Преобразование сигналов
Министерство
образования Российской Федерации
Кабардино-Балкарский
государственный университет им. Х. М. Бербекова
Факультет
Микроэлектроники и компьютерных технологий
КУРСОВАЯ
РАБОТА
по
дисциплине:
Радиотехнические
цепи и сигналы
Тема:
Преобразование
сигналов
Выполнил:
студент III курса БРЭА
Хахоков А.Р.
Нальчик
Содержание
радиотехнический сигнал импульс
1.1 Общие
сведения о радиотехнических сигналах
.2
Спектральное представление сигнала
.3 Анализ
периодических сигналов посредством рядов Фурье
.4
Автокорреляционная функция сигнала
. Техническое
задание: импульс
.
Преобразование заданного графического изображения импульса в аналитическую
форму
. Разложение
заданного импульса в тригонометрический ряд Фурье с нахождением коэффициентов
разложения
.1 Построение
графических зависимостей полученных результатов
. Нахождение
автокорреляционной функции сигнала и построение его графика
. Зависимости
энергии сигнала от номера гармоники
.1 Построение
графика зависимости энергии сигнала от номера гармоники
. Синтез
Фурье (расчёт и графические зависимости)
Заключение
Список
используемой литературы
1.1 Общие сведения о радиотехнических сигналах
При передаче информации на расстояние с помощью радиотехнических систем
используются различные виды радиотехнических (электрических) сигналов.
Традиционно радиотехническими сигналами принято считать любые электрические
сигналы, относящиеся к радиодиапазону. С математической точки зрения, всякий
радиотехнический сигнал можно представить некоторой функцией времени u(t),
которая характеризует изменение его мгновенных значений напряжения (чаще
всего), тока или мощности. По математическому представлению все многообразие
радиотехнических сигналов принято делить на две основные группы:
детерминированные (регулярные) и случайные сигналы.
Детерминированными называют радиотехнические сигналы, мгновенные значения
которых в любой момент времени достоверно известны, т. е., предсказуемы с
вероятностью, равной единице /1/. Примером детерминированного радиотехнического
сигнала может служить гармоническое колебание. Следует отметить, что по сути
дела детерминированный сигнал не несет в себе никакой информации и практически
все его параметры можно передать по каналу радиосвязи одним или несколькими
кодовыми значениями. Другими словами, детерминированные сигналы (сообщения) по
существу не содержат в себе информации, и нет смысла их передавать.
Случайные сигналы - это сигналы, мгновенные значения которых в любые
моменты времени не известны и не могут быть предсказаны с вероятностью, равной
единице /1/. Практически все реальные случайные сигналы или большинство из них,
представляют собой хаотические функции времени.
По особенностям структуры временного представления все радиотехнические
сигналы делятся на непрерывные и дискретные. а по типу передаваемой информации:
на аналоговые и цифровые. В радиотехнике широко применяются импульсные системы,
действие которых основано на использовании дискретных сигналов. Одной из
разновидностей дискретных сигналов является цифровой сигнал /1/. В нем дискретные
значения сигнала заменяются числами, чаще всего реализованными в двоичном коде,
который представляют высоким (единица) и низким (нуль) уровнями потенциалов
напряжения.
Функции, описывающие сигналы, могут принимать как вещественные, так и
комплексные значения. Поэтому в радиотехнике говорят о вещественных и
комплексных сигналах. Применение той или иной формы описания сигнала дело
математического удобства[1].
.2 Разложение сигналов по гармоническим функциям
Спектральная (частотная) форма представления сигналов использует
разложение сигнальных функций на периодические составляющие.
Периодичность гармонических колебаний исследовал еще в VI веке до нашей
эры Пифагор и даже распространил ее на описание гармонического движения
небесных тел. Термин "spectrum" впервые применил И. Ньютон в 1571
году при описании разложения на многоцветную полосу солнечного света,
проходящего через стеклянную призму, и дал первую математическую трактовку
периодичности волновых движений. В 18-м веке Д. Бернулли, Л. Эйлер и Ж. Лагранж
в своих работах по математике и физике показали, что произвольные периодические
функции представляют собой суммы простейших гармонических функций - синусов и
косинусов кратных частот. Эти суммы получили название рядов Фурье, после того
как в 1807 году французский инженер Жан Батист Фурье обосновал метод вычисления
коэффициентов тригонометрического ряда, которым можно отображать с абсолютной
точностью (при бесконечном числе членов ряда) или аппроксимировать с заданной
точностью (при ограничении числа членов ряда) любую периодическую функцию,
определенную на интервале одного периода T = b-a, и удовлетворяющую условиям
Дирехле (ограниченная, кусочно-непрерывная, с конечным числом разрывов 1-го
рода). Разложение
сигнала на гармонические функции получило название прямого преобразования Фурье
(Fourier transform). Обратный процесс - синтез сигнала по гармоникам -
называется обратным преобразованием Фурье (inverse Fourier transform).
На первых этапах своего развития данное направление, получившее название
гармонического анализа, имело теоретический характер и использовалось в
естественных науках для выявления и изучения состава периодических составляющих
в различных явлениях и процессах (активность солнца, девиация магнитного поля
Земли, метеорологические наблюдения, и т.п.). Теория гармонического анализа
была развита в работах Дирехле, Гаусса, Чебышева, Винера и других с
распространением на произвольные функции с бесконечным периодом (интегралы
Фурье).
