Расчет каркаса одноэтажного промышленного здания
Расчет
каркаса одноэтажного промышленного здания
Содержание
каркас рама расчет нагрузка жесткость
Введение
Исходные
данные
. Компоновка
конструктивной схемы каркаса
.1 Разбивка
сетки колонны
.2
Определение вертикальных размеров рамы
.3 Установление
горизонтальных размеров рамы
. Определение
нагрузок, действующих на поперечную раму
.1 Постоянные
нагрузки от массы конструкций покрытия
.2 Снеговая
нагрузка
.3 Крановая
нагрузка
.3.1
Вертикальные крановые нагрузки
.3.2
Горизонтальные крановые нагрузки
.4 Ветровые
нагрузки
.Определение
жесткости элементов рамы
. Расчетная
ось рамы
. Расчетная
схема рамы
. Статический
расчет рамы
. Комбинации
нагрузок
. Расчет
стропильной фермы
.1 Схема
стропильной фермы
.2 Сбор
нагрузок
.3
Определение усилий в стержнях фермы
.4 Подбор
сечений стержней фермы
.5
Конструирование и расчет узлов фермы
. Расчет
одноступенчатой колонны
.1
Определение расчетных длин в плоскости
.2
Определение расчетных длин из плоскости
.3 Подбор
сечения верхней части колонны
.4 Подбор
сечения нижней части колонны
.5
Проектирование соединения верхней и нижней частей колонны
Список
литературы
Введение
Понятие «металлические конструкции» объединяют в себя их конструктивную
форму, технологию изготовления, и способы монтажа. Уровень развития металлических
конструкций определяется с одной стороны, потребностями в них народного
хозяйства, а с другой стороны - возможностями технической базы, развитием
металлургии, металлообработки, строительной науки и техники.
Строительство промышленных зданий из металлических конструкций получило
свое развитие в конце XIX и
начале XX века. Развитие тяжелой
промышленности потребовало оборудование промышленных сооружений мостовыми
кранами. Первое время их устанавливали на эстакадах, но это загромождало
помещение. С увеличением грузоподъемности мостовых кранов и насыщенности ими
производства, а также с увеличением высоты и ширины пролетов помещений стало
целесообразным строить здания с металлическим каркасом, поддерживающим как
ограждающие конструкции, так и пути для мостовых кранов. Основным несущим
элементом каркаса стала поперечная рама, включающая в себя колоны и ригеля
(стропильные фермы).
Металлические конструкции применяются сегодня во всех видах зданиях и
сооружениях, особенно, если необходимы значительные пролеты, высота и нагрузки.
Потребность в металлических конструкциях чрезвычайно велика и непрерывно
увеличивается.
1.
Компоновка поперечной рамы каркаса
Основу поперечной системы каркаса составляют поперечные рамы, компоновку
которых начинают с установления основных размеров элементов конструкции.
.1 Разбивка сетки колонны
Разбивку
сетки колонн здания производят с учетом требований унификации габаритных схем
промышленных зданий и конструктивных элементов. В курсовом проекте длина здания
, поэтому температурный шов вдоль здания не требуется.
Геометрические оси торцовых колонн основного каркаса смещаются от разбивочной
оси на 500 мм.
1.2 Определение вертикальных размеров рамы
Вертикальные габаритные размеры (рис.1) строения зависят от
технологических условий производства. Полезная высота цеха состоит из суммы
размеров головки крановой рейки и расстояния от головки крановой рейки до низа
несущей конструкции покрытия.
Полная (полезная) высота цеха - расстояние от уровня пола до низа
стропильных ферм - определяется по формуле:
H0= h1+ h2
h1 - расстояние от пола до головки кранового рельса. Оно
задается технологическим условием производства как отметка головки кранового
рельса. По условию данного проекта
h2 - расстояние от отметки головки кранового рельса до
низа стропильных ферм. Конструктивно оно определяется высотой крана по
каталогам Hк
h2= Hк+ƒmax+100 мм,
где
100 - минимальный зазор между верхом тележки крана и строительными
конструкциями, установленный по требованиям техники безопасности, мм;
ƒmax -
размер, учитывающий прогиб конструкций покрытия и высоту выступающих вниз
элементов связей, принимаемый равным 200...400 мм.
Расстояние
от головки рельса до низа конструкций покрытия:
h2= Hк+ƒmax+100 мм=4000+200+100=4300мм
Следовательно,
полная высота цеха от уровня пола до низа стропильной фермы:
H0= h1+ h2=16100+4300=20400мм
Общая
высота колонн от низа башмака до низа ригеля:
H= H0+(600…1000)=20400+1000=21400мм
Высота
верхней части колонн
hв= h2+ hп.б.+ hр
где
hп.б -
высота подкрановой балки, предварительно принимаемая равной 1/6...1/8 пролета
балки (пролет подкрановой балки равен шагу колонн - 6 м);
hп.б.=1/8∙B=6/8=0,75м, принимаем 1м
hр - высота кранового рельса, определяем из каталога на
краны. Исходя из типа кранового рельса КР - 120 принимаем hр=170 мм
Следовательно,
высота верхней части колонн:
hв= h2+ hп.б.+ hр=4300+1000+170=5470мм
Высота
нижней части колонн:
hн=H- hв =21400-5470=15930мм
Высота
стропильной фермы на опоре
.
.3
Установление горизонтальных размеров
Принимаем
привязку наружной грани колонны к разбивочной продольной оси
.
Наименьшее
расстояние от оси кранового рельса до разбивочной оси принимаем
Минимальное
приближение габарита крана до внутренней
кромки верхней части колонны из условия безопасной эксплуатации крана принимают для крана грузоподъемность 1000 кН с=75мм.
Свес
моста крана принимаем по каталогу кранов В1=400мм.
Ширина
верхней части колонны:
bв= λ+ b0-( В1+с)=1250+250-(400+75)=1025мм
Принимаем
bв=1000мм.
Ось
подкрановой балки совмещают с осью подкрановой ветви нижней части колонны.
Тогда ширина нижней части колонны:
bн= b0+ λ=250+1250=1500мм
Пролет
крана
Lк=L-2∙λ=30000-2∙1250=27500мм
Отношение
, что удовлетворяет условию обеспечения жесткости
каркаса в поперечном направлении.
2.Определение
нагрузок, действующих на поперечную раму
.1
Постоянные нагрузки от массы конструкций покрытия
В
постоянную нагрузку от кровельного покрытия включаются нагрузки от всех слоев
кровли, ограждающих конструкций покрытия, железобетонных плит и несущих
конструкций стропильных ферм, связей. Величину расчетной постоянной нагрузки на
1 м
покрытия удобно определять в табличной форме
(Табл.1).
Табл.1
|
№ п/п
|
Наименование нагрузки
|
Характеристическое значение нагрузки, кПа
|
Эксплуатационное значение
|
Граничное значение
|
|
|
|
γfe , кПа
|
gfe , кПа
|
γfm , кПа
|
gfm , кПа
|
|
1
|
Защитный слой (гравий втопленный в битумную мастику), δ=20
мм
|
0,4
|
1
|
0,4
|
1,3
|
0,52
|
|
2
|
Изоляционный ковер - 3-хслойный рубероид
|
0,15
|
1
|
0,15
|
1,3
|
0,195
|
|
3
|
Стяжка из цементно-песчаного раствора, δ=20
мм, γ=18
кН/м3
|
0,36
|
1
|
0,36
|
1,3
|
0,486
|
|
4
|
Утеплитель - керамзит, δ=100 мм, γ=5 кН/м3
|
0,5
|
1
|
0,5
|
1,3
|
0,65
|
|
5
|
Пароизоляция - слой толя
|
0,04
|
1
|
0,04
|
1,3
|
0,052
|
|
6
|
Ж/б плиты 3х6
|
1,6
|
1
|
1,6
|
1,1
|
1,76
|
|
7
|
Собственный вес металлоконструкции покрытия
|
|
|
|
|
|
|
|
- стропильные фермы
|
0,4
|
1
|
0,4
|
1,05
|
0,42
|
|
|
- связи
|
0,1
|
1
|
0,1
|
1,05
|
0,105
|
|
Итого:
|
3,55
|
|
4,19
|
Определяем погонную расчетную нагрузку вдоль горизонтальной оси ригеля
рамы:
т. к. уклон кровли i=1,5%
, то cos α =0,999
Опорная вертикальная реакция фермы и момент от постоянной
нагрузки(рис.3):
.2 Снеговая нагрузка
Предельное расчетное значение снеговой нагрузки:

