Выделение огибающей сложных периодических сигналов
Содержание
Введение
.
Обзор методов анализа звуковых сигналов
.1
Метод преобразования Гильберта
.1.1
Понятие аналитического сигнала
.1.2.
Преобразование Гильберта
.1.3.
Свойства преобразования Гильберта
.1.4
Вычисление преобразования Гильберта
.1.5
Примеры применения преобразования
.2
Спектральный метод анализа
.
Разработка алгоритма
.1
Описание средств разработки
.1.1
MatLAB
.1.2
CoolEdit
Pro
.2
Описание программ, реализующих алгоритм
.2.1
Программа выделения огибающей тестовых сигналов
.2.2
Программа выделения огибающей одиночных звуков
.2.3
Программа выделения огибающей сложных звуков
.
Результаты экспериментального исследования
.1
Одиночные звуки.
.2
Переходы между звуками
.3
Словосочетания
.
Анализ безопасности и экологичности работы
.1
Анализ трудового процесса пользователя
.2
Оценка качественных характеристик трудового процесса
.3
Разработка мероприятий, снижающих воздействие выявленных вредных факторов
.4
Экологичность работы
5.
Экономическое обоснование работы
Заключение
Литература
Введение
Голос и речь человека несут,
как известно, явную индивидуальную информацию в силу уникальности
физиологического строения его артикуляторного аппарата и специфики речи. Именно
поэтому они привлекают внимание фирм - разработчиков биометрических систем к
применению верификации и идентификации диктора для различных приложений.
Особенность голосовой биометрики состоит в том, что помимо прочего она
допускает удаленную (по телефону) и скрытую аутентификацию с помощью простых и
доступных сенсоров (микрофонов), что иногда невозможно или дорого для иной
биометрической информации. Удобство для пользователя, простота, способность
легко интегрироваться с другими методами - также важные факторы, говорящие о
целесообразности применения речевых технологий в биометрических системах как
отдельно, так и в комплексе с другими методами верификации/идентификации
личности.
Верификация диктора
предполагает подтверждение или отвержение личности по ее речевой фразе при
авторизации, т.е. система решает "да" при принятии решения о
признании диктора тем, за кого он себя выдает, или "нет" при попытке
обмана системы диктором, пытающимся получить авторизацию под чужим именем.
Качество системы верификации личности определяется двумя типами ошибок: FAR
- вероятностью принять "чужака" за "своего" и FRR
- вероятностью отвергнуть "своего". Но иногда критерий качества
определяется как среднее этих ошибок EER=
(FAR+FRR)/2
при условии их равенства. Система верификации диктора работает хорошо, если
вероятность ошибочных решений относительно мала.
Идентификация диктора (31) по
его речевой фразе представляет собой определение конкретной личности из
заданной группы в N дикторов или вынесение решения, что диктор не принадлежит к
этой группе. Решения системы 51 могут быть таковы: правильное определение
конкретной личности, входящей в заданную группу; ошибочное определение
личности, входящей в указанную группу ("перепутывание"); отвержение
"своего"; принятие (и отождествление с одним из членов группы) или
отвержение "чужака". Качество системы тем выше, чем меньше вероятность
ошибки при вынесении решения. Однако некоторые ошибки могут быть менее значимы,
чем другие (например, принятие "чужака" может приводить к более
драматическим последствиям, т.е. более высокой цене решения, чем неверная
идентификация личности из заданной группы).
Приложения систем верификации и
идентификации могут быть самыми разнообразными - от систем локальной или
удаленной (по телефону) авторизации личности, связанной с предоставлением прав
(используется при допуске к охраняемым объектам или к информации и финансовым
операциям в рамках, например, электронной коммерции) до юридических аспектов
аутентификации личности в судебной практике. Надежность верификации или
идентификации, а также стоимость решения - важные вопросы, решение которых
зависит от конкретного приложения и имеющихся альтернатив.
Речевая фраза, являющаяся
объектом анализа и принятия решения при распознавании диктора, может иметь
фиксированный характер (пароль), быть выбранной системой по случайному закону
из заданного набора или быть произвольной. Соответственно различают
текстозависимый, текстоподсказанный или текстонезависимый режим SVI.
Системы автоматической
верификации диктора по речевому сигналу обеспечивают надежность, соизмеримую с
надежностью принятия решения человеком, хорошо знакомым с голосом диктора, а в
некоторых ситуациях превосходят поточности решения человека (особенно при
верификации по телефону). Система должна быть предварительно информирована о
том, с каким конкретно диктором она взаимодействует, что обеспечивается вводом PIN-кода
в речевой или иной форме. Вероятности ошибки EER
на уровне долей процента характерны для продвинутых систем SV.
Наиболее низкие значения EER
характерны для текстозависимого режима, когда верификация диктора проводится по
фиксированной парольной фразе, а искажения речевого сигнала отсутствуют.
Предполагается, что диктор сотрудничает с системой, т.е. обеспечивает
нормальнее взаимодействие с ней в режиме использования парольных фраз.
При идентификации диктора,
входящего в небольшую группу (например, жителей интеллектуального дома или
корпоративных пользователей) вероятность ошибки может быть на уровне одного
процента или менее при хорошем качестве сигнала. Но с ростом числа дикторов
надежность падает. Если для идентификации диктора используется
текстонезависимый режим, когда речевая фраза может быть произвольной, то это
также может понижать надежность.
1. Обзор методов анализа звуковых
сигналов
.1 Метод преобразования Гильберта
.1.1 Понятие аналитического сигнала
Аналитический сигнал
- это один из способов комплексного представления сигнала, который применяется
при анализе данных. Он позволяет ввести в анализ понятия огибающей и мгновенной
частоты сигнала.
Рис.1.1.1 Сигнал и его спектральная плотность
Произвольный динамический сигнал s(t), заданный
на произвольном участке временной оси (как конечном, так и бесконечном), в
общем случае, имеет комплексную двустороннюю (относительно нуля частоты
спектральную плотность S(). При раздельном обратном преобразовании Фурье
реальной и мнимой части спектра S()
сигнал s(t) раскладывается на четную и нечетную составляющие. Пример сигнала
(А), его комплексного спектра (В) и восстановления четной и нечетной части
сигнала (С) из реальной и мнимой части спектра приведен на рис.1.1.1.
Обратное преобразование Фурье может быть также
выполнено раздельно для положительных и отрицательных частот спектра:
s(t) =
S()·exp(jt)
d +
S()·exp(jt)
d (1.1.1)
В силу комплексной симметричности полную
информацию о сигнале s(t)
содержит как левая, так и правая часть спектра S().
Аналитическим сигналом, отображающим вещественный сигнал s(t), называют второй
интеграл выражения (1.1.1), нормированный на, т.е. обратное преобразование
Фурье спектра сигнала s(t)
по положительным частотам:
(t) =
(1.1.2)
Дуальность свойств преобразования Фурье
определяет, что аналитический сигнал zs(t),
полученный из односторонней спектральной функции, всегда является комплексным и
может быть представлен в виде:
zs(t) = Re z(t) + j·Im
z(t).
Рис. 1.1.2 Сигналы z(t) и z*(t)
Аналогичное преобразование первого интеграла
выражения (1.1.1) дает сигнал zs*(t),
комплексно сопряженный с сигналом z(t):
zs*(t) = Re z(t) - j·Im
z(t),
что наглядно видно на рис. 1.1.2 (для сигналов
по спектру, приведенному на рис. 1.1.1).
При сложении функций zs(t)
и zs*(t)
мы обязаны получить (с учетом нормировки z(t)
в (1.2) только на 1/π, а не на 1/2π),
как
в (1.1.1)):
s(t) = [zs(t)+zs*(t)]/2
= Re z(t).
Следовательно, реальная часть аналитического
сигнала zs(t)
равна самому сигналу s(t).
Мнимая часть сигнала zs(t)
является аналитически сопряженной с s(t)
через преобразование Гильберта и называется квадратурным дополнением сигнала s(t).
Если
принять
(z(t)) =
=
TH[s(t)] = s(t) * hb(t), (1.1.3)(t)
= 1/(πt),
где индексом
обозначен
сигнал не комплексно, а аналитически сопряженный с s(t), hb(t)
- оператор Гильберта, то выражение для аналитического сигнала запишется
следующим образом:
zs(t)
= s(t)
+ j×
.
(1.1.4)
Это означает, что квадратурное дополнение
сигнала s(t)
представляет собой свертку сигнала s(t)
с оператором 1/(πt)
и может быть выполнено линейной системой с постоянными параметрами.
= (1/πt)
s(t)dt'/(t-t'),
(1.1.3')
Аналитический сигнал зависит от действительного
аргумента, является однозначным и дифференцируемым. На комплексной плоскости он
отображается вектором, модуль и фазовый угол которого изменяются от аргумента,
а проекция сигнала на вещественную ось для любого значения аргумента равна
значению исходного сигнала s(t). Какой-либо новой информации аналитический
сигнал не несет, так как получен линейным преобразованием из исходного сигнала
и представляет собой его новую математическую модель.
Почему оператор Гильберта для получения
квадратурного дополнения сигнала определен выражением 1/(πt)
и какую физическую операцию он выполняет? Ответ на этот вопрос может быть
получен при рассмотрении спектра аналитического сигнала.
Спектральная плотность
аналитического сигнала, если он сформирован
непосредственно во временной области, определяется обычным преобразованием
Фурье:
Zs()
=
zs(t)
exp(-jt)
dt.
Эта функция, с учетом выражения (1.1.2), должна
быть отлична от нуля только в области положительных частот, где ее значения (в
силу нормировки на, а не на 2) должны быть равны удвоенным значениям
спектральной плотности сигнала s(t):
s()
=
(1.1.5)
С другой стороны, при непосредственном
преобразовании формулы (1.1.4) аналитического сигнала zs(t),
получаем:
Zs() = S() + j
.