Положение резко изменилось с появлением электро- и радиотехнических
отраслей науки и техники, где гармонический состав сигналов приобрел конкретный
физический смысл, а математический аппарат спектрального преобразования функций
стал основным инструментом анализа и синтеза сигналов и систем. В настоящее
время спектральный анализ является основным методом обработки экспериментальных
данных во многих отраслях науки и техники.
Спектральное преобразование представляет собой перевод исходных
динамических функций на новый координатный базис. Выбор рациональной ортогональной
системы координатного базиса функций зависит от цели исследований и
определяется стремлением максимального упрощения математического аппарата
анализа, преобразований и обработки данных. В качестве базисных функций
используются полиномы Чебышева, Эрмита, Лежандра и другие. Наибольшее
распространение получило преобразование сигналов в базисах гармонических
функций: комплексных экспоненциальных exp(j2ft) и вещественных тригонометрических
синус-косинусных функций, связанных друг с другом формулой Эйлера. Это
объясняется тем, что гармонические колебания сохраняют свою форму при
прохождении через любую линейную цепь, изменяются только амплитуда и фаза
колебаний, что удобно для анализа систем преобразования сигналов.
Ряды Фурье произвольных периодических сигналов могут содержать бесконечно
большое количество членов. Одним из достоинств преобразования Фурье является
то, что при ограничении ряда Фурье до любого конечного числа его членов
обеспечивается наилучшее по средней квадратической погрешности приближение к
исходной функции (для данного количества членов).
Спектральный анализ часто называют частотным анализом. Термин
"частотный" обязан происхождением обратной переменной f = 1/|t|
временного представления сигналов и функций. Понятие частотного преобразования
не следует связывать только с временными функциями, т.к. математический аппарат
преобразования не зависит от физического смысла независимых переменных. Так,
при переменной "х", как единице длины, значение f представляет собой
пространственную частоту с размерностью 1/|х| - число периодических изменений
сигнала на единице длины.
В математическом аппарате спектрального анализа удобно использовать
угловую частоту = 2f. Для процессов по другим
независимым переменным в технической литературе вместо индекса частоты f часто
используется индекс v, а для угловой частоты индекс k = 2v, который
называют волновым числом.
Процедура анализа спектральным методом прохождения произвольного сигнала
x(t) через произвольную линейную систему с импульсным откликом h(t) включает:
· определение спектральной функции X() ↔ x(t) входного сигнала с помощью прямого преобразования Фурье;
· определение комплексной передаточной характеристики H() ↔ h(t) линейной
системы;
· определение спектральной функции сигнала Y() = X() H() на выходе системы;
· определение выходного сигнала y(t) ↔ Y() с помощью обратного преобразования
Фурье.
Таким образом, анализ переходного процесса, вызываемого в системе входным
сигналом, сводится к анализу стационарных решений воздействия на систему простых
гармонических составляющих, каждая из которых действует от t = -∞ до ∞.
Помимо задач, связанных с анализом в системах переходных процессов,
спектральными методами решаются также задачи синтеза систем, обладающих
требуемой передаточной характеристикой и позволяющей получить на выходе сигнал
заданной формы при определённом входном воздействии на систему.
Понятие собственных функций. Удобство использования частотного
представления сигналов заключается в том, что гармонические функции являются
собственными функциями операций переноса, интегрирования, дифференцирования и
других линейных операций, инвариантных по координатам. Они проходят через линейные системы
без изменения формы и частоты гармоники, изменяется только начальная фаза и
амплитуда колебаний.
Допустим, что сигнал является линейной комбинацией функций синуса и
косинуса:
(х) = А sin(х)+B cos(х). (1.1)
Сдвинем сигнал по аргументу на величину h. При этом получаем:
(х+h) = C sin(х)+D cos(х ), (1.2)
C = А cos(h) - B sin(h), D = A
sin(h) + B cos(h), (1.3)
где коэффициенты C и D, как и в исходном выражении коэффициенты А и В, не
зависят от аргумента, при этом C2+D2 = А2+В2.
Таким образом, при произвольном переносе функции по аргументу (а равно и при
интегрировании, дифференцировании и других линейных преобразованиях) любую
линейную комбинацию синуса и косинуса можно представить линейной комбинацией
этих же функций.
Экспоненциальная комплексная запись гармонических функций делает это
свойство еще нагляднее. Для произвольной гармонической функции имеем:
cos(t-) = A cos(t)+B sin(t), (1.4)
где A = cos(), B = sin(), - начальный
фазовый угол колебания при t = 0. Переходя к комплексной записи данной функции
с использованием тождеств Эйлера
cos(t) = [ехр(jt)+exp(-jt)]/2,
sin(t) = [ехр(jt)-exp(-jt)]/2j, (1.5)
получаем:
cos(t-) = C exp(jt)+C*exp(-jt),
где: C = 0,5 exp(-j), C* = 0,5 exp(j) - величина,
комплексно сопряженная с С.