-
коэффициент надежности по предельному значению. Т. к. принимаем средний период
повторяемости Т=50 лет, то по табл. 8.1 ДБН В.1.2-2:2006

= 1,00.

характеристическое
значение снеговой нагрузки - нормативной значение веса снегового покрова на 1 м
горизонтальной поверхности земли. Определяем по
приложению Е ДБН В.1.2-2:2006 в зависимости от района строительства. Для города
Херсон

= 760
Па.
с
- коэффициент определяемый по формуле
Т.к.
коэффициенты в данной формуле принимаем за единицу, то и коэффициент с = 1.
Следовательно
Т.к.
шаг колон 
= 6 м, то предельное расчетное значение снеговой нагрузки
на погонный метр (рис.4) равно
.3 Крановые нагрузки
В соответствии с ДБН В.1.2-2-2006 «Нагрузки и
воздействия» п.7.1 нагрузки от мостовых кранов следует определять в зависимости
от групп режимов их работы, устанавливаемых ГОСТ 25546, от вида привода и от
способа подвеса груза. Режим работы определяем по приложению Г.
В данном варианте рассматривается кран
грузоподъемностью Q=1000/200кН с
режимом работы 4К - 6К (рис.5). Параметры крана представлены в табл.2
Табл.2
|
Q, т
|
Пролет здания, м
|
Размеры, мм
|
Max давление колеса, кН
|
Вес тележки Gт, кН
|
Вес крана с тележкой Gк , кН
|
|
Главный крюк
|
Вспомогательный крюк
|
|
Нк
|
В1
|
В2
|
К
|
Fк1,max
|
Fк2,max
|
|
|
|
100
|
20
|
30
|
4000
|
400
|
9350
|
4600
|
450
|
480
|
410
|
1450
|
.3.1 Вертикальные крановые нагрузки
В соответствии с п.7.2 ДБН В.1.2-2-2006 «Нагрузки и
воздействия» предельные расчетные значения для вертикальной нагрузки мостовых
кранов равно:
где
- коэффициенты надежности по крановой нагрузке,
принимаем
=1,1;
-
коэффициент сочетаний крановых нагрузок, принимаемый по 7.22,
= 0,85 -
для групп режимов работы кранов 1К-6К;

-
вычисляем как среднее от максимальных давлений колес крана
Значит,
Fm=1,1∙0,85∙465=434,8
кН
Давление
на колонну определяют от двух спаренных кранов. При этом давление будет
максимальным, если крайнее колесо 1-ого крана установить непосредственно на
колонну (рис.6).
Вертикальное
давления на колону от колеса Vmax равно сумме опорных заданных сил.
Ординаты
уi линии влияния под соответствующими заданными силами
определяются из подобия треугольника:
|
х1
|
0,60
|
y1
|
0,10
|
|
х2
|
5,20
|
y2
|
0,87
|
|
х3
|
6,00
|
y3
|
1,00
|
|
х4
|
2,58
|
y4
|
0,43
|
|
х5
|
2,05
|
y5
|
0,34
|
Тогда давление на колону будет равно
На колону также передается собственный вес двух подкрановых балок,
который предварительно принимается равным:
Тогда суммарное вертикальное давление на колонну будет равно:
Перенесем Dmax на
расчетную ось добавляя при этом изгибающий момент:
где
- эксцентриситет приложения крановой нагрузки по
отношению к центру тяжести сечения подкрановой части колонны.
Аналогично
подчитываем вертикальное давление на противоположную колонну поперечной рамы,
максимально удаленное от тележки с грузом.

