Спектральное представление сигналов
Министерство образования и науки РФ
ФГБОУ ВПО
«Уральский государственный горный
университет»
Кафедра «Геоинформатики»
Курсовая работа
Дисциплина: «Информационные
технологии»
Тема: «Спектральное представление
сигналов»
Студент: Дураков В.С.
Руководитель: к.г.-м.н., доцент
Серков В.А.
Екатеринбург 2016 г.
Введение
Кроме естественного представления сигналов во временной области в анализе
сигналов и систем широко используется частотное представление. Задачу
представления сигналов в частотной области называют также спектральным
анализом, гармоническим анализом, частотным анализом, или Фурье-анализом.
Многие физические процессы описываются в виде суммы индивидуальных частотных
составляющих. Понятие спектра широко используется в представлении звуков, радио
и телевещании, в физике света, в обработке любых сигналов независимо от
физической природы их возникновения. На нем базируется исключительно
эффективный и очень простой в использовании частотный метод анализа линейных
систем.
Начала спектрального анализа заложены в 18-м веке в работах Бернулли,
Эйлера, Гаусса. Основные результаты получены французскими учеными Ж. Фурье
(1768 - 1830 г.г.) и П. Дирихле (1805 - 1859 г.г.) в 19-м столетии. Как
самостоятельная прикладная область спектральный анализ сформировался во второй
половине 20-го века.
Спектральный анализ основывается на классических рядах Фурье и
преобразовании Фурье. Ряды Фурье используются для периодических сигналов и
сигналов, заданных на конечном интервале времени
. В последнем случае сигнал может
быть периодически продолжен с периодом
.
Преобразование Фурье применяется для непериодических сигналов, заданных
на всей временной оси
.
Основная задача спектрального анализа заключается в определении
частотного спектра сигнала (функции). Любой сигнал может быть представлен своим
частотным спектром.
Обычное гармоническое колебание (гармонический сигнал)
характеризуется: 1. амплитудой A > 0, 2. Частотой
, 3. начальной фазой
.
Параметры А,
,
дают полное описание гармонического
сигнала в частотной области в виде спектра, представляющего значение амплитуды
и начальной фазы в зависимости от частоты гармоники
. Задавая эти параметры, можно
определить гармонический сигнал двумя способами:
. Как косинусоидальное колебание с амплитудой А, частотой
и фазой
,
2. Как сумму двух комплексных экспонент (гармоник),
каждая с амплитудой
. При этом одна составляющая имеет частоту
и фазу
, другая - отрицательную
частоту
и отрицательную фазу
.
Оба представления дают одинаковый результат, но во многих
случаях комплексная форма оказывается более эффективной для инженерных задач.
Комплексный ряд Фурье
Сигнал x(t) является периодическим, если он точно повторяет свои значения
через интервал времени, называемый периодом Т, т.е.
,
.
Примеры периодических сигналов разной формы с периодом Т = 0,2с
спектральный анализ фурье
Реальные периодические сигналы могут быть разложены в ряд Фурье, т.е.
представлены в виде суммы гармоник кратных частот. Такое представление и играет
исключительно важную роль во многих практических приложениях: электроника,
связь, обработка сигналов, акустика, музыка и др.
Теорема математического анализа:
Любой конечный периодический сигнал (функция) x(t), определенный
для всех действительных t или
на конечном интервале времени
, можно представить рядом Фурье.
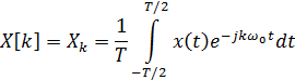
Комплексная (экспоненциальная) форма ряда Фурье:
выражение синтеза сигнала
- основная частота,
- основная угловая частота.
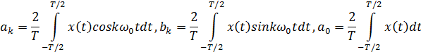
При этом коэффициенты комплексного ряда Фурье определяются по выражению:
выражение анализа сигнала.
Пределы интегрирования могут быть заменены на любой интервал
длительностью период (Т), например, от 0 до Т или от -Т/2 до Т/2 и т.п.
Коэффициенты Фурье полностью определяют сигнал x(t) в частотной области.
В математическом анализе доказывается, что если периодическая функция
x(t) (сигнал) удовлетворяет условиям Дирихле, то её ряд Фурье сходится к самой
функции в точках непрерывности функции и к полусумме
в точках разрыва,
Условия Дирихле:
. Функция x(t) абсолютно сходится в пределах периода, т.е.,
. x(t) на интервале Т имеет конечное число максимумов/минимумов и
разрывов первого рода.
Любой реальный сигнал удовлетворяет условиям Дирихле.
На конечном временном интервале x(t) должна иметь конечное число
максимумов и минимумов и конечное число разрывов первого рода.