Применяя в качестве гармонической составляющей разложения сигнала функцию
ехр(jt), можно рассматривать вторую функцию ехр(-jt),
комплексно сопряженную с первой, как такую же составляющую, но с отрицательной
частотой. Естественно, что отрицательная частота является математической
абстракцией, но нужно помнить, что пара таких комплексно сопряженных
составляющих в сумме всегда дает вещественную функцию, т.е. является
отображением (образом) вещественной функции в новом математическом
пространстве, базисом которого являются комплексные экспоненциальные функции.
Экспоненциальные функции также являются собственными функциями линейных
операций. Для операции переноса по аргументу:
exp[j(t+h)] = exp(jh)·exp(jt) = H() exp(jt), (1.6)
где Н() = exp(jh) - собственное значение операции
переноса, независимое от переменной.
Для операции дифференцирования:
[exp(jt)]/dt = j
exp(jt), H() = j. (1.7)
Для операции интегрирования:
exp(jt)
dt = (1/j) exp(jt), H() = 1/j
В
общей форме, для любых линейных операций преобразования:
Т[exp(jt)]
= H() exp(jt), (1.9)
У
специалистов - практиков существует предубеждение против использования
комплексных функций с их мнимыми частотами. Поэтому в дальнейшем будем
использовать и вещественные функции, и их комплексные аналоги, по крайней мере,
до тех пор, пока простота и удобство использования последних не станет
очевидным[2].
1.3
Ряды Фурье
Разложению
в ряды Фурье подвергаются периодические сигналы. Периодическую функцию любой
формы, заданную на интервале одного периода Т = b-a и удовлетворяющую на этом
интервале условиям Дирехле (ограниченная, кусочно-непрерывная, с конечным
числом разрывов 1-го рода), можно представить в виде ряда Фурье:
s(t) =
Sn
exp(jnt), Sn = S(n), 2/T, (1.10)
где
весовые коэффициенты Sn ряда определяются по формуле:
Sn = (1/T)
s(t)
exp(-jnt) dt. (1.11)
Ряд Фурье представляет собой ансамбль комплексных экспонент exp(jnt)
с частотами, образующими арифметическую прогрессию. Функцию весовых
коэффициентов S(n) принято называть комплексным спектром
периодического сигнала или фурье-образом функции s(t). Спектр периодического
сигнала является дискретной функцией, т.к. он определен только для целых
значений n с шагом по частоте, обратным периоду: = 2/Т
(или f = 1/T). Первую частотную составляющую спектра при n = 1, равную 1
= 1× = 2/T (или f1
= 1/T), называют основной частотой сигнала (первой гармоникой), остальные
частоты дискретного спектра n при n>1 называют
гармониками сигнала. Значения S(n) по положительным и
отрицательным значениям n являются комплексно сопряженными. Шаг по частоте между двумя соседними синусоидами
называется частотным разрешением спектра.
С чисто математических позиций множество функций exp(jnt),
-¥ < n < ¥ образует бесконечномерный базис
линейного пространства L2[a,b] ортогональных синус-косинусных
функций, а коэффициенты Sn по (1.11) представляют собой проекции
сигнала s(t) на эти базисные функции. Соответственно, сигнал s(t) в форме ряда
Фурье (10) - это бесконечномерный вектор в пространстве L2[a,b],
точка с координатами Sn по базисным осям пространства exp(jnt).
Коэффициенты Sn в (1.11) отображают функцию s(t) в новое
пространство единственным образом. Если функция s(t) непрерывна, то ряд (1.10)
сходится равномерно к s(t), при этом ошибка аппроксимации ||s(t)-sN(t)||
функции s(t) с усечением ряда (1.10) до ±N членов меньше ошибки аппроксимации
любым другим рядом с тем же количеством членов. Если s(t) не является
непрерывной (имеет разрывы), но конечна по энергии (квадратично интегрируема),
то метрика ||s(t)-sN(t)|| стремится к нулю при N → ∞, при этом в точках разрыва сумма ряда
стремится к (s(t+)+s(t-))/2.
Подынтегральную функцию экспоненты в выражении (1.11) с использованием
тождества Эйлера
exp(±jt) = cos(t) ± j×sin(t) (1.12)
можно разложить на косинусную и синусную составляющие и выразить
комплексный спектр в виде действительной и мнимой части:
Sn = (1/T)
s(t)
[cos(nt) - j sin(nt)] dt
= Аn -
jBn. (1.13) n ≡ A(n)
= (1/T)
s(t) cos(nt) dt, (1.14)n ≡ B(n) = (1/T)
s(t)
sin(nt) dt. (1.15)
На
рис. 1 приведен пример периодического сигнала (прямоугольный импульс на
интервале (1-3.3), повторяющийся с периодом Т=40) и форма действительной и
мнимой части его спектра. Обратим внимание, что действительная часть спектра
является четной относительно нуля функцией A(n) = A(-n),
так как при вычислении значений A(n) по формуле (14)
используется четная косинусная функция cos(nt) = cos(-nt).
Мнимая часть спектра является нечетной функцией B(n) = -B(-n),
так как для ее вычисления по (15) используется нечетная синусная функция sin(nt)
= - sin(-nt).
Рис.
4.1.1. 1 Сигнал и его комплексный спектр.