(1.1.6)
Рис. 1.1.3
Данное выражение действительно для всей оси
частот (от -¥ до +¥) и должно быть
равно выражению (1.1.5). А это означает, что левая часть спектра (отрицательные
частоты) сигнала (1.1.6) должна быть обращена в ноль. Это может быть выполнено
следующим образом.
Если левые части спектра сигнала S
умножить на -1, обнулить реальную часть на частоте и оставить без изменения
правые части спектра, то будут получены функции, показанные пунктиром на
рис.1.1.3), которые дают нули в левой части спектра при сложении с исходной
функцией S и увеличивают в 2
раза правые части спектра. Такая операция может быть выполнена умножением
спектра S на сигнатурную
функцию sgn:
() =
(1.1.7)
Однако при этом реальная часть новой функции sgn()·S(),
как это можно видеть на рис.1.1.3, становится нечетной, а мнимая часть четной,
что не соответствует статусу спектральных функций. Для восстановления статуса
полученный результат нужно дополнительно умножить на -j.
Применяя для левой и правой части частотных аргументов индексирование
соответственно l
и r,
можно записать подробные выражения для спектров:
S(w)
= Re S(wl)
+ j·Im(wl)
+ Re S(wr)
+ j·Im(wr),
= j·Re S(wl)
- Im(wl)
- j·Re S(wr)
+ Im(wr).
При умножении квадратурной функции
на
j (для выражения в
(1.1.6)):
j·
=
-Re S(wl)
- j·Im(wl)
+ Re S(wr)
+ j·Im(wr).
Отсюда нетрудно видеть результат:
Zs(w)
= S(w)
+ j
= = 2·Re
S(wr)
+ j·2·Im(wr)
= 2·S(wr),
что полностью соответствует выражению (2.1.5). В
краткой форме:
=
,
=
-j×sgn(w)×S(w),
(1.1.8)
Таким образом, спектральная плотность
аналитически
сопряженного сигнала
образуется из
спектра S(w) исходного сигнала s(t) умножением на функцию
-j×sgn(w).
Это обеспечивает при суммировании S(w) + j
удвоение амплитуд частотных составляющих в области положительных частот и их
взаимную компенсацию в области отрицательных частот.
.1.2 Преобразование Гильберта
Из выражения (1.1.8) в спектральной области
непосредственно следует соответствующая связь функций s(t) и
во
временной области:
= s(t)
* hb(t),
(1.2.1)
где hb(t) = TF[-j×sgn()]
- обратное преобразование Фурье функции -j×sgn():
hb(t)
= 1/(t). (1.2.2)
Из выражения (1.1.8) нетрудно получить и
обратную связь спектральных плотностей S() и
:
S() = j×sgn×
,
из которой следует:
s(t)
= -
*
hb(t).
(1.2.1')
Выражения (1.2.1 и 1') известны в математике под
названиями прямого и обратного преобразований Гильберта.
Определение преобразования. Прямое
преобразование Гильберта произвольной действительной функции x(t), -¥
< t < ¥, результат которого будем отображать знаком
тильды над индексом исходной функции, задается сверткой x(t) с функцией hb(t) =
1/(t):
(t)
= H[x(t)]
= x(t)
* (1/t), (1.2.3)
(t) =
.
(1.2.3')
Функция 1/(t-u) называется ядром преобразования
Гильберта
Рис. 1.2.1
Интеграл преобразования имеет особую точку при a
= t-u Þ
0 и при вычислении используется его главное значение по Коши:
[
...
+
...].
Оператор Гильберта определен по аргументу от -¥
до ¥
и имеет полюс в точке t=0 с разрывом значений от -¥
до ¥.
Основной участок формы оператора Гильберта и пример преобразования сигнала
приведены на рис. 1.2.1.
Спектральная характеристика
преобразования. Выполним преобразование Фурье
функции (1.2.3). В общей форме:
(f)
= TF[
(t)]
= X(f)×Hb(f)
(1.2.4)
(f) = 
(t) exp(-j2ft) dt. (1.2.4')
Заметим, что произведение X(f)×Hb(f)
не является преобразованием Гильберта спектральной функции X(f). Это не более
чем преобразование Фурье свертки функций: x(t)*hb(t) Û
X(f)×Hb(f),
которое позволяет вычислить результат преобразования Гильберта во временной
области через частотную область:
(t) =
(f)×exp(j2ft)
df =
X(f)×Hb(f)×exp(j2ft)
df
Рис. 1.2.2
Функция hb(t)=1/t является нечетной, а спектр
этой функции, представленный только мнимой частью, является (с учетом знака
мнимой части) обратной сигнатурной функцией (рис.1.2.2):
Hb(f) = TF[1/t] = -j×sgn(f)
=
(1.2.5)
Соответственно, формулы (1.2.3) задают
преобразование сигнала x(t) системой, частотная передаточная характеристика
которой отображается функцией -j×sgn(f). Фурье-образ
функции
(t):
(f)
= -j sgn(f)×X(f).
(1.2.4")
Рис. 1.2.3
На рис.1.2.3 приведено преобразование
радиоимпульсного сигнала x(t) = a(t)×cos(ot)
с несущей частотой в сигнал
(t) во временной
области непосредственно через операцию свертки по (1.2.3). Сигнал x(t) является
односторонним каузальным. Спектр сигнала содержит реальную и мнимую
составляющие, т.е. может быть записан в виде X() = Re(X()) + j×Im(X()).
Эти составляющие для сигнала x(t) на рис.1.2.3 показаны непрерывными кривыми на
рис. 1.2.4 и 1.2.5.
При выполнении преобразования (1.2.4")
реальная и мнимая части спектра X() умножается на -j×sgn().
Функция Re(X()) (1.2.4) умножается на 1 при <0, на 0 при =0
и на -1 при >0, и тем самым превращается в нечетную мнимую часть Im(
())
спектра
()
функции
(t),
показанную пунктиром.
Рис. 1.2.4 Преобразование Re(X) Þ
Im(
)
Рис. 1.2.5 Преобразование Im(X) Þ
Re(
)
Аналогично на функцию -j×sgn()
умножается и мнимая функция j×Im(X(,
при этом сигнатурная функция инвертируется (-j×j
= 1), что меняет знак левой части функции Im(X( - области
отрицательных частот, и превращает ее в реальную четную часть Re(
())
спектра
()
(рис.1.2.5).
Частотную характеристику Hb(f) (1.2.5) можно
записать и в следующем виде:
Hb(f) = |Hb(f)|×exp(jh(f)),
где |Hb(f)| = 1
Hb(f)
= -j×sgn(f)
=
,
(1.2.5')
Если спектр функции x(t) также представить в
форме
X(f) = |X(f)|×exp(jx(f)),
то выражение (1.2.4) преобразуется к следующей
форме:
(f) = |X(f)|×exp(jjx(f))×exp(jjh(f))
= |X(f)|×exp[j(jx(f)+jh(f))],
(1.2.4''')
т.е. амплитудный спектр сигнала
(t)
- как результат преобразования Гильберта сигнала x(t), не изменяется и остается
равным амплитудному спектру сигнала x(t). Фазовый спектр сигнала
(t)
(начальные фазовые углы всех гармонических составляющих сигнала) сдвигается на
-90о при f > 0 и на 90о при f < 0 относительно
фазового спектра сигнала x(t). Но такой фазовый сдвиг означает не что иное, как
превращение косинусных гармоник в синусные, а синусных в косинусные. Последнее
не трудно проверить на единичной гармонике.
Если x(t) = cos(2fot), то имеем
следующее преобразование Гильберта через частотную область:
(t) = H[x(t)] Û
TF[H[x(t)]] = -j sgn(f)×[d(f+fo)+d(f-fo)]/2.
(1.2.6)
(f) = -j×[-d(f+fo)+d(f-fo)]/2
= j·[d(f+fo)-d(f-fo)]/2.
(1.2.7)
Но последнее уравнение - спектр синусоиды. При
обратном преобразовании Фурье:
(t)
= TF-1[
(f)]
= sin(2fot).
(1.2.8)
При x(t) = sin(2pft)
аналогичная операция дает
(t) = -cos(2fot).
Знак минус демонстрирует отставание (запаздывание) выходного сигнала
преобразования, как операции свертки, от входного сигнала. Для гармонических
сигналов любой частоты с любой начальной фазой это запаздывание составляет
четверть периода колебаний. На рис.1.2.3 этот сдвиг на четверть периода для
единичной гармонической составляющей (несущей частоты радиоимпульса) виден
достаточно наглядно. Таким образом, преобразование Гильберта, по существу,
представляет собой идеальный фазовращатель, осуществляющий фазовый сдвиг на 900
всех частотных составляющих сигналов одновременно.
Сдвиг фазы спектров сигналов x(t) на /2
определяет изменение четности и самих сигналов: четный x(t) Û
нечетный
(t),
и наоборот.
Преобразование Гильберта позволяет вычислить
аналитический сигнал
z(t)
= x(t)
+ j×
(t)
(1.2.9)
по его вещественной части, при этом спектр
аналитического сигнала также является комплексным
(w) = X(w)
+ j×
(w)
(1.2.10)
и односторонним, т.е. равным нулю на
отрицательных частотах:
(w) = 0, w
< 0, (1.2.11)
что обеспечивается соотношением спектров:
X(w) = - j×
(f)
при w
< 0. (2.2.12)
В области отрицательных частот, при w
< 0, соответствующие компоненты спектров X(w) и
(w)
гасят друг друга: Re(Z(w)) = 0, Im(Z(w))
= 0. Это и обеспечивает выполнение равенства (2.11).