.3.2
Горизонтальные крановые нагрузки
Поперечные горизонтальные крановые нагрузки возникают
при движении моста крана в следствии перекоса колес крана, а также не
идеальности крановых путей.
Рис.8 Вариант приложения боковых сил
Согласно ДБН В.1.2-2-2006 «Нагрузки и воздействия»
имеем два варианта приложения горизонтальных сил: А и Б. Принимаем вариант
А(рис.8).
В соответствии с п.7.6 ДБН характеристическое значение
Hnk для многоколесных (восемь колес и более) кранов с
жестким подвесом принимается равным 0,1 от максимальной вертикальной нагрузки
на колесо. При этом принимается, что боковые силы всех колес каждой из сторон
крана имеют одно направление - наружу пролета здания.
Горизонтальная
опорная реакция подкрановой балки на расчетную колону равна:
Аналогичная опорная реакция, действующая на противоположную колонну
поперечной рамы:

Расчетная
схема представлена на рис.9.
.4 Ветровая нагрузка
Расчет ветровой нагрузки производится в соответствии с п.9 ДБН
В.1.2-2-2006 «Нагрузки и воздействия».
В соответствии с п.9.4 предельное расчетное значение ветровой нагрузки
вычисляем по формуле:
где
- коэффициент надежности по предельному значению
ветровой нагрузки, определяемый по п. 9.14 в зависимости от заданного среднего
периода повторяемости T. Т.к Т=50лет, то 
= 1.
w0 - характеристическое значение
ветрового давления, задается в зависимости от города строительства, выбираем из
прил.Е. Для города Херсон

= 480
Па=0,48кН/м2
с - коэффициент, определяемый по формуле
Коэффициенты

принимаем
равными 1.

-
аэродинамический коэффициент, принимаем в соответствии с прил.И. Для активной
составляющей ветра 
. Для
пассивной составляющей ветра 
.

-
коэффициент учитывающий увеличение ветрового давления с увеличением высоты
сооружении от поверхности земли, определяем по табл. 9.01 в зависимости от
высоты Z и типа местности. Тип местности принимаем III.
Приведем ветровую нагрузку к расчетной схеме рамы:
Вычисляем ветровую нагрузку начиная с У.Ч.П. для
отметок: ригель(14.93), низ фермы(20.4),верх фермы и промежуточные отметки
кратные десяти. В соответствии с ДБН промежуточные значения ветрового давления
вычисляем по линейной интерполяции. Значения ветровых нагрузок представлены в
табл.3.
Табл.3
|
h, м
|
ch
|
|
|
кН/м
|
кН/м
|
|
5,00
|
0,40
|
0,32
|
0,24
|
0,88
|
0,66
|
|
10,00
|
0,60
|
0,48
|
0,36
|
1,31
|
0,98
|
|
14,93
|
0,72
|
0,58
|
0,43
|
1,58
|
1,19
|
|
20,40
|
0,86
|
0,69
|
0,52
|
1,89
|
1,42
|
|
23,55
|
0,96
|
0,77
|
0,57
|
2,09
|
1,57
|
Ветровое давление, действующее на участке от низа ригеля до верхней точки
здания(т.е равном hф) собирается с грузовой площади,
размером В∙hф и прикладывается в виде
сосредоточенной силой, приложенной в уровне нижнего пояса фермы. Значение этой
силы равно площади заштрихованной части эпюры давления (рис.10).
3.Определение жесткости элементов рамы
Приближенные значения геометрических характеристик ригеля определяем из
условия равенства максимальных прогибов сквозной фермы и эквивалентной ей
сплошной балки:
Эквивалентный момент инерции ригеля
где
- высота типовой фермы на опоре
;
-
расчетное сопротивление материала ригеля по пределу текучести.
.
-
максимальный расчетный момент в ферме как в сплошной балке пролетом L пролет
поперечной рамы, т.е.
от действия расчетной погонной постоянной нагрузки и
расчетной погонной снеговой нагрузки.
Тогда,
Площадь
поперечного сечения ригеля:
Значение
модуля упругости стали:
Получаем значение жесткости ригеля на изгиб и жесткости ригеля на сжатие:
Момент инерции нижней части колонны определяем по формуле:
где
- опорная реакция фермы от постоянной и снеговой
нагрузок
-
наибольшее расчетное давление на колонну от вертикальной крановой нагрузки.
,
- ширина
низа колонны, равная расстоянию от наружной грани колонны до оси подкрановой
ветви.
.
-
коэффициент, зависящий от типа сечения колонн, шага рам и их высоты.
.
-
расчетное сопротивление материала колонны.
.
Следовательно, момент инерции нижней части колонны:
Для определения площади поперечного сечения нижней части колонны
используем зависимость
Получаем значение жесткости нижней части колонн на изгиб и на сжатие:
Момент
инерции верхней части колонны определяем по формуле:
где
- ширина верхней части колонны
;
-
коэффициент, учитывающий фактическое неравенство площадей и радиусов инерции
поперечных сечений верхней и нижней частей колонн,
Следовательно,
момент инерции верхней
части колонны:
Получаем
значение жесткости верхней части колонн на изгиб и на сжатие:
4.
Расчетная ось рамы
Узлы рамы (рис. 11) принимаем на:
1) границе изменения ветровой нагрузки;
2) в месте сопряжения верхней и нижней частей каждой колонны.
Эксцентриситет расчетной оси рамы (рис.12):
Длина
оси ригеля:
Табл.3
Координаты узлов рамы
|
№ узла
|
x
|
y
|
№ узла
|
x
|
y
|
|
1
|
0,25
|
0
|
6
|
29,25
|
0
|
|
2
|
0,25
|
1
|
7
|
29,25
|
1
|
|
3
|
0,25
|
15,93
|
8
|
29,25
|
15,93
|
|
4
|
0
|
15,93
|
9
|
29,50
|
15,93
|
|
5
|
0
|
21,40
|
10
|
29,50
|
21,40
|
5. Расчетные схемы рамы
Строим расчетные схемы рамы от отдельных нагружений:
.
Постоянное от покрытия
2.
Снеговое
3.
Крановое вертикальное Dmax на левой колоне
4.
Крановое вертикальное Dmax на правой колоне
5.
Сила Hm,г,max на левой колоне. Действует справа
налево
6.
Сила Hm,г,max на левой колоне. Действует слева
направо
7.
Сила Hm,г,max на правой колоне. Действует справа
налево
8.
Сила Hm,г,max на правой колоне Действует слева
направо
9.
Ветер слева направо
10.
Ветер справа налево
6. Статический расчет рамы от отдельных нагрузок
Статический расчет рамы выполняем для приведенных выше схем с помощью
программного комплекса SCAD.
Исходные данные для компьютерного расчета:
1. геометрия рамы (координаты узлов);
2. жесткость ригеля и частей колоны;
. значения нагрузок.
7. Комбинации нагружений
Усилия от комбинаций нагрузок приведены ниже в табл. 4.
Расчетные сечения колонны
Табл.4
|
№ сечения колоны
|
Обозначение усилия
|
Расчетные усилия в колоне ряда "А" (кН,кНм) от
комбинаций нагружений
|
|
|
+ Мmax
|
- Мmax
|
Nmax
|
Nmax
|
|
|
Nсоответ
|
Nсоответ
|
+ Мсоответ
|
- Мсоответ
|
|
1-1
|
|
комбинация №27
|
комбинация №
|
комбинация №27
|
комбинация №
|
|
N
|
-436.03
|
-
|
-436,0
|
-
|
|
M
|
1104,2
|
-
|
1104,2
|
-
|
|
2-2
|
|
комбинация №23
|
комбинация №16
|
комбинация №13
|
комбинация №25
|
|
N
|
-436,0
|
-330,6
|
-436,0
|
-384,0
|
|
M
|
435,9
|
-201,6
|
435,9
|
-140,7
|
|
3-3
|
|
комбинация №23
|
комбинация №
|
комбинация №2
|
комбинация №
|
|
N
|
-1402,6
|
-
|
-1448,4
|
-
|
|
M
|
1015,3
|
-
|
1010,7
|
-
|
|
4-4
|
|
комбинация №16
|
комбинация №27
|
комбинация №3
|
комбинация №2
|
|
N
|
-1307.4
|
-787,7
|
-1420.5
|
-1448.4
|
|
M
|
611,9
|
-1513,0
|
397,9
|
-1166,9
|
|
4-4
|
|
Максимальная поперечная сила Qmax в сечении
колоны при комбинации нагружений №23
|
|
Qmax
|
156,9
|
8. Расчет стропильной фермы
.1 Схема стропильной фермы
Стропильная ферма проектируется с параллельными поясами (в цели упрощения
изготовления и повышения унификации конструктивных схем), с треугольной
системой решетки (в цели уменьшения суммарной длины раскосов и сокращения
узлов) .
Высота
фермы:
, длина фермы:
.
.2
Сбор нагрузок и приведение их к узлам фермы
Основными
нагрузками при расчете стропильной фермы являются постоянная нагрузка от кровли
и нагрузка от снега.
Нагрузку
прикладываем на верхние узлы фермы: для средних узлов действует нагрузка с
силой F, для крайних узлов с силой F/2 .
Постоянная
нагрузка
Fпост. = gfm∙B∙γn∙d = gm∙d = 23,9∙3 = 71,7 кН
Fпост./2 = 35,85 кН
Снеговая
нагрузка:
Fсн.= gm,сн∙d =
4,33∙3 = 12,99 кН
Fсн./2 = 6,495 кН
Общая
нагрузка на ферму:
F = Fпост. + Fсн. = 71,7
+ 12,99 = 84,69 кН
.3
Определение усилий в стержнях фермы
Усилия
в стержнях фермы определяем с помощью программного обеспечения SCAD.
.4 Подбор сечений стержней фермы
· Верхний пояс - стержни центрально-сжаты
max = -967,89 кН
Определяем расчетные длины:
lef,x = 300 cмef,y = 300 cм
Задаем гибкость элементов λ = 80.
В соответствии с гибкостью по табл.72 СНиП II-23-81* «Стальные конструкции»
определяем коэффициент продольного изгиба для стали С245 с расчетным
сопротивлением Ry = 240 МПа - φ = 0,686.
Определяем требуемую площадь исходя из условия прочности
По сортаменту подбираем равнополочный уголок при условии, что
Ауг.
> 
см2.
2

