подпитки трехфазного КЗ в точке
К-1 от энергосистемы
Составим схему замещения при питании точки КЗ К-1 от энергосистемы.
Рисунок 5 - Схема замещения и её преобразование для расчета тока
трехфазного КЗ в точке К-1 при подпитке тока от энергосистемы
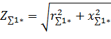
Определим суммарное результирующее активное сопротивление 1-й ветви
:
Определим суммарное результирующее индуктивное сопротивление 1-й ветви
:
Т. к. результирующее эквивалентное активное сопротивление 1-й ветви
относительно точки КЗ К-1 превышает 30 % результирующего эквивалентного
индуктивного сопротивления этой же цепи (
, то необходимо учитывать активное сопротивление
элементов КЗ цепи при расчете действующего значения периодической составляющей
тока КЗ.
Определим полное сопротивление цепи для протекания тока трёхфазного КЗ в
1-й ветви
:
Определим действующее значение периодической составляющей тока
трехфазного КЗ в 1-й ветви для точки К-1
:
2.2 Расчет тока подпитки трехфазного КЗ в точке
К-1 от электродвигателя № 1
Составим схему замещения при питании точки КЗ К-1 от электродвигателя №
1.
Рисунок 6 - Схема замещения и её преобразование для расчета тока
трехфазного КЗ в точке К-1 при подпитке тока от электродвигателя №1
Определим суммарное результирующее активное сопротивление 2-й ветви
:
Определим суммарное результирующее индуктивное сопротивление 2-й ветви
:
Т. к. результирующее эквивалентное активное сопротивление 2-й ветви
относительно точки КЗ К-1 не превышает 30 % результирующего эквивалентного
индуктивного сопротивления этой же цепи (
, то можно пренебречь и не учитывать
активное сопротивление элементов КЗ цепи при расчете действующего значения
периодической составляющей тока КЗ в этой ветви.
Определим действующее значение периодической составляющей тока
трехфазного КЗ во 2-й ветви для точки К-1
:
2.3 Расчет тока подпитки трехфазного КЗ в точке
К-1 от электродвигателя № 2
Составим схему замещения при питании точки КЗ К-1 от электродвигателя №
2.
Рисунок 7 - Схема замещения и её преобразование для расчета тока
трехфазного КЗ в точке К-1 при подпитке тока от электродвигателя №2
Определим суммарное результирующее активное сопротивление 3-й ветви
:
Определим суммарное результирующее индуктивное сопротивление 3-й ветви
:
Т. к. результирующее эквивалентное активное сопротивление 3-й ветви
относительно точки КЗ К-1 не превышает 30 % результирующего эквивалентного
индуктивного сопротивления этой же цепи (
, то можно пренебречь и не учитывать
активное сопротивление элементов КЗ цепи при расчете действующего значения
периодической составляющей тока КЗ в этой ветви.
Определим действующее значение периодической составляющей тока
трехфазного КЗ в 3-й ветви для точки К-1
:

Определим суммарное начальное действующее значение периодической
составляющей тока трехфазного КЗ в точке К-1
:
3 Расчет тока трехфазного КЗ в точке К-2 в
именованных единицах
Составим расчетную схему для определения тока КЗ в точке К-2.
Рисунок 8 - Расчетная схема для определения тока КЗ в точке К-2
Определим схему замещения для расчета тока трехфазного короткого
замыкания в точке К-2.
Рисунок 9 - Схема замещения для расчетов тока трехфазного КЗ в точке К-2
3.1 Расчет тока подпитки трехфазного КЗ в точке
К-2 от энергосистемы
Составим схему замещения при питании точки КЗ К-2 от энергосистемы.