Для нулевой частоты значения Im(X(w)),
Im(
(w))
и Re(
(f))
равны нулю, при этом:
Re(Z(0))
= Re(X(0)),
Im(Z(w))
= 0. (1.2.13)
Спектры каузальных функций. Допустим,
что каузальная (физически осуществимая) линейная система с импульсным откликом
h(t), t ³
0, имеет частотную характеристику H(f):
H(f)
= A(f)
- j×B(f),
где A(f) и B(f) - действительная (четная) и
мнимая (нечетная) части частотной характеристики. Осуществим обратное
преобразование Фурье для всех частей этого выражения:
h(t)
= a(t)
+ b(t),
a(t) =
A(f)
cos(2ft) df, b(t) =
B(f) sin(2ft) df,
где a(t) и b(t) - соответственно четная и
нечетная части импульсного отклика h(t). Условие каузальности для импульсного
отклика (h(t) = 0 при t<0) будет выполнено, если при t<0 функции a(t) и
b(t) компенсируют друг друга. Тогда общее условие каузальности, с учетом
нечетности функции b(t) и b(0) = 0, запишется в следующем виде:
b(t) = -a(t), t < 0, (1.2.14)(t)
= 0, a(t) = a(0), t = 0,(t)
= a(t),
t > 0.
Из этих условий следует, что нечетная функция
b(t) в каузальной системе однозначно связана с четной функцией:
b(t)
= sgn(t)×a(t),
(1.2.15)
Осуществляя преобразование Фурье обеих частей
данного равенства при известном преобразовании сигнатурной функции (sgn(t) Û
j/f), получаем:
Im(H(f))
= (j/f)
* A(f),
или, с учетом знака мнимой части:
B(f) = -(1/f) * A(f) =
-(1/)
[A(v)/(f-v)] dv. (1.2.16)
Аналогично определяется и действительная
компонента спектра по мнимой части:
A(f) = (1/f) * B(f) =
(1/)
[B(v)/(f-v)] dv. (1.2.17)
Таким образом, реальная и мнимая части спектра
физически осуществимых (односторонних) систем, а равно и произвольных
каузальных сигналов, также связаны парой преобразований Гильберта. Они позволяют
производить определение любой, действительной или мнимой, части частотной
характеристики каузальной функции путем свертки другой ее части с функцией 1/f.
1.1.3 Свойства преобразования Гильберта
Для любых произвольных функций x(t) и y(t),
имеющих Фурье - образы X(), Y() и преобразования Гильберта
(t)
= Н[x(t)] и
(t) = Н[y(t)],
действительны следующие свойства:
Линейность
Н[a×x(t)+b×y(t)]
= a×
(t)+b×
(t)
при любых постоянных значениях коэффициентов а и
b для любых произвольных функций x(t) и y(t).
Сдвиг
H[x(t-a)] =
(t-a).
Преобразование константы,
а в силу линейности преобразования, и постоянной составляющей сигнала, равно
нулю. Это прямо следует из нечетности ядра преобразования Гильберта. Отсюда
следует, что при преобразовании Гильберта из квадратурной составляющей
исключается постоянная составляющая.
Свойство четности и нечетности
определяется сдвигом всех гармоник сигнала на /2, при этом четные сигналы x(t)
дают нечетные сигналы
(t), и наоборот.
Это действительно и для произвольных сигналов относительно их четных и нечетных
частей.
Последовательное двойное
преобразование Гильберта возвращает исходную
функцию с обратным знаком
[H[x(t)]] = H[
(t)]
= -x(t)
Это определяется тем, что при двойном
преобразовании все гармоники сигнала сдвигаются на, что изменяет их знак.
Однако в силу исключения из сигнала при первом преобразовании постоянной
составляющей, при двойном преобразовании сигнал x(t)
восстанавливается с исключенным средним значением по интервалу задания.
Обратное преобразование Гильберта,
по существу, это второе преобразование в последовательном двойном
преобразовании Гильберта с изменением знака результата:
x(t)
= H-1[
(t)]
= -
=
(t)
* (-1/t). (1.3.1)
Альтернативная форма вычисления x(t) из
(t):
x(t) = TF-1[(j sgn(f)×TF[
(t)]].
(1.3.1')
Подобие
при изменении масштаба аргумента:
[x(at)] =
(at).
Энергетическая эквивалентность:
x2(t)
dt =
2(t)
dt. (1.3.2)
Это следует из теоремы Парсеваля (энергия
сигнала равна сумме энергии всех частотных составляющих сигнала) и равенства модулей
спектров сигналов x(t) и
(t) (энергия
сигнала не зависит от его фазочастотной характеристики).
Свойство ортогональности:
x(t)×
(t)
dt = 0. (1.3.3)
Если все косинусные составляющие сигнала x(t)
превращаются в ортогональные им синусные составляющие сигнала
,
а синусные - в ортогональные им косинусные, то и сигналы x(t) и
должны
быть ортогональны. Из теоремы Парсеваля следует:
x(t)×
(t)
dt =
X*(f)×
(f).
Функция
X*(f)×
(f)
= -X*×j
sgn(f)×X(f)
= -j sgn(f)×X(f)2
является нечетной, а поэтому определенный
интеграл от этой функции по симметричным относительно нуля пределам равен нулю.
Ортогональность сигналов наглядно видна на рис.1.2.1.
Свойство свертки:
H[x(t)
* y(t)]
=
*
y(t)
= x(t)
*
(t).
(1.3.4)
Это вытекает из следующих соображений. Примем
z(t) = x(t) * y(t), при этом:
(f) = X(f)×Y(f),
(f)
= -j sgn(f)×Z(f) = -j sgn(f) X(f)×Y(f).
(f) = [-j sgn(f)
X(f)]×Y(f)
=
×Y(f)
Û
(t)
* y(t).
(f) = X(f)×[-j
sgn(f) Y(f)] = X(f)×
(f) Û
x(t) *
(t).
Отсутствие коммутативности
с преобразованием Фурье:
TF[H[x(t)]] ¹
H[TF[x(t)]]. (1.3.5)
Свойство модуляции:
Модулирующие сигналы u(t),
как правило, имеют ограниченный спектр, масимальные частоты которого много
меньше значения несущей частоты o,
при этом:
H[u(t)×cos(ot)]
= u(t)×sin(ot).
(1.3.6)
Для четных функций u(t) это свойство очевидно.
При переходе в частотную область:
[u(t)×cos(wo)]
Û
-j×sgn(w)×[U(w)
* (d(w+wo)+d(w-wo))].
Множитель -j×sgn(w)
является знаковой константой по w и может быть
внесен под интеграл свертки и умножен на (d(w+wo)+d(w-wo),
что, как уже рассматривалось ранее (см. 1.2.6 - 1.2.8), при обратном
преобразовании Фурье дает u(t)×sin(wot).
Аналогично можно показать, что
H[u(t)×sin(wot)]
= -u(t)×cos(wot).
(1.3.7)
.1.4 Вычисление преобразования Гильберта
Преобразование Гильберта аналоговых
сигналов целесообразно выполнять не по формулам линейной
свертки с оператором 1/t, который стремится к ¥ при t Þ
0, а через спектр аналитической функции:
z(t) = x(t) + j×
(t)
Û
X(f) + j×
(f)
= Z(f). (1.4.1)
Заменяя в этом выражении функцию
(f)
= -j sgn(f)×X(f), получаем:
Z(f)
= [1+sgn(f)]×X(f),
(1.4.2)
где функция 1+sgn(f) равна 0 при f < 0, 1 при
f = 0 и 2 при f > 0, при этом:
Z(f)
=
,
(1.4.2')
т.е. спектр функции z(t) является односторонним
и устанавливается непосредственно по спектру функции x(t) при f ³
0 (см. также (1.2.13)). Обратное преобразование Фурье функции Z(f) должно
давать комплексную функцию z(t), при этом из (1.4.2') следует:
x(t) = Re [2
X(f)
exp(j2ft) df], (1.4.3)
(t) = Im [2
X(f)
exp(j2ft) df]. (1.4.3')
В дискретной форме, при общем числе N отсчетов
функции x(t) с шагом t и с шагом по частоте f =1/(Nt):
(nf) = t
x(kt)×exp(-j2kn/N),
n = 0,1,...,N/2. (1.4.4)
х(kt)
= 2f×Re[
X(nf)×exp(j2kn/N)].
(1.4.5')
(kt)
= 2f×Im[
X(nf)×exp(j2kn/N)].
(1.4.5)
Рис. 1.4.1
На рис.1.4.1 приведен пример преобразования
Гильберта, выполненный через частотную область. На рисунке видно, что сигнал,
восстановленный по (1.4.5'), смещен вниз на величину среднего значения
исходного сигнала x(t).
При формировании аналитической функции по (1.4.1, 1.1.4) в качестве
вещественной части функции следует использовать исходный сигнал x(t),
а не его форму по (1.4.5').
Оператор дискретного преобразования
Гильберта hb(kt) Ü
1/t на интервале от -Т до Т с шагом t можно получить обратным
преобразованием Фурье частотной характеристики Hb(f) (выражение 1.2.5) в
интервале от -fN до fN (fN=1/2t). При t=1:
(kt) =
Hb(f)
exp(j2fkt) df =
j exp(j2fkt)
df -
j
exp(j2fkt)
df =
= [1/(2kt)]×[1-exp(-jkt)-exp(jkt)+1]
=
= [1/(kt)]×[1-(exp(-jkt)+exp(jkt)/2]
=
= [1/(kt)]×(1-cos(kt))
= [2/(kt)]
sin2kt/2).
(1.4.6)(kt)
= 2/(t),
k = ±1,
±3,
±5,
... , (1.4.6')(kt)
= 0, k = ±0, ±2,
±4,
... .
Нетрудно убедиться, что коэффициент усиления
постоянной составляющей оператора равен нулю, а коэффициент усиления дисперсии
помех равен 1.
В частотной области при выполнении
преобразования Гильберта спектральных функций оператор свертки hb(kf)Ü1/f
не отличается от приведенного для временной области.
.1.5 Примеры применения преобразования
Параметры сигналов
Огибающая и мгновенная фаза сигналов
Рис. 2.5.1
Зададим радиоимпульсный сигнал x(t) с информационной
составляющей u(t) и одной несущей частотой wo:
x(t) = a(t)×cos(wot)
+ b(t)×sin(wot).(t)
=
.