125х14
А
= 33,37∙2 = 66,74 см2
ix =
3,80 см
Ix =
481,76 см4
z0 = 3,61 см
δф = 12 мм
Находим
фактическую гибкость стержня:
ix =
3,80 см

, где 
Следовательно

Значит,
λmax = λx = 79 ≈
80 →
φ = 0,686
Проверка:


Следовательно,
принимаем 2 
125х14.
· Нижний пояс - стержни центрально-растянуты
max = 1008,21 кН
В соответствии с п.5.1 СНиП II-23-81* «Стальные конструкции» из условия прочности определяем требуемую
площадь элемента:
По сортаменту подбираем равнополочный уголок при условии, что
Ауг.
> 
см2.
2

100х12
А
= 22,8∙2 = 45,6 см2
ix =
3,03 см
Ix =
208,9 см4
z0 = 2,91 см
δф = 12 мм
Проверка:


Следовательно,
принимаем 2 
100х12
· Раскосы
Опорный раскос - N = -526,29 кН
Определяем расчетные длины:
lef,x
= 420 cм
lef,y
= 420 cм
Задаем гибкость элементов λ = 70.
В соответствии с λ определяем коэффициент продольного изгиба - φ
= 0,754.
Определяем требуемую площадь исходя из условия прочности
По сортаменту подбираем равнополочный уголок при условии, что
Ауг.
> 
см2.
2

120х8
Ауг
= 18,8 см2
ix =
3,72 см
Ix =
259,75 см4
z0 = 3,25 см
δф = 12 мм
Находим
фактическую гибкость стержня:
ix =
3,72 см

Следовательно,

Значит,
λmax = λx = 113 → φ = 0,460
Проверка:


Принятый
уголок не удовлетворяет условию прочности.
Принимаем λ = 110.
φ = 0,478.
Определяем требуемую площадь исходя из условия прочности
По сортаменту подбираем равнополочный уголок при условии, что
Ауг.
> 
см2.
2

125х12
А = 57,78 см2
Ауг
= 28,89см2
ix =
3,82 см
Ix =
422,32 см4
z0 = 3,53 см
δф = 12 мм
Находим
фактическую гибкость стержня:
ix =
3,82 см

Следовательно

Значит,
λmax = λx = 110 → φ = 0,478
Проверка:


Следовательно,
принимаем 2 
125х12.
Сжатый
раскос - N = -292,38 кН
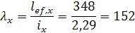
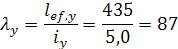
Определяем расчетные длины:
lef,x
= 0,8∙435 = 348 cм
lef,y
= 435 cм
Задаем гибкость элементов λ = 70.
В соответствии с λ определяем коэффициент продольного изгиба - φ
= 0,754.
Определяем требуемую площадь исходя из условия прочности
По сортаменту подбираем равнополочный уголок при условии, что
Ауг.
> 
см2.
2

75х7 А = 20,3 см2
Ауг
= 10,15 см2
ix =
2,29 см
Ix =
53,34 см4
z0 = 2,1 см
δф = 12 мм
Находим
фактическую гибкость стержня:
ix =
2,29 см

Следовательно,
Значит,
λmax = λx = 152 → φ = 0,270
Проверка:


Принятый
уголок не удовлетворяет условию прочности.
Принимаем λ = 120.
φ = 0,419.
Определяем требуемую площадь исходя из условия прочности
По сортаменту подбираем равнополочный уголок при условии, что
Ауг.
> 
см2.

