Динамические характеристики типовых звеньев
Министерство
образования и науки Российской Федерации
Федеральное
государственное автономное образовательное учреждение
высшего
профессионального образования
«Российский
государственный профессионально-педагогический университет»
Институт
электроэнергетики и информатики
Кафедра
микропроцессорной управляющей вычислительной техники
Лабораторная
работа №2
по
дисциплине «Основы теории автоматического управления»
на тему:
«Динамические характеристики типовых звеньев»
Екатеринбург
Цель работы.
Изучение временных и частотных характеристик
основных типов динамических звеньев (апериодическое звено 1-го порядка и
колебательное звено); освоение способа экспериментального определения
неизвестных параметров этих звеньев по их временным характеристикам.
Подготовка к работе.
В командном окне MATLAB загрузите рабочую среду
labspace. Откройте библиотеку блоков Lab2Libr и пустое рабочее окно Lab2Window.
В работе исследуется одно из апериодических звеньев 1-го порядка (блоки А1…А6)
и одно из колебательных звеньев (блоки К1…К6) в соответствии с номером
варианта. Параметры этих блоков скрыты от студента; они будут экспериментально
определяться в ходе лабораторной работы. Номер варианта указывается
преподавателем. Перенесите звенья с заданным номером из библиотеки в рабочее
окно.
Теоретические сведения.
Апериодическое звено имеет передаточную функцию
вида:
где К - коэффициент передачи, Т - постоянная
времени.
Для экспериментального определения этих
параметров можно использовать следующие свойства переходной и весовой функций
апериодического звена (рис. 1).
) Установившееся значение переходной функции
равно коэффициенту передачи звена К.
) Касательная к переходной функции в точке
начала координат отсекает на линии установившегося значения отрезок равный
постоянной времени Т.
) Линия t=T пересекает график переходной функции
на уровне 0,63 от ее установившегося значения.
Данные утверждения поясняются на рис.2.1.
Колебательное звено имеет передаточную функцию
вида:
где К - коэффициент передачи, Т - постоянная
времени, коэффициент демпфирования. Передаточная функция колебательного звена
имеет два комплексных полюса:
Рис. 1 - Свойства переходной и весовой функций
апериодического звена
Постоянная времени, и коэффициент демпфирования
колебательного звена связаны с действительной и мнимой частями полюсов
передаточной функции формулами:
;
.
Для экспериментального определения параметров
колебательного звена можно использовать следующие свойства его переходной
функции (рис. 2).
) Период колебаний переходной функции равен 2π/λ,
где
λ
- мнимая
часть полюсов передаточной функции.
) Действительная часть полюсов передаточной
функции γ
находится
по формуле:
где А1 и А2 - амплитуды соседних положительной и
отрицательной полуволн колебаний переходной функции относительно
установившегося значения.
) Установившееся значение переходной функции
равно коэффициенту передачи, т.к. сигнал на входе равен единице.
Данные утверждения поясняются на рис. 2.
Рис. 2 - Свойства переходной функции
колебательного звена
Задание 1. Определить коэффициент передачи и
постоянную времени апериодического звена с заданным номером.
) Снятие переходной функции апериодического
звена.
Схема для экспериментального определения
переходной функции, которая должна быть собрана в окне Lab2Window, показана на
рис.2.3. На вход исследуемого звена подается ступенчатый единичный сигнал от
блока Step. На индикаторе будут наблюдаться входной и выходной сигналы звена,
объединенные с помощью мультиплексора.
Рис. 3 - Схема определения переходной функции
Рис. 4 - Снятие переходной функции
апериодического звена
) Снятие весовой функции апериодического звена.
Схема для экспериментального определения весовой
функции показана на рис. 5. Для определения весовой функции используется тот
факт, что весовая функция является производной переходной функции. Для
вычисления производной в библиотеку Lab2Libr включен блок Derivative
(дифференцирующее звено).
Рис. 5 - Схема определения весовой функции

Рис. 6 - Снятие весовой функции апериодического
звена
) Определение параметров апериодического звена.
По графику переходной функции определяем
коэффициент передачи и постоянную времени апериодического звена: К=8;
0,63*8=5,04 => Т=2,5.
Начальное значение весовой функции равно
отношению коэффициента передачи звена к постоянной времени К/Т=8/2,5=3,3.
Тогда, передаточная функция имеет вид:
.
) Проверка полученного результата отображена на
рис. 4.
Экспериментальное определение параметров
колебательного звена
) Снятие переходной функции колебательного звена
выполняется аналогично снятию переходной функции апериодического звена.
динамический звено колебательный
функция
Рис. 7 - Снятие переходной функции
колебательного звена
Установившееся значение переходной функции,
период колебаний, амплитуды А1 и А2.
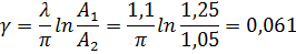
По графику определяем: период колебаний 2π/λ
= 5,7; коэффициент
передачи К = 1,5; амплитуда А1 = 1,25; амплитуда А2 = 1,05.
) Определение параметров колебательного звена.
Из периода колебаний вычислим мнимую часть
полюсов передаточной функции:
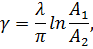
Действительную часть полюсов передаточной
функции находим по формуле:
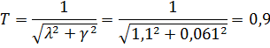
Находим постоянную времени колебательного звена:
Коэффициент демпфирования колебательного звена:
Таким образом, передаточная функция для
колебательного звена имеет вид: