|
кПа
|
|
|
|
|
|
|
|
|
|
|
|
|
|
|
|
|
|
|
1
|
2
|
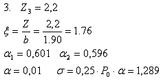
3
|
4
|
5
|
6
|
7
|
8
|
9
|
10
|
11
|
12
|
13
|
14
|
15
|
16
|
17
|
19
|
20
|
21
|
|
0
|
Почвенно-растительный
слой
|
0,5
|
1,4
|
-
|
-
|
14
|
-
|
-
|
-
|
-
|
-
|
-
|
-
|
-
|
-
|
-
|
-
|
-
|
-
|
|
1
|
Макропористый
суглинок, твёрдый, слабосжимаемый
|
2
|
16
|
26,3
|
14,8
|
14,3
|
0,08
|
0,15
|
0,23
|
0,77
|
0,273
|
0,08
|
-0,32
|
0,16
|
43
|
7,63
|
0,02
|
20
|
375
|
|
2
|
Песок
мелкий, плотный, маловлажный, слабосжимаемый
|
2,5
|
1,85
|
2,67
|
1,697
|
18,5
|
0,09
|
-
|
-
|
0,573
|
0,419
|
-
|
-
|
0,06
|
0,038
|
19,36
|
-
|
37
|
400
|
|
3
|
Глина
непросадочная, тугопластичная, Полутвёрдая.
|
неограниченная
|
2
|
2,66
|
1,695
|
20
|
0,18
|
0,15
|
0,22
|
0,569
|
0,841
|
0,07
|
0,429
|
0,09
|
0,057
|
5,37
|
0,023
|
16
|
300
|
Разработка
вариантов фундаментов
В данном курсовом проекте рассматриваем три
варианта фундаментов:
) фундамент мелкого заложения на
естественном основании. ИГЭ-3 и ИГЭ-3 могут являться основанием.
) фундамент мелкого заложения на искусственном
основании. ИГЭ-3 требует замены на песок со средней плотности.
) фундамент глубокого заложения.
После расчёта фундаментов производим
технико-экономическое сравнение вариантов фундаментов и производим дальнейший
расчёт по выгодному варианту.
Проектирование фундамента мелкого
заложения на естественном основании. Выбор глубины заложения фундамента
Глубину заложения фундамента исчисляем как
разность отметок планировки и подошвы фундамента.
Рис.
Из конструктивных требований
d
f1=250+50+400+150+1900=2750
мм.= . =2.75м
Расчётная глубина сезонного
промерзания грунта
, м,
определяем по формуле:
, где
- коэффициент теплового режима в здании;
- нормативная глубина промерзания
для г. Херсон.
В качестве расчётной принимаем
наибольшую глубину заложения фундамента
Рис.
Определение ростверков фундамента в
плане
.S £ Su
Приложение 4. СНиП 2.02.01.-83 Su<15см.
.
Рис.
3.Находим требуемую площадь
фундамента, чтобы среднее давление на основание под подошвой было
приблизительно равно значению расчётного сопротивления грунта основания R:
, где
- вертикальная нагрузка от
сооружения в уровне обреза фундамента по второй группе предельных состояний;
- расчётное сопротивление 1 слоя
грунта основания (искусственное основание).
- осреднённый удельный вес
материала фундамента и грунта на его обрезах;
- глубина заложения фундамента.
Предварительно принимаем отношение
сторон фундамента равным:
, следовательно,
,
Принимаем размеры фундамента
кратными 10 см:
и
с площадью As=15.18 см2
. Конструируем жёсткий фундамент,
тогда
5. Определяем фактическое расчётное
сопротивление грунта основания по формуле Пузыревского:
, где
- коэффициенты условий работы,
принимаемые по СНиП 2.02.01-83;
- коэффициент зависящий от
определения
и с по СНиП
2.02.01-83;
- коэффициенты, зависящие от угла
внутреннего трения и принимаемые по СНиП 2.02.01-83;
- коэффициент, равный
при b < 10 м;
- ширина подошвы фундамента;
- осреднённые удельные веса
грунтов, расположенные соответственно ниже и выше подошвы фундамента;
- приведенная глубина заложения
фундамента для сооружения с подвалом;
- глубина подвала;
- удельное сцепление грунта
основания.
