Проектирование фундамента мелкого заложения на естественном основании
Введение
фундамент заложение основание
ростверк
В общем объеме работ по строительству мостов на
устройство фундаментов приходится до 40% времени и затрат труда и до 30%
стоимости сооружения: для возводимых в сложных инженерно- геологических
условиях фундаментов эти показатели более высокие. Задачи повышения
экономической эффективности фундаментостроения должны решаться в неразрывной
связи с обеспечением требуемого качества работ, от которого во многом зависит
надежность и долговечность любых сооружений, в том числе и мостов. Сложности
подземного контроля фактического состояния фундаментов в период эксплуатации
мостов, ошибки и погрешности, допущенные в проектировании фундаментов,
недоброкачественное выполнение работ в дальнейшем могут проявиться в виде недопустимых
осадок и кренов опор, затрудняющих или исключающих нормальную эксплуатацию
мостов, а, следовательно, и дорог, на которых мосты расположены. Несущую
способность оснований свай всех видов, фундаментов мелкого и глубокого
заложения определяют аналитическими и полевыми методами. Фундаменты мелкого
заложения (ФМЗ)- передают на грунт нагрузки всех видов от надфунтаментной части
сооружений только через подошву фундаментов. Фундаменты глубокого заложения
(ФГЗ) - передают на грунт нагрузки через подошву и боковую поверхность
фундаментов. Аналитический метод, широко применимый в практике проектирования
фундаментов, сводится к расчету несущей способности оснований по принятым в
нормативных документах формулам с использованием физико-механических свойств
грунтов. Полевые методы применяют, как правило, для уточнения или контроля
соответствия вычисленной аналитическим методом и фактической несущей
способности оснований, а также для проверки возможности погружения свай на
проектную глубину и оценки относительной однородности грунтовой толщи.
Проектирование основания и фундамента включает: выбор материалов и обоснование
конструктивной формы фундамента; расчет глубины заложения фундамента или его
элементов и их числа; определение давления фундамента или его элементов на
грунт, а также осадки, крена и горизонтального перемещения верха фундамента;
расчет его устойчивости на сдвиг. Надежность оснований и фундаментов
обеспечивается расчетами, учитывающими возможные характеристики материалов,
сочетания нагрузок и воздействий, а также условия эксплуатации мостов, в том
числе их фундаментов.
Основные понятия и определения
Основанием называют массив грунта, который
воспринимает нагрузку от вышележащих конструкций и взаимодействует с ними.
Основания называют естественными, если они сложены природными грунтами или
скальными породами в условиях естественного залегания. Основания из
предварительно уплотненных или укрепленных тем или иным способом грунтов
называют искусственными.
Если основание состоит из одного слоя грунта,
его называют однородным, если из нескольких слоев - неоднородным. Слой грунта,
на который опирается фундамент, называется несущимслоем, а нижележащие
слои-подстилающими.
Фундаментом называют часть опоры, находящуюся
ниже поверхности грунта (на суше) или ниже самого низкого (меженного) уровня
воды в водотоке (водоеме) и предназначенную для передачи нагрузок на основание.
Различают два основных вида фундаментов-мелкого и глубокогозаложения. В свою
очередь фундаменты глубокого заложения подразделяются на
Свайныеи столбчатые, состоящие из группы (куста)
свай разных видов (в том числе забивных и буровых), объединенных в единую
конструкцию плитой, называемой ростверком, массивные в виде опускных колодцев и
кессонов.
Независимо от типа фундаментов и особенности их
конструкции принято называть обрезом фундамента плоскость его соприкасания с
надфундаментной частью опоры; подошву фундамента-нижнюю плоскость его
соприкасания с грунтом основания; высотой фундамента h-расстояние от его
подошвы или конца (низа) несущих элементов до обреза; глубина заложения
фундамента d-расстояние от поверхности грунта или уровня воды в водоеме до
подошвы фундамента или низа несущих элементов.
Под воздействием на фундамент вертикальных
нагрузок, равномерно сжимающих грунты основания, происходят перемещения
фундамента, называемые осадкой. При действии на фундаменты неравномерных
сжимающих нагрузок и изгибающих моментов наблюдаются наклоны, называемые
кренами. Воздействие значительных горизонтальных нагрузок на фундаменты
приводят их к смещениям, называемыми сдвигами.
1. Характеристика инженерно-геологических
условий
Вид сооружения - путепровод;
Размеры пролетов и габарита - 24х24м , 9.5м ;
Характеристики пересекаемого препятствия:
Автомобильная дорога
Геологические условия - особенности
напластования грунтов и их
физико-механические свойства (рис. 1).
Рис. 1 Геологические условия-Особенности
напластования грунтов и их физико-механические свойства
Грунтовые условия(рис 2)
№ скважины - 5
№ варианта толщины - 1
, 2.0 м
, 7.0 м
3.8м
, 7.7м
2. Назначение типа опоры
Тип и размеры опор назначаются в соответствии с
заданием. В данном проекте принимаем Двухстолбчатая опора на свайном
фундаменте(Рис. 2)
3. Определение нагрузок, действующих на опору
.1 Схема нагрузок
Рис. 3.1. Схема действия нагрузки на опору..
На рис. 3.1. представлены следующие нагрузки:
Вертикальные нагрузки:
вес опоры - Pоп - собственный вес
надфундаментной части опоры (без учета веса фундамента);
вес пролетных строений - Рп,л(п)-
соответствующих давлению от примыкающих к данной опоре двух одинаковых
пролетных строений слева (справа);
сила воздействия на опору - Рвп,л(п) - от
временной подвижной
вертикальной нагрузки слева (справа).
. Горизонтальные поперечные нагрузки:
сила давления ветра - W2 - на опору;
сила давления ветра - W3 - на пролетные
строения;
сила давления льда - FЛ - на опору при наивысшем
горизонте ледохода.
. Горизонтальные продольные нагрузки:
силы торможения или тяги - Fh;
сила давления ветра - W1 - на опору.
3.2 Собственный вес опоры
Нормативная вертикальная нагрузка от
собственного веса опоры определяется по проектным размерам и удельным весам ее
элементов:
- объем элементов
опоры;
- удельный вес (для
бетона:
)
расчетное значение постоянных нагрузок с учетом
коэффициента надежности по нагрузке:
.3 Реакции от собственного веса пролетных
строений
Нормативную реакцию от собственного веса
пролетных строений левого
и правого
полетов
допускается определять в виде суммы реакции от главных балок и ездового
полотна.
Реакция от главных балок слева (справа):
-потребность бетона
(для составной балки с напрягаемой арматурой после бетонирования при длине
пролета 24 м:
- длина пролета-
ширина моста
Реакция от ездового полотна слева (справа):
где V - объем железобетона балок на 1 м2 площади
пролетал(п) = 24м - длинна пролета,
В=9.5м -ширина моста,
- удельный вес железобетона (25
кН),- толщина слоев ездового полотна:
) выравнивающий слой - 0.05м,
;
,
) гидроизоляция - 0,006м,
;
,
) защитный слой - 0.04м,
;
,
) асфальтобетон - 0.09м,
;
.