(1.5.1)
С учетом свойства модуляции преобразования
Гильберта, имеем:
(t) = a(t)×sin(wоt)
- b(t)×cos(wot).(t)
= x(t) + j×
(t).
Квадрат модуля
сигнала
z(t):
|z(t)|2 = x2(t)+
2(t)
= a2(t)[cos2(wot)+sin2(wot)]
+ b2(t)[cos2(wot)+sin2(wot)]
= u2(t).
Отсюда, огибающая и мгновенная фаза сигнала
x(t):(t) =
. (1.5.2)
j(t)
= arctg[
(t)/x(t)]
= arctg[tg(wot)]
= wot.
(1.5.3)
Мгновенная частота
сигнала определяется по скорости изменения фазы:= dj(t)/dt
=
=
wo,
(1.5.4)
Для амплитудно-модулированных сигналов с одной несущей
частотой эти результаты достаточно очевидны (см. рис.1.5.1). Но выражения
(1.5.2-1.5.4), полученные из общих соображений, остаются действительными и для
любых произвольных сигналов.
Рис. 1.5.2
На рис.1.5.2. представлен сигнал, сложенный
двумя гармониками:
x(t) = a(t)×cos(w1t)
+ b(t)×cos(w2t).
Сопряженный и аналитический сигналы:
(t)
= a(t)×sin(w1t)
+ b(t)×sin(w1t).
z(t)
= x(t)
+ j×
(t).
Огибающая такого сигнала, как это можно видеть
на рисунке 1.5.2, должна вычисляться по формуле (1.5.2). Для данного сигнала:
(t) =
Мгновенная фаза сигнала, график которой приведен
на рис.1.5.3, зависит от времени нелинейно:
Рис. 2.5.3
Рис. 2.5.4
(t) =
Мгновенная частота сигнала (рис.1.5.4) также
имеет нелинейную зависимость от времени, причем ее значения могут существенно
превышать даже суммарное значение частот, составляющих сигнал:
(t) =
Аналогичная методика определения огибающих и
мгновенных значений фазы и частоты применяется и для анализа случайных
процессов. Изображения полей параметров преобразования Гильберта применяются
при интерпретации геофизических данных.
Анализ каузальных систем
Каузальная (физически осуществимая) линейная
система (равно как и произвольная причинно обусловленная функция) задается
односторонним импульсным откликом (выражением) h(t), t ³
0, и имеет частотную характеристику H(f):
H(f)
= X(f)
- jY(f),
(1.5.5)
где X(f) и Y(f) - действительная (четная) и
мнимая (нечетная) части частотной характеристики. Осуществим обратное
преобразование Фурье для всех частей выражения раздельно:
h(t)
= x(t)
+ y(t),
x(t) =
X(f)
cos(2ft) df, (1.5.6)(t) =
Y(f) sin(2ft) df,
(1.5.7)
где x(t) и y(t) - четная и нечетная части
функции h(t). Условие каузальности для функции h(t), h(t) = 0 при t<0, будет
выполнено, если при t<0 функции x(t) и y(t) компенсируют друг друга. Общее
условие каузальности, с учетом нечетности функции y(t) и y(0) = 0, запишется в
виде:
y(t) = x(t) = h(t)/2, t > 0.
(1.5.8)(t) = 0, x(t) = h(0), t = 0,(t)
= -h(t)/2,
x(t)
= h(t)/2,
t < 0,
Из этих условий следует, что нечетная функция
y(t) в каузальной системе однозначно связана с четной функцией x(t):
y(t)
= sgn(t)×x(t).
(1.5.9)
С учетом выражений (1.5.6-7) соответствующая
связь между действительной и мнимой частями спектра каузальных функций:
X(f) cos(2ft) df =
Y(f)
sin(2ft) df, (1.5.10)
Осуществляя обратное преобразование Фурье обеих
частей равенства (1.5.9) при известном преобразовании сигнатурной функции
(sgn(t) Û
-j/(f)), получаем:
TF[y(t)] = (-j/f) * X(f)
= (-j/)
[X(u)/(f-u)]
du.
Отсюда:
Y(f) = (1/)
[X(u)/(f-u)]
du = H[X(f)], (1.5.11)
т.е. мнимая часть спектра импульсного отклика
каузальной системы (и любой каузальной функции) является преобразованием
Гильберта действительной части спектра. Соответственно, уравнение для
определения действительной компоненты спектра по мнимой части:
X(f) = -H[Y(f)] = -(1/)
[Y(u)/(f-u)]
dv. (1.5.12)
.2
Спектральные характеристики звуковых сигналов
Реальные звуковые сигналы редко
бывают периодическими колебаниями или одиночными импульсами, поэтому
традиционные формы рядов и интегралов Фурье мало подходят для описания их
спектральных характеристик. Для анализа сигналов с ограниченной мощностью,
заданных на бесконечном промежутке времени, пользуются понятием «мгновенный
спектр»: представляет собой преобразование Фурье отрывка сигнала на промежутке τ,
предшествующем
текущему моменту времени t.
Формула (1.2.2) позволяет построить адекватное описание работы
спектроанализатора, выполненного по схеме на рис. 1.2.1. Частотную
характеристику фильтра будем полагать прямоугольной, а интегратор - идеальным с
памятью меры τ, т.е. с
прямоугольным импульсным откликом.
(1.2.1)
где ω(t1)-
временное окно. В простейшем случае
Тогда мгновенный спектр
(1.2.2)
Рис. 1.2.1 Структурная схема
спектроанализатора: 1 - полосовой фильтр; 2 - квадратор; 3 - интегратор; 4 -
индикаторное устройство
Среднеквадратическая
погрешность измерения напряжения флюк-туационных сигналов зависит от
произведения ширины их спектра на время усреднения измерительной цепи, падает с
его увеличением и достигает 10 % при значении названного произведения, равном
100. Если приближенно оценить длительность импульсного отклика полосового
фильтра как
, то по условию
допустимой погрешности измерений должно быть
,
откуда
.
Это означает, что единственным носителем функции временного окна
можно
считать интегратор, а его импульсный отклик длительностью τ
отождествлять
с временным окном. Действительно, показание измерителя представляет собой
функцию
(1.2.3)
т.е. средний квадрат
фильтрованного сигнала. Этой функции должен быть поставлен в соответствие
мгновенный спектр (1.2.2), в котором τ в
точности равно аналогичной величине из формулы (1.2.3), т.е. времени интеграции
фильтра 3.
В силу теоремы Рейли о
равенстве энергий сигнала и его спектрального разложения средний квадрат
сигнала до фильтра
(1.2.4)
и после фильтра
(1.2.5)
Спектральную плотность мощности
оценивают величиной
, отнесенной к
полосе пропускания фильтра 1, равной 1 Гц. С учетом этого определения из
формулы (1.2.5) получаем
(1.2.6)
Это не что иное, как средний
(по полосе пропускания фильтра 1) квадрат модуля мгновенного амплитудного
спектра во временном окне τ,
т.е. результат двух усреднений: по частоте - спектральным окном
и по времени - временным окном τ.У
однородных флуктуационных процессов при
(T0-
интервал однородности) G
не зависит от времени t.
В звукотехнике применяются
измерители спектральной плотности, у которых полоса пропускания ΔF
не зависит от частоты настройки F0,
и спектрометры, у которых от частоты настройки не зависит величина
,
называемая относительной полосой пропускания. Выпускаются третьоктавные (δ=0,23),
полуоктавные
(δ=0,35)
и
октавные (δ=0,71) спектрометры со
стандартными частотными характеристиками. Результат спектрального анализа
выражают в децибелах
(1.2.7)
где s2и0
и
sи0
значения, соответствующие нулю шкалы уровней, и называют уровнем спектральной
плотности, или просто спектральным уровнем. Для стационарных сигналов при
фиксированном значении τ уровень N(F0,
t, τ) = N(F0)
является только функцией частоты настройки фильтра анализатора. В этом случае
можно построить график называемый спектрограммой. Если измерения проводились
при
ΔF=const
то спектрограмма представляет собой уровень спектральной плотности мощности в
функции частоты, а если при δ=const
спектральные уровни в третьоктавных, полуоктавных или октавных полосах.
У реальных звуковых сигналов
функция (1.2.6) существенно зависит от аргументов t
и τ.
При
фиксированном τ ее можно
представить рельефом G
над плоскостью F0,
t, но извлечь
практическую пользу из этого сложно. Поэтому идут тремя путями.
Первый, наиболее старый,
состоит в разбиении множества звуковых сигналов на такие подмножества, что для
каждого из них оценка спектра не вызывает затруднений: звуковые импульсы
(импульсные шумы, звуки представляет собой преобразование Фурье отрывка сигнала
на промежутке τ, предшествующем
текущему моменту времени t.
Формула (1.2.2) позволяет построить адекватное описание работы
спектроанализатора, выполненного по схеме на рис. 1.2.1. Частотную
характеристику фильтра будем полагать прямоугольной, а интегратор - идеальным с
памятью меры τ, т.е. с
прямоугольным импульсным откликом
Рис. 1.2.2 Спектральные функции
белого (1), розового (2) и речевого (3) шумов: а - графики спектральной
плотности мощности; б- третьоктавные спектрограммы
Собраны обширные сведения о
спектрах звуков разговорных и певческих голосов, музыкальных инструментов,
природных и индустриальных шумов. Обобщения накопленных сведений носят
описательный характер, бедны числовыми оценками.
С точки зрения передачи сигнала
по звуковому тракту полезной числовой оценкой спектра, полученной на этом пути
исследований, служит частотный диапазон звуков. Сопоставляя его с полосой
пропускания тракта ЗВ, судят о наличии или отсутствии частотных искажений
выходного сигнала. Определить частотный диапазон источника звука по
спектрограмме не всегда возможно из-за отсутствия объективных критериев
значимости спектральных составляющих для слухового восприятия, поэтому
прибегают к слуховым экспертизам. За верхнюю или нижнюю границу спектра
источника звука Fгр
принимают частоту среза обрезного фильтра Fср.