Проверка :

< R=583.5 кПа ,
следует уменьшить площадь фундамента:
, следовательно,
,
Принимаем размеры фундамента
кратными 10 см:
и
с площадью As=10.64 см2
Определяем фактическое расчётное
сопротивление грунта основания по формуле Пузыревского:
,
Рис.
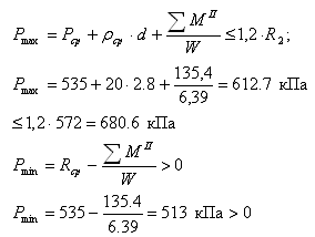
Проверка :

=
< R=572 кПа ,
Рис.
Проектирование фундамента мелкого
заложения на искусственном основании
В учебных целях заменяем ИГЭ-3 (rd=16,9
кН/м3 песок плотный, мелкий) на песок крупный, уплотнив его
при этом до rd=16,5
кН/м3 .
Выполним искусственное основание на песчаный
подушках, заменив слой толщиной 1 м.
Тогда коэффициент пористости искусственного
основания:
-песок средней плотности.
По приложению 3. табл. 2 СНиП
2.02.01-83 Ro=500 кПа.
По приложению 1. табл. 1 нормативным
значением удельного сцепления с=0, угол внутреннего трения jn=38.5°, модуль деформации E=37 МПа.
Глубина заложения подошвы фундамента остаёться
такой же как и в п4.1 и будет равна d=2.8
м.
Определяем размеры фундаменты в плане
.S
£ Su
Приложение 4. СНиП 2.02.01.-83 Su<15см.
2.
.Находим требуемую площадь
фундамента, чтобы среднее давление на основание под подошвой было
приблизительно равно значению расчётного сопротивления грунта основания R:
, где
- вертикальная нагрузка от
сооружения в уровне обреза фундамента по второй группе предельных состояний;
- расчётное сопротивление 1 слоя
грунта основания (искусственное основание).
- осреднённый удельный вес
материала фундамента и грунта на его обрезах;
- глубина заложения фундамента.
Т.к. фундаменты
внецентреннонагружены принимаем их прямоугольного сечения в плане.
, следовательно,
,
Принимаем размеры фундамента
кратными 10 см:
и
с площадью As=11.54 см2
Конструируем
жёсткий фундамент, тогда
. Определяем фактическое расчётное
сопротивление грунта основания по формуле Пузыревского:
, где
- коэффициенты условий работы,
принимаемые по СНиП 2.02.01-83;
- коэффициент зависящий от
определения
и с по СНиП
2.02.01-83;
- коэффициенты, зависящие от угла
внутреннего трения и принимаемые по СНиП 2.02.01-83;
Рис.
- коэффициент, равный
при b<10 м;
- ширина подошвы фундамента;
- осреднённые удельные веса
грунтов, расположенные соответственно ниже и выше подошвы фундамента;
- приведенная глубина заложения
фундамента для сооружения с подвалом;
- глубина подвала;
- удельное сцепление грунта
основания.
Проверка :

< R=676,4 кПа ,
следует уменьшить площадь фундамента:
, следовательно,
,
Принимаем размеры фундамента
кратными 10 см:
и
с площадью As=8,32 см2
Определяем фактическое расчётное
сопротивление грунта основания по формуле Пузыревского:
,
Проверка :

< R=652,8 кПа ,
Рис.
Проектирование свайного фундамента.
Выбор типа вида свай, определение глубины заложения ростверка и посадка
свайного фундамента на геологический разрез
Рис.
Т.к. фундаменты внецентренно загружены, следует
принимать жёсткую заделку свай в ростверке.
d=190+15+40+5+25+3+10=3.2м
К расчёту принимаем висячии забивные сваи
С4-40., погружаемые механическим способом.
Сечение сваи 40х40, l=3,3
м.