120х8 А = 37,6 см2
Ауг
= 18,8 см2
ix =
3,72 см
Ix =
259,75 см4
z0 = 3,25 см
δф = 12 мм
Находим
фактическую гибкость стержня:
ix =
3,72 см

Следовательно,

Значит,
λmax = λx = 94 → φ = 0,584
Проверка:

Следовательно,
принимаем 2 
120х8.
Растянутый
раскос - N = 409,34 кН
Из
условия прочности определяем требуемую площадь элемента:

Ауг.
> 
см2.
2

60х8
А
= 9,04∙2 = 18,08 см2
ix =
1,81 см
Ix =
29,55 см4
z0 = 1,78 см
δф = 12 мм
Проверка:


Следовательно,
принимаем 2 
60х8
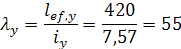
· Стойка - Nmax = -84,69 кН
Определяем расчетные длины:
lef,x
= 0,8∙305 = 252 cм
lef,y
= 315 cм
Задаем гибкость элементов λ = 80.
φ = 0,686.
Определяем требуемую площадь исходя из условия прочности
По сортаменту подбираем равнополочный уголок при условии, что
Ауг.
> 
см2.
2

45х4
А
= 3,48∙2 = 6,96 см2
ix =
1,38 см
Ix =
6,63 см4
z0 = 1,26 см
δф = 12 мм
Находим
фактическую гибкость стержня:
ix =
1,38 см

Следовательно

Значит,
λmax = λx = 183 → φ = 0,190
Проверка:

Принятый
уголок не удовлетворяет условию прочности.
Принимаем λ = 130.
φ = 0,364.
Определяем требуемую площадь исходя из условия прочности
По сортаменту подбираем равнополочный уголок при условии, что
Ауг.
> 
см2.
2

63х5
Ауг
= 6,13 см2
ix =
1,94 см
Ix =
23,1см4
z0 = 1,74 см
δф = 12 мм
Находим
фактическую гибкость стержня:
ix =
1,94 см

Следовательно,

Значит,
λmax = λx = 130 → φ = 0,364
Проверка:

Следовательно,
принимаем 2 
63х5.
.5
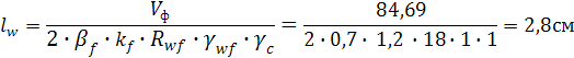
Конструирование и расчет узлов фермы
Перед
конструированием узлов стропильной фермы проведем расчет швов.
Для
сварки узлов применяем полуавтоматическую сварку проволокой Св-08 диаметром d=<1,4мм,
для которой по табл.4* СНиП II-23-81* находим, что нормативное сопротивление металла
шва
Rwun=41
кН/см2.
Коэффициенты
условий работы шва γwf= γwz=1 в
соответствии с п.11.2.
Согласно
табл. 3 расчетное сопротивление углового шва условному срезу по металлу шва:
где

-
коэффициент надежности по материалу шва.
N1 =362,96кН (
100х12);
Несущая
способность швов Ш1 и Ш2 в соответствии с п.11.2* определяется по формуле:
- для обушка: 
- для пера: 
Задаем
высоту катета шва из условия, что 
в
соответствии с п.12.8*.
- для обушка: 
.
Принимаем 
для пера:

.
Принимаем 
Длина шва:
- для обушка: 
- для пера: 
Проверка:
- для обушка: 
- для пера: 
N17 =-526,29кН (
125х12);
Задаем высоту катета шва(Ш4 и Ш5)
- для обушка: 
.
Принимаем

- для обушка: 
.
Принимаем

Длина шва:
- для обушка: 
- для пера: 
Проверка:
- для обушка: 
- для пера: 
Условная прочность шва Ш3 в соответствии с п.11.2* определяется по
формуле:
Задаем
высоту катета шва: 
Длина
шва:
Проверка:
N20 =409,34кН (
60х8);
Задаем высоту катета шва(Ш1 и Ш2)
- для обушка:

.
Принимаем

- для обушка: 
.
Принимаем

Длина шва:
- для обушка: 
- для пера: 
Проверка:
- для обушка: 
- для пера: 
N21 =-84,69кН (
63х5);
Задаем высоту катета шва(Ш3 и Ш4)
- для обушка: 
.
Принимаем 
- для обушка: 
.
Принимаем

Длина шва:
- для обушка: 
- для пера: 
Проверка:
- для обушка: 
- для пера: 
N22 =-292,38кН (
120х8);
Задаем высоту катета шва(Ш5 и Ш6)
- для обушка: 
.
Принимаем

для
обушка: 
.
Принимаем

Длина шва:
- для обушка: 
- для пера: 
Проверка:
- для обушка: 
- для пера:
N2 =846,9кН (
100х12);
Задаем высоту катета шва(Ш7 и Ш8)
- для обушка: 
.
Принимаем

для
обушка: 
.
Принимаем 
Длина шва:
- для обушка: 
- для пера: 
Проверка:
- для обушка: 
- для пера:
N8 =-645,26кН (
125х14);
Задаем
высоту катета шва (Ш1 и Ш2)
- для обушка: 
.
Принимаем

- для обушка: 
.
Принимаем 
Длина шва:
- для обушка: 
- для пера: 
Проверка:
- для обушка: 
- для пера: 
N9 =-967,89кН (
125х14);
Задаем
высоту катета шва (Ш3 и Ш4)
- для обушка: 
.
Принимаем

- для обушка: 
.
Принимаем

Длина шва:
- для обушка: 
- для пера: 
Проверка:
- для обушка: 
- для пера: 
N23 =175,43кН (
60х8);
Задаем
высоту катета шва (Ш5 и Ш6)
- для обушка: 
.
Принимаем 
- для пера: 
.
Принимаем

