Расчет главной балки

  • Вид работы:
    Курсовая работа (т)
  • Предмет:
    Строительство
  • Язык:
    Русский
    ,
    Формат файла:
    MS Word
    170,22 Кб
  • Опубликовано:
    2015-07-13
Вы можете узнать стоимость помощи в написании студенческой работы.
Помощь в написании работы, которую точно примут!

Расчет главной балки

Содержание

Введение

. Расчет плоского настила

. Расчет балки настила

. Расчет главной балки

.1 Расчет соединения поясов со стенкой

.2 Проверка общей и местной устойчивости элементов главной балки

.3 Проверка прогиба главной балки

.4 Расчет крепления балок настила к главным балкам

.5 Расчет изменения сечения главной балки по длине

.6 Расчет опирания главной балки на колонну

.7 Расчет крепления опорного столика

Заключение

Список литературы


Введение

Металлические конструкции благодаря своим высоким технико-экономическим показателям применяются во всех отраслях народного хозяйства. Широкое использование в строительстве металлических конструкций позволяет проектировать сборные элементы зданий и сооружений сравнительно малой массы, организовать поточное производство конструкций на заводах и поточно-балочный монтаж их на строительной площадке, ускорять ввод объектов в эксплуатацию.

Проектирование экономически эффективных металлических конструкций основывается на знании особенностей их работы под нагрузкой, правильном выборе конструктивных форм, использовании типовых и унифицированных решений и соответствующем расчете. При этом необходимо соблюдение «Технических правил по экономному расходованию основных строительных материалов».

Большое распространение в строительстве различных видов балочных клеток из металла вызвано уникальными свойствами металла, который при относительно небольшой массе способен выдерживать значительные растягивающие напряжения. Конструкции из металла применяются на участках, где требуются довольно большие пролеты по длине. Конструкции из металла, в данной ситуации создаются наиболее выгодные как в экономическом, так и в эстетико-психологическом плане, нежели из других материалов.

Задачей данной курсовой работы состоит в том, чтобы научится рассчитывать балочную клетку и всех ее элементов, пользуясь и руководствуясь нормативными, а также заданными строительными требованиями.


1. Расчет плоского настила

Предварительно назначаем величину рефленного настила t=10 мм.

Вычисляем нормативную нагрузку на 1 см полосы настила b=100см.

=( )b=(22+99,3)*1=121,3 Н/см²

 - собственный вес настила;

 - нормативно полезная равномерно распределенная нагрузка на площадке.

Так как >100, то расчет настила при 1/n0 = 1/150 введем последующей формуле:

= =

Предварительно назначаем шаг балок настила а=75 см, расчетный пролет настила равен шагу балок =а=75см, тогда

 = 0,78 ˃ принимаем листы толщиной = 8 мм.

Проверяем прогиб балки по формуле:

 =  ( ) <

 =  ( )=0,0049

,0049<0,0067 - прогиб не превышает предельно допустимых значений.

При проектировании настила задаемся толщиной настила t=10 мм и по формуле вычисляем предельный пролет, отвечающий заданной нагрузке и относительному прогибу 1/n0 = 1/150

=1,93*0.01= 88 см

Принято как указано ранее =а=75см, что меньше 88 см.


2. Расчет балки настила

Расчетная погонная нагрузка на балку определяется:

q =

где:

-собственный вес настила;

- собственный вес 1 м балки, принятый 230 Н/м2;

, - коэффициент надежности по нагрузки для собственного веса металлоконструкции.

= 22000*1,2*0,75+993*1,05*0,75+230*1,05=20,82 кН

Максимальный изгибающий момент:

=  =  = 93,69 кН*м

Требуемый момент сопротивления сечения балки:

=  =  = 370,3 см

Принимаем по сортаменту двутавр №27, где Wx = 37,1

Масса 1м = 31,5 кг, = 5010

балка колонна опорный

Проверяем минимальную высоту балки из условия жесткости

 =  =  = 26 cм

<27 - условие выполняется.

Расчетное напряжение в балки.

=  =  =94 кН*м= 22000*1,2*0,75+993*1,05*0,75+315*1,05=20,9 кН

σ =  <

σ =  = 115 < 230 - условие выполнилось.

Величина прогиба

=  = 22000*0,75+993*0,75*31,5 = 39,96

Фактический относительный прогиб балки

 =  ( ) <

 =  ( ) =0,001< 0,004

Условие выполняется, прогиб не превышает предельно допустимых значений.