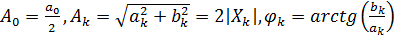
Применим формулу Эйлера
в выражении для
, тогда:
Здесь
В общем случае коэффициенты Фурье
являются комплексными числами, т.е.
, - модуль коэффициента,
- аргумент (фаза)
.
Поскольку в выражении
косинус является четной функцией значения k, а синус -
нечетной, то Фурье - коэффициенты для действительного сигнала x(t) обладают
следующими свойствами симметрии

- нечетная функция k
Здесь используется тот факт, что произведение нечетных
функций дает четную функцию, а частное четной и нечетной функции - нечетную
функцию.
Следовательно, исходя из соответствующей симметрии спектров-
четной или нечетной, достаточно рассматривать амплитуды
и фазы гармоник
только для положительных
частот
(положительные значения k). Для отрицательных
частот спектры всегда могут быть получены из соображений четной или нечетной
симметрии.
Тригонометрические формы ряда Фурье
Для действительных периодических сигналов чаще используются
тригонометрические формы ряда Фурье, как более простые для вычислений
Тригонометрические формы можно получить из комплексной с помощью формулы
Эйлера
и дальнейших преобразований. Покажем
это подробнее:
Поскольку cos(x) = cos(-x), sin(x)=-sin(-x), то
- это комплексно - сопряженное
значение
, поэтому предыдущее выражение можно
записать в таком виде:
Сумма и разность комплексно - сопряженных чисел
и
равны соответственно
C учетом
этих равенств:
Учтем также известное тригонометрическое тождество для косинуса:
При этом предыдущее выражение запишем в виде:
Обозначим
, тогда получаем:
-это тригонометрическая форма ряда Фурье.
Если обозначить
, то получим другую тригонометрическую форму ряда Фурье:
Здесь
при этом коэффициенты ряда:
Для четных сигналов коэффициенты
, т.к.
и ряд содержит только косинусы. Для
нечетных сигналов
, поскольку
.
В результате упрощается вычисление коэффициентов Фурье. Если сигнал задан
на конечном интервале
, то его можно периодически продолжить четным или нечетным
образом и тем самым достигнуть упрощения разложения в ряд Фурье.
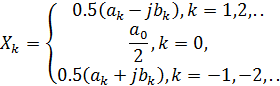
В заключение укажем соответствия между коэффициентами различных форм ряда
Фурье:
;
;
Амплитудный и фазовый спектры периодического
сигнала
Разложение в ряд Фурье является основой спектрального представления
периодических сигналов.
Совокупность коэффициентов
или
образует амплитудный частотный
спектр периодического сигналa. Это
зависимость амплитуд гармоник сигнала от частоты. Набор
- фазовый спектр, зависимость
начальных фаз гармоник от частоты. При этом односторонний спектр имеет
составляющие только на частотах
, -двусторонний - на частотах
, -Член ряда с k=0 называется постоянной составляющей
(ПС), с k=1 - первой, или основной гармоникой,
k=2 - второй гармоникой сигнала и т.д.
Обычно спектры для наглядности представляются в виде графиков. В любом случае
для периодических сигналов характер спектров - линейчатый.
Общий вид амплитудного спектра. Амплитуды гармоник
при возрастании k.
Частота и номер гармоники связаны очень просто:
или
Спектр фаз
- нечетная функция аргумента k.
Общий вид:
Ввиду четной/нечетной симметрии спектров для действительных сигналов
достаточно отображать только часть спектра, соответствующую положительным
частотам, т.е. использовать односторонние спектры.
Заключение
Задачу представления сигналов в частотной области называют спектральным
анализом или Фурье-анализом. Спектральный анализ широко используется в ряде
прикладных областей, в том числе обработке сигналов.
Спектральный анализ периодических сигналов основывается на
разложении сигнала в ряд Фурье.
Комплексная форма ряда Фурье:
Тригонометрические ряды Фурье:
Амплитудный спектр периодического сигнала - это зависимость амплитуд
гармоник сигнала
или
от частоты или номера гармоники.
фазовый спектр - зависимость начальных фаз гармоник сигнала
от частоты или номера гармоники.
Гармоники - собственные функции линейных систем.
Спектры полностью определяют сигнал.
Литература
1. Баскаков С.И. Радиотехнические цепи и сигналы:
Учебник для вузов. -М.: Высшая школа, 2000. -462 с
. Солонина А.И. и др. Основы цифровой обработки
сигналов. Учебное пособие. - СПб.: БХВ Петербург, 2005. - 768 с.
. Давыдов А.В. Сигналы и линейные системы:
Тематические лекции: учебное пособие в электронной форме,- Екатеринбург, УГГУ,
ИГиГ. каф. ГИН - http://www.prodav.narod.ru/signal/index.html