Комплексные
числа дискретной функции (13) могут быть представлены в виде модулей и
аргументов комплексной экспоненты, что дает следующую форму записи комплексного
спек Sn = Rn exp(jn),
Rn2 ≡ R2(n) = A2(n)+B2(n), (1.16)
n ≡ (n)
= arctg(-B(n)/A(n)).
(1.17)
Модуль
спектра R(n) называют двусторонним спектром
амплитуд или АЧХ - амплитудно-частотной характеристикой сигнала, а аргумент
спектра (последовательность фазовых углов (n)) -
двусторонним спектром фаз или ФЧХ - фазочастотной характеристикой. Спектр
амплитуд всегда представляет собой четную функцию: R(n) = R(-n),
а спектр фаз нечетную: (n) = -(-n).
Пример спектра в амплитудном и фазовом представлении для сигнала, показанного
на рис. 1, приведен на рис. 2. При рассмотрении спектра фаз следует учитывать
периодичность 2 угловой частоты (при уменьшении фазового значения до
величины менее - происходит сброс значения -2).
Рис.
2 Модуль и аргумент спектра.
Рис. 3 Ортогональность функций.
Если функция s(t) является четной, то все значения B(n)
по (1.15) равны нулю, т.к. четные функции ортогональны синусным гармоникам и
подынтегральное произведение s(t)·sin(nt) дает нулевой
интеграл. Следовательно, спектр функции будет представлен только вещественными
коэффициентами. Напротив, при нечетности функции s(t) обнуляются все значения
коэффициентов А(n) (нечетные функции ортогональным косинусным
гармоникам) и спектр является чисто мнимым. Этот фактор не зависит от выбора
границ задания периода функции на числовой оси. На рис. 3(А) можно наглядно
видеть ортогональность первой гармоники синуса и четной функции, а на рис. 3(В)
соответственно косинуса и нечетной функции в пределах одного периода. Учитывая
кратность частот последующих гармоник первой гармонике спектра, ортогональность
сохраняется для всех гармоник ряда Фурье[3].
При n = 0 имеем Во = 0, и получаем постоянную составляющую
сигнала:
S0 ≡ Ao ≡ Ro
≡ (1/T)
s(t) dt. (1.18)
Тригонометрическая
форма рядов Фурье. Объединяя в (1.10)
комплексно сопряженные составляющие (члены ряда, симметричные относительно
центрального члена ряда S0), можно перейти к ряду Фурье в
тригонометрической форме:
s(t) = Ао+2
(An
cos(nt) + Bn sin(nt)), (1.19) s(t) = Ао+
2Rn
cos(nt + n). (1.19')
Значения
An, Bn вычисляются по формулам (1.14-1,15), значения Rn
и nпо (1.13').
Ряд
(1.19) представляют собой разложение периодического сигнала s(t) на сумму
вещественных элементарных гармонических функций (косинусных и синусных) с
весовыми коэффициентами, удвоенные значения которых (т.е. значения 2An,
2Bn) не что иное, как реальные амплитуды соответствующих
гармонических колебаний с частотами n. Совокупность амплитудных
значений этих гармоник образует односторонний физически реальный (только для
положительных частот n) спектр сигнала. Для сигнала на рис. 1,
например, он полностью повторяет правую половину приведенных на рисунке
спектров с удвоенными значениями амплитуд (за исключением значения Ао
на нулевой частоте, которое, как это следует из (1.19), не удваивается). Но
такое графическое отображение спектров используется довольно редко.
В
технических приложениях более широкое применение для отображения физически
реальных спектров находит формула (1.19'). Спектр амплитуд косинусных гармоник
2Rn при таком отображении называется амплитудно-частотным составом
сигнала, а спектр фазовых углов гармоник - фазовой характеристикой сигнала.
Форма спектров повторяет правую половину соответствующих двусторонних спектров
(см. рис. 2) также с удвоенными значениями амплитуд. Для четных сигналов
отсчеты фазового спектра могут принимать только значения 0 или , для
нечетных соответственно ±/2.
Рис. 3 Разложение сигнала в комплексный ряд Фурье.
На рис. 3 показано разложение в комплексный ряд Фурье модельного сигнала,
выполненное в среде Mathcad. Модель сигнала задана с тремя разрывами первого
рода (скачками). Любой скачок функции содержит все частоты диапазона до
бесконечности, в связи с чем ряд Фурье также бесконечен и очень медленно
затухает. На рисунке приведены значения только первых 100 членов ряда, при этом
график спектра сигнала, как это обычно принято на практике, построен в виде
огибающей значений модулей коэффициентов ряда Sn и только по области
положительных значений n.
Программа на рис. 4 продолжает программу рис. 3 и показывает
реконструкцию сигнала по его спектру при ограничении числа членов ряда Фурье.
На верхнем графике рисунка приведен реконструированный сигнал при N = 8
(гармоники первого пика спектра, центр которого соответствует главной гармонике
сигнала и члену ряда n = s/, N = 16
(гармоники двух первых пиков) и N=40 (пять первых пиков спектра). Естественно,
что чем больше членов ряда включено в реконструкцию, тем ближе
реконструированный сигнал к форме исходного сигнала.