3. Расчет главной балки

Главная балка воспринимает нагрузку от балок настила, расположенным с шагом а =75 см. При таком частом размещении этих балок можно считать, что главная балка будет нагружена равномерно распределенной нагрузкой.

Расчетная погонная нагрузка на балку

=

 - пролет балки настила;

а - шаг балки;

-собственный вес главной балки.

= 22000*1,2*6+993*1,05*6+31,5**1,05+2400*1,05 = 167,4 кН/м

Максимальный расчетный изгибающий момент, действующий в середине пролета балки

=  =  = 1694,9 кН*м

Максимальная поперечная сила на опоре

=  = = 753,3 кН

Требуемый момент сопротивления при упругой стадии работы.=  =  = 7369 см3

№100 Б1 момент сопротивления 9011; h = 990 мм

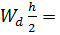
Минимальная высота сечении сварной балки из условия жесткости

 =

 =  hmin ≥

Принимаем рекомендуемую величину стенки

 = 7+3  = 7+  = 8,8мм =10 мм

Оптимальная высота балки при  = 10 мм

 = 98,7 см

 =99 см

Проверим принятую толщину стенки из условия действия касательных напряжений

 = 1.5*= 0,8 мм < 10мм - условие выполнилось, не требуется установка продольных ребер.

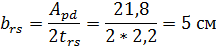
Делаем подбор горизонтальных листов (полок) балок.

Подбираем сечения сварной балки

=7369* =364765,5 см4

 =

 = 99-2*2=95 см

 = 293317,6

Площадь листов

 =  =  = 62,3 см²


Принимаем сечение полок 35x2=70 см².

Принятую ширину поясов , исходя из условия их местной устойчивости

 = 8,5 < 0.5 = 11,4 - условие выполняется.

При упруго-пластической работе сечения балки

 <0,11

 = 10,45

Проверяем принятое сечение на прочность.

Находим предварительно фактический момент инерции и момент сопротивления балки

I =  + 2a² Af = +2*48,5²*70 = 401441,9

а =  =  = 48,5=  =  = 8109,9

Проверка по нормальным напряжениям

σ =  ≤

σ =  = 209 < 230 - условие выполняется.

Проверяем касательные напряжения по нейтральной оси сечения у опоры балки

τ =  ≤

S = *+* = 62,3*+* = 4149,7 см3

= * = 1*95 = 95 см

τ =  = 77,9 < 135

Полная площадь сечения балки

А = *1+ = 95*1+2*70 = 235 cм2

Масса на 1 м балки без ребер жесткости

=  =  = 184,5 кг/м

Масса 1 м балки с ребрами жесткости

,03*G = 1,03*184,5 = 190 кг/м

3.1 Расчет соединения поясов со стенкой

Сдвигающее усилие приходящиеся на 1 см длины балки

Т =  =  = 6,4

Статический момент пояса

 = * = 70* = 3395

Сдвигающая сила Т воспринимается двумя швами, тогда минимальная толщина швов при длине l0=1cм.

 ≥  =  = 0,2

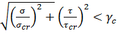
.2 Проверка общей и местной устойчивости элементов главной балки

Потеря общей устойчивости балки может наступить тогда, когда сжатый пояс балки не раскреплен в боковом направлении и напряжения достигли критического значения. В данном случае главная балка раскреплена балками настила через 75 см.

Отношение расстояния между точками закрепления сжатого пояса  к ширине пояса

 =  = 2,1 < ()max

()max = δ[0,41++(0,73-0,016)] =

= 1[0,41++(0,73-0,016)] = 29

,1<29 - условие выполняется.

.3 Проверка прогиба главной балки

Относительный прогиб  не должен превосходить допустимого значения  =

 ≤  =  = 0,0025

 = * = 0,013* = 0,0012

=  = 22000*6+99,3*6+230*6/0,75+1670 = 136105,8 = 136,1 кН*м

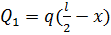
.4 Расчет крепления балок настила к главным балкам

Крепление балок настила главной балке предусматривается с помощью опорных столиков. Опорные столики воспринимают все опорное давление , которое передается на главную балку. Торец балки настила крепится к стенки главной балки на болтах уголками.