Определяем несущую способность сваи (как висячей
сваи) по грунту по СНиП 2.02.03-85 «Свайные фундаменты» по формуле:
, где
- коэффициент условий работы сваи в
грунте, принимается
;
- расчётное сопротивление грунта
под нижним концом сваи, кПа;
- площадь опирания на грунт сваи, м2,
принимаемая по площади сечения сваи;
- наружный периметр поперечного
сечения сваи, м;
- расчётное сопротивление i - го слоя
грунта основания по боковой поверхности сваи, кПа;
- толщина i - го слоя
грунта, соприкасающегося с боковой поверхностью сваи, м
- коэффициенты условий работы
грунта соответственно под нижним концом и на боковой поверхности сваи,
учитывающие способ погружения сваи на расчётные сопротивления грунта. При
погружении свай дизельмолотом: 
Определение нагрузки, допускаемой на
сваю
Нагрузка, допускаемая на сваю
определяется путём деления несущей способности сваи
на
коэффициент надёжности
:
Определение количества свай и
конструирование свайного ростверка
Определяем число свай и условия, что
ростверк осуществляет равномерное распределение нагрузки на свайный куст.
Расчёт ведём по первой группе предельных состояний.
Принимаем 12 свай и размещаем их,
как показано на рис. 13. При этом минимально допустимые расстояния между сваями
составляют от 3d до 6d, где d = 40 см -
сторона сечения квадратной сваи. Расстояние от осей крайних свай до кромки
ростверка принимаем равным d = 40 см.
Рис.
Определение фактической нагрузки на
сваю и выполнение проверки
Определяем фактический вес ростверка
и грунта на его обрезах и определяем фактическую нагрузку на каждую сваю:
При этом должно удовлетворятся
условие:
Технико-экономическое сравнение
вариантов фундаментов
В качестве критерия при оценке в
выборе основного варианта фундаментов принимаем минимум приведённых затрат.
В курсовом проекте расчёт стоимости производим
по укрупнённым показателям, причём в учёт принимаем только те виды работ и
конструкций, объёмы которых различны по сравниваемым вариантам. Сравнение
вариантов ведём по стоимости одного погонного метра или одного отдельностоящего
фундамента, т.е. все объёмы необходимых работ, конструкций и материалов
определяем из расчёта 1 фундамент.
Сравнение вариантов фундаментов
сводим в таблицы
Таблица. Стоимость устройства 1 фундамента
мелкого заложения на естественном основании.
|
№
п/п
|
Наименование
работ
|
Ед.
измерения
|
Объём
работ
|
Стоимость
|
|
|
|
|
Единичная
|
Общая
|
|
1
|
Разработка
грунта в отвал экскаваторами с ковшом вместимостью 1 м3
|
1000
м3
|
0,125
|
82,4
|
10,3
|
|
2
|
Устройство
железобетонных фундаментов (В15) V>25м3
|
м3
|
5,17
|
34,44
|
178,05
|
|
3
|
Стоимость
бетона: тяжёлый, В15, крупный уплотнитель до 10 м.
|
м2
|
5,17
|
30,4
|
157,57
|
|
4
|
Засыпка
траншей и котлованов бульдозером с перемещением до 10 м.
|
1000
м3
|
0,12
|
18,9
|
2,27
|
|
4
|
Уплотнение
грунта пневмотрамбовками.
|
100
м3
|
1,2
|
11,6
|
13,92
|
|
|
|
|
ИТОГО:
|
319,4
|
Таблица. Стоимость устройства 1 фундамента
мелкого заложения на искусственном основании
|
№
п/п
|
Наименование
работ
|
Ед.
измерения
|
Объём
работ
|
Стоимость
|
|
|
|
|
Единичная
|
Общая
|
|
1
|
Разработка
грунта в отвал экскаваторами с ковшом вместимостью 1 м3
|
1000
м3
|
0,240
|
82,4
|
19,78
|
|
2
|
Устройство
железобетонных фундаментов (В15)
|
м3
|
4,51
|
34,44
|
155,3
|
|
3
|
Стоимость
бетона: тяжёлый, В15, крупный уплотнитель до 10 м.
|
м2
|
4,51
|
30,4
|
137,01
|
|
4
|
Засыпка
траншей и котлованов бульдозером с перемещением до 10 м.
|
1000
м3
|
0,235
|
18,9
|
4,44
|
|
4
|
Уплотнение
грунта пневмотрамбовками.
|
100
м3
|
2,35
|
11,6
|
27,26
|
|
|
|
28,32
|
ИТОГО:
|
343,8
|
Таблица 7. Стоимость устройства 1 свайного
фундамента
|
№
п/п
|
Наименование
работ
|
Ед.