при которой ограничение частотного диапазона замечает 75 % слушателей.
Рис. 1.2.3 Заметность
ограничения частотного диапазона сигналов речи (а) и музыки (б): 1 -
разговорная речь; 2- певческая речь; 3- симфонический оркестр; 4 - эстрадный
оркестр; 5 - фортепьяно
В табл. 1.2.1 приведены сведения
о частотных диапазонах некоторых источников звука, а на рис. 1.2.3 представлены
статистические кривые заметности ограничения полосы частот звукового тракта
сверху и снизу для ряда звуковых программ.
Таблица 1.2.1
|
Источник
звука
|
Граничная
частота, Гц
|
|
нижняя
|
верхняя
|
|
Мужской
голос
|
100
|
7000
|
|
Женский
голос
|
200
|
9000
|
|
Рояль
|
100
|
5000
|
|
Скрипка
|
200
|
14000
|
|
Флейта
|
250
|
14000
|
|
Тарелки
|
400
|
12000
|
|
Литавры
|
65
|
3000
|
|
Шум
шагов
|
100
|
10000
|
150
|
15000
|
Второй путь спектрального
анализа звуковых сигналов ведет к следующей цели: внести определенность в
результат измерений согласно формуле (1.2.6) максимально возможным увеличением
временного окна τ; чем больше
τ
тем меньше спектральная плотность мощности зависит от t.
Этот подход позволил перейти от звуков отдельных источников к звуковым
программам и получить надежные результаты измерения спектра речи, сольного и
хорового пения, симфонической и эстрадной музыки и т.д. Результатом анализа
оказывается спектральная плотность средней мощности. Она дает оценку положения
спектра на шкале частот и представление о мощности сигнала на разных ее
участках, но не позволяет судить о частотном диапазоне звуковой программы.
Энергетический критерий ширины спектра должен применяться только для оценки
мощностей и тепловых режимов электронных и акустических систем тракта ЗВ,
например, для рационального выбора мощностей громкоговорителей в многополосных
акустических системах.
Третий путь состоит в
объединении спектрального и статистического методов исследования сигналов для
того, чтобы оценить изменчивость мгновенного спектра во времени вероятностной
мерой. Временное окно τ
можно выбирать достаточно малым, а спектральное окно ΔF
для сокращения трудоемкости измерений должно быть широким. Обычно проводят
спектрально-статистический анализ звуковых сигналов в октавных полосах.
Рассмотрим процедуру спектрально-статистического анализа с помощью графиков на
рис. 1.2.4.
На выход октавного фильтра со
средней частотой F01
включают самописец для записи уровнеграммы или статистический анализатор и
получают функцию распределения уровней сигнала F(N,F01).
Для примера на рис. 1.2.4,а показаны три функции распределения уровней одного и
того же отрывка симфонической музыки в октавных полосах со средними частотами F01=0,5
кГц, F02=1
кГц и F03=2
кГц. Затем на шкале вероятностей выбирают ряд значений F1,
F2,
… и переносят на частотный бланк (рис. 1.2.4,6) соответствующие этому ряду
квантили распределений N(F1,F01),
N(F2,F01),
…; N(F1,F02),
N(F2,F02),
Рис. 1.2.4
Спектрально-статистический анализ ЗВ (симфонический оркестр): а - функции
распределения уровней в октавных полосах; б- спектрально-статистическая
диаграмма
Одноименные квантили соединяют
линиями равной вероятности, совокупность которых образует
спектрально-статистическую диаграмму октавных уровней сигнала (иногда такие
диаграммы называют спектрами уровней, что не вполне соответствует предмету
измерения).
Наглядность
спектрально-статистических диаграмм объясняется тем, что линии равной
вероятности нигде не пересекаются: это следует из того, что функции
распределения F(N,F0k)
- неубывающие. Линия N(Fа,
…) обязательно проходит выше линии N(Fb,
…) если Fа>
Fb.
У реального звукового сигнала
уровни во всех октавных полосах - переменные величины, функции времени N(t).
Значения уровней, лежащих на одной линии равной вероятности, не превышаются
уровнями в полосах N(t,
t0k)
с вероятностью, равной параметру этой линии. Медиана уровней (на рис. 1.2.4,б
показана штриховой линией) проходит через наивероятнейшие значения уровней в
октавных полосах. Так как распределение уровней приблизительно гауссовское,
медиана распределения совпадает с его математическим ожиданием и характеризует
также средние значения уровней в октавных полосах.
Рис. 1.2.5 Спектральные кривые
средней мощности ЗС (симфонический оркестр): 1 - октавная спектрограмма; 2 -
линия поправок; 3 - уровень спектральной плотности мощности
Одновременно со
спектрально-статистической диаграммой измеряют уровни средней мощности в тех же
частотных полосах, а результаты измерений часто наносят на тот же график.
Поэтому надо помнить, что спектрограмма средней мощности представляет собой
самостоятельный результат измерения, выполненного при большом времени
усреднения г; она не имеет прямого отношения к спектрально-статистической
диаграмме и не может быть из этой диаграммы вычислена. Из спектрограммы средней
мощности (кривая 1 на рис. 1.2.5) можно получить график спектральной плотности
мощности (кривая 3), сложив ее ординаты с ординатами линии поправок 2 - прямой
с наклоном -3 дБ/октава. Этим способом пользуются всегда, когда нужно перейти
от результатов измерений, выполненных при δ=const,
к уровням спектральной плотности. Можно, например, преобразовать
спектрально-статистическую диаграмму октавных уровней в диаграмму спектральной
плотности мощности.
На рис. 1.2.6 приведены три
спектрально-статистические диаграммы речи и музыки, совмещенные со
спектральными кривыми уровня средней мощности в октавных полосах.
Часто возникает необходимость
определить уровень сигнала во всем его частотном диапазоне F1,
F2
по данным спектрального анализа. Если результаты измерений представлены
уровнями Nk
в октавных (1/2-октавных, 1/3-октавных) полосах, то суммарный уровень
Если же задан уровень
спектральной плотности мощности N(F0),
то
(1.2.8)
Обычно промежуток F1,
F2
разбивают на неперекрывающиеся полосы частот ΔFk
с уровнями Nk
и заменяют интеграл суммой:
(1.2.8a)
Рис.1.2.6.
Спектрально-статистические диаграммы: а - речи; б - фортепьяно; в - эстрадной
музыки (штриховыми линиями показаны октавные спектрограммы средней мощности)
Таблица 1.2.2
|
Номер
полосы
|
1
|
2
|
3
|
4
|
5
|
6
|
7
|
8
|
|
Уровень,
дБ
|
-22
|
-12
|
-6
|
-4
|
0
|
-3
|
-9
|
-11
|
|
100,1N
|
0,006
|
0,06
|
0,25
|
0,4
|
1
|
0,5
|
0,13
|
0,08
|
Таблица 1.2.3
|
Полоса
частот, Гц
|
20...45
|
45...90
|
90.
..700
|
700..
.1400
|
1400...2800
|
2800...5600
|
|
Уровень,
дБ
|
-10
|
-3
|
0
|
-6
|
-15
|
-20
|
|
Ширина
полосы ΔFk,
Гц
|
25
|
45
|
610
|
700
|
1400
|
2800
|
|
100,4N
|
0,1
|
0.5
|
1
|
0.25
|
0,03
|
0,01
|
|
ΔFk.100,1N
|
2,5
|
22,5
|
610
|
175
|
52
|
28
|
Для примера рассчитаем уровень
мощности сигнала по спектрограммам на рис. 1.2.5 в полосе частот 20.. .5600 Гц.
Нулю уровней в данном случае соответствует мощность в октавной полосе 350..
.700 Гц со средней частотой 500 Гц. Исходные данные по кривой 1 и результаты
вычислений по формуле (1.2.7) сведены в табл. 1.2.2.
Сумма элементов последней
строки С = 2,46, N = 10lgС
= 3,9 дБ. Теперь вычислим ту же величину по формуле (1.2.8а) и кривой 3. Нулем
децибел для кривой 3 является мощность сигнала в полосе 1 Гц. Она меньше
мощности в октавной полосе на N0
= 10lg(700 - 350)
= 25.4 дБ. Найдем сначала суммарный уровень относительно нуля децибел кривой 3,
а потом внесем поправку. Исходные данные по кривой 3 и результаты вычислений по
формуле (1.2.8а) даны в табл. 1.2.3.
Сумма элементов последней
строки С1 = 890, N1
= 10lgС1
= 29,5 дБ, N = N1 - N0
= 29,5 - 25,4 = 4,1 дБ. Расхождение с предыдущим результатом на 0,2 дБ вполне
приемлемое.
Заметим в заключение, что
установить закон распределения уровней широкополосного сигнала по
спектрально-статистической диаграмме с помощью аналогичных вычислений
невозможно, так как уровни в разных октавных полосах не являются независимыми
случайными величинами.
2. Разработка алгоритма
.1 Описание средств разработки
2.1.1 MatLAB
MatLAB - это
высокопроизводительный язык для технических расчетов. Он включает в себя
вычисления, визуализацию и программирование в удобной среде, где задачи и решения
выражаються в форме, близкой к математической. Типичное использование MatLAB
- это:
математические вычисления
создание алгоритмов
моделирование
анализ данных, исследования и визуализация
научно инженерная графика
разработка приложений включая создание
графического интерфейса
Система MatLAB (сокращение от MATrix
LABoratory - МАТ-пичная
ЛАБоратория) является интерактивной системой для выполнения инженерных и
научных расчетов, ориентированной на работу с массивами данных. Система
использует математический сопроцессор и допускает возможность обращения к
программам, написанным на языках FORTRAN,
С и C++.