Длина
шва:
- для обушка: 
- для пера: 
Проверка:
- для обушка: 
- для пера: 
N25 =-58,48кН (
120х8);
Задаем высоту катета шва(Ш5 и Ш6)
- для обушка: 
.
Принимаем
для
пера: 
.
Принимаем

Длина шва:
- для обушка: 
- для пера: 
Проверка:
- для обушка: 
- для пера:
9. Расчет одноступенчатой колонны
.1 Определение расчетных длин отдельных участков ступенчатых колонн в
плоскости рамы
В общем случае расчетную длину колонны определяем по формуле:
где:
-
коэффициент расчетной длины;
- длина
колонны или отдельного участка.
Коэффициенты
расчетной длины
отдельных участков ступенчатых колонн в плоскости
рамы определяем по [1, прил.6].
В
соответствии с [1, п.6.11*] для одноступенчатых колонн при соблюдении условий
и
значения
следует принимать по [l, табл.18]. Здесь
,
,
,
- соответственно длина нижнего и верхнего участков
колонны и действующие на этих участках нормальные силы.
Расчетные
длины определяем лишь для комбинации нагрузок, дающей наибольшее значение
продольных сил на отдельных участках колонн, и получаемые значения
используем для других комбинаций нагрузок.
Таким
образом, воспользовавшись [1, табл.18] при условии, что верхний конец колонны
закреплен только от поворота, находим
,
и расчетные длины:
9.2 Определение расчетных длин отдельных
участков ступенчатых колонн из плоскости рамы
Эти длины определяются расстоянием между закрепленными точками отдельных
участков вертикальными связями между колоннами.
Таким образом
.3 Подбор сечения верхней части колонны
В
курсовом проекте сечение верхней части колонны принято в виде симметричного
сварного двутавра. Поэтому знак изгибающего момента не имеет значения. Выбираем
по максимальному значению изгибающего момента и соответствующей нормальной
силы, по таблице расчетных комбинаций. В данном случае расчетными значениями
усилий будут усилия в сечении
при
учете двух и более кратковременных нагрузок:
Ширина
верхней части колонны
.
Определяем
абсолютный, относительный и приведенный относительный эксцентриситет:
где
ρ
- радиус ядра сечения, для двутавра принимаем
ρ=0,45∙h
Предварительно
принимаем толщину полки двутавра 
.
Тогда,

Необходимо
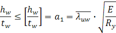
обеспечить местную устойчивость стенки в соответствии с п.7.14*. Местная
устойчивость будет обеспечена, если отношение расчетной высоты стенки к ее
толщине hw/tw не будет превышать своего предельного значения:
Материал
сталь С235 табл.50* группа 3
.
Из
табл. 27* при 
и 
Тогда,

Из
соотношения 
:
Площадь
сетки: 
Вычисляем требуемую площадь сечения из условия обеспечения общей
устойчивости колонны в ее плоскости в соответствии с формулой 51 п.5.27* .
По
табл. 74* определяем коэффициент 
.
Тогда
требуемая площадь полки двутавра:
Учитывая
традиционные соотношения размеров для двутавра уточняем ширину полки:
Тогда,
высота стенки

.
При
этом отношение

, 
.
Требуемая
ширина полки:
Также
размер 
должен
удовлетворять следующие условия:
1) должна быть обеспечена местная устойчивость полки в соответствии
с п.7.23* и табл.29* («неокаймленный»)
где

- свес
полки
2) Для обеспечения жесткости колонны из ее плоскости:
) Для внецентренного-сжатых двутавров можно принять соотношение:
h/bf=3….5. Пусть h/bf=3.
Тогда имеем ширину полки

.
Таким
образом, принимаем 
Фактические
площади сечений частей колонны и всего ее сечения:
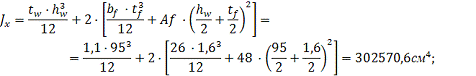
Af=bf ·tf=26·1,58=41,08 см2;
Aw=tw·hw=1,06·96,83=102,64 см2;
A=2·Af +Aw= 2·41,08+102,64=184,8 см2.
Окончательно
принимаем размеры сечения согласно сортамента на листовую сталь:
Т.к.
толщина элементов сечения не превышает 20мм, то согласно табл.51* для стали
С235 корректируем принятое прежде значение расчетного сопротивления стали,
увеличивая его к величине 
.
Проверка
устойчивости верхней части колонны в ее плоскости
Вычисляем фактические геометрические характеристики принято сечения
колонны:
Af=tf · bf=1,6·26=41,6см2;
Aw=tw ·hw=1,1·95=104,5см2;
A=2·Af +Aw=2·41,6+104,5=187,7см2;
Вычисляем фактическую гибкость колонны в ее плоскости:
Вычисляем относительный эксцентриситет:
Уточняем коэффициент влияния формы сечения по табл. 73[СНиП], тип сечения
5.
Для этого определяем соотношение
Af /Aw=48/104,5=0,5.
Согласно
табл. 73 также имеем случай: 0≤ 
≤
5 и 5<mx<20.
Для
этого случая по табл.73[СНиП] при Af /Aw=0.5 имеем η0.5=1,25.
Определяем приведенный относительный эксцентриситет в соотв. с п.5.27*:
mef=η·mx;
mef=1,25·8,24=10,3.
Проверяем устойчивость верхней части колонны в плоскости действия момента
(в плоскости рамы; в плоскости колонны).
По
табл.74[СНиП] определяем коэффициент φе
зависимости от значений 
и mef .
При

