Расчет стропильной системы

  • Вид работы:
    Курсовая работа (т)
  • Предмет:
    Строительство
  • Язык:
    Русский
    ,
    Формат файла:
    MS Word
    231,53 Кб
  • Опубликовано:
    2016-05-04
Вы можете узнать стоимость помощи в написании студенческой работы.
Помощь в написании работы, которую точно примут!

Расчет стропильной системы

Санкт-Петербургский государственный архитектурно-строительный университет

Факультет безотрывных форм обучения

Кафедра строительных конструкций









Курсовая работа

Расчет стропильной системы

Работу выполнил Чужинов А.А.

Студент группы СЗПГСувт-2

Номер зачетной книжки № 14100477

Руководитель работы Бызов В.Е.





г. Санкт-Петербург

г.

Содержание

Задание

.        Расчет рабочего настила.

.        Расчет стропильной ноги.

.        Расчет прогона.

.        Расчет стойки

. Расчет узлов

.1. Расчет узла врубки стропильной ноги в прогон на смятие

.2. Расчет узла врубки стропильной ноги в мауэрлат на смятии.

.3. Расчет опирания стропильной ноги на мауэрлат

Литература

1.      Расчет рабочего настила


Тип покрытия: наплавляемые рулонные материалы - наплавляемый двухслойный изопласт. Верхний слой - изопласт К с крупнозернистой посыпкой с лицевой стороны и полиэтиленовой пленкой с другой. Материал имеет нетканую основу изполиэфирного стеклохолста. Нижний слой изопласт П имеет ту же основу с покрытием полтэтиленовой пленкой с двух сторон.

Принятый уклон кровли: 7°

Размеры здания в осях 36×13 м.;

Срок службы здания: 50 лет;

Режим эксплуатации: 1А;

Коэффициент условия работы mв=1

Коэффициент надежности по сроку службы yнсс=1

Построечная конструкция покрытия: по стропильным ногам укладывается два настила:

Нижний - разреженный 25×150 мм, уложенный с зазорами 30мм;

Верхний - из досок 19×125 мм, уложенных без зазоров под углом 45° к нижнему.


Нагрузка на рабочий настил, кН/м2:

Таблица 1.

Наименование

Нормативная нагрузка qн

Коэф. надежности yf

Расчетная нагрузка qр

Постоянная




Верхний слой кровельного ковра - изопласт К

0,045

1,1

0,050

Нижний слой кровельного ковра - изопласт П

0,035

1,1

0,039

Защитный настил из досок 19 мм 0,019*5

0,095

1,1

0,105

Рабочий настил из досок 25 мм с расстоянием между осями досок 5*0,025*(15/18)

0,104

1,1

0,114

Итого постоянная

0,279

-

0,308

Временная




Снеговая нагрузка для III снегового района (Сланцы)

1,26

0,7

1,8

Итого временная

1,26

-

1,8

Полная нагрузка

-

2,108


Для настилов применяется доски из хвойной древесины III сорта с расчетым сопротивлением Rи=1,3 кН/м2. Незначительным уклоном пренебрегаем (при α=7° cosα=0,993=1).

Настил рассчитывается как двухпролетная неразрезная балка. Расчет ведется на полосе шириной 1 м на два случая нагружения.

случай нагружения - постоянная и временная нагрузка.

Погонная нагрузка:

нормативная

 

расчетная

 


Изгибающий момент в досках настила:

 

Момент сопротивления и момент инерции расчетной полосы настила:

 

Где

 

Напряжение изгиба в досках:

 

Прогиб:

 

случай нагружения - постоянная нагрузка и сосредоточенный груз (монтажная нагрузка Р=1 кН).

Сосредоточенный груз при наличии двух перекрестных настилов передается на полосу шириной 0,5 м

На расчетную полосу передаются нагрузки:

стропильный нога прогон стойка

 

 

 

 


 

 

Существует запас прочности, поэтому пробуем толщину досок 22 мм без учета некоторого снижения нагрузки:

 

 

 

При первом сочетании нагрузок:

 

 

Таким образом, следует принять толщину рабочего настила 22 мм.

2.      Расчет стропильной ноги


Таблица 2.

Наименование

Нормативная нагрузка qн

Коэф. надежности yf

Расчетная нагрузка qр

Постоянная




Таблица 1

0,279

1,1

0,308

Стропильная нога 175×200 мм 0,175*0,20*5*(1/1,5)

0,116

1,1

0,128

Итого постоянная

0,395

-

0,436

Временная




Снеговая нагрузка для III снегового района (Сланцы)

1,26

0,7

1,8

Итого временная

1,26

-

1,8

Полная нагрузка

1,539

-


Определение погонных нагрузок:

 

 

Определение усилий в стропильных ногах:

 

 

Длинна стропильной ноги не превышает 6 м (длина выпускаемых пиломатериалов), поэтому принимаем разрезную стропильную ногу равную  и расчитываем как однопролетную балку:

 

Момент сопротивления и момент инерции:

 

 

Напряжение изгиба:

 

Прогиб:

 

Окончательно принимаем сечение стропильной ноги 175×200 мм.