Определяем опорную реакцию

 =  = 89,7


Расчетная длина сварного шва  на одной стороне столика вычисляют при усилии 2/3 в веду возможной перегрузки одной стороны при неизбежных не точностях во время изготовления и монтажа

 =  =  = 6,7 см

Конструктивно принимаем равнобокие уголки 100×8 мм, длина уголка равна ширине полки двутавра плюс 80 мм

 

=b

Для предотвращения изгиба укороченной полки уголка ставим по оси ребро жесткости

t=8 мм d=16 мм =19 мм

Такой же уголок предусмотрен на стенки балок настила, его длину определяют из условия размещения двух монтажных болтов.

Минимальная длина уголка и стенки

 = 2*2*19+3*19=133 мм

Проверяем прочность верхней полки уголка от действия изгибающего момента. Считаем, что опорная реакция  при прогибе балки действует на внешнюю кромку. Полки опорного столика с эксцентриситетом.

= 4 см

А по отношении к внутренней стенки уголка

 = 3,2 cм

М =  = 89,7*0,04 = 358,8 = 3,6

 = 89,7*3,2=287,04=2,8

Требуемый момент сопротивления опорного столика

=  =  = 12,2 см3

Для полки, усиленной ребром жесткости t = 8 мм, W рассчитывают, определяя последовательно площадь таврового сечения с полкой вверху

А =  = 21*0,8+0,8*6 = 21,6 см2

Статический момент сечения относительно оси, проходящей через центр тяжести полки

 = 0,8*6*3,4 = 16,32 cм3

Где расстояние Z1 от оси полки до центра тяжести сечения

=  =  = 0,8 см

Момент инерции сечения

 +

Моменты сопротивления сечения:

верхней части

=  =  = 46,01

нижней части

=  =  = 9,7

 +  = 54,3 см4

Проверяем прочность сварных швов опорного столика на действие опорной реакции FA и момента М=FAb'a.

Расчет по металлу шва

 =  = 70,4 МПа

 = 2(14-1) = 26 cм

 =  = 27,6 см3

 14-1 = 13 см

Суммарное напряжения в швах составит

σ =  <

σ =  = 148 < 180*1*1 = 180 МПа - суммарное напряжение в швах обеспечивается.

В расчетах лобовой шов вдоль вертикальной полки уголка столика выполняется конструктивно и его работа идет в запас прочности, если же его учесть в расчете, то может оказаться возможным толщину шва tω уменьшить до 6 мм.

Балки настила к главным балкам можно крепить также на болтах к поперечным ребрам, совмещаемым с ребрами жесткости стенки. В этом случае болтовое соединение рассчитывают из условий прочности на срез и смятие:

Требуемое число болтов d=16 мм нормальной точности по прочности на срез

n =  =  = 3,3

На смятие соединяемых элементов

n =  =  = 2,8

Принимаем 4 болта d=16 мм нормальной точности класса 4,6; отверстие под болты принимаем d=19 мм.

.5 Расчет изменения сечения главной балки по длине

Сечение составной балки, подобранной по максимальному моменту, можно в соответствии с эпюрой моментов уменьшить в местах снижения моментов на некотором расстоянии от опор. При равномерной нагрузке наиболее выгодное место сечения поясов в однопролетной балки находится на расстоянии примерно 1/6 пролета балки от опоры. Наиболее простым способом является изменение ширины пояса, при этом не изменяется высота балки и верхний пояс остается гладким. Проведем расчет изменения ширины пояса, назначив стык на расстоянии 1/6 пролета от опоры.

Определяем расчетный момент и поперечную силу в сечении 1-1 на расстоянии:

х =  =  = 1,5 м

 =  = 941,6 кН*м

 = 167,4(9/2-1,5) = 502,2 кН

Требуемы момент сопротивления при упругой работе

 =  = 0,004804 см3

Требуемый момент инерции в сечении балки 1-1

 = 4804*99/2 = 237798 cм4

Момент инерции, приходящейся на поясные листы

 = 237798-71447,9 = 166350

 =  = 71447,9

Требуемая площадь поясных листов

 =  = 35,4 cм2

Принимаем пояс из универсального листа, размером 200x20 мм.

А = 20*2 = 40 см2



Проверяем устойчивость стенки балки в месте изменения сечения балки.

М1=941,6 кН*м, =502,2 кН.

 - условие прочности сечения выполняется.

Вычисляем отношение ()max и сравниваем его c  для участка между балками настила, где =75 см

*100 = 6,3-общая устойчивость балки в уменьшенном сечении обеспечивается.