=1,4 и mef=10,3 имеем φе=0,135.
Согласно
п.5.27*устойчивость проверяем по формуле:
Устойчивость
верхней части колонны в плоскости обеспечена.
Проверяем
местную устойчивость стенки с учетом новых значений гибкости 
и
расчетного сопротивления стали Ry=23кН/см2.
Из табл.27* при mx=8,24>1 и при λx= λ1 =1.4<2.0
λum=1,3+0,15·λ12=1,3+0,15·1.42=1,6;
a1=λum·
=1,6∙
=47,8
Проверяем
местную устойчивость стенки:
hw/tw=95/1.1=86,4>a1=47,8
местная
устойчивость стенки не обеспечена.
Из
условия обеспечения местной устойчивости стенки корректируем ее толщину.
tw=hw/a1=95/47,8=1,98см.
С
учетом сортамента на листовую сталь окончательно принимаем tw=2,0см.
Соответственно
увеличиваем и толщину полки двутавра: tf=2,0см.
Тогда
общая высота сечения двутавра станет:
h=hw+2·tf =
95+2·2,0=99см.
Окончательно
скорректированные размеры сечения двутавра будут следующими:
tw=2,0см;
hw=95см; bf=26см; tf=2,0см; h=99см.
Проверка устойчивости колонны из ее плоскости
Согласно п.5.30[СНиП] необходимо выполнить проверку устойчивости из
плоскости действия момента( из плоскости колонны). Имеем случай Jx>Jy.
Проверку устойчивости из плоскости действия момента выполняют по формуле:
Внутренние усилия имеем из предыдущего расчета:
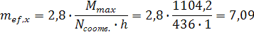
Мmax=M1=1104,2 кН·м; Nсоотв=N=436,0 кН - имеем в сечении 1-1.
Для той же комбинации нагрузок в сечении 2-2 имеем:
M2=435,9 кН·м; Nсоотв=N=436,0 кН.
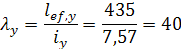
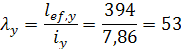
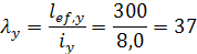
Геометрическая длина верхней части колонны из ее плоскости: lвеf, y=447см.
Согласно п.5.31 для стержней с шарнирно-опертыми концами, закрепленными
от смещения перпендикулярно плоскости действия момента, за расчетный изгибающий
момент принимаем необходимо принять максимальный момент в пределах средней
трети расчетной длины колонны:
Определяем относительный эксцентриситет:
Поскольку у нас mx=4,7, то согласно п.5.31 [СНиП] имеем случай
mx< 5 и коэффициент с определяем по формуле:
где α и β - коэффициенты, принимаемые по табл.10

(т.к.
1< mx< 5)

зависит
от 
и 
.
φy=1,47-13,0·
- (0,371-27,3·
)·
+(0,0275-5,53·
)
·
2 =
=1,47-13,0·
-
(0,371-27,3·
)·
+(0,0275-5,53·
) ·
2 =0,675.
Т.к.


Устойчивость верхней части колонны из плоскости действия момента(из
плоскости колонны) обеспечена.
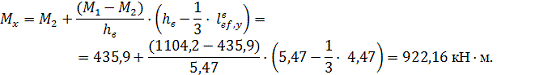
9.5 Подбор сечений нижней части колонны
Расчетные усилия:
а) для наружной ветви.
в сечении 4-4 от комбинации нагрузок N 27.
Mmax= -1513 кН·м.
Nсоотв= -787,7 кН.
в сечении 4-4 от комбинации нагрузок N 2.
Mсоотв= -1166,9 кН·м.
Nmax= -1448,4 кН.
б) для подкрановой ветви.
в сечении 3-3 от комбинации нагрузок N 23.
Mmax= 1015,3 кН·м.
Nсоотв= -1402,6 кН.
в сечении 3-3 от комбинации нагрузок N 2.
Mсоотв= 1010,7 кН·м.
Nmax= -1448,4 кН.
Проектируем поперечное сечение нижней части колонны:
наружную ветвь - из составного сварного швеллера;
подкрановую ветвь - из прокатного двутавра.
Предварительно принимаем
z0=4 см.
Тогда
bн,о=bн-z0=150-4=146 см.
Предварительно находим
Выбираем наихудшую комбинацию усилий, которая вызывает максимальное
сжимающее осевое усилие в наружной ветви.
В результате принимаем max:
Определяем требуемые площади поперечных сечений ветвей:
Для подкрановой ветви по сортаменту принимаем прокатный двутавр:
|
30К1:
|
Ап.в.=
|
108
|
см2
|
|
h=
|
296
|
мм
|
|
b=
|
300
|
мм
|
|
Ix=
|
6079
|
см4
|
|
ix=
|
75
|
мм
|
|
Iy=
|
18110
|
см4
|
|
iy=
|
129,5
|
мм
|
Проверим устойчивость подкрановой ветви как центрально-сжатого стержня из
плоскости колонны. Для этого последовательно вычислим:
;
По
табл. 72 определяем 
:
, то 
предварительно
устойчивость обеспечена.
Для
наружной ветви принимаем составной швеллер.
Высоту
сечения швеллера h=296 мм(для 30К1)
Компонуем
сечение из 2-х равнополочных уголков и стенки в виде листа.
Для
листа принимаем размеры:
Тогда,
требуемая площадь уголка
По
сортаменту принимаем уголок
|
∟125х16:
|
Ауг=
|
37,77
|
см2
|
|
Ix=
|
538,56
|
см4
|
|
ix=
|
37,8
|
мм
|
|
z0=
|
3,68
|
cм
|
Тогда
Проверяем
устойчивость наружной ветви из плоскости колонны, для этого:
Находим
коэффициент 
по табл.
72: 
.
Проверим
устойчивость наружной ветви как центрально-сжатого стержня из плоскости
колонны:
предварительно
устойчивость обеспечена.
Как
следствие теоремы Вариньона для системы параллельных сил смеем следующую
теорему для определения центра тяжести составного сечения: статический момент
цельного сечения равен сумме статических моментов составных его частей
относительно любой оси.
Уточним
положение центра тяжести составного швеллера - размер
, используя теорему относительно оси х3 - х3:
Откуда
Тогда,
bн,о=bн-z0=150-3,85=146,15
см.
Используя
ту же теорему для всего сечения колонны относительно оси х - х
Откуда
Уточняем
усилие в ветвях:
Проверяем устойчивость ветвей из плоскости колонны на новые усилия в
ветвях:
Устойчивость каждой ветви обеспечена, а значит что и устойчивость нижнее
части колонны, как единой конструкции из ее плоскости также будет обеспечена.
Вычисляем необходимые геометрические характеристики:
Проектирование соединительной решетки нижней части колонны
Поскольку
из
условия равной гибкости-равноустойчивости наружной ветви в плоскости (местная
устойчивость участка ветви между узлами решетки) и из плоскости колонны(рамы):
Определяем
необходимое расстояние между узлами решетки
Для
типа решетки, которая включает лишь раскосы имеем:
Для
решетки, которая включает также стойки имеем:
В
нашем случае принимаем решетку лишь с раскосами.
Длина
раскоса