Вес пролетных строений слева
(справа):
Расчетные значения веса пролетных
строений слева (справа):


.4 Вертикальные реакции от временных
подвижных нагрузок.
Вертикальные реакции от временных
подвижных нагрузок определяются при загружении одного пролета и при двух
загруженных пролетах. В обоих случаях реакции определяются для двух схем
загружения: нагрузка А-14 и пешеходная, нагрузка Н-14.
Вначале строятся линии влияния
опорных реакций для примыкающих балочных пролетов.
Далее они «загружаются» нагрузками
А-14, пешеходной и одиночной Н-14 справа. И, наконец, «загружаются» оба
примыкающих пролета.
Вычисление опорных реакций с
использованием линий влияния
производится по известным правилам
строительной механики. Нормативная
реакция от нагрузки А14 и
пешеходной:
где v, P, p - характеристики
нагрузок; S1,1 =1,
S1,2 =0,6 - коэффициент полосности;
пв=2 - число полос движения;
ɷП - площадь линии влияния по
рис. 3.2 в; и yp2 - ординаты соответствующих линии влиянии по тележкой.
Приведенная длина принимается по
формуле:
Где L-длина пролета;
Рис. 3.2 Схема загружения временными
подвижными нагрузками (а,б,г,д),схемы примыкающих пролетов (е) и линии влияния
(в,ж).
Нормативная реакция от нагрузки Н14:
где
- координаты соответствующей линии
влиянии под осями Н14, установленной на правом пролете.
Для дальнейшего использования
выбираем максимальное:
Аналогично подсчитывается и
выбирается максимальное значение реакции на два примыкающих пролета (РВЛ+
РВП).При этом пешеходная нагрузка имеет интенсивность Р=140 кН. В формулы
вводится суммарная площадь (ωП+ ωЛ); в формуле
для реакции от Н14
Нормативная реакция от нагрузки Н14:
Эксцентриситет приложения нагрузки:
е2=(nв*вв-3),
в=2 - число полос движения,
вв=3,5м - ширина полосы.
.5 Горизонтальная реакция от
временной подвижной нагрузки.
Реакция от нормативной
горизонтальной силы торможения или тяги
нагрузки А14 вдоль моста Fнh (рис.
3.1 а) определяется отдельно для правого и обоих пролетов согласно:
нhП =0.5*РнВП,А14,v; Fнh(П+Л)
=0.5*(РВП+РВЛ)НА14,v;нhП =0.5*262.08
=131.04 кН,нh(П+Л)
=0.5*524.16=262.08 кН;
коэффициента надежности по нагрузки
.
FhП=131.04 *1.15=150.696 кН;
Fh(П+Л) =262.08 *1.15=301.392 кН;
Плечо:
пс принимается 1.2 метра.
где hПС - высота пролетного строения; ∑hi
- суммарная толщина одежды ездового полотна.
.6 Ветровые нагрузки на опору
Нормативные величины ветровой нагрузки вдоль Wн1
и поперек Wн2 и Wн3 вычисляются по формуле:
где wm - средняя составляющая; Wp - позиционная
составляющая.
где w0 - нормативное значение ветрового давления
(для II ветрового района w0=0,3);
k - коэффициент, учитывающий для открытой
местности (тип А) изменение ветрового давления по высоте;
cw - аэродинамический коэффициент лобового
сопряжения конструкций мостов (поперек моста в виде двух круглых столбов cw =
1,80; вдоль моста при прямоугольном сечении cw = 2,10)
Где
динамичности
длина пролета ,
либо высота опор
-высота опоры
0.514-длина пролета
Расчетное значение ветровых нагрузок с учетом
коэффициента надежности по нагрузке: γf
= 1.5
Посчитаем ветровую нагрузку поперек (по середине
опоры):
Расчетное значение ветровых нагрузок с учетом
коэффициента надежности по нагрузке: γf = 1.5
Посчитаем ветровую нагрузку поперек опоры (по
середине балки):
Расчетное значение ветровых нагрузок с учетом
коэффициента надежности по нагрузке: γf = 1.5
4. Сочетание нагрузок и приведению их к обрезу
фундамента
.1 Сочетания нагрузок
Мы рассматриваем лишь 6 сочетаний. Временные
нагрузки пронумерованы в соответствии с /1,п.2.1/ :
№7 - вертикальная,
№11 - горизонтальная,
№12 - ветровая,
№13 - ледовая.
В числителе нормативное значение нагрузок, в
знаменателе расчетное значение нагрузок.
Таблица№1. Сочетание нагрузок и воздействий.
|
№
соче-тания
|
№
нагрузки + № сочетания
|
Постоянные
|
Временные
подвижные
|
Временные
прочие
|
|
|
Роп
|
Рпл+Рпп
|
Вертикальные
|
Горизонтальные
|
W
|
Fл
|
|
|
|
|
Рвп
|
Рвп+Рвл
|
Fhп
|
Fh(п+л)
|
|
|
|
При
расчетах вдоль моста
|
|
1
|
7
и 8+9
|
866.6055953.2661
|
3264.8123591.294
|
|
1114.16
1721.04
|
|
|
|
|
|
2
|
11+7-9,12,15
|
866.6055953.2661
|
3264.8123591.294
|
662.94451144.704
|
|
104.832
120.556
|
|
0.195
0.273
|
|
|
3
|
11+7-9,12,15
|
866.6055953.2661
|
3264.8123591.294
|
|
891.3281376.83
|
|
209.66241.11
|
0.195
0.273
|
|
|
При
расчетах поперек моста
|
|
4
|
7
и 8+9
|
866.6055953.2661
|
3264.8123591.294
|
|
1114,16
1721.04
|
|
|
|
|
|
5
|
7и8+12,13,15
|
866.6055953.2661
|
3264.8123591.294
|
662.94451144.704
|
|
|
|
0.161
0.226
|
-----
|
|
6
|
13+12,15,17
|
866.6055953.2661
|
3264.8123591.294
|
|
|
|
|
0.445
0.62
|
-----
|
|
|
|
|
|
|
|
|
|
|
|
|
|
|
4.2 Приведение нагрузок к обрезу
Все внешние нагрузки приводится к центру обреза
фундамента в виде проекций на вертикальную ось у (Ро), горизонтальные х или Z
(Fо) и суммы моментов относительно точки О вдоль и поперек (Mo). Нагрузки, уже
умноженные на коэффициент сочетаний, берутся из соответствующих строк таблицы
№1
Таблица №2.Приведенные к обрезу фундамента
нагрузки.