Принцип последовательного приближения к исходной форме наглядно виден на
нижнем графике рисунка. На нем же можно видеть и причины появления пульсаций на
реконструкции скачков функций, которые носят название эффекта Гиббса. При
изменении количества суммируемых членов ряда эффект Гиббса не исчезает. Не
изменяется также относительная амплитуда пульсаций (по отношению к амплитуде
скачка) и относительное затухание (по коэффициенту последовательного уменьшения
амплитуды пульсаций по отношению к максимальному выбросу), изменяется только
частота пульсаций, которая определяется частотой последних суммируемых
гармоник.
Рис. 4 Реконструкция сигнала (продолжение программы на рис. 3)
Эффект Гиббса имеет место всегда при резких нарушениях монотонности
функций. На скачках эффект максимален, во всех других случаях амплитуда
пульсаций зависит от характера нарушения монотонности функции. Пример явления
Гиббса для радиоимпульса приведен на рис. 5 (использована программа на рис. 3,
точками показан реконструированный сигнал с увеличением масштаба в 10 раз).
Рис. 5
На рис. 6 приведен пример разложения в ряд Фурье одного периода T=(a,c)
модельного периодического сигнала sq(x), представленного информационным
сигналом s(x) в сумме с шумовым сигналом. Спектр шумов близок к спектру белого
шума (равномерное распределение энергии шумов по всем частотам спектра).
На спектре модельного сигнала достаточно четко выделяется диапазон частот
информационного сигнала. Реконструкция сигнала с ограничением ряда Фурье
гармониками только информационного сигнала (сигнал sr5(x), N=5) дает сглаженную
форму сигнала по минимуму среднеквадратического расхождения с модельным
сигналом для данного количества членов ряда, но только по периоду разложения
(а, с), и наиболее точное приближение к информационному сигналу. При увеличении
в реконструкции количества членов ряда Фурье восстановленный сигнал начинает
приближаться к модельному сигналу, но только по данному периоду T=(a,c), при
этом расхождение с информационным сигналом увеличивается. Заметим, что спектр
сигнала может определяться и по нескольким периодам сигнала, что повышает
точность реконструкции информационного сигнала.
Рис. 6
Рис. 7
В ряд Фурье может разлагаться и произвольная непериодическая функция,
заданная (ограниченная, вырезанная из другого сигнала, и т.п.) на интервале
(a,b), если нас не интересует ее поведение за пределами данного интервала.
Однако следует помнить, что применение формул (10-19) автоматически означает
периодическое продолжение данной функции за пределами заданного интервала (в
обе стороны от него) с периодом Т = b-a. При этом на краях интервала может
возникнуть явление Гиббса, если уровень сигнала на краях не совпадает и
образуются скачки сигнала при его периодическом повторении, как это видно на
рис. 7 При разложении исходной функции в ограниченный ряд Фурье и его обработке
в частотной области на самом деле при этом обрабатывается не исходная функция,
а реконструированная из ограниченного ряда Фурье.
При усечении рядов Фурье определенное искажение функций существует
всегда. Но при малой доле энергии отсекаемой части сигнала (при быстром
затухании спектров функций) этот эффект может быть и мало заметен. На скачках и
разрывах функций он проявляется наиболее ярко[4].
.4 Автокорреляционные функции сигналов
Понятие автокорреляционных функций сигналов. Автокорреляционная функция (АКФ, CF
- correlation function) сигнала s(t), конечного по энергии, является
количественной интегральной характеристикой формы сигнала, выявления в сигнале
характера и параметров взаимной временной связи отсчетов, что всегда имеет
место для периодических сигналов, а также интервала и степени зависимости
значений отсчетов в текущие моменты времени от предыстории текущего момента.
АКФ определяется интегралом от произведения двух копий сигнала s(t), сдвинутых
относительно друг друга на время :
Bs() =
s(t)
s(t+) dt = ás(t),
s(t+)ñ = ||s(t)|| ||s(t+)|| cos ().
(1.20)
Как
следует из этого выражения, АКФ является скалярным произведением сигнала и его
копии в функциональной зависимости от переменной величины значения сдвига .
Соответственно, АКФ имеет физическую размерность энергии, а при = 0
значение АКФ непосредственно равно энергии сигнала и является максимально
возможным (косинус угла взаимодействия сигнала с самим собой равен 20):
Bs(0)
=
s(t)2 dt = Es. (1.21)
АКФ
относится к четным функциям, в чем нетрудно убедиться заменой переменной t = t-
в выражении (1):
Bs() =
s(t-) s(t) dt = Bs(-).
(1.22)
Максимум
АКФ, равный энергии сигнала при =0, всегда положителен, а модуль АКФ
при любом значении временного сдвига не превосходит энергии сигнала. Последнее
прямо вытекает из свойств скалярного произведения (как и неравенство
Коши-Буняковского):
s(t), s(t+)ñ = ||s(t)||×||s(t+||×cos (), (1.23)
cos () = 1 при = 0, ás(t), s(t+)ñ = ||s(t)||×||s(t)|| = Es,(1.24) (1.24)
cos () < 1 при ¹ 0, ás(t), s(t+)ñ = ||s(t)||×||s(t+)||×cos () < Es. (1.25)
Рис. 8
В
качестве примера на рис.8 приведены два сигнала - прямоугольный импульс и
радиоимпульс одинаковой длительности Т, и соответствующие данным сигналам формы
их АКФ. Амплитуда колебаний радиоимпульса установлена равной
амплитуды прямоугольного импульса, при этом энергии
сигналов также будут одинаковыми, что подтверждается равными значениями
центральных максимумов АКФ. При конечной длительности импульсов длительности
АКФ также конечны, и равны удвоенным значениям длительности импульсов (при
сдвиге копии конечного импульса на интервал его длительности как влево, так и
вправо, произведение импульса со своей копией становится равным нулю). Частота
колебаний АКФ радиоимпульса равна частоте колебаний заполнения радиоимпульса
(боковые минимумы и максимумы АКФ возникают каждый раз при последовательных
сдвигах копии радиоимпульса на половину периода колебаний его заполнения).