Подбор
сечения раскосов и стоек
Решетки
работают на поперечную силу и рассчитываются на большее из значений:
в
сечен. 4 - 4 при комбинации №23:

или
условное Qfic (п.5.8* СНиП)
Для
дальнейшего расчета принимаем 
.
Решетка нижней части колонны вместе с поясами ветвей образовывает две
параллельные вертикальные плоские фермы. Учитывая это, на один раскос от Q=Qmax действует осевая сжимающая сила:
Элементы
решетки работают на растяжение-сжатие и рассчитываются на устойчивость. Они
проектируются из одиночных равнополочных уголков.
где
предварительно принимаем 
.
Принимаем
по сортаменту уголок:
|
∟100х7:
|
А =
|
13,75
|
см2
|
|
|
Ix =
|
130,6
|
см4
|
|
|
ix =
|
3,08
|
см
|
|
|
z0 =
|
2,71
|
cм
|
|
|
ix0=
|
1,98
|
см
|
Уточняем гибкостью раскоса:
Следовательно, коэффициент продольного изгиба:
Проверяем
устойчивость в раскосе:
Устойчивость
раскоса обеспечена.
Рассчитываем сварные швы крепления раскосов:
- для обушка: 
- для пера: 
Задаем
высоту катета шва из условия, что 
в
соответствии с п.12.8*.
- для обушка: 
.
Принимаем 
для пера:

.
Принимаем 
Длина шва:
- для обушка: 
- для пера: 
Проверяем устойчивости нижней части колонны в плоскости рамы.
Расчет
выполняем по приведенной гибкости
,
учитывающая податливость решетки. Для определения гибкости последовательно
вычисляем:
Гибкость
относительно оси х-х без учета податливости решетки( при абсолютно жесткой
решетке):
Согласно
табл.7, п.1 приведенная гибкость (т.е. с учетом податливости решетки) будет
несколько большей:
где
Проверяем
устойчивость нижней части колонны в плоскости рамы от действия усилий, которые
возникают при комбинации нагрузок для max сжатия наружной ветви.
По
табл.75 находим
В соответствии с п.5.27*
устойчивость
обеспечена.
Проверяем
устойчивость нижней части колонны в плоскости рамы от действия усилий, которые
возникают при комбинации нагрузок для max сжатия подкрановой ветви:
По
табл.75 находим
В соответствии с п.5.27*
устойчивость обеспечена.
Устойчивость нижней части колонны из плоскости действия момента не
проверяем, поскольку обеспечена устойчивость каждой ветви отдельно.
.6 Проектирование и расчет соединения верхней и нижней частей ступенчатой
колонны
Соединение выполняется с помощью траверсы. Верхняя часть колонны
приваривается монтажным швом Ш1, который выполняется с полным проваром и
обязательным последующим выполнением его физического контроля, что обеспечивает
условие его равнопрочности с основным металлом. Этот шов расчету не подлежит.
По статической схеме траверсу рассматривают как однопролетную балку,
шарнирно опертую на ветви нижней части колонны. В запас прочности считают, что
расчетные усилия N и M, которые действуют в сечении 2 - 2
верхней части колонны, передаются на траверсу только через пояса двутавра
поперечного сечения верхней части колонны. При этом, во внутреннем поясе
двутавра на уровне соединения с подкрановой частью колонны имеем приведенную
сосредоточенную силу Nпр.
Расчетные усилия для расчета траверсы: М=435,9 кН∙м
N=436,0
кН
Усилия N и M, догружают подкрановую ветвь нижней части колоны, тогда
Из условия смятия участка траверсы по опорной плите подкрановой балки
определяем требуемую толщину траверсы:
где 1,2 - учитывает возможный перекос опирания опорного ребра подкрановой
балки
,9 - коэффициент сочетания нагрузок

, где 
- ширина
опорного ребра подкрановой балки,


-
толщина опорной плиты, принимаем 

-
расчетное сопротивление смятию торцевой поверхности принимаем в соответствии с
табл.1* для стали С255
Высоту
траверсы принимаем:
Для
равномерной передачи силы 
на
траверсу, под ней к траверсе по всей ее высоте швами приваривают парные
вертикальные поперечные ребра толщиной:
и
шириной:
Кроме
усилий N и M на траверсу по оси подкрановой балки через
горизонтальную распределительную плиту передается суммарная опорная реакция
подкрановых балок в виде силы 
. Эта
сила действует на траверсу в виде равномерно распределенной нагрузки q:
Крепление
траверсы к стенке подкрановой ветви колонны выполняют, как правило, через
прорезь в стенке этой ветви с помощью четырех угловых сварных швов.
Выполняем
статический расчет траверсы.
Опорные
реакции балки-траверсы 
где

Максимальный
изгибающий момент в траверсе:
На
правой опоре возникает момент:
Поперечные
силы в траверсе:
Таким
образом, максимальная поперечная сила в траверсе:
Расчет
длины швов:
Швы
Ш2 - передают силу 
на
траверсу по всей ее высоте.
При
этом 
Швы
Ш3 - угловые швы, которые воспринимают правую вертикальную реакцию траверсы и
передают ее на стенку подкрановой ветви колонны.
Подставляем

Принимаем

.
Швы
Ш4 (их два) - передают левую вертикальную реакцию 
на
стенку наружной ветви нижней части колонны.
Подставляем

Учитывая,
что в данном соединении 
и 
,
принимаем 
.
Проверка
прочности траверсы на изгиб:
где

прочность
обеспечена.
Проверяем
траверсы на срез:
где

прочность
обеспечена.
Проверяем
траверсу по приведенным напряжениям в сечении возле правой опоры от действия 
и 
:
прочность
обеспечена.
Список литературы
1. Нормы проектирования. Стальные
конструкции : СНиП I I - 23-81* - М. Стройиздат, 1982.
2. Нормы проектирования. Нагрузка и
воздействия: СНиП 2.01.07-85. - М. Стройиздат, 1976.
3. Беленя Е.И. Металлические
конструкции. Учеб. Для вузов. 5-е изд. - М. Стройиздат, 1986.
4. Мандриков А.П. Примеры расчета
металлических конструкций. Учеб. Для техникумов. 2-е изд. - М. Стройиздат, 1991