Фундамент под промежуточную опору моста

  • Вид работы:
    Контрольная работа
  • Предмет:
    Строительство
  • Язык:
    Русский
    ,
    Формат файла:
    MS Word
    168,94 Кб
  • Опубликовано:
    2014-12-17
Вы можете узнать стоимость помощи в написании студенческой работы.
Помощь в написании работы, которую точно примут!

Фундамент под промежуточную опору моста

Оценка конструктивной характеристики сооружения

В данной контрольной работе необходимо рассчитать и запроектировать фундамент под промежуточную опору моста. При этом разрабатываются два фундамента: на естественном основании (мелкого заложения) и свайный фундамент.

Промежуточная опора моста имеет:

бескаркасную конструкцию;

прямоугольную форму в плане;

абсолютную жесткость

Исходные данные:

Номер геологического разреза: 4;

Расчетный пролет, lp = 26 м;

Высота опоры, ho = 8,4 м;

Вес опоры, Po = 5,60 МН;

Вес пролетных строений, Pn =1,41 МН;

Сила воздействия от временной вертикальной подвижной нагрузки, PK =6,30 МН;

Горизонтальная тормозная сила, T =0,63 МН;

Коэффициент надежности временной подвижной нагрузки, γf =1,11 МН;

Район строительства, Тюмень;

Размеры опоры по низу, 1,8*4,2.

Данные о грунтах:

Номер слоя

1

2

3

4

Вид грунта

Песок мелкий

Суглинок

Глина

Песок мелкий

Глубина подошвы слоя от поверхности

1,8

3,4

4,8

-

Мощность слоя

1,8

1,6

1,4

-

Абсолютная отметка подошвы слоя

120,6

119,0

117,6

-

Уровень подземных вод от поверхности

121,4

Удельный вес твердых частиц грунта, γs, кН/м3

26,4

27,0

27,0

26,5

Удельный вес грунта, γ, кН/м3

19,4

20,1

20,8

19,1

Природная влажность

0,27

0,30

0,32

0,13

Граница текучести

-

0,33

0,43

-

Граница раскатывания

-

0,18

0,22

-

Удельное сцепление

4

20

55

-

Угол внутреннего трения

32

19

17

33

Модуль деформации

23

15

20

28


Отметка поверхности природного рельефа 122,4 м

Оценка инженерно-геологических и гидрогеологических условий строительной площадки.

Показатель

Обозначение

Единицы измерения

№ геологического слоя

Расчетная формула




1

2

3

4


Удельный вес твердых частиц грунта

γs

кН/м3

26,4

27,0

27,0

26,5


Удельный вес грунта

γ

кН/м3

19,4

20,1

20,8

19,1


Природная влажность

ω


0,27

0,30

0,32

0,13


Удельный вес скелета грунта

γd

кН/м3

15,28

15,46

15,76

16,90

Коэффициент пористости

e


0,73

0,75

0,71

0,57

Удельный вес во взвешенном состоянии

кН/м3

9,49

9,74

9,92

10,52

Степень влажности


0,01

0,011

0,012

0,006

Граница раскатывания


-

0,18

0,22

-


Граница текучести


-

0,33

0,43

-


Число пластичности


-

0,15

0,21

-

Показатель текучести


-

0.8

0.48

-

Модуль деформации

E

МПа

23

15

20

28


Угол внутреннего трения

φ


32

19

17

33


Сцепление

c

кПа

4

20

55

-


Наименование грунтов:

Песчаных

Песок мелкий: средней плотности, маловлажные


Глинистых

Суглинок: текучепластичный Глина: тугопластичная



Проектирование фундамента мелкого заложения на естественном основании

Определение глубины заложения фундаментов с предварительной оценкой минимальной глубины заложения.

Глубина заложения фундамента должна определяться с учетом:

Назначения и конструктивных особенностей проектируемого сооружения;

Величины и характера нагрузок, воздействующих на основание;

Инженерно-геологических условий площадки строительства (физико-механические свойства грунтов, характер напластований);

Гидрогеологических условий площадки и возможных их изменений в процессе строительства и эксплуатации сооружений;

Глубины сезонного промерзания грунтов.

