Линейные автоматические системы

  • Вид работы:
    Контрольная работа
  • Предмет:
    Информатика, ВТ, телекоммуникации
  • Язык:
    Русский
    ,
    Формат файла:
    MS Word
    545,34 Кб
  • Опубликовано:
    2016-03-27
Вы можете узнать стоимость помощи в написании студенческой работы.
Помощь в написании работы, которую точно примут!

Линейные автоматические системы

Министерство образования и науки Российской Федерации

Федеральное государственное автономное образовательное учреждение

высшего профессионального образования

«Российский государственный профессионально-педагогический университет»

Институт электроэнергетики и информатики

Кафедра микропроцессорной управляющей вычислительной техники




Контрольная работа

по дисциплине

«Основы теории автоматического управления»

Вариант 8











Екатеринбург 2015

ЗАДАНИЕ 1

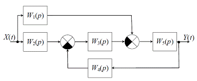
Произвести преобразование исходной структурной схемы линейной системы автоматического регулирования и записать передаточную функцию разомкнутой и замкнутой системы.

Характеристики передаточных функции звеньев примененных в схемах:

W1(p) = k1p, где k1 = 1;(p) = k2/p, где k2 = 2;(p) = k3/(T3p+1), где k3 = 3, T3 = 0,3c;(p) = k4(T4p+1), где k4 = 4, T4 = 0,4c;(p) = k5p, где k5 = 5.

Для определения передаточных свойств системы автоматического регулирования ее структурную схему преобразуют к эквивалентному расчетному виду. Для преобразования структурных схем применяются определенные правила.

Вид исходной структурной схемы системы автоматического регулирования:


Подставим заданные значения в передаточные функции:

W1(p) = p;(p) = 2p;(p) = 3/(0,3p+1);(p) = 4(0,4p+1);(p) = 5p.



Затем применяем правило перестановки сумматоров:


Выполняем последовательные соединения:


Выполняем параллельные соединения:


Выполняем окончательное последовательное соединение:


Находим передаточную функцию системы:


Находим передаточную функцию замкнутой системы:


Находим передаточную функцию разомкнутой системы:


ЗАДАНИЕ 2

По передаточной функции Wp(p) разомкнутой системы автоматического управления построить амплитудно-фазовую частотную характеристику и определить, используя критерий Найквиста, устойчивость замкнутой системы и запас устойчивости по амплитуде и фазе.

автоматический управление устойчивость замкнутый


Согласно критериям Найквиста: система автоматического управления устойчива, если амплитудно-фазовая характеристика разомкнутого контура W(jω) не охватывает точку с координатами (-1; j0).

Построим диаграмму Найквиста с использованием программного комплекса Matlab.

Исходная функция описывается выражением: h=tf([60 0],[0.12 0.7 1]).

Диаграмма Найквиста по команде Matlab: nyquist(h).

Определение устойчивости и запаса устойчивости системы по амплитуде и фазе производим по диаграмме ниже. Поскольку амплитудно-фазовая частотная характеристика не охватывает точку с координатами (-1, j0) и разомкнутая система устойчива, то и замкнутая система при заданных параметрах устойчива. Запас устойчивости по амплитуде равен значению величины отрезка h между точкой (-1, j0) и амплитудно-фазовой частотной характеристикой. В данном случае, запасы устойчивости по амплитуде и фазе составляют: h = 1; λ = 90°.

Похожие работы на - Линейные автоматические системы

 

Не нашли материал для своей работы?
Поможем написать уникальную работу
Без плагиата!
Без нейросетей!