С
учетом четности, графическое представление АКФ обычно производится только для
положительных значений . На практике сигналы обычно задаются на
интервале положительных значений аргументов от 0-Т. Знак + в выражении
(1.1) означает, что при увеличении значений копия сигнала s(t+)
сдвигается влево по оси t и уходит за 0. Для цифровых сигналов это требует
соответствующего продления данных в область отрицательных значений аргумента. А
так как при вычислениях интервал задания обычно много меньше интервала
задания сигнала, то более практичным является сдвиг копии сигнала влево по оси
аргументов, т.е. применение в выражении (1.20) функции s(t-) вместо
s(t+).
s() =
s(t) s(t-) dt. (1.25')
Для
финитных сигналов по мере увеличения значения величины сдвига
временное перекрытие сигнала с его копией уменьшается, а, соответственно,
косинус угла взаимодействия и скалярное произведение в целом стремятся к нулю:
АКФ,
вычисленная по центрированному значению сигнала s(t),
представляет собой автоковариационную функцию сигнала:
Cs() =
[s(t)-s][s(t+)-s]
dt, (1.27)
где
s - среднее значение сигнала. Ковариационные функции
связаны с корреляционным функциями достаточно простым соотношением:
Cs()
= Bs() - s2. (1.28)
АКФ
сигналов, ограниченных во времени. На
практике обычно исследуются и анализируются сигналы, заданные на определенном
интервале. Для сравнения АКФ сигналов, заданных на различных временных
интервалах, практическое применение находит модификация АКФ с нормировкой на длину
интервала. Так, например, при задании сигнала на интервале [a, b]:
s() =
s(t) s(t+) dt. (1.29)
АКФ
может быть вычислена и для слабозатухающих сигналов с бесконечной энергией, как
среднее значение скалярного произведения сигнала и его копии при устремлении
интервала задания сигнала к бесконечности:
s()
. (1.30)
АКФ
по данным выражениям имеет физическую размерность мощности, и равна средней
взаимной мощности сигнала и его копии в функциональной зависимости от сдвига
копии.
АКФ
периодических сигналов. Энергия
периодических сигналов бесконечна, поэтому АКФ периодических сигналов
вычисляется по одному периоду Т, с усреднением скалярного произведения сигнала
и его сдвинутой копии в пределах периода:s() = (1/Т)
s(t) s(t-) dt. (1.31)
Математически
более строгое выражение:
s()
. (1.32)
При
=0 значение нормированной на период АКФ равно средней мощности сигналов
в пределах периода. При этом АКФ периодических сигналов является периодической
функцией с тем же периодом Т. Так, для сигнала s(t) = A cos(0t+0)
при T=2/0 имеем:
Bs() =
A cos(0t+0) A cos(0(t-)+0) = (A2/2) cos(0). (1.33)
Рис. 9
Полученный результат не зависит от начальной фазы гармонического сигнала,
что характерно для любых периодических сигналов и является одним из свойств
АКФ. С помощью функций автокорреляции можно проверять наличие периодических
свойств в любых произвольных сигналах. Пример автокорреляционной функции
периодического сигнала приведен на рис.8
Функции автоковариации (ФАК) вычисляются аналогично, по
центрированным значениям сигнала. Замечательной особенностью этих функций
являются их простые соотношения с дисперсией s2 сигналов (квадратом стандарта - среднего
квадратического отклонения значений сигнала от среднего значения). Как
известно, значение дисперсии равно средней мощности сигналов, откуда следует:
|Cs()| ≤ s2, Cs(0) = s2 º ||s(t)||2. (1.34)
Значения ФАК, нормированные на значение дисперсии, представляют собой
функцию автокорреляционных коэффициентов:
s()
= Cs()/Cs(0) = Cs()/s2 º cos ). (1.35)
Иногда эту функцию называют "истинной" автокорреляционной
функцией. В силу нормировки ее значения не зависят от единиц (масштаба)
представления значений сигнала s(t) и характеризуют степень линейной
связи между значениями сигнала в зависимости от величины сдвига между отсчетами сигнала. Значения s()
º cos () могут изменяться от 1 (полная
прямая корреляция отсчетов) до -1 (обратная корреляция).