измерения
|
Объём
работ
|
Стоимость
|
|
|
|
|
Единичная
|
Общая
|
|
1
|
Разработка
грунта в отвал экскаваторами с ковшом вместимостью 1 м3
|
1000
м3
|
0,0844
|
82,4
|
5,95
|
|
2
|
Устройство
растверка, B15, V<10м3
Стоимость бетона: B15 круп.заполнитель до 10 мм.
|
м3
|
11,75
|
34,4
30,4
|
404,2
357,2
|
|
3
|
Погружение
свай дизельмолотом lсв<8м.
|
м3
|
6,36
|
3,51
|
22,32
|
|
4
|
Стоймость
одной сваи длиной от 3 до 8 м. с периметром сторон 1201-1600 мм .
|
м
|
39,6
|
7,85
|
310,9
|
|
5
|
Засыпка
траншей и котлованов бульдозером с перемещением до 10 м.
|
1000
м3
|
0,07265
|
18,9
|
1,37
|
|
6
|
Уплотнение
грунта пневмотрамбовками
|
100м3
|
0,725
|
11,6
|
8,41
|
|
|
|
|
ИТОГО:
|
1110,35
|
Фундамент мелкого заложения на естественном
основании является наиболее выгодным.
Проектирование фундамента крайнего
ряда для основного варианта
Глубину заложения фундамента
крайнего ряда принимаем равной глубине заложения фундамента среднего ряда
.Начинаем
расчёт с определения размеров подошвы фундамента методом последовательных
приближений.
Находим требуемую площадь центрально
нагруженного фундамента, чтобы среднее давление на основание под подошвой было
приблизительно равно значению расчётного сопротивления грунта основания R:
, где
- вертикальная нагрузка от
сооружения в уровне обреза фундамента крайнего ряда по второй группе предельных
состояний;
- расчётное сопротивление 1 слоя
грунта основания (искусственное основание).
- осреднённый удельный вес
материала фундамента и грунта на его обрезах;
- глубина заложения фундамента.
Принимаем размеры фундамента
кратными 10 см:
Определяем фактическое расчётное
сопротивление грунта основания по формуле Пузыревского:
, где
Проверка :

< R1=
564 кПа ,
Принимаем размеры фундамента
кратными 10 см:
с As=6,25см2
Определяем фактическое расчётное
сопротивление грунта основания по формуле Пузыревского:
,,
Рис.
Проверка:


< R=587 кПа ,
Определение осадки фундамента
Расчёт осадки основания производим
по следующему алгоритму:
1. Определяем природное давление на уровне
подошвы фундамента:
2. Определяем дополнительное давление на уровне
подошвы фундамента:
3. Определяем толщину элементарного слоя
грунта:
, где
- ширина подошвы фундамента
Таблица. Грунт под подошвой
фундамента разбиваем на элементарные слои и дальнейший расчёт ведём в табличной
форме
№
п/п Наименование грунта
,
мz,
м

,
кПаE,
кПаS,
|
1
|
2
|
3
|
4
|
5
|
6
|
7
|
10
|
11
|
|
1
|
Песок
мелкий, плотный, маловлажный, слабосжимаемый
|
0
|
0
|
0
|
1
|
493,4
|
19360
|
0,028
|
|
|
1
|
1
|
0,714
|
0,878
|
433,4
|
|
|
|
|
1
|
2
|
1,429
|
0,586
|
289,2
|
|
|
|
|
0,2
|
2,2
|
1,571
|
0,535
|
263,8
|
|
|
|
2
|
Глина
|
1
|
3,2
|
2,286
|
0,341
|
168,4
|
5370
|
0,049
|
|
|
1
|
4,2
|
3
|
0,228
|
112,5
|
|
|
|
|
1
|
5,2
|
3,714
|
0,160
|
79,1
|
|
|
|
|
1
|
6,2
|
4,429
|
0,118
|
58,2
|
|
|
|
|
1
|
7,2
|
5,143
|
0,090
|
44,4
|
|
|
|
|
1
|
8,2
|
5,857
|
0,071
|
34,9
|
|
|
|
|
1
|
9,2
|
6,571
|
0,057
|
28,1
|
|
|
Расчёт осадки фундамента
Определяем послойную (в пределах каждого
напластования грунта) осадку грунта по формуле:
Сравниваем полученную осадку
сооружения с допустимой:
, где
- максимальная осадка для
гражданских зданий с полным железобетонным каркасом.