Рисунок 10 - Схема замещения и ее преобразование для расчета тока
трехфазного КЗ при подпитки точки К-2 от энергосистемы
Определим суммарное результирующее активное сопротивление 1-й ветви
:
Определим суммарное результирующее индуктивное сопротивление 1-й ветви
:
Т. к. результирующее эквивалентное активное сопротивление 1-й ветви
относительно точки КЗ К-2 превышает 30 % результирующего эквивалентного
индуктивного сопротивления этой же цепи (
, то необходимо учитывать активное сопротивление
элементов КЗ цепи при расчете действующего значения периодической составляющей
тока трехфазного КЗ.
Определим полное сопротивление цепи для протекания тока трёхфазного КЗ в
1-й ветви
:
Определим действующее значение периодической составляющей тока
трехфазного КЗ в 1-й ветви для точки К-2
:
3.2 Расчет тока подпитки трехфазного КЗ в точке
К-2 от электродвигателя № 3
Составим схему замещения при питании точки КЗ К-2 от электродвигателя №
3.
Рисунок 11 - Схема замещения и её преобразование для расчета тока
трехфазного КЗ в точке К-2 при подпитки её от электродвигателя №3
Определим суммарное результирующее активное сопротивление 2-й ветви
:
Определим суммарное результирующее индуктивное сопротивление 2-й ветви
:
Т. к. результирующее эквивалентное активное сопротивление 2-й ветви
относительно точки КЗ К-2 не превышает 30 % результирующего эквивалентного
индуктивного сопротивления этой же цепи (
, то можно пренебречь и не учитывать активное
сопротивление элементов КЗ цепи при расчете действующего значения периодической
составляющей тока КЗ в этой ветви.
Определим действующее значение периодической составляющей тока
трехфазного КЗ во 2-й ветви для точки К-2
:
3.3 Расчет тока подпитки трехфазного КЗ в точке
К-2 от электродвигателя № 4
Составим схему замещения при питании точки КЗ К-2 от электродвигателя №
4.
Рисунок 12 - Схема замещения и её преобразование для расчета тока
подпитки трехфазного КЗ в точке К-2 от электродвигателя № 4
Определим суммарное результирующее активное сопротивление 3-й ветви
:
Определим суммарное результирующее индуктивное сопротивление 3-й ветви
:
Т. к. результирующее эквивалентное активное сопротивление 3-й ветви
относительно точки КЗ К-2 не превышает 30 % результирующего эквивалентного
индуктивного сопротивления этой же цепи (
, то можно пренебречь и не учитывать
активное сопротивление элементов КЗ цепи при расчете действующего значения
периодической составляющей тока КЗ в этой ветви.
Определим действующее значение периодической составляющей тока
трехфазного КЗ в 3-й ветви для точки К-2
:
Определим суммарное начальное действующее значение периодической
составляющей тока трехфазного КЗ в точке К-2
:
4. Определение параметров элементов схемы
замещения в относительных единицах
Определим параметры элементов общей схемы замещения системы
электроснабжения (см. рисунок 2) в относительных единицах. За базовую мощность
примем значение 1000 МВА, т.е.
.
Определим индуктивное сопротивление энергосистемы
, приведенное к базовой мощности:
Определим индуктивное сопротивление обмотки высокого напряжения
трансформатора
, приведенное к базовой мощности:
Определим индуктивные сопротивления обмоток низкого напряжения
трансформатора
, приведенные к базовой мощности:

Определим индуктивное сопротивление линии из кабеля СБ 3×120
длиною в 7 км
, приведенное к базовой мощности:
Определим активное сопротивление линии из кабеля СБ 3×120
длиною в 7 км
, приведенное к базовой мощности:
Определим индуктивное сопротивление линии из кабеля ААБ 3×185
длиною в 5 км
, приведенное к базовой мощности:
Определим активное сопротивление линии из кабеля ААБ 3×185
длиною в 5 км
, приведенное к базовой мощности:
Определим индуктивные сопротивления ветвей сдвоенного реактора
,
, приведенные к базовой мощности:
Определим активные сопротивления ветвей реактора
, приведенные к базовой мощности:
Определим индуктивные сопротивления линий из кабеля СБ 3×70
длиною 0,2 км
, приведенные к базовой мощности:
Определим активные сопротивления линий из кабеля СБ 3×70
длиною 0,2 км
, приведенные к базовой мощности:
Определим сверхпереходные индуктивные сопротивления по продольной оси
синхронных электродвигателей
, приведенные к базовой мощности:
Определим активные сопротивления обмоток статоров электродвигателей
, приведенные к базовой мощности:
Рассчитанные параметры элементов общей схемы замещения, выраженные в
относительных единицах, наглядно показаны на рисунке 13.