|
Вид
расчета
|
Номер
сочетания (по таб. 1)
|
Группа
предельных состояний
|
|
|
II
|
I
|
|
|
Pно
|
Fно
|
Мно
|
Ро
|
Fо
|
Мо
|
|
При
расчете вдоль моста
|
|
Несущая
способность основания
|
1
2
|
-
-
|
-
-
|
-
-
|
6265,6001
5689,2641
|
-
120,829
|
-
1143,06
|
|
Устойчивость
против опрокидывания Устойчивость против сдвига
|
3
3
|
-
-
|
-
-
|
-
-
|
5921,3901
5921,3901
|
241,383
241,383
|
1988,84
1988,84
|
|
Определение
осадка Определение крена
|
3
3
|
5022,7455
5022,7455
|
209,855
209,855
|
1629,89
1629,89
|
-
-
|
-
-
|
-
-
|
|
При
расчете поперек моста
|
|
Несущая
способность основания
|
4
5
|
-
-
|
-
-
|
-
-
|
6265,6001
5689,2641
|
-
0.226
|
4578,816
4580,7822
|
|
Устойчивость
против опрокидывания Устойчивость против сдвига
|
6
6
|
-
-
|
-
-
|
-
-
|
4544,5601
4544,5601
|
0.62
0.62
|
9,61
9,61
|
|
Определение
крена
|
6
|
4131,4175
|
0.445
|
6,897
|
-
|
-
|
-
|
5. Проектирование фундамента мелкого заложения
на естественном основании
.1 Определение глубины заложения подошвы
фундамента
При выборе глубины заложения фундаментов
решается вопрос о
несущем слое грунта и типе основания. Глубину
заложения фундаментов
следует определять с учетом [8]:
• назначения и конструктивных особенностей
проектируемого
сооружения;
• величины и характеристики нагрузок,
воздействующих на основание;
• инженерно-геологических условий площадки
строительства (физико-механических свойств грунтов, характера напластований);
• гидрогеологических условий площадки и
возможных их изменений в процессе строительства и эксплуатации сооружений;
• глубины сезонного промерзания грунтов.
Для опор путепровода глубину заложения грунта
назначают ниже глубины промерзания грунта
.
- величина,
принимаемая равной для суглинков и глин 0,23 м; супесей, песков мелких и
пылеватых - 0,28 м; песков гравелистых, крупных и средней крупности - 0,30 м;
крупнообломочных грунтов - 0,34 м.
где
безразмерный
коэффициент, численно равный сумме абсолютных значений среднемесячных
отрицательных температур за год в данном районе
Расчетное значение глубины промерзания считаем
по формуле:
Где
Для опор, возводимых на суходоле, обрез
фундамента
назначают на 0,1-0,25 м ниже уровня поверхности
грунта.
При строительстве на суходоле минимальная
глубина заложения подошвы фундамента принимаем
где df - глубина промерзания.
.2 Определение площади подошвы и размеров
уступов фундаментов
Длина и ширина обреза фундамента на 0.5 м шире
размеров опоры в каждую сторону.
Подошва фундамента располагается ниже кровли
опорного пласта (песок пылеватый) на 0.5 м.
Толщина опорного пласта под подошвой
фундамента(7м) больше ширины фундамента по подошве(3.8м).
Размеры подошвы фундамента: ширина (вдоль моста)
равна 4.6 м .
Минимальная площадь подошвы фундамента:
Максимальную площадь подошвы фундамента при
заданной его высоте hф определяют исходя из нормированного [8] условия
обеспечения жесткости фундамента. Она заключается в том, что линия уступов или
наклон граней фундамента, как правило, не должны отклоняться от вертикали на
угол ∝
более 30° (см. рис. 5.1). отсюда:
где hф - высота фундамента (расстояние от обреза
фундамента до его
подошвы); b0 и l0 - ширина и длина
надфундаментной части опоры в плоскости обреза фундамента.
Определение расчетного сопротивления грунта под
подошвой фундамента.
Расчетное сопротивление основания осевому сжатию
согласно /1,прил.24/:
где R0 - условное сопротивление
грунта; k1 и k2 - коэффициенты -принимаются по [1] ;
- средний
удельный вес грунтов, расположенных выше подошвы (допускается принимать
=19,62
кН/м3).
Проверка несущей способности
грунтового основания.
Предварительно вычисляем силы N и
момент М, приложенный к середине подошвы в четырех сочетаниях №1 и №2 - вдоль,
№4 и №5 - поперек моста:
где Ро , Mо, Fо - нагрузка из
соответствующих строк табл. 4.2; Vф и γνb - вес,
объем и удельный вес фундамента; γf - коэффициент надежности по
нагрузке (γf=1,1).
Вдоль моста сочетания №1.

Вдоль моста сочетания №2
Поперек моста сочетания №4
М=4578,816 кН
м
Поперек моста сочетания №5
Несущая способность должна
удовлетворять условиям:
где р и рmax - среднее и
максимальное давление под подошвой;
А=а*b - площадь подошвы A=10.3*3.8=39.14
м2;=а*b2/6 (вдоль моста) W=24.78 м³;
W=а2*b/6 (поперек моста) W= 67.19 м³, - момент
сопротивления подошвы;
-коэффициента надежности по
назначению.
(в
сочетаниях №1 и №2), и
(в
сочетаниях №4 и №5) - коэффициент условии работы.
Вдоль моста сочетание №1
Вдоль моста сочетание №2
Поперек моста сочетание №4
Поперек моста сочетание №5
Расчет на устойчивость положения
фундамента
Расчет на устойчивость фундамента
обычно производят для устоев мостов и в случаях, когда равнодействующая сил по
подошве фундамента выходит за пределы ядра сечения. В курсовой работе с
методологической целью выполняют расчет на опрокидывание и на сдвиг по подошве.
.5.1 Проверка устойчивости против
опрокидывания
Устойчивость против опрокидывания
проверяется согласно [1] вдоль и поперек моста в сочетаниях нагрузок №№ 3 и 6
(табл. 2). За ось возможного поворота принимается наиболее нагруженная сторона
подошвы .
Рис.5.2. Схема к проверке
устойчивости вдоль (а) и поперек (б).
Моменты опрокидывающих Мu и
удерживающих Мz сил вычисляются относительно осей поворота в соответствующих
сочетаниях. Условие равновесия
где Mu - момент опрокидывающих сил
относительно оси возможного поворота (опрокидывания) конструкции, проходящей по
крайним точкам опирания; Mz - момент удерживающих сил относительно той же оси;
Y с - коэффициент условий работы, принимаемый равным: при проверке конструкций,
опирающихся на отдельные опоры: в стадии строительства - 0,95; в стадии
постоянной эксплуатации - 1,0; при проверке сечений бетонных конструкций и
фундаментов: на скальных основаниях - 0,9; на нескальных основаниях - 0,8; Yn -
коэффициент надежности по назначению, принимаемый равным 1,1 при расчете в
стадии постоянной эксплуатации и 1,0 - при расчетах в стадии строительства.