Составляем схему распределения
вертикальных напряжений в грунте основания.
Рис.
Определение влияний рядом стоящих
фундаментов друг на друга
Рис.
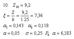
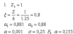
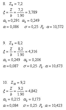
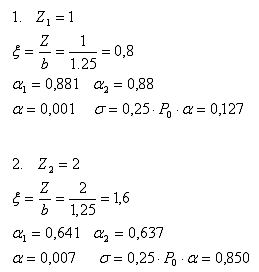
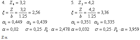
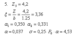
1.Z1=1
Таблица
Z м.
,
кПаs
кПа
,
|
0
|
493,4
|
0,000
|
493,400
|
|
1
|
433,4
|
0,21768
|
433,573
|
|
2
|
289,2
|
1,445
|
290,600
|
|
2,2
|
263,8
|
1,830
|
265,656
|
|
3,2
|
168,4
|
4,195
|
172,597
|
|
4,2
|
112,5
|
6,685
|
119,184
|
|
5,2
|
79,1
|
8,684
|
87,806
|
|
6,2
|
58,2
|
9,966
|
68,150
|
|
7,2
|
44,4
|
10,576
|
54,956
|
|
8,2
|
34,9
|
10,673
|
45,544
|
|
9,2
|
28,1
|
10,423
|
38,498
|
Рис.
Рис.
Влияние крайнего фундамент на
крайний

Z м.
,
кПаs
кПа
,
|
0
|
493,4
|
0,000
|
493,400
|
|
1
|
433,4
|
0,128
|
433,483
|
|
2
|
289,2
|
0,850
|
290,005
|
|
2,2
|
263,8
|
1,077
|
264,903
|
|
3,2
|
168,4
|
2,478
|
170,880
|
|
4,2
|
112,5
|
3,959
|
116,458
|
|
5,2
|
79,1
|
5,151
|
84,272
|
|
6,2
|
58,2
|
5,916
|
64,100
|
|
7,2
|
44,4
|
6,279
|
50,659
|
|
8,2
|
34,9
|
6,335
|
41,206
|
|
9,2
|
28,1
|
6,183
|
0
|
Рис.
Влияние крайнего на средний
фундамент
Рис.
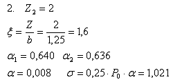
Таблица
Z м.
,
кПаs
кПа
,
|
0
|
493,4
|
0,000
|
493,400
|
|
1
|
433,4
|
0,15581
|
433,511
|
|
2
|
289,2
|
1,021
|
290,177
|
|
2,2
|
263,8
|
1,289
|
265,115
|
|
3,2
|
168,4
|
2,903
|
171,305
|
|
4,2
|
112,5
|
4,538
|
117,037
|
|
5,2
|
79,1
|
5,789
|
84,910
|
|
6,2
|
58,2
|
6,535
|
64,719
|
|
7,2
|
44,4
|
6,836
|
51,216
|
|
8,2
|
34,9
|
6,813
|
41,685
|
|
9,2
|
28,1
|
6,584
|
0
|
Рис.
Список литературы
.СНиП
2.02.01-83. Основания зданий и сооружений / Госстрой СССР. - М.: Стройиздат,
1985. -40 с
.СНиП
2.02.03-85 Свайные фундаменты / Госстрой СССР. - М.: ЦИТП Госстроя СССР, 1986.
-48 с
.Далматов
Б.И. Механика грунтов, основания и фундаменты (включая специальный курс
инженерной геологии). - 2-е изд. перераб. и доп. - Л.: Стройиздат, Ленингр.
отд-ние, 1988. -415 с. ил.
.
А.Н. Кувалдин, Г.С.Клевцова. Примеры расчёта железобетонных конструкций зданий.--2-е
изд. Перераб. И .доп.--М.:Стройиздат 1976-287с.