Рисунок 13 - Общая схема замещения сети электроснабжения (сопротивления
элементов выражены в относительных единицах)
5. Расчет тока трехфазного КЗ в точке К-1 в
относительных единицах
Расчетная схема для определения тока В точке К-1 приведена на рисунке 3.
Определим схему замещения для расчета тока трехфазного КЗ в точке К-1.
Рисунок 14 - Схема замещения сети для расчета тока трехфазного КЗ в точке
К-1
.1 Расчет тока подпитки трехфазного КЗ в точке
К-1 от энергосистемы
Составим схему замещения при питании точки КЗ К-1 от энергосистемы.
Рисунок 15 - Схема замещения и ее преобразование для расчета тока
подпитки трехфазного КЗ в точке К-1 от энергосистемы
Определим суммарное результирующее активное сопротивление 1-й ветви
:
Определим суммарное результирующее индуктивное сопротивление 1-й ветви
:
Т. к. результирующее эквивалентное активное сопротивление 1-й ветви
относительно точки КЗ К-1 превышает 30 % результирующего эквивалентного индуктивного
сопротивления этой же цепи (
, то необходимо учитывать активное сопротивление элементов КЗ
цепи при расчете действующего значения периодической составляющей тока КЗ.
Определим полное сопротивление цепи при протекании тока трёхфазного КЗ в
1-й ветви
:
Определим действующее значение периодической составляющей тока
трехфазного КЗ в 1-й ветви для точки К-1
:
где
- базисный ток, А.
.2 Расчет тока подпитки трехфазного КЗ в точке
К-1 от электродвигателя № 1
Составим схему замещения для расчета тока подпитки точки КЗ К-1 от
электродвигателя № 1.
Рисунок 16 - Схема замещения и ее преобразование для расчета тока
подпитки трехфазного КЗ в точке К-1 от электродвигателя № 1
Определим суммарное результирующее активное сопротивление 2-й ветви
:
Определим суммарное результирующее индуктивное сопротивление 2-й ветви
:

Определим действующее значение периодической составляющей тока
трехфазного КЗ во 2-й ветви для точки К-1
:
5.3 Расчет тока подпитки трехфазного КЗ в точке
К-1 от электродвигателя № 2
Составим схему замещения для расчета тока подпитки точки КЗ К-1 от
электродвигателя № 2.
Рисунок 17 - Схема замещения и ее преобразование для расчета тока
подпитки трехфазного КЗ в точке К-1 от электродвигателя № 2
Определим суммарное результирующее активное сопротивление 3-й ветви
:
Определим суммарное результирующее индуктивное сопротивление 3-й ветви
:
Т. к. результирующее эквивалентное активное сопротивление 3-й ветви
относительно точки КЗ К-1 не превышает 30 % результирующего эквивалентного
индуктивного сопротивления этой же цепи (
, то можно пренебречь и не учитывать
активное сопротивление элементов КЗ цепи при расчете действующего значения
периодической составляющей тока КЗ в этой ветви.
Определим действующее значение периодической составляющей тока
трехфазного КЗ в 3-й ветви для точки К-1
:
Определим суммарное начальное действующее значение периодической
составляющей тока трехфазного КЗ в точке К-1
:
6. Расчет тока трехфазного КЗ в точке К-2 в
относительных единицах
Расчетная схема для определения тока КЗ в точке К-2 приведена на рисунке
8. Определим схему замещения для расчета тока трехфазного КЗ в точке К-2.