Рис. 10
На рис. 10 приведен пример сигналов s(k) и s1(k) = s(k)+шум с
соответствующими этим сигналам коэффициентами ФАК - s и s1. Как видно на
графиках, ФАК уверенно выявила наличие периодических колебаний в сигналах. Шум
в сигнале s1(k) понизил амплитуду периодических колебаний без изменения
периода. Это подтверждает график кривой Cs/s1, т.е. ФАК сигнала s(k) с нормировкой (для
сопоставления) на значение дисперсии сигнала s1(k), где наглядно можно видеть,
что шумовые импульсы при полной статистической независимости своих отсчетов
вызвали увеличение значения Сs1(0) по отношению к значению Cs(0) и несколько "размыли" функцию коэффициентов
автоковариации. Это вызвано тем, что значение s() шумовых сигналов стремится к 1 при ® 0 и флюктуирует относительно нуля
при ≠ 0, при этом амплитуды
флюктуаций статистически независимы и зависят от количества выборок сигнала
(стремятся к нулю при увеличении количества отсчетов).
АКФ дискретных сигналов. При интервале дискретизации данных t = const
вычисление АКФ выполняется по интервалам = t и обычно
записывается, как дискретная функция номеров n сдвига отсчетов n:
Bs(nt) = t
sk×sk-n.
(1.36)
Дискретные
сигналы обычно задаются в виде числовых массивов определенной длины с
нумерацией отсчетов к = 0,1,…К при t=1, а
вычисление дискретной АКФ в единицах энергии выполняется в одностороннем
варианте с учетом длины массивов. Если используется весь массив сигнала и число
отсчетов АКФ равно числу отсчетов массива, то вычисление выполняется по
формуле:
s(n) =
sk×sk-n.
(.1.37)
Множитель
K/(K-n) в данной функции является поправочным
коэффициентом на постепенное уменьшение числа перемножаемых и суммируемых
значений по мере увеличения сдвига n. Без этой поправки для нецентрированных
сигналов в значениях АКФ появляется тренд суммирования средних значений. При
измерениях в единицах мощности сигнала множитель К/(K-n) заменяется на
множитель 1/(K-n).
Формула
(10) применяется довольно редко, в основном для детерминированных сигналов с
небольшим числом отсчетов. Для случайных и зашумленных сигналов уменьшение
знаменателя (K-n) и числа перемножаемых отсчетов по мере увеличения сдвига
приводит к нарастанию статистических флюктуаций вычисления АКФ. Большую
достоверность в этих условиях обеспечивает вычисление АКФ в единицах мощности
сигнала по формуле:
Bs(n) =
sk×sk-n, sk-n = 0 при
k-n < 0, (1.38)
т.е.
с нормированием на постоянный множитель 1/K и с продлением сигнала нулевыми
значениями (в левую сторону при сдвигах k-n или в правую сторону при
использовании сдвигов k+n). Эта оценка является смещенной и имеет несколько
меньшую дисперсию, чем по формуле (1.30). Разницу между нормировками по
формулам (1.37) и (1.38) можно наглядно видеть на рис.11.
Рис.
11
Формулу
(1.31) можно рассматривать, как усреднение суммы произведений, т.е. как оценку
математического ожидания:
Bs(n) = M{sk sk-n} @
. (1.39)
Практически,
дискретная АКФ имеет такие же свойства, как и непрерывная АКФ. Она также
является четной, а ее значение при n = 0 равно энергии или мощности дискретного
сигнала в зависимости от нормировки.
АКФ
зашумленных сигналов. Зашумленный
сигнал записывается в виде суммы v(k) = s(k)+q(k). В
общем случае, шум не обязательно должен иметь нулевое среднее значение, и
нормированная по мощности автокорреляционная функция цифрового сигнала,
содержащая N - отсчетов, записывается в следующем виде:
Bv(n) = (1/N) ás(k)+q(k), s(k-n)+q(k-n)ñ =
= (1/N) [ás(k),
s(k-n)ñ + ás(k),
q(k-n)ñ + áq(k),
s(k-n)ñ + áq(k),
q(k-n)ñ] =
= Bs(n) + M{sk qk-n}
+ M{qk sk-n} + M{qk qk-n}.v(n) = Bs(n) +
+
+
. (1.40)
При
статистической независимости полезного сигнала s(k) и шума q(k) с учетом
разложения математического ожидания
M{sk qk-n} = M{sk} M{qk-n} = 
(1.41)
может
использоваться следующая формула:
Bv(n) = Bs(n) + 2
+
. (1.41)
Рис. 12
Пример зашумленного сигнала и его АКФ в сопоставлении с незашумленным
сигналом приведен на рис. 5.
Из
формулы (1.40) следует, что АКФ зашумленного сигнала состоит из АКФ сигнальной
компоненты полезного сигнала с наложенной затухающей до значения 2
+
шумовой функцией. При больших значениях K, когда
→ 0, имеет место Bv(n) » Bs(n). Это дает возможность не только выделять по АКФ
периодические сигналы, практически полностью скрытые в шуме (мощность шумов
много больше мощности сигнала), но и с высокой точностью определять их период и
форму в пределах периода, а для одночастотных гармонических сигналов - и их
амплитуду с использованием выражения (1.26).