Опрокидывающие силы следует принимать с коэффициентами надежности по нагрузке, большими
единицы. Удерживающие силы следует принимать с коэффициентами надежности по
нагрузке: для постоянных нагрузок - Yf < 1; для временной вертикальной
подвижной нагрузки - Y f=1.
Вдоль моста сочетание №3.
Условие выполняется.
Поперек моста сочетание №6.
Условие выполняется.
.5.2 Проверка устойчивости против
сдвига
Устойчивость против сдвига
(скольжения)по подошве проверяется согласно /1,п.1.41/ вдоль и поперек моста в
сочетаниях нагрузок №3 и №6 (см табл.2).
=Fо - сдвигающая сила; Qz=м(Po+G) -
удерживающая сила трения; м=0,3 -коэффициент трения бетонной кладки по
поверхность грунта основания;
=0,9 - коэффициент условий работы;
-
коэффициента надежности по назначению.
Вдоль моста сочетание №3.
Условие выполняется.
Поперек моста сочетание №6.
Условие выполняется.
.6 Определение осадки
Осадка фундамента зависит от
деформаций основания, которые в обычных не скальных грунтах с модулем
деформации Е<100 МПа определяется методом послойного суммирования с использованием
схемы линейно-деформируемого полупространства .
Последовательность расчета включает
в себя разбиение грунта под подошвой на 8…12 слоев, отвечающих требованием:
Толщина слоев не должны превышать
0,4*в=0,4*3,8=1,52 м;
Граница слоев необходимо совмещать с
границами грунтов;
Далее вычисляются вертикальные
напряжения от собственного веса грунта на границе слоев:
,
где
- удельные веса воды (в русле реки)
и грунта, лежащего выше подошвы;
’ и d’ - глубина воды и толщина
грунта, лежащего выше подошвы;
- соответственно удельный вес и
толщина i-го слоя грунта.
Удельный вес грунтов, лежащих выше
водоупорных слоев - УВС (суглинков тугопластичных или глин) следует принимать с
учетом взвешивающего действия воды,
Подошва фундамента :
Вычисляем дополнительные,
вертикальные напряжения на границе слоев:
,
Р0 - дополнительные напряжения на
основание (в сочетании №3 по табл.2); А=39.14 м2 - площадь подошвы;
-
напряжение от собственного веса под подошвой фундамента.
-
коэффициент ,зависящий от формы подошвы (n=а/в=2,71) и от координаты границы
слоя zi, (
=2*zi/в,).
По вычисленным значениям
строится
график Рис 5.3.
Рис.5.3. Схема распределения вертикальных
напряжений
Послойное вычисление
и
для любых
горизонтальных сечений ведем в табличной форме (табл 3)
|
|
z,
м
|
ξ
|
|
|
|
|
|
|
|
|
|
0,00
|
0,00
|
1,000
|
152,39
|
17,60
|
3,52
|
|
|
|
|
1,3020
|
|
|
|
|
|
|
114,67348
|
29
|
5,15
|
|
|
3,80
|
2,00
|
0,505
|
76,96
|
30,62
|
6,12
|
|
|
|
|
1,3020
|
|
|
|
|
|
|
65,07053
|
29
|
2,92
|
|
|
5,10
|
2,69
|
0,349
|
53,18
|
43,64
|
8,73
|
|
|
|
|
1,3020
|
|
|
|
|
|
|
48,993385
|
29
|
2,20
|
|
|
6,41
|
3,37
|
0,294
|
44,80
|
56,66
|
11,33
|
|
|
|
|
1,3020
|
|
|
|
|
|
|
38,70706
|
29
|
1,74
|
|
|
7,71
|
4,06
|
0,214
|
32,61
|
69,68
|
13,94
|
|
|
|
|
1,3020
|
|
|
|
|
|
|
28,573125
|
29
|
1,28
|
|
|
9,01
|
4,74
|
0,161
|
24,53
|
82,70
|
16,54
|
|
|
|
|
1,2660
|
|
|
|
|
|
|
21,715575
|
24
|
1,15
|
|
|
10,28
|
5,41
|
0,124
|
18,90
|
107,64
|
21,53
|
|
|
|
|
1,2660
|
|
|
|
|
|
|
17,82963
|
24
|
0,94
|
|
|
11,54
|
6,07
|
0,110
|
16,76
|
132,58
|
26,52
|
|
|
|
|
1,2680
|
|
|
|
|
|
|
15,08661
|
24
|
0,80
|
|
|
12,81
|
6,74
|
0,088
|
13,41
|
157,56
|
31,51
|
|
|
|
|
1,2830
|
|
|
|
|
|
|
12,1912
|
42
|
0,37
|
|
|
14,09
|
7,42
|
0,072
|
10,97
|
183,22
|
36,64
|
|
|
|
|
1,2840
|
|
|
|
|
|
|
10,51491
|
42
|
0,32
|
|
|
15,38
|
8,09
|
0,066
|
10,06
|
208,90
|
41,78
|
|
|
|
|
1,2830
|
|
|
|
|
|
|
9,219595
|
42
|
0,28
|
|
|
16,66
|
8,77
|
0,055
|
8,38
|
234,56
|
46,91
|
|
|
|
|
1,2840
|
|
|
|
|
|
|
7,77189
|
42
|
0,24
|
|
|
17,94
|
9,44
|
0,047
|
7,16
|
260,24
|
52,05
|
|
|
|
|
1,2830
|
|
|
|
|
|
6,85755
|
42
|
0,21
|
|
|
19,23
|
10,12
|
0,043
|
6,55
|
285,90
|
57,18
|
|
|
|
|
1,2830
|
|
|
|
|
|
|
6,0956
|
42
|
0,19
|
|
|
20,51
|
10,79
|
0,037
|
5,64
|
311,56
|
62,31
|
|
|
|
Нижняя граница сжимаемой толщи («граница
активной зоны» - ГАЗ) принимается на глубине Нс, где выполняется условия
18,90
21,53=0,8
=0,8(3,47+2,34)
= 4,648 см
где
0,5
- среднее значение дополнительного вертикального напряжения в i-том слое
грунта;
hi и Еi - толщина и модуль деформации i-того
слоя;
n - число слоев, попадающих в сжимаемую толщу
Нс.
Найденная осадка должна быть не более предельно
допустимой Su. Осадки опор мостовых сооружений не должны вызывать появления в
продольном профиле мостового полотна углов перелома, превышающих 2‰
В предположении отсутствия осадок соседних опор:
где Su - предельно допустимая осадка, см;- длина
меньшего примыкающего к опоре пролета, м.
Выполняется проверка
S
,648
В случае невыполнения условия необходимо
изменить размеры фундамента в плане или глубину его заложения.