Рисунок 18 - Схема замещения сети для расчета тока трехфазного КЗ в точке
К-2
6.1 Расчет тока подпитки трехфазного КЗ в точке
К-2 от энергосистемы
Составим схему замещения при питании точки КЗ К-2 от энергосистемы.
Рисунок 19 - Схема замещения и ее преобразование для расчета тока
подпитки трехфазного КЗ в точке К-2 от энергосистемы
Определим суммарное результирующее активное сопротивление 1-й ветви
:
Определим суммарное результирующее индуктивное сопротивление 1-й ветви
:
Т. к. результирующее эквивалентное активное сопротивление 1-й ветви
относительно точки КЗ К-2 превышает 30 % результирующего эквивалентного
индуктивного сопротивления этой же цепи (
, то необходимо учитывать активное
сопротивление элементов КЗ цепи при расчете действующего значения периодической
составляющей тока КЗ.
Определим полное сопротивление цепи при протекании тока трёхфазного КЗ в
1-й ветви
:
Определим действующее значение периодической составляющей тока
трехфазного КЗ в 1-й ветви для точки К-2
:
где
- базисный ток, А.
6.2 Расчет тока подпитки трехфазного КЗ в точке
К-2 от электродвигателя № 3
Составим схему замещения для расчета тока подпитки точки КЗ К-2 от
электродвигателя № 3.
Рисунок 20 - Схема замещения и ее преобразование для расчета тока
подпитки трехфазного КЗ в точке К-2 от электродвигателя № 3
Определим суммарное результирующее активное сопротивление 2-й ветви
:
Определим суммарное результирующее индуктивное сопротивление 2-й ветви
:
Т. к. результирующее эквивалентное активное сопротивление 2-й ветви
относительно точки КЗ К-2 не превышает 30 % результирующего эквивалентного
индуктивного сопротивления этой же цепи (
, то можно пренебречь и не учитывать
активное сопротивление элементов КЗ цепи при расчете действующего значения
периодической составляющей тока КЗ в этой ветви.
Определим действующее значение периодической составляющей тока
трехфазного КЗ во 2-й ветви для точки К-2
:
6.3 Расчет тока подпитки трехфазного КЗ в точке
К-2 от электродвигателя № 4
Составим схему замещения для расчета тока подпитки точки КЗ К-2 от
электродвигателя № 4.
Рисунок 21 - Схема замещения и ее преобразование для расчета тока
подпитки трехфазного КЗ в точке К-2 от электродвигателя № 4
Определим суммарное результирующее активное сопротивление 3-й ветви
:
Определим суммарное результирующее индуктивное сопротивление 3-й ветви
:

Т. к. результирующее эквивалентное активное сопротивление 3-й ветви
относительно точки КЗ К-2 не превышает 30 % результирующего эквивалентного
индуктивного сопротивления этой же цепи (
, то можно пренебречь и не учитывать
активное сопротивление элементов КЗ цепи при расчете действующего значения
периодической составляющей тока КЗ в этой ветви.
Определим действующее значение периодической составляющей тока
трехфазного КЗ в 3-й ветви для точки К-2
:
Определим суммарное начальное действующее значение периодической
составляющей тока трехфазного КЗ в точке К-2
:
7. Расчет значения ударного тока трехфазного КЗ в
точке К-1
Схема замещения для определения ударного тока КЗ представлена на рисунке
4. Из рисунка видно, что ударный ток КЗ в точке К-1 будет складываться из трех
ударных токов от трех ветвей (энергосистемы и электродвигателей № 1,2).
Схемы замещения 1-й, 2-й и 3-й ветвей соответственно изображены на
рисунках 5,6,7.
Для определения ударных коэффициентов ветвей необходимо учитывать все
элементы исходной расчетной схемы как индуктивные, так и активные
сопротивления. При этом синхронные электродвигатели должны быть учтены
индуктивными сопротивлениями обратной последовательности
, которые могут быть приближенно
определены как
[3].