Так как длина отсека =1,5 м превосходит его расчетную высоту ==95 см, то при вычислении средних напряжений σ и τ в отсеке, принимаем расчетный участок длиной равной расчетной высоте отсека d= =95 см. Последовательно определяем изгибающий момент в сечении на границе расчетного участка крайнего отсека


Среднее значение момента на расчетном участке


Определяется краевое нормальное напряжение сжатия стенки по середине расчетного участка

σ =

Поперечная сила


Средняя поперечная сила в пределах расчетного участка отсека


Определяем среднее касательное напряжение

τ =

Определяем критическое нормальное напряжение, предварительно вычислив коэффициент защемления стенки

δ = β

= < 6

= = 3,21< 6

При δ принимаем по интерполяции .

Критическое нормальное напряжение составит


Критическое касательное напряжение


Проверяем устойчивость стенки при отсутствии местных напряжений

 

 - условие выполняется, стенка устойчива принятая по конструктивным требованиям расстановка ребер жесткости через 1,5 м - удовлетворяет условие обеспечения устойчивости стенки.

.6 Расчет опирания главной балки на колонну

Главная балка опирается на колонну сверху и крепится к оголовку на болтах, опорный торец балки пристроган. Так как балка опирается на оголовок колонны пристроганной, площадью торцевой части нижнего пояса, то проверку торца балки на смятие не проводим. В этом случае делаем расчет на смятие торцов опорных ребер и проверку опорного участка балки на устойчивость из плоскости балки, как условного опорного стержня, в площадь сечения , включаются опорные ребра и часть стенки балки шириной по:

∆ = 0,65 в каждую сторону.

Рассчитываем опорные ребра на смятие торцевой поверхности при действии F=Q=753,3 кН.

Требуемая площадь смятия


Принимаем опорные ребра толщиной , тогда толщина одного ребра


Назначаем ребра шириной =10 см.см.

С учетом среза угла на 4 см расчетная ширина ребра по торцу смятия рассчитывается


Общая площадь сечения смятия двух ребер

˃

 - условие выполняется.

Проверяем прочность на срез сварных швов, прикрепляющих опорные ребра, к стенки.

Назначим толщину швов  = 6 мм. В этом случае считаем расчетную длину одного шва


Напряжение срезу швов по металлу швов


Находим новую площадь


Проверка напряжений по металлу границы сплавления

 - условие выполняется.


Проверяем устойчивость опорного участка балки

=2*10*2,2+19,5*12+12*1+2*1 = 77,5 см2

 =

 = 1546 см4

 = 101,25 < 230 МПа - условие устойчивости опорной части балки выполняется.

Определяем площадь смятия торца опорного ребра


Принимаем ребро равное 240*10 мм

Находим наименьшее значение катета сварного шва по границе сплавления при ограничении длины шва, величиной

0,61 см

Принимаем толщину сварных швов, прикрепляющих ребро к стенки балки .

Проверяем напряжение среза по металлу границы сплавления

 = 1,05*165=173,25 МПа

= 62,5 см < = 95 cм

 = 82 < 173,25 МПа - условие выполняется.

Назначаем болты конструктивно d=20 мм.

Проверяем опорный участок балки на устойчивость

А==180*10

 = 164,4 < 230 МПа - условие выполняется.

 = 48,5 см2

 = 1154,04 см4

 = 4,93

λ =  =  = 19,3

3.7 Расчет крепления опорного столика

Определяем длину опорного столика с боку колонны.

Принимаем катет швов с двух сторон , тогда с учетом , учитывающего возможность передачи неравномерного опорного давления. Длина опорного столика равна:

 =  0,32 м = 32 см

Принимаем длину опорного столика с учетом непровара по концам принимаем


Заключение

Различают балки прокатные (из двутавров или швеллеров) и составные - сварные или клепанные (из листов и уголков). Балочная клетка представляет собой систему пересекающихся несущих балок, предназначенных для опирания настила перекрытий. В зависимости от схемы расположения балок балочные клетки разделяют на три типа: упрощенные, нормальные и усложненные.


Список литературы

Мандриков А.П. Примеры расчета металлических конструкций. - Москва Стройиздат 2012 - 431с.

ГОСТ 8568-77 «Листы стальные с ромбическим

и чечевичным рифлением».

ГОСТ 26020-83 «Двутавры стальные горячекатаные с параллельными гранями полок».

СНиП II-23-81 «Стальные конструкции».


Не нашли материал для своей работы?
Поможем написать уникальную работу
Без плагиата!
Без нейросетей!