.7 Определение кренов и горизонтальных
перемещений верха опор
Расчет кренов фундамента и опоры вдоль iв и
поперек iп моста производится в соответствии со СНиП 2,02,01-83 «Основание
зданий и сооружений» при действии нормативных нагрузок в сочетаниях №3 и №6
(см. табл.2).
Где Е=29000 кПа, и v =0,30 - средние значения
модуля деформации и коэффициент Пуассона в пределах сжимаемой толщи;н и lн =
MH/NH - нормативная вертикальная сила и эксцентриситет сил, приложенных к
подошве ;
а=10,3 м и в=3,8 м - длина и ширина подошвы;
Ке =0,80 и 0,10
Вдоль моста сочетание №3
Поперек моста сочетание № 6
Горизонтальное смещения верха опоры вдоль и
поперек моста равны:
Св(п)=iв(п)*(hф+ho);
=5 м - высота опоры; hф=2,5 м - глубина
фундамента.
Вдоль моста
Поперек Моста
Найденные значения должны быть не больше
предельного :
Вдоль моста
Условие выполняется.
Поперек моста
Условие выполняется.
Где lmin=24 метров, -длина наименьшего
примыкающего пролета.
. Проектирование свайного фундамента
.1 Определение глубины заложения и
предварительное назначение размеров ростверка
Свайный фундамент может проектироваться с
низкими и с высоким ростверком.
На суходоле и в водотоке при глубине воды менее
3 м следует проектировать свайные фундамент с низким ростверком. Обрез низкого
ростверка располагается так же, как обрез фундамента мелкого заложения на
естественном основании. - (Плита, объединяющая группу свай в единую
конструкцию, называется ростверком).
Подошва низкого ростверка располагается: =1,5м
Минимальная высота ростверка определяется
условием жесткой заделки свай hр=1,0-1,5 м. При этом длина заделки hз должна
быть не менее половины периметра сваи - без разделки и 30 ds - с разделкой
головы сваи (где ds - диаметр периодической арматуры ). В обоих случаях толщина
ростверка увеличивается на 0,25 или 0,1 м.
Размеры обреза в плане принимаются больше
размеров опоры не менее чем на с=0,25...0,5 м с каждой стороны.
Сборные железобетонные ростверки фундаментов
мостов проектируются из бетона марки не ниже В25, монолитные - не ниже В15.
.2 Длина и поперечное сечение свай
В курсовом проекте я применяю забивные
железобетонные сваи сплошного квадратного сечения 0,35x0,35 м.
Длина сваи определяется положением подошвы
ростверка и кровли прочного грунта, в который целесообразно заделывать сваю.
Слабые грунты должны прорезаться сваями.
Заглубление свай в грунте, принятом за
основание, должно быть:
а) при крупнообломочных грунтах, гравелистых,
крупных и средней крупности песка, а также глинистых грунтах с показателем
текучести
<0,1 - не менее
0,5 м;
б) при прочих нескальных грунтах - не менее 1,0
м. Глубина погружения сваи от поверхности грунта (в русле реки с учетом
размыва) не должна быть менее 4 м.
Минимальная длина мостовых свай hc =5 м, а
рекомендуемая максимальная - обычно до 12...15 м .
Длина сваи в данной расчетно-графической работе
- 15 м, 2 ряда свай.
.3 Определение расчетной несущей способности
сваи
При небольших горизонтальных нагрузках и низких
ростверках сваи, как правило, размещаются вертикально. Расчетную несущую
способность сваи (расчетное сопротивление) определяют по прочности материала и
прочности грунта. Для дальнейших расчетов принимаем меньшее полученное
значение. Расчет висячих свай по материалу, как правило, не требуется, поскольку
несущая способность по материалу обычно больше, чем по грунту.
Несущая способность сваи по грунту находится в
соответствии с. Для наиболее распространенных забивных висячих свай нормативная
несущая способность определяется по :
где
-
коэффициент условий работы сваи, для забивных свай при использовании
дизель-молотов с =1 ;=3200- расчетное сопротивление грунта под нижним концом
сваи, МПа, при определении R в кПа табличное значение необходимо умножить на
1000;
А - площадь поперечного сечения сваи, м2; -
наружный периметр сваи;
- расчетное
сопротивление i-го слоя грунта основания по боковой поверхности сваи, МПа, для
получения fi в кПа табличное значение умножается на 1000; - толщина i -го слоя
грунта, соприкасающегося с боковой поверхностью, м, hi<2м;
- коэффициенты
условий работы под нижним концом и по боковой поверхности сваи, зависящие от
способа погружения свай (для свай, погружаемых забивкой
=1.
Рис.6.1. Схема для расчета несущей способности
одиночной сваи по грунту
6.4 Определение числа свай, их размещение и
уточнение размеров ростверка
Определяется расчетная нагрузка, допустимая на
сваю:
где
-
коэффициент надежности; для фундаментов мостов при низком ростверке и висячих
сваях, если Fd определена расчетом
принимается
равным 1.4.
Рис. 6.2. Свайный фундамент.
Количество свай определяется по формуле:
где N - расчетная нагрузка, передаваемая на
сваю, определяемая в общем случае по формуле:

где Gp - вес ростверка;
Р0, - нагрузка из табл.2 в сочетании № 1;
- коэффициент,
приближенно учитывающий перегрузку отдельных свай от действующего момента
принимается равным 1,1-1,2.
Размеры подошвы ростверка должны обеспечивать
расположение принятого количества свай с минимальным расстоянием между нижними
концами не менее 3dt и не более 6dt где dt - диаметр или большая сторона
прямоугольного сечения. Кроме того, минимальное расстояние между гранью крайних
свай и боковой поверхностью ростверка как вдоль, так и поперек моста должно быть
не менее 0,25 м. После размещения свай в плане окончательно назначают размеры
ростверка рис. 6.2.
В курсовой работе принимаем 12 свай.
.5 Проверка максимальной нагрузки, приходящейся
на сваю
Обычно проверяют расчетную нагрузку на крайнюю
сваю со стороны наибольшего сжимающего напряжения. При этом распределение
вертикальных нагрузок между сваями фундаментов мостов определяют расчетом их
как рамной конструкции. В курсовом проекте разрешается проверить усилие в свае
с учетом действия силы вдоль (или поперек) моста в сочетаниях №1, 2, 4 и 5.
Расчетную нагрузку на вертикальную сваю вдоль и поперек моста допускается
определять по формуле:
;
;
;
;
где Ро,в(n); Мо,в(n); Fо,в(n) -
нагрузки приведенные к обрезу, при расчете вдоль и поперек моста в сочетаниях
№1,№2, (№4, №5); Gр = GНр *
- расчетный собственный вес с учетом
коэффициента надежности по назначению
hр - Высота ростверка; n - принятое
количество свай; Уi и Xi - расстояния в плане от центральных осей ростверка до
каждой сваи ; Уm и Xm - расстояния до наиболее удаленной, а значит и самой
нагруженной сваи.