Постоянную времени затухания апериодической составляющей тока КЗ
и ударный коэффициент
для каждой ветви рассчитывают в зависимости
от соотношения результирующего индуктивного сопротивления цепи ветви к
активному
.
Если
, то ударный коэффициент
может быть определен по общепринятой
формуле:
Если
, то ударный коэффициент
рекомендуется определять по ниже
следующей формуле:
Определим ударный ток в 1-й ветви (цепь соединяющая энергосистему с точкой
КЗ К-1)
:
где
- действующее значение периодической составляющей тока КЗ в
перво-начальный момент времени в 1-й ветви, кА.
(см. формулу 3).
Определим соотношение индуктивного сопротивления КЗ цепи 1-й ветви
(значение
подсчитано в формуле 2) к активному
(значение
подсчитано в формуле1):
Т. к.
, то для определения ударного коэффициента
используем уточненную формулу (16):
Определим ударный ток в 2-й ветви (цепь соединяющая электродвигатель № 1
с точкой КЗ К-1)
:
где
- действующее значение периодической составляющей тока КЗ в
перво-начальный момент времени в 2-й ветви, кА.
(см. формулу 5).
Т. к. мощность СД отлична от стандартного ряда мощностей, определим
ударный коэффициент расчётным путем.
Определим соотношение индуктивного сопротивления КЗ цепи 2-й ветви
к активному
(значение
см. в формуле 4).
Индуктивное сопротивление КЗ цепи 2-й ветви
с учетом индуктивного сопротивления
обратной последовательности СД будет определяться по формуле:
Т. к.
, то для определения ударного коэффициента
можно использовать общепринятую
формулу (15):
Определим ударный ток в 3-й ветви (цепь соединяющая электродвигатель № 2
с точкой КЗ К-1)
:
где
- действующее значение периодической составляющей тока КЗ в
перво-начальный момент времени в 3-й ветви, кА.
(см. формулу 6).
Определим соотношение индуктивного сопротивления КЗ цепи 3-й ветви
к активному
(значение
указано в формуле 6). Индуктивное
сопротивление КЗ цепи 3-й ветви
с учетом индуктивного сопротивления обратной
последовательности СД будет определяться по формуле:
Т. к.
, то для определения ударного коэффициента
используем общепринятую формулу
(15):
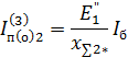
Определим ударный ток в точке К-1
:
8. Расчет значения ударного тока трехфазного КЗ в
точке К-2
Схема замещения для определения ударного тока КЗ представлена на рисунке
9. Из рисунка видно, что ударный ток КЗ в точке К-2 будет складываться из трех
ударных токов от трех ветвей (энергосистемы и электродвигателей № 3,4).
Схемы замещения 1-й, 2-й и 3-й ветвей соответственно изображены на
рисунках 10,11,12.
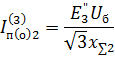
Определим ударный ток в 1-й ветви (цепь соединяющая энергосистему с
точкой КЗ К-2)
:
где
- действующее значение периодической составляющей тока КЗ в
перво-начальный момент времени в 1-й ветви, кА.
(см. формулу 10).
Определим соотношение индуктивного сопротивления КЗ цепи 1-й ветви
(значение
подсчитано в формуле 9) к активному
(значение
подсчитано в формуле 8):
Т. к.
, то для определения ударного коэффициента
используем уточненную формулу (16):
Определим ударный ток в 2-й ветви (цепь соединяющая электродвигатель № 3
с точкой КЗ К-2)
:
где
- действующее значение периодической составляющей тока КЗ в
перво-начальный момент времени в 2-й ветви, кА.
(см. формулу 12).
Определим соотношение индуктивного сопротивления КЗ цепи 2-й ветви
к активному
(значение
см. в формуле 11).