Привлекательной особенностью системы является
то, что она содержит развитую встроенную матричную и комплексную арифметику.
Система поддерживает выполнение операций с векторами, матрицами и массивами
данных, реализует сингулярное и спектральное разложения, расчет ранга и чисел
обусловленности матриц, поддерживает работу с алгебраическими полиномами,
решение нелинейных уравнений и задач оптимизации, интегрирование в квадратурах,
решение дифференциальных и разностных уравнений, построение различных видов
графиков, трехмерных поверхностей и линий уровня. В ней реализована удобная
операционная среда, позволяющая формулировать проблемы и получать решения в
привычной математической форме, не прибегая к рутинному программированию.
Основным объектом системы MatLAB является
прямоугольный числовой массив, который допускает комплексные элементы и ввод
матриц без явного указания их размеров. Система позволяет решать лпогие вычислительные
задачи за значительно меньшее время, нежели то, которое необходимо для
написания соответствующих программ на языках FORTRAN,
Basic и С.
Система MatLAB выполняет операции с векторами и
матрицами даже в режиме непосредственных вычислений без какого-либо
программирования. Ею можно пользоваться как мощнейшим калькулятором, в котором
наряду с обычными арифметическими и алгебраическими действиями могут
использоваться такие сложные операции, как обращение матрицы, вычисление ее
собственных значений и векторов, решение систем линейных алгебраических
уравнений и много других. Однако основная отличительная черта системы - это
легкость ее модификации и адаптации к конкретным задачам пользователя.
Пользователь может ввести в систему любую новую команду, оператор или функцию и
пользоваться затем ими так же просто, как и встроенными операторами и
функциями. При этом, в отличие от языков программирования, таких как Basic,
Pascal или С, нет
необходимости в их предварительном описании. Новые программы, функции и
процедуры в системе MatLAB сохраняются в виде файлов, имеющих расширение .m.
Это делает набор операторов и функций практически неограниченным.
.1.2 Cool
Edit Pro
2
Редактор звуков Cool Edit создан всего одним
человеком - Дэвидом Джонсом. Правами на распространение программы обладает
фирма Syntrillium Software Corporation. Редактор является свободно
распространяемым (Share Ware), его всегда можно найти в Internet на сайте
www.syntrillium.com. А если у вас нет возможности прогуляться по всемирной
паутине, то Cool Edit можно приобрести в сборниках программ, распространяемых
на CD-ROM.
На протяжении ряда лет автор программы
непрерывно улучшал свое детище и практически достиг совершенства. Последняя на
момент написания книги версия программы Cool Edit 96 представляет собой
звуковой редактор, обладающий практически всеми возможностями, какие только
могут быть у программ такого класса. Cool Edit 96 работает под управлением MS
Windows 95 или MS Windows NT.
Многие специалисты дают этой программе самые
высокие оценки. Так, например, в статье ее автор, рекламирующий Cool Edit 96,
перечисляя многочисленные достоинства программы, отыскал в ней единственный
недостаток: «Из недостатков же можно отметить отсутствие инструментов для
создания звуковых циклов (loop) с целью последующего их использования в
сэмплере». На самом деле средство для зацикливания в ней имеется. Получается,
что Cool Edit вообще не имеет недостатков. Хотя, конечно, в мире не может быть
ничего абсолютно совершенного. Возможно, и Cool Edit 96 присущи какие-либо
недостатки, которые пока остались незамеченными. Но в том, что звуковой
редактор оправдывает свое название («Cool» - крутой), мы уверены на все 200 %.
.2 Описание программ, реализующих алгоритм
2.2.1 Программа выделения огибающей типовых
сигналов
При разработке алгоритма выделения огибающей
была использована стандартная функция MatLAB
hilbert которая позволяет
провести преобразование Гильберта для любого процесса и возвращает реальную и
мнимую части сигнала. Для начала было проведено несколько исследований работы
алгоритма выделения огибающей для типовых сигналов: синусоида, радиоимпульс,
амплитудно-модулированное колебание (АМК) и АМК с примесью шума в модулирующее
колебание.
Программа выделения огибающей гармонического
сигнала:
s = zeros(1,256);(1:256) =
cos(pi/8*(1:256));= hilbert(s);=imag(sa);=real(sa);=sqrt((Xi.^2)+(Xr.^2));=
(-128:127)/128;(2,1,1);(f, Xr);(2,1,2);(f, abs(A));YLIM([0 2]);
Рис. 2.1 Гармонический сигнал
Рис. 2.2 Огибающая гармонического сигнала
Программа выделения огибающей радиоимпульса:
s = zeros(1,256);
s(64:196) = cos(pi/8*(64:196));=
hilbert(s);=imag(sa);=real(sa);=sqrt((Xi.^2)+(Xr.^2));=
(-128:127)/128;(2,1,1);(f, Xr);(2,1,2);(f, abs(A));YLIM([0 2]);
Рис. 2.3 Радиоимпульс
Рис. 2.4 Огибающая радиоимпульса
Программа выделения огибающей АМК:
s = zeros(1,256);
s(1:256) = (1+0.5*cos(pi/64*(1:256))).*cos(pi/4*(1:256));=
hilbert(s);=imag(sa);=real(sa);=sqrt((Xi.^2)+(Xr.^2));=
(-128:127)/128;(2,1,1);(f, Xr);(2,1,2);(f, abs(A));YLIM([0 2]);
Рис. 2.5 Амплитудно-модулированное колебание
Рис. 2.6 Огибающая АМК
Рис. 2.7 Амплитудно-модулированное колебание с
другой несущей частотой
Рис. 2.8. Огибающая АМК
Как видно из последних графиков частота несущего
колебания не влияет на вид огибающей сигнала.
Программа выделения огибающей АМК с примесью
шума в модулирующее колебание:
s = zeros(1,256);= 1*rand(1);=
1*rand(1);(1:256) = ((B*0.2*sin(pi/8*(1:256))) + (A*0.101*cos(pi/4*(1:256))) +
+(1+0.5*cos(pi/64*(1:256)))).*cos(pi/4*(1:256));=
hilbert(s);=imag(sa);= (-128:127)/128;(2,1,1);(f, Xr);(2,1,2);(f,
abs(A));YLIM([0 2]);
Рис. 2.9 АМК с примесью шума в модулирующее
колебание
Рис. 2.10 Огибающая АМК с примесью шума в
модулирующее колебание
.2.2 Программы выделения огибающей одиночных
звуков
Проведем анализ простых одиночных звуков
(глассных) на примере звуков [а][и][е]. По полученным огибающим этих звуков
можно судить о таких переходных процессах, как атака и затухание звука.
Программа выделения огибающей звука [a]:
s=WAVREAD('a.wav');=
hilbert(s);=imag(sa);=real(sa);=sqrt((Xi.^2)+(Xr.^2));= 12000;= 8;
[b, a] = ellip(4, 1, 80,
F0/Fs*2);=length(s)=filter(b,a,abs(A));=(-q/2:(q/2)-1)./q;(3,1,1);(s);XLIM([80000
140000]);(3,1,2);(abs(y));XLIM([80000
140000]);(3,1,3);(f,abs(fftshift(fft(s))));XLIM([-0.03 0.03]);
Рис. 2.11 Временная реализация звука [a]
Рис. 2.12
Огибающая звука [a]
Рис. 2.13 Нормированный спектр звука [a]
Программа выделения огибающей звука [и]:
s=WAVREAD('i.wav');=
hilbert(s);=imag(sa);=real(sa);=sqrt((Xi.^2)+(Xr.^2));= 12000;= 8;
[b, a] = ellip(4, 1, 80,
F0/Fs*2);=length(s)=filter(b,a,abs(A));=(-q/2:(q/2)-1)./q;(3,1,1);(s);XLIM([50000
110000]);(3,1,2);(abs(y));XLIM([50000 110000]);(3,1,3);
Рис.2.14. Временная реализация звука [и]
Рис. 2.15
Огибающая звука [и]
Рис. 2.16 Нормированный спектр звука [и]
Программа выделения огибающей звука [е]:
s=WAVREAD('e.wav');=
hilbert(s);=imag(sa);=real(sa);=sqrt((Xi.^2)+(Xr.^2));= 12000;= 8;
[b, a] = ellip(4, 1, 80,
F0/Fs*2);=length(s)=filter(b,a,abs(A));=(-q/2:(q/2)-1)./q;(3,1,1);(s);XLIM([39000
65000]);(3,1,2);(abs(y));XLIM([39000 65000]);(3,1,3);(f,abs(fftshift(fft(s))));XLIM([-0.02
0.02]);
Рис. 2.17 Временная реализация звука [е]
Рис. 2.18 Огибающая звука [е]
Рис. 2.19 Нормированный спектр звука [е]
.2.3 Программа выделения огибающей сложных
звуков
При анализе огибающей сложных звуков
использовалось сглаживание огибающей с помощью ФНЧ. По форме сглаженной
огибающей судят о переходных процессах в акустических сигналах - атаке и
затухании звука. Искажение атак ведет к неправильной передаче тембра, а к
изменению параметров затухания ухо малочувствительно.