Найденное значение Nв(п) должно
удовлетворять условию:
где Fd =1921,15 кН- расчетная
несущая способность сваи по грунту;
- коэффициент надежности.
Оптимальным считается такая
конструкция, при котором :
где
- коэффициент надежности, если
несущая способность определена по результатам полевых испытаний грунтов
эталонной сваей или сваей-зондом и статического зондирования, или по
результатам динамических испытаний с учетом упругих деформаций грунта,
=1,25;
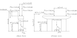
Вдоль моста сочетание №1:
Условие выполняется.
Вдоль моста сочетание №2:
Условие выполняется.
Поперек моста сочетание №4
Условие выполняется.
Поперек моста сочетание №5
Условие выполняется.
Рис.6.3. План свайного ростверка
.6 Проверка несущей способности по грунту
свайного фундамента как условно массивного
Рис. 6.4. Схема условно массивного фундамента.
Размеры lc и bc определяются из
геометрических соотношений. Для этого находим средневзвешенное значение угла
внутреннего трения грунтов
, пройденных сваями:
,
где
- расчетные значения углов
внутреннего трения отдельных пройденных сваями слоев грунта; Нi - толщины этих
слоев. Расчет выполняется вдоль и поперек моста в сочетаниях №№ 1, 2, 4 и 5.
Расчет выполняется вдоль и поперек
моста в сочетаниях №№ 1, 2, 4 и 5. Проверка напряжений по подошве условного
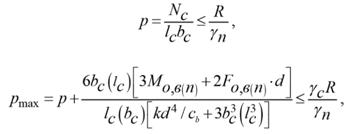
фундамента производится по формулам:
где Nc - нормальная составляющая
давления условного фундамента на грунт основания, определяемая с учетом веса
грунтового массива 1-2-3-4 вместе с заключенными в нем ростверком и сваями;
Nc=Po+Gm +Gp; Gm - расчетный вес грунтового массива (с коэффициентом надежности
по нагрузке 1,4); Fo; Mo - соответственно горизонтальная составляющая внешней
нагрузки, и ее момент относительно главной оси горизонтального сечения
условного фундамента в уровне расчетной поверхности грунта; d - глубина
заложения условного фундамента по отношению к расчетной поверхности; lc, bc -
размеры в плане условного фундамента в направлении, параллельном плоскости
действия нагрузки и перпендикулярном ей; k - коэффициент пропорциональности,
определяющий нарастание с глубиной коэффициента постели грунта,
расположенного выше подошвы
фундамента и принимаемый по [1]; cb - коэффициент постели грунта в уровне
подошвы условного фундамента, определяемый по формулам: при d
10 м cb =
10k; при d > 10 м cb = kd; ;Yn=1,4 - коэффициент надежности по назначению;
Yс =1,0 (в сочетаниях №№ 1 и 2), Yс=1,2 (в сочетаниях №№ 4 и 5) - коэффициент
условий работы; R - расчетное сопротивление грунта в уровне подошвы условного
массивного фундамента,причем при определении R все характеристики принимаются
для грунта, являющегося опорным пластом основания условного фундамента шириной
bс и глубиной заложения d. В формуле Pmax вдоль моста используются размеры и
индексы без круглых скобок, поперек - в скобках. =(9,08-0,735)*18,8+(200,33-10,29)*20+(176,52-5,586)*19,7+(264,42-6,3798)*20=12485,88*1,4=17480.2
Вдоль моста сочетание №1.
Условие выполняется.
Вдоль моста сочетание №2.
Условие выполняется.
Поперек моста сочетание №4.
Условие выполняется.
Поперек моста сочетание №5.
Условие выполняется.
.7 Определение осадки и кренов
Расчет осадки свайного фундамента
производится совершенно аналогично расчету фундамента мелкого заложения на
естественном основании. При этом верхняя граница сжимаемой толщи соответствует
подошве условного массивного фундамента и расчет производится от действия
нормативных постоянных нагрузок в соответствии с указаниями п. 5.4.
Предварительно вычисляем силы N и
момент М, приложенный к середине подошвы в четырех сочетаниях №1 и №2 - вдоль,
№4 и №5 - поперек моста:
где Ро , Mо, Fо - нагрузка из
соответствующих строк табл. 4.2; Vф и γνb - вес, объем и
удельный вес фундамента; γf -
коэффициент надежности по нагрузке (γf=1,1).
Вдоль моста сочетания №1.
М=0
Вдоль моста сочетания №2
Поперек моста сочетания №4
М=4578,816 кН
м
Поперек моста сочетания №5
Несущая способность должна
удовлетворять условиям:
где р и рmax - среднее и
максимальное давление под подошвой;
А=а*b - площадь подошвы
A=11,98*5,73=68.64 м2;=а*b2/6 (вдоль моста) W=65.55 м³;
W=а2*b/6 (поперек моста) W= 137 м³, - момент
сопротивления подошвы;
-коэффициента надежности по
назначению.
(в
сочетаниях №1 и №2), и
(в
сочетаниях №4 и №5) - коэффициент условии работы.
Вдоль моста сочетание №1
Вдоль моста сочетание №2
Поперек моста сочетание №4
Поперек моста сочетание №5
Все условия выполняются.
7. Технология сооружения фундамента и техника
безопасности
.1 Основные положения
В моем варианте я принимаю забивные сваи. Для
начала отрывается котлован, для этого я использую экскаватор, и ручным
способом, для точного приближения к нужным отметкам. Затем с помощью
сваебойного оборудования-копра забиваю сваи. Выровняв сваи на одном уровне,
устраиваю ростверк, пользуясь подъемным краном. После засыпаю котлован. Более
подробное описание технологических процессов см. ниже. Также технология
процесса представлена в графическом виде.
.2 Устройство крепления
Имеющиеся грунты и достаточно небольшая глубина
котлована позволяют в технологическом процессе обойтись без крепления.
.3 Разработка котлована
Разработка котлована под устройство фундамента -
первая стадия этого процесса. Она начинается непосредственно после завершения
подготовительных работ на строительной площадке. Для того, чтобы получить
котлован в соответствии с проектом, необходимо выполнить ряд работ в
определенной последовательности.
В первую очередь необходимо создать разбивочную
геодезическую основу.
Для этого выполняются следующие операции:
проверка геодезических данных на рабочих
чертежах проекта;
разбивка и закрепление в натуре контуров
котлована (нижнего контура и верхней бровки).
Разбивку контуров котлована следует производить
в соответствии с рабочими чертежами, на которых должны быть указаны оси
сооружения и все размеры, определяющие расположение контуров котлована
относительно осей сооружения.
Разработка грунта выполняется экскаватором.
Котлован я рою непосредственно перед забивкой свай, под устройство ростверка.
Перерывы во времени между этими процессами недопустимы. Если котлован долго
остается открытым, его дно разжижается атмосферными осадками, и несущая
способность основания снижается относительно расчетной величины.