Индуктивное сопротивление КЗ цепи 2-й ветви
с учетом индуктивного сопротивления
обратной последовательности СД будет определяться по формуле:
Т. к.
, то для определения ударного коэффициента
используем общепринятую формулу
(15):
Определим ударный ток в 3-й ветви (цепь соединяющая электродвигатель № 4
с точкой КЗ К-2)
:
где
- действующее значение периодической составляющей тока КЗ в
перво-начальный момент времени в 3-й ветви, кА.
(см. формулу 14).
Определим соотношение индуктивного сопротивления КЗ цепи 3-й ветви
к активному
(значение
указано в формуле 13). Индуктивное
сопротивление КЗ цепи 3-й ветви
с учетом индуктивного сопротивления обратной
последовательности СД будет определяться по формуле:
Т. к.
, то для определения ударного коэффициента
используем общепринятую формулу
(15):
Определим ударный ток в точке К-2
:
Заключение
Любая электрическая сеть включает в себя электрооборудование.
Для правильного подбора электрооборудования и для уменьшения материального
ущерба в результате аварийных режимов в электрических сетях нужно уметь
правильно определять значения прогнозируемых токов короткого замыкания.
Задача студента научиться определять значения прогнозируемых
токов короткого замыкания для повышения надежности электроснабжения предприятий
и городов, для выбора рациональных схем электроснабжения, для снижения
материально ущерба и себестоимости устанавливаемого оборудования.
В ходе выполнения работы студент ознакомился с методами и
правилами выполнения расчетов токов короткого замыкания, с методами
преобразования и упрощения схем замещения устанавливаемого оборудования, с
расчетом ударных токов короткого замыкания в электрических сетях.
Расчет токов короткого замыкания приведен как в именованных, так и в
относительных единицах. В каждом конкретном случае приводятся примеры с
иллюстрациями преобразования схем замещения. Результаты расчетов и в
имено-ванных, и в относительных единицах совпадают, что позволяет судить о
правиль-ности и достоверности сделанных расчетов.
Таким образом, цель работы достигнута, задачи - решены.
Выполненная работа имеет практическую ценность для студентов
курса переходные процессы в электроэнергетических системах, как наглядный
пример или образец для решения задач по расчету токов коротких замыканий в
электрических сетях напряжением выше 1000 В, а также специалистов занимающихся
изучением и исследованием переходных процессов в электроэнергетических
системах.
Библиографический список
1 Неклепаев, Б.Н. Электрическая часть электростанций и
подстанций: Справочные материалы для курсового и дипломного проектирования:
учеб. пособие / Б.Н. Неклепаев, И.П. Крючков. - СПб.: БХВ-Петербург, 2014. -
608 с.
ГОСТ Р 52735-2007. Короткие замыкания в электроустановках.
Методы расчета в электроустановках переменного тока напряжением свыше 1 кВ. -
Введ. 2007-07-12. - М.: Стандартинформ, 2007.
Коровин, Ю.В. Расчет токов короткого замыкания в
электрических системах: учебное пособие / Ю.В. Коровин, Е.И. Пахомов, К.Е.
Горшков. - Челябинск: Издательский центр ЮУрГУ, 2011. - 114 с.
Конюхова, Е.А. Электроснабжение объектов: учеб. пособие для
студ. учреждений сред. проф. образования / Е.А. Конюхова. - 10-е изд., стер. -
М.: Издательский центр «Академия», 2013. - 320 с.
Рожкова, Л.Д. Электрооборудование электрических станций и
подстанций: учебник для студ. учреждений сред. проф. образования / Л.Д. Рожкова,
Л.К. Карнеева, Т.В. Чиркова. - 11-е изд., стер. - М.: Издательский центр
«Академия», 2014. - 448 с.
Переходные процессы в системах электроснабжения: методические
указания по выполнению курсовой работы / сост.: С.Н. Разыграев, Д.П. Химичева;
под ред. А.В. Прохорова. - Челябинск: Издательский центр ЮУрГУ, 2015. - 40 с.