Программа для выделения огибающей сложных звуков
(слов, словосочетаний):
s=WAVREAD('mama.wav');=
hilbert(s);=imag(sa);=real(sa);=sqrt((Xi.^2)+(Xr.^2));= 12000;= 25;
[b, a] = ellip(4, 1, 40,
F0/Fs*2);=length(s);=filter(b,a,abs(A));=(-q/2:(q/2)-1)./q;(3,1,1);(s);XLIM([70000
105000]);(3,1,2);(abs(y));XLIM([70000
105000]);(3,1,3);(f,abs(fftshift(fft(s))));XLIM([-0.03 0.03]);
Рис. 2.20 Временная реализация слова «мама»
Рис. 2.21
Огибающая слова «мама»
Рис. 2.22 Нормированный спектр слова «мама»
Рис. 2.23 Временная реализация слова «нил»
Рис. 2.24
Огибающая слова «нил»
Рис. 2.25 Нормированный спектр слова «нил»
огибающая сигнал идентификация звук
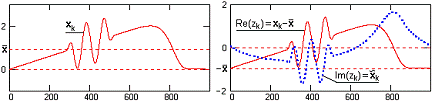
3. Результаты экспериментального
исследования
.1 Одиночные звуки
Рис. 3.1 Реализация, огибающая и спектр
синтезированного звука [а]
Рис. 3.2 Реализация, огибающая и спектр
записаного звука [а]
Рис. 3.3 Реализация, огибающая и спектр
синтезированного звука [е]
Рис. 3.4 Реализация, огибающая и спектр
записаного звука [е]
.2 Переходы между звуками
Рис. 3.5 Реализация, огибающая и спектр
синтезированного слова «мама»
Рис. 3.6. Реализация, огибающая и спектр
записанного слова «мама»
Рис. 3.7 Реализация, огибающая и спектр перехода
от одного звука к другому в синтезированом слове
Рис. 3.8. Реализация, огибающая и спектр
перехода от одного звука к другому в записанном слове
3.3 Словосочетания
Рис. 3.5 Реализация, огибающая и спектр
записанного словосочетания
Рис. 3.7 Реализация, огибающая и спектр
записанного слова
4. Анализ безопасности и
экологичности работы
.1 Анализ трудового процесса пользователя
Вначале дадим некоторые пояснения. Как следует
из всего вышеописанного материала, наша разработка представляет собой
программно-математический продукт, который может использоваться на компьютерах
типа IBM
PC . То есть наша
разработка представляет собой программу. Так как основная работа при
использовании программы будет проводиться с использованием персонального
компьютера, поэтому все нагрузки (интеллектуальные, сенсорные, эмоциональные)
будут ложиться на оператора ЭВМ. Исходя, из этого следует, что основным
каналом, представляющим потенциальную опасность для пользователя, является
информационный канал.
Отметим, что алгоритм действия пользователя
будет в общем таким же, как и при эксплуатации обычного программного продукта
(конечно, включая свою специфику).
.2 Оценка качественных характеристик трудового
процесса
Все факторы (показатели) трудового процесса
имеют качественную или количественную выраженность и их можно сгруппировать по
видам нагрузок:
· интеллектуальные;
· сенсорные;
· эмоциональные;
· монотонные;
· режимные.
Результатом проведенной оценки является таблица
4.1 (см. ниже), в которой указаны наименование оцениваемого фактора, заключение
и его оценка.
Оценка показателей напряженности трудового
процессаТаблица.4.1
|
Наименование
фактора
|
Заключение
|
Оценка
|
|
1
|
2
|
3
|
|
1.
Интеллектуальные нагрузки
|
|
Содержание
работы
|
Работа
предполагает решение сложных задач с выбором решения по известным алгоритмам
(работа по серии инструкций)
|
3.1
|
|
Восприятие
сигналов (информации) и их оценка
|
Восприятие
сигналов с последующим сопоставлением фактических значений параметров с их
номинальными значениями. Заключительная оценка фактических значений
параметров
|
3.1
|
|
Распределение
функций по степени сложности задания
|
Обработка,
проверка и контроль за выполнением задания
|
3.1
|
|
Характер
выполняемой работы
|
Работа
в условиях дефицита времени
|
3.1
|
|
.2
Сенсорные нагрузки
|
|
Длительность
сосредоточенного наблюдения (в % от времени смены)
|
51-75
|
3.1
|
|
Плотность
сигналов (световых, звуковых) и сообщений в среднем за 1 час работы
|
176
- 300
|
3.1
|
|
Наблюдение
за экраном видеотерминала (часов в смену): - при буквенно-цифровом
отображении; - при графическом
|
3-4
5-6
|
3.1
|
|
1
|
2
|
3
|
|
Размер
объекта различения (при расстоянии от глаз работающего до объекта различения
не более 0,5 м) в мм при длительности сосредоточенного наблюдения (% времени
смены)
|
1-0,3
мм -более 50 %; менее 0,3 мм -25-50 %
|
3.1
|
|
Работа
с оптическими приборами (микроскопы, лупы и т. п.) при длительности
сосредоточенного наблюдения (% времени смены)
|
до
25
|
1
|
|
Нагрузка
на слуховой анализатор (при производственной необходимости восприятия речи
или дифференцированных сигналов)
|
Разборчивость
слов и сигналов от 70 % до 50 %. Имеются помехи, на фоне которых речь слышна
на расстоянии до 2 м
|
3.1
|
|
Нагрузка
на голосовой аппарат (суммарное количество часов, наговариваемое в неделю)
|
20-25
|
3.1
|
|
3.
Эмоциональные нагрузки
|
|
Степень
ответственности за результат собственной деятельности. Значимость ошибки.
|
Оператор
несет ответственность за функциональное качество основной работы (задания).
Влечет за собой исправления за счет дополнительных усилий всего коллектива
(группы, бригады и т.п.)
|
3.1
|
|
Степень
риска для собственной жизни
|
Исключена
|
1
|
|
4.
Монотонность нагрузок
|
|
Число
элементов (приемов), необходимых для реализации простого задания или в
многократно повторяющихся операциях
|
5-3
|
3.1
|
|
Продолжительность
(в с) выполнения простых производственных заданий или повторяющихся операций
|
24-10
|
3.1
|
|
Время
активных действий (в % к продолжительности смены). В остальное время -
наблюдение за ходом производственного процесса
|
9-5
|
3.1
|
|
Монотонность
производственной обстановки (время пассивного наблюдения за ходом
технологического процесса в % от времени смены)
|
81-90
|
3.1
|
|
5.
Режим работы
|
|
Фактическая
продолжительность рабочего дня
|
6-7
ч
|
1
|
|
Сменность
работы
|
Двухсменная
работа (без ночной смены)
|
2
|
|
Наличие
регламентированных перерывов и их продолжительность
|
Перерывы
не регламентированы и недостаточной продолжительности: до 3 % рабочего
времени
|
3.1
|
|
|
|
|
|
Дадим теперь общую оценку напряженности труда
Так как более шести показателей отнесены к
классу 3.1, то труд считается напряженным 2-й степени. Данный уровень (2
степень 3 класса) можно охарактеризовать следующим образом: уровни вредных
факторов, вызывающие стойкие функциональные изменения, приводящие в большинстве
случаев к увеличению производственно обусловленной заболеваемости (что
проявляется повышением уровня заболеваемости с временной утратой
трудоспособности и, в первую очередь, теми болезнями, которые отражают
состояние наиболее уязвимых органов и систем для данных вредных факторов),
появлению начальных признаков или легких (без потери профессиональной
трудоспособности) форм профессиональных заболеваний, возникающих после
продолжительной экспозиции (часто после 15 лет и более).
4.3 Разработка мероприятий, снижающих
воздействие выявленных вредных факторов
Рассмотрим все факторы, получившие оценку 3.1 и
выше. Так как они считаются вредными и подлежат более детальному рассмотрению.
Сразу же попытаемся разработать мероприятия по компенсации либо устранению их
негативного влияния.
Интеллектуальные нагрузки
В нашем случае оператор ЭВМ должен решать
сложные задачи с выбором решения по известным алгоритмам. Степень
интеллектуальной нагрузки тут зависит от подготовленности специалиста, большую
роль играет опыт работы в данной области. Для снижения влияния интеллектуальных
нагрузок можно предложить разработку новых более простых алгоритмов принятия
решений, совершенствование своих знаний в данной области.
Сенсорные нагрузки
Широко известен тот факт, что работа за видеотерминалами
приводит к развитию значительного утомления в сфере зрительного анализатора.
Причиной этого являются фиксация близко расположенных, движущихся объектов,
рассматривание мелких деталей, постоянный перевод взора с одного объекта на
другой, частые резкие переходы от света к тени и обратно, блеклость, пульсация
освещенности и другие факторы. Все это через определенный период времени может
привести к патологическим изменениям органа зрения. Работа за монитором требует
большого нервно-психического напряжения, связанного с необходимостью
длительного наблюдения, концентрации памяти и внимания, решения сложных задач.
Признаком чрезмерного зрительного утомления
является головная боль с локализацией в затылочной, височной или фронтальных
областях. Иногда появляются тошнота, депрессия и ряд других неприятных
ощущений. Накопление утомления и продолжительное перенапряжение способствуют
развитию таких патологических состояний как амблиопия, астенопия, миопия,
нитагм и другие.
Наиболее радикальными средствами оздоровления
труда в условиях зрительного напряжения являются совершенствование техники и
технологии, внедрение устройств для считывания и восприятия зрительной
информации, отвечающих современным требованиям эргономики, использование
рационального освещения, цветовых контрастов. Благоприятное влияние на зрение
оказывают относительно малонасыщенные цвета средней части видимого спектра
(желтый, зеленый, голубой).
Самым оптимальным решением вопроса выбора цвета
является использование цветовой палитры Windows,
которую пользователь волен изменять по своему вкусу.
Снижение зрительного утомления достигается путем
устранения пульсации светового потока, постоянной смены полей зрения, резких
световых и цветовых контрастов, сильной освещенности, слепящих поверхностей и
др. Для уменьшения утомления зрительного аппарата лиц, работающих с дисплеями
(как и в нашем случае), должны учитываться яркость фонового свечения экрана и
высвечивания информации, частота мельканий изображений, ширина линий,
контрастность изображения. При этом важны форма, размеры, окраска клавиатуры,
дисплея, расположение отдельных клавиш, усилия, при которых они срабатывают,
рабочие сиденья. По своему желанию операторы должны иметь возможность изменять
наклон своего корпуса, высоту пульта клавиатуры и экрана, расстояние от экрана
до края стола, наклон экрана. Кресло оператора должно иметь высокую спинку,
наклон которой мог бы меняться.