При этом необходимо постоянно вести
геодезический контроль, выполняя нивелирование поверхности в пределах контура
котлована, чтобы исключить перекопку. Контроль осуществляется при помощи
нивелира и 3-4 метровой рейки. Контроль осуществляется по проектной высоте,
рассчитанной от горизонта инструмента.
Дневное нивелирование дна котлована
Рис.7.1 Схема нивелирования дна котлована
Геометрические размеры котлована должны
соответствовать запроектированному ростверку, глубиной его заложения. Стенки
котлована в зависимости от рода грунта, его влажности и степени разрыхления
необходимо выполнять с уклонами, которые характеризуются коэффициентом
естественного откоса, то есть отношением заложения к высоте откоса.
В супесях вертикальная стенка котлована
допускается при глубине не более 1,5 м, отношение глубины котлована к ширине
откоса составляет 1:0,25.
По СНиП 12-04-2002 производство работ, связанных
с нахождением работников в выемках с вертикальными стенками без крепления в
песчаных, пылевато-глинистых и талых грунтах выше уровня грунтовых вод и при
отсутствии вблизи подземных сооружений, допускается при их глбине не более, м:
1,25 - в супесях.
Рис. 7.2
Механизированная выемка в грунтах является
черновой и осуществляется на глубину недобора, как правило, на 10 - 15 см
меньше, чем требуется по проекту. Чистовую выборку выполняют вручную. При этом
надо следить, чтобы основание фундамента опиралось на грунт в его природном
состоянии (материк). Структуру материка нарушать не следует.
Вынутый грунт удаляют от котлована, оставляя
свободную полосу. Вес неубранного грунта может обрушить стенки котлована. Кроме
того, разработанный грунт занимает много места, затрудняя доступ к месту
производства робот.
В готовый котлован с обноски переносят оси свай
и начинают их забивку.После окончания работ по устройству котлована должны быть
оформлены:
акт готовности котлована;
плановая и высотная исполнительные схемы
готового котлована.
В заключении можно отметить, что разработка котлована,
несмотря на кажущуюся простоту, требует не только наличия землеройной техники,
но и наличие контрольно-измерительного инструмента, средств малой механизации,
ручного инструмента, а также знания нормативной документации и навыков
выполнения земляных работ.
.4 Погружение свай
Для устройства свайного фундамента применяют
забивные железобетонные сваи квадратного сечения 0,35х0,35, длиной 15 м. Сваи
армируют стержнями стальной арматуры классов А-1, А-2, А-3. В нижнем конце свая
заострена на 4 грани, острие совпадает с сосью сваи, отклоненное от оси острие
может увести сваю при забивке от проектного положения. При забивке в плотные
грунты и предохранения острия от разрушения на него надевают металлический
башмак - наконечник, а на верхнюю часть - железное кольцо-бугель,
предохраняющий голову сваи от разрушения (размочаливания) при забивке. Эти сваи
изготовляют на заводах. Сваи погружают в грунт приложением внешней вертикальной
нагрузки. Этими силами преодолеваются силы сопротивления грунта погружению в него
сваи. В зависимости от структуры, гранулометрического состава, влажности,
параметров внутреннего и внешнего трения и других свойств грунты оказывают
различные сопротивления погружению свай. В моем варианте глинистые и супесчаные
грунты, они наиболее податливые текучей и текучепластичной консистенции.
Забивные сваи погружают в грунт ударами,
вибрацией, вдавливанием и комбинацией этих методов. В своем варианте я применяю
ударный метод погружения свай, сваебойное оборудование - свайные молоты,
которые передают свае ударную нагрузку. Дополнительно к вдавливающей нагрузке,
которая передается в виде сил гравитации - собственных и взаимодействующих с
ней рабочих органов, свае передается часть кинетической энергии падающего на
нее ударного рабочего органа. Ударный метод погружения свай широко применяют в
строительстве, практически в любых грунтовых условиях, кроме скальных.
Технологический процесс забивки свай включает
следующие операции:
разметку мест забивки,
передвижку и установку копра сваебойного
агрегата у мест забивки,
подачу свай к копру, подъем и установку ее на
место погружения, забивку сваи.
Забивка свай ведется до проектной отметки или до
получения заданного проектом размера. Сваи, не давшие требуемого отказа, после
«отдыха» продолжительностью 3-4 дня, подвергаются контрольной забивке. Отказ -
нормируемая глубина погружения сваи от одного удара. Отказ измеряют с точностью
до 1 мм. Осадку от одного удара измерить трудно, поэтому отказ определяют как
среднее значение при серии ударов, называемых залогом.
Процесс погружения сваи складывается из
следующих операций:
подтягивание и подъем сваи с одновременным
заведением ее головной части в гнездо наголовника в нижней части молота;
установка сваи в направляющих в месте забивки;-
забивка сваи сначала несколькими легкими ударами с последующим увеличением силы
ударов до максимальной. Процесс забивки сваи считается законченным, если
средний отказ не превышает расчетного. При отклонении положения сваи от
вертикали более чем на 1% сваю выправляют подпорками, стяжками или извлекают и
забивают вновь;
передвижение копра и срезание сваи по заданной
отметке.
подтягивание и подъем сваи с одновременным
заведением ее головной части в гнездо наголовника в нижней части молота;
При забивке часть свай не удается погрузить до
проектной отметки и верхние части находятся на разных уровнях. Поэтому лишние
части срезаются. Для срубки голов железобетонных свай используют дисковые пилы,
специальные гидроножницы или установки компрессорно-вакуумного типа.
При забивке свая внедряется в грунт, раздвигая
его частицы, в результате чего грунт вокруг сваи уплотняется, что должно быть
учтено при назначении схем забивки.
.5 Машины и оборудование для погружения забивных
свай
Для погружения забивных свай я буду использовать
копр. Сваи заводского изготовления погружают в грунт с помощью копров,
перемещающихся по свайному полю на собственном, обычнорельсовом, ходу. Копры
служат для подъема и установки свай перед погружением в требуемой точке
свайного поля и обеспечения их направления при погружении вместе с
погружателем.
Копер состоит из нижней рамы (рис.1 ) с ходовыми
тележками 2, поворотной платформы 6, опирающейся на нижнюю раму через
опорно-поворотное устройство, с расположенными на ней силовой установкой
(обычно электрической), механизмами (в том числе одной или двумя лебедками для
подъема и установки в рабочее положение сваи и погружателя), органами
управления, кабиной и противовесом, мачты 3 и механизмов 4 и 5 для изменения
ориентации мачты относительно платформы. В копер комплектуют свайными молотами.
Рабочий процесс копра состоит из его
передвижения к месту установки сваи, ее строповки, подтягивания, установки на
точку погружения по предварительно выполненной разметке, выверке правильности
ее положения, закрепления на свае наголовника, предохраняющего ее от разрушения
при ударном погружении, установку на сваю погружателя, расстроповку сваи, ее
погружение с последующей выверкой направления, подъем погружателя и снятие с
погруженной сваинаголовника. Для передвижения копра используют собственное ходовое
оборудование.