Таблица 1
|
M
|
Сигнал Баркера
|
АКФ сигнала
|
|
2
|
1, -1
|
2, -1
|
|
3
|
1, 1, -1
|
3, 0, -1
|
|
4
|
1, 1, 1, -1
|
4, 1, 0, -1
|
|
1, 1, -1, 1
|
4, -1, 0, 1
|
|
5
|
1, 1, 1, -1, 1
|
5, 0, 1, 0, 1
|
|
7
|
1, 1, 1, -1, -1, 1, -1
|
|
11
|
1,1,1,-1,-1,-1,1,-1,-1,1,-1
|
11,0,-1,0,-1,0,-1,0,-1,0,-1
|
|
13
|
1,1,1,1,1,-1,-1,1,1-1,1,-1,1
|
13,0,1,0,1,0,1,0,1,0,1,0,1
|
Кодовые сигналы являются разновидностью дискретных сигналов. На определенном
интервале кодового слова М×t они могут иметь только два амплитудных значения: 0 и 1 или 1 и -1. При
выделении кодов на существенном уровне шумов форма АКФ кодового слова имеет
особое значение. С этой позиции наилучшими считаются такие коды, значения
боковых лепестков АКФ которых минимальны по всей длине интервала кодового слова
при максимальном значении центрального пика. К числу таких кодов относится код
Баркера, приведенный в таблице 1. Как видно из таблицы, амплитуда центрального
пика кода численно равна значению М, при этом амплитуда боковых осцилляций при
n ¹ 0 не превышает 1[5].
2. Техническое задание: импульс
Импульс (графическое изображение);
период Т=17
количество кратных гармоник n=1..20
3. Преобразование заданного графического изображения импульса в
аналитическую форму
Преобразуем графическое изображение одиночного импульса в аналитический
вид, используя формулу изменения линейной функции
,
где
,
-отрезок
вертикальной оси от нуля до точки пересечения линии с вертикальной осью.
Полученные
результатов расчетов записываем в виде системы уравнений:
На этом анализ ортогонального импульса завершен.
Переходим к рассмотрению периодической системы.
Тогда выражение (1) будет выглядеть следующим образом:
4. Разложение заданного импульса в тригонометрический ряд Фурье с
нахождением коэффициентов разложения
После перевода графического вида импульса в аналитический вид, переходим
к анализу полученных аналитических уравнений, используя формулы
тригонометрического разложения Фурье: представляем систему уравнений S(t)
По формулам расчета тригонометрического ряда Фурье находим коэффициенты
этого ряда, по формуле (1.35), используя компьютерную программу «MathCAD15»:
В результате расчетов получили величину а0=-3
По формуле
вычисляем
величину ω и производим дальнейшее нахождение коэффициентов ряда Фурье.
вычисляем параметры импульса, сводя полученные результаты в таблицы:



4.1 Построение графических зависимостей полученных результатов

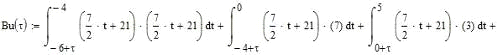
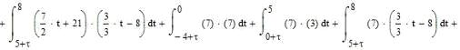
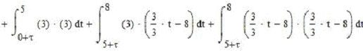
5. Нахождение автокорреляционной функции сигнала и построение его графика
Вычисления производим по формуле:

По результатам вычислений производим построение графика Bu(τ) от n

6. Зависимости энергии сигнала от номера гармоники
Построение зависимости энергии сигнала от номера гармоники производится
после просчета энергии сигнала по формуле:

.1 Построение графика зависимости энергии сигнала от номера гармоники
По полученным данным строим, при помощи программы «MathCad 15», график зависимости энергии от
номера гармоники:
7. Синтез Фурье (расчёт и графические зависимости)
Вычисления производим с помощью компьютерной программы
«MatchCad 15» по формуле:
Заключение
Современная теоретическая радиотехника насыщенна понятиями и методами из
разных научных областей, прежде всего математики, физики, теории цепей,
информации и сигналов. Все они образуют взаимосвязанное единство и должны
рассматриваться как одно целое в рамках системного подхода, принятого
современной наукой. Основной концепцией, позволяющей говорить о системном
характере теоретической радиотехники, является концепция математической модели.
В рамках данной курсовой работы были проведено следующее:
представлен обзор технической литературы по анализу и синтезу (обратному
преобразованию Фурье) периодических сигналов, спектральному представлению
периодических сигналов, расчету автокорреляционной функции сигналов;
произведен перевод графического изображения заданной функции в
аналитический вид с последующим разложением полученных результатов в ряд Фурье;
построены спектральные зависимости характеристик заданного импульса;
произведены расчеты автокорреляционной функции с последующим графическим
представлением;
произведены расчеты по обратному преобразованию Фурье (синтез Фурье) с
графическим представлением результатов расчета.
По графикам видно, что с увеличением номера (числа) гармоник, полученные
графические изображения максимально приближаются к форме исходного (заданного)
импульса, что свидетельствует о правильности всех расчетов, произведенных в
курсовой работе.
Следует отметить, что большинство расчётов было произведено при помощи
компьютерной программы «MathCAD
15», вследствие трудности и громоздкости вычислений.
Список используемой литературы
.Нефедов В.И.
“Основы радиоэлектроники”, М, Высшая школа, 2000г.
.Основы
промышленной электроники/ Под ред. В.Г. Герасимова. - М.,1978.
4.Зевеке
Г.В., Ионкин П.А., Нетушил А.В., Страхов С.В. Основы теории цепей-М., 1975.
5.Соцков В.А.
Курс лекций по дисциплине «Радиотехнические цепи и сигналы».
.Материалы
сайта www.wikipedia.ru