В профилактике зрительного утомления и
перенапряжения особую значимость имеет рациональный режим труда и отдыха,
включающий регламентацию продолжительности рабочего дня, введение
регламентированных перерывов, сеансов релаксации, выполнение специальных
упражнений для глаз, соблюдение рекомендаций по организации активного отдыха.
Эмоциональные нагрузки
У современных работников при решении
производственно важных задач происходит тесное переплетение интеллектуальной
деятельности. Труд в настоящее время не сводится лишь к умственной
деятельности, он часто связан с эмоциональными напряжениями: достижением
поставленной цели, преодолением затруднительных ситуаций и с
социально-производственными факторами риска.
Факторы риска можно условно разделить на
биолого-психологические и социально-производственные.
Из психологических факторов имеет значение
резкая выраженность тех или иных черт характера.
К факторам социально-производственной природы
относятся: социальные перемены, значимые жизненные трудности, эмоциональное
длительное напряжение и хроническая усталость, снижение интереса к работе,
сменный характер работы, невыполнение плана, частая смена рабочего стереотипа,
ночные смены, недостаток свободного времени , отсутствие трудовых навыков и
другие.
Для предупреждения хронического эмоционального
стресса можно дать следующие рекомендации:
· необходимо совершенствовать свои знания и квалификацию
(зачастую неполадки в работе и в быту возникают по незнанию или неопытности);
· необходима умеренная и постоянная
производственная нагрузка (нервное напряжение возникает чаще у тех, кто берется
за несколько дел одновременно);
· правильное трудовое,
психогигиеническое, эстетическое и этическое воспитание в значительной степени
предупреждает вероятность возникновения стрессовых ситуаций;
· необходимо разнообразить свой отдых,
способы проведения досуга, отпусков;
· наиболее часты и вредны стрессы,
возникающие по незначительным обстоятельствам, поэтому надо избегать
неоправданных стрессовых волнений, реально оценивать происходящее.
Монотонность нагрузок
В нашем случае монотонность работы заключается в
том, что оператор ЭВМ проводит продолжительное время наблюдая за ходом
процесса, а время активных действий мало по сравнению со всем временем рабочей
смены. В развитии состояния монотонии определенное значение имеет количество
объектов наблюдения, из которых поступают или могут поступать информационно
значимые сообщения, а также размеры зон наблюдения.
Влияние на человека одной и той же степени
монотонного труда оказывается различным в зависимости от других особенностей
трудового процесса. Одни из них способствуют развитию состояния монотонии,
другие наоборот предотвращают или отдаляют его появление. Помимо
физиологических изменений, монотонный труд приводит к изменениям,
характеризующим психологический статус работающего, его субъективные ощущения и
переживания.
Наиболее типичными из них являются ощущения скуки,
апатии, сонливости, рассеянности внимания, раздражительности,
неудовлетворенности трудом.
Специфика монотонной работы приводит к тому, что
около 50-60% работающих недовольны своей работой. Для избежания этого
негативного влияния необходимо разнообразить отдых работающих, регламентировать
перерывы, в общем проводить мероприятия как и для снижения эмоциональных
нагрузок.
Режим работы
Для избежание излишних эмоциональных и
монотонных нагрузок в режиме работы должны быть предусмотрены
регламентированные перерывы. К примеру, каждый час работы оператор должен
делать десятиминутный перерыв (в том числе и для того, чтобы “отдохнули”
глаза). После каждых двух часов работы можно делать получасовой перерыв. Также
необходимо разнообразить отдых после работы.
4.4 Экологичность работы
Основным вредным фактором при эксплуатации нашей
разработки является воздействие различных характеристик ЭВМ. В их число входят
в частности шумовые и излучательные характеристики ЭВМ.
Одним из главных источников неблагоприятного
воздействия персонального компьютера является излучение дисплея. Ниже
представлены излучательные характеристики мониторов:
· электромагнитное поле монитора в диапазоне
частот 20Гц-1000Мгц;
· статический электрический заряд на
экране монитора;
· ультрафиолетовое излучение в
диапазоне 200нм-400нм;
· инфракрасное излучение в диапазоне
1050нм-1мм;
Для устранения отдельных видов электромагнитных
излучений, исходящих от работающего компьютера применяются различные средства.
Так, для того, чтобы минимизировать статическое, электромагнитное излучения
монитора используются защитные экраны или мониторы со стандартом безопасности
ТСО’95, ТСО’99.
В настоящее время весьма эффективным решением
является использование жидкокристаллических дисплеев. Электромагнитные поля у
них значительно слабее, чем у обычных мониторов.
Возмущения, создаваемые компьютером в
электрической сети гасятся при помощи установки сетевых фильтров. Кабельные
системы желательно тщательно экранировать и размещать подальше от людей.
Также компьютер является источником звуковых
шумов (всевозможные печатающие устройства, клавиатура, системы охлаждения, а
также различные дисковые накопители). Для устранения этих помех следует
применять малошумные компьютерные подсистемы, заменять шумные (щёлкающие)
клавиатуры на новые бесшумные модификации, матричные и струйные принтеры
следует также заменять на более тихие лазерные.
5. Экономическое обоснование работы
.1 Расчет затрат на разроботку
Для получения готового алгоритма необходимо
произвести обзор литературы, выбрать метод для построения алгоритма,
разработать алгоритм, провести исследования с применением разработанного
алгоритма исходя из чего составим смету на техническую подготовку производства
таблица 5.1.
Таблица
5.1
Основные этапы разработки
|
Этап
разработки
|
Исполнители
|
Трудоемкостьчас
|
Часовая
ставка руб./час
|
Стоимость,
руб.
|
|
Разработка
ТЗ, подготовка исходных данных
|
Доцент
|
5
|
12,88
|
64,4
|
|
Изучение
проблемы, обзор литературы
|
Инженер
|
50
|
9,52
|
476
|
|
Выбор
метода
|
Инженер
|
12
|
9,52
|
114,24
|
|
Программирование
алгоритма при помощи ЭВМ
|
Инженер
|
50
|
9,52
|
476
|
|
Анализ
результатов экспериментального исследования
|
Инженер
|
12
|
9,52
|
114,24
|
|
Оформление
ПЗ
|
Инженер
|
29
|
9,52
|
276,08
|
|
Итого
|
-
|
158
|
-
|
1550,96
|
Полные затраты на техническую подготовку
производства складываются из основной заработной платы, дополнительной
заработной платы, отчислений на социальные нужды и накладных расходов.
Дополнительная зарплата составляет 20% к
основной, т.е.
Пдоп = 310,2 руб.
Отчисления на социальное и другие- виды
страхования - составляют: 35.6% и равняются 552,14 рублей.
Накладные расходы - 200% от основной заработной
платы разработчиков и равняются 3101,92 рубля.
Материальные затраты - слагаются из количества
часов использования электрооборудования (ЭВМ, измерительные приборы), имеем 109
часов работы оборудования тарифная ставка 15 руб./час: 109 . 15 =
1635 рублей.
Таблица
5.2
|
Наименование
калькуляционной статьи
|
Формула
|
Сумма,
Руб.
|
|
1.
Основная зарплата
|
Табл.1
|
1550,96
|
|
2.
Дополнительная зарплата
|
20%
от п.3
|
310,2
|
|
3.
Единый соц. налог
|
35,6%
от (п.1 + п.2)
|
552,14
|
|
4.
Накладные расходы
|
200%
от п.3
|
3101,92
|
|
5.
Материальные затраты
|
|
1635
|
|
Итого
|
п.1+п.2+п.3+
п.4+ п.5
|
7150,22
|
Таким образом полные затраты на техническую
подготовку производства складываются из основной заработной платы, дополнительной
заработной платы, отчислений на социальные нужды и расходов на сырье и
материалы составляют: 7150 рублей 22 копейки.
Вывод: произведенные расчеты определили полные
затраты на разработку алгоритма выделения огибающей. Были определены суммы для
оплаты квалифицированного труда профессорско-инженерного состава, что составило
1550 рублей 96 копеек, и полного расхода денежных средств на разработку - 7150
рубля 22 копейки.
Заключение
В дипломной работе на академическую степень
“бакалавра” был разработан и смоделирован алгоритм выделения огибающей сложных
периодических сигналов. Разработанный алгоритм позволяет получать первичные
признаки различных звуков. Он является варьируемым, т.е. легко перестраивается
под различные сигналы и цели исследования.
Полученные результаты могут быть использованы в
системах идентификации и верификации звуков.
Сделан анализ безопасности разработки при её
эксплуатации, с указанием возможных опасных факторов.
Приведены экономические параметры работы,
определены полные затраты на разработку.
Список используемой литературы
1.
Гоноровский И.С. Радиотехнические цепи и сигналы. М.: Советское радио,1977
.
Баскаков С.И. Радиотехнические цепи и сигналы. М.: Высшю школа, 1983
.
Проэктирование и технология электронных средств №1, 2004
.
Рабинер Л.Р., Шафер Р.В. Цифровая обработка речевых сигналов /Пер. с англ.; Под
ред. М.В. Назарова, Ю.Н. Прохорова. М.: Радио и связь, 1981
.
Левин К.Е., Никитин О.Р. Моделирование устройств обработки речевых сигналов.
Сборник научных трудов «Методы и устройства».
.Сорокин
В.Н. Теория речеобразования. М.: Радио и связь, 1985
.
Галунов В.И., Гарбарук В.И. Акустическая теория речеобразования и система
фонетических признаков. Материалы международной конференции: 100 лет
экспериментальной фонетики. СПб., 2001
.
Галунов В.И., Уваров В.К. Ещё раз о механизме голосообразования. XI
сессия Российского акустического общества. М., 2001
.
Морозов В.П. Особенности спектра вокальных гласных. В кн.: “Механизмы
речеобразования и восприятия сложных звуков”. М.-Л.: Наука, 1966