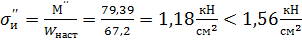
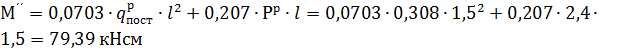
3.      Расчет прогона


Таблица 3.

Наименование

Нормативная нагрузка qн

Коэф. надежности yf

Расчетная нагрузка qр

Постоянная




Таблица 2

0,395

1,1

0,436

Прогон 125×150 мм 0,125*0,15*5*(1/2)

0,047

1,1

0,0515

Итого постоянная

0,442

-

0,49

Временная




Снеговая нагрузка для III снегового района (Сланцы)

1,26

0,7

1,8

Итого временная

1,26

-

1,8

Полная нагрузка

1,70

-

2,29


Определение погонных нагрузок:

 

 

Определение усилий в стропильных ногах:

 

Момент сопротивления и момент инерции:

 

 

Напряжение изгиба:

 

Прогиб:

 

Окончательно принимаем сечение прогона 125×150 мм.

4.      Расчет стойки


Расчет стойки производится как центрально-сжатого элемента, μ = 1, древесина III сорта. Высота стойки l = 1,2 м., шаг - 2,0 м

Задаемся гибкостью λ = 80

Расчетная высота стойки:

Требуемый минимальный радиус инерции:

Требуемая площадь сечения:

N - усилия сжатия в стойке;

φ - коэффициент продольного изгиба, для λ>70, , где А=3000 для древесины;

F - расчетное сопротивление древесины сжатию вдоль волокон (8,5 МПа=0,85 кН/см2);

 

Требуемая ширина сечения: ; в соответствии с сортаментом пиломатериалов принимаем b = 6 см

Гибкость стержня принятого сечения:

Напряжение:

Окончательно принимаем сечение стойки 60×40 мм

 

. Расчет узлов

 

.1 Расчет узла врубки стропильной ноги в прогон на смятие


Сосредоточенная нагрузка:

 

Смятие поперек волокон:

 

 

Прочность узла на смятие обеспечена.

5.2 Расчет узла врубки стропильной ноги в мауэрлат на смятии


Сосредоточенная нагрузка:

 

Смятие поперек волокон:

 

 

Прочность узла на смятие обеспечена.

5.3 Расчет опирания стропильной ноги на мауэрлат


Нужно рассчитать узел на скалывание древесины и подобрать такой размер врубки, чтобы скола не произошло.

Расчет сопртивления древесины скалыванию силой направленной под углом к волокнам а, определяется по формуле (при угле наклона скатов μ = 7°).

 

где Rск и Rск90 (кг/см2) - расчетные сопротивления древесины скалыванию вдоль волокн и поперек волокн, Rск = 16 кг/ см2, Rск90 = 8 кг/ см2.

Угол наклона площади скалыванию по отношению к направлению волокон в нашем случае равен углу наклона скатов.

Сила распора: Н = qpверт = L*ctgμ = 68,7*4,53*8,14 = 2533,2 кг

Погонная нагрузка на стропильную ногу по скату в вертикальной плоскости: qpверт=4,58*1,5=6,87 Кн

Расчитываем минимальную площадь, необходимую для того, чтобы скалывание не произошло:

 

Т.к. в качестве стропила используется брус шириной b = 17,5 см, то длина площадки скалывания должна быть не меньше

 

Рассчитываем глубину врубки:

Значит при устройстве врубки (запила) стропила делаем ее глубиной не менее 2 см, тогда стропило, запиленное на зуб, обеспечит устройство крыши, а зуб врубки не отколется. Сечение мауэрлата принимаем 200×200 см.

Литература


1.      СП 20.13330 2011 Нагрузки и воздействия

.        СП 64.13330.2011 Деревянные конструкции

.        Гроздов В.Т. Деревянные наслонные стропильные системы - СПб., Издательский Дом KN+, 2003. - 69с.

.        Никитин Г.Г., Каратеев Л.П. Расчет покрытия деревянных конструкций: учебное пособие. - СПбГАСУ, Спб., 2012. - 107с.

Похожие работы на - Расчет стропильной системы

 

Не нашли материал для своей работы?
Поможем написать уникальную работу
Без плагиата!
Без нейросетей!