После перемещения копра его надежно стопорят
стояночными тормозами или другими устройствами для правильной установки сваи и
ее фиксирования в требуемом начальном положении. Мачту оборудуют упорами,
иногда за хватами в ее нижней части. Для наводки сваи на требуемую точку
свайного поля требуется две степени свободы мачты. Это достигается поворотом
платформы и изменением вылета мачты. Еще одна степень свободы нужна для
корректировки направления последующегодвижения сваи в процессе ее погружения.
Перед устройством ростверка - конструкции,
объединяющей сваи и служащей для передачи нагрузки от надземной части
сооружения на сваи и грунтовое основание,-головы погруженных в грунт свай
выравнивают на проектной отметке, срубая их пневматическими молотками и газовой
резкой или срезая специальными устройствами, называемыми сваерезами.
.6 Устройство ростверка
В зависимости от типа свай и конструкции
ростверка выбирают технологию его устройства. При сваях из бетона и
железобетона ростверки выполняют из сборного и монолитного железобетона.
При забивных сваях, головы которых часто
оказываются на разных отметках, перед усфойством ростверка выполняют трудоемкие
операции по выравниванию голов свай (срубают бетон, режутарматуру и др.).
Срезают бетон обычно с помощью пневматических отбойных молотков. Более
эффективно применять для этих целей установки для срубания свай, состоящие из
жесткой замкнутой станины, подвижной рамы, съемных зубьев и гидродомкрата с
поршнем.
Сваи при погружении иногда отклоняются в плане
до 50 мм. При многорядном или кустовом расположении свай эти отклонения не
вызывают осложнений при устройстве ростверков. Если же имеется однорядное
расположение и часть сечения сваи выходит за границы ростверка, то необходимо
устраивать специальный выступ, что практически возможно выполнить при ростверке
из монолитного железобетона.
При подготовке голов набивных свай к устройству
ростверков проверяют верхнюю поверхность по нивелиру и при необходимости
выравнивают опорную поверхность свай с помощью бетонной смеси или цементного
раствора.
Балки сборного железобетонного ростверка
устанавливают на выравнивающую подсушку из песка (шлака) от угла здания по
захваткам. Элементы сборного ростверка со сваями сопрягаются путем замоноличивания
отверстий трапецеидального сечения в балках ростверка, внутрь которых подогнуты
стержни арматуры сваи.
.7 Техника безопасности
Основные положения техники безопасности при
производстве работ по устройству свайного фундамента.
. Настоящие указания по технике безопасности
охватывают производство специфических работ по возведению фундаментов из
буровых свай и являются дополнительными к действующим инструкциям по
эксплуатации оборудования, механизмов и устройств, а также к требованиям техники
безопасности общестроительных работ, изложенных в действующих «Правилах техники
безопасности и производственной санитарии при сооружении мостов и труб» (М.,
Оргтрансстрой, 1969) и в СНиП III-4-80.
. Рабочие подмости должны обладать необходимой
прочностью и устойчивостью при различных положениях станка в процессе бурения
скважин.
. Запрещается производить какие-либо работы по
устранению неисправностей станка при подвешенном рабочем органе. Неисправности
станка и рабочих органов допускается устранять после установки и закрепления их
в устойчивом положении.
. Операции по разгрузке и очистке от грунта
невращающегося бура или уширителя должны осуществляться рабочими, находящимися
сбоку от них на расстоянии не менее 1 м. Если бур или уширитель вращается,
персоналу запрещается приближаться к ним на расстояние менее 2 м.
. Во время подъема и опускания бура, уширителя,
грейфера или перемещения их в сторону (для разгрузки от грунта, смены или
ремонта) рабочим запрещается находиться в радиусе менее 3 м от перемещаемого над
поверхностью грунта рабочего органа.
Для выполнения работ над скважиной, в том числе
при затяжке болтов в стыках элементов буровой колонны, скважину следует закрыть
съемными щитами.
Работа водолаза для подводного обследования
забоя скважины или других целей допускается только в пределах зоны заглубления
обсадной трубы в присутствии сменного мастера, отвечающего непосредственно за
безопасность работы водолаза.Запрещается опускаться водолазу ниже трубы,
которая обсаживает скважину на части ее глубины.
. Оболочки или арматурные каркасы для подъема их
из горизонтального положения в вертикальное следует строповать согласно
разработанным схемам, обеспечивающим безопасность работающих и исключающим
возможность деформации и случайного излома оболочки или каркаса. Конструкция
захвата должна исключать возможность самопроизвольного отсоединения стропа в
случае непредвиденного опирания оболочки или каркаса о какое-либо препятствие.
. Во время перемещения оболочки или каркаса
краном рабочие должны находиться за пределами опасной зоны.
Подход рабочих к скважине разрешается после
того, как низ каркаса будет располагаться над обсадной трубой (или патрубком)
на высоте 0,1-0,2 м от ее верха.
. При бетонировании полости оболочек или скважин
и уширений, осуществляемом на одной площадке параллельно с буровыми работами,
контроль за соблюдением рабочими правил техники безопасности возлагается на
производителя работ и сменных мастеров.
. Кран, предназначенный для подачи бетонной
смеси в бункер или в воронку бетонолитной трубы, должен быть установлен так,
чтобы перемещение бадьи производилось вне пределов зоны нахождения рабочих,
занятых на укладке бетонной смеси.
. У приемного бункера необходимо устроить
площадку с перилами для размещения рабочих, принимающих бетонную смесь.
. Выгрузку бетонной смеси из бадьи допускается
производить при возвышении ее низа над бункером не более 1 м.
Строповку, подвозку, укорочение и извлечение
бетонолитной трубы, а также ее первоначальное заполнение бетонной смесью
необходимо производить под руководством сменного мастера.
Список литературы
1.
Лисов В.М. Мосты и трубы:Учеб.Пособие.Воронеж: Изд-во ВГУ. 1995.
.
П.М. Соломахин ,О.В.Воля «Мосты и сооружения на дорогах»
.
СП 35.13330.2011 «Мосты и трубы»
.
ГОСТ 52748-2007 «Нормативные нагрузки, расчетные схемы нагружения и габариты
приближения».
.
СНиП 2.05.02-85 «Автомобильные дороги» от 01.01.1987
.
Проектирование фундаментов транспортных сооружений: метод. указания к
выполнению курсового и дипломного проектирования по дисциплине “Основания и
фундаменты транспортных сооружений” для студ. спец. 270205 и 270201 / Воронеж.
гос. арх.-строит. ун-т; сост.: Волокитин В.П., Еремин В.Г., Журавлев В.А.,
Андреев А.В. - Воронеж, 2010