Нормативная глубина сезонного промерзания грунта, если она не более 2,5 м. определяется по формуле:


где:  - коэффициент, численно равный сумме абсолютных значений среднемесячных отрицательных температур за зиму в данном районе;

(Тюмень)

- глубина промерзания, принимаемая равной:

,23 м для суглинков и глин;

,28 м для супесей, песков мелких и пылеватых.

 м.

Расчетная глубина сезонного промерзания определяется по формуле:


где: =1,1 - коэффициент, учитывающий влияние теплового режима сооружения, принимаемый для наружных и внутренних фундаментов неотапливаемых сооружений.

 м.

В связи с тем, что слой суглинка имеет показатель текучести  = 0,8 что больше допустимого значения то подошву фундамента нужно опирать на слой с более низким показателем текучести. Глубину заложения фундамента принимаю равной:  м.

Определение расчетного сопротивления грунта под подошвой фундамента

Условная площадь фундамента


где:  - условное расчетное сопротивление грунта, кПа;

 - усредненный удельный вес материала фундамента и грунта, лежащего на уступах фундамента, кН/м3;

 - Временная вертикальная подвижная нагрузка, кН;

 - вес опоры, кН;- глубина заложения фундамента, м.


Ширина подошвы фундамента:


где : η - коэффициент пропорциональности:


где: l - длинна опоры, м;ширина опоры, м;


Длина подошвы фундамента:


Принимаем: l - 10 м., b - 4,3 м.

Фактическая площадь:

Расчетное сопротивление грунта основания


где:  = 1,2 и  = 1,1 - коэффициенты условий работы;

 - коэффициент, принимаемый равным 1, так как прочностные характеристики грунта ( и ) определены непосредственными испытаниями;

 = 0,39 ,  = 2,57 ,  = 5,15 - коэффициенты, принимаемые в зависимости от угла внутреннего трения;- коэффициент, принимаемый равным 1 при b < 10м;

 - ширина подошвы фундамента, 4.3 м;

 - осреднённое расчётное значение удельного веса грунтов, залегающих ниже подошвы фундамента, 10,28 кН/м3;

 - то же, залегающих выше подошвы, 12,43 кН/м3;

 - расчётное значение удельного сцепления грунта, залегающего непосредственно под подошвой фундамента, кПа;

 - глубина заложения фундамента, 3.5 м;

 - глубина подвала - расстояние от уровня планировки до пола подвала, м.

Проверка несущей способности грунта основания:


где: P - Давление под подошвой фундамента;- Расчетное сопротивление;- Собственный вес опоры;

Объем фундамента:

кН/м

Вес фундамента:


Условие выполняется

Таким образом: 524,287 кН/м3 ≤ 653,083 кН/м3 Условие выполняется

Проверка прочности подстилающего слоя грунта:


Где: Е0, Еп - модуль деформации основания и подстилающего слоя грунта:

т.е. 20 МПа < 28 МПа - неравенство выполняется.

Определение осадки фундамента методом послойного суммирования

Расчет грунтового основания по деформациям: S≤Su

Где: S - рассчитываемая осадка, м;- предельное значение осадок фундамента, зависящее от конструктивной схемы.

Полная осадка грунтов основания определяется методом послойного суммирования по формуле:


Где:  = 0,8 - безразмерный коэффициент;

 - среднее значение дополнительного вертикального нормального напряжения в i-том слое грунта, кН/м2;- толщина i-го элементарного слоя грунта;- Модуль деформации i-го слоя грунта, кПа;- число элементарных слоев, шт.

Дополнительное вертикальное напряжение на глубине z от поверхности:


Где:  - коэффициент, зависящий от формы фундамента, соотношения его сторон и относительной глубины (табл.1 СНиП 2.02.01-83):


где:  - ширина фундамента, м;

 - дополнительное вертикальное давление на основание:

Дополнительное вертикальное давление на плоскости подошвы фундамента:


где: P - среднее давление под подошвой фундамента, кН/м2;

 - удельный вес грунта, лежащего выше подошвы фундамента, кН/м3;

 - глубина заложения фундамента, м.

Вертикальное напряжение от собственного веса грунта на уровне подошвы фундамента:

фундамент основание опора

Где:

 - удельный вес грунта, расположенный выше подошвы фундамента.

Нижнюю границу сжимаемой толщи основания принимаем на глубине z=Hc, где выполняется условие:

где:

 - дополнительное вертикальное напряжение;

 - вертикальное напряжение от собственного веса грунта.

ξ

 

 

 кН/м2

 

 

 м

0

0

1,000

20

43,514

355,067

0

0

0,6

1,30

0,953

20

56,436

338,379

346,723

0,018

0,8

1,72

0,875

28

60,850

310,684

324,531

0,004

1,2

2,58

0,736

28

69,889

261,329

286,006

0,007

1,6

3,44

0,608

28

78,927

238,605

0,006

2,0

4,30

0,497

28

87,966

176,468

196,175

0,005

2,4

5,16

0,414

28

97,005

146,998

161,733

0,004

2,8

6,02

0,344

28

106,043

122,143

134,570

0,003

3,2

6,88

0,289

28

115,082

102,614

112,379

0,003

3,6

7,74

0,245

28

124,120

86,991

94,803

0,002

4,0

8,60

0,210

28

133,159

74,564

80,778

0,002

4,4

9,46

0,181

28

142,198

64,267

69,416

0,002

4,8

10,32

0,157

28

151,236

55,746

60,006

0,001

5,2

11,18

0,138

28

160,275

48,999

52,372

0,001

5,6

12,04

0,121

28

169,313

42,963

45,981

0,001

6,0

12,90

0,107

28

178,352

37,992

40,478

0,001

6,4

13,76

0,096

28

187,391

34,086

36,039

0,001

Всего:

0,061


 кПа


Условие выполняется.

Осадка фундамента мелкого заложения S = 6,1 cм, что меньше предельно допустимого значения Su≤7,64 см.

Нижнюю границу сжимаемой толщи принимаем Hc = 13,237 м.

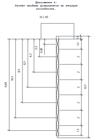
Проектирование свайного фундамента

Глубина котлована ранее принята 3,5 м. За несущий слой принимаем четвертый слой, песок мелкий, т.к. его модуль деформации имеет наибольшее значение Е = 28 МПа с заглублением в несущий слой не менее чем на 1 м.

Так как при проектировании мостовых опор принято использовать сваи длинной не менее 10 м. то, принимаем длину сваи: L = 13 м., и d = 0,35 м. Марка сваи: C13-30

Расчет основания по несущей способности

Одиночную сваю в составе фундамента и вне его по несущей способности грунтов основания следует рассчитывать исходя из условия:


где:  - расчетная нагрузка, передаваемая на сваи;

 - несущая способность сваи по прочности грунта основания;

 - коэффициент надежности, зависящий от способа определения несущей способности сваи, принимаемый равным 1,4 - для расчетного метода;

 - расчетная нагрузка, допускаемая на сваю по несущей способности.

Определение несущей способности сваи:


где:  - коэффициент условия работы равный 1;

 - Расчетное сопротивление грунта под нижним концом сваи;

 - площадь поперечного сечения сваи;

 - наружный периметр поперечного сечения сваи.

 - расчетное сопротивление i-го слоя грунта основания по боковой поверхности сваи;

 - толщина i-го слоя грунта, соприкасающегося с боковой поверхностью;

, - коэффициенты условий работы грунта под нижним концом и по боковой поверхности сваи, учитывающие влияние способа погружения сваи, на значения .

 кН

Расчетная нагрузка, допускаемая на сваю равна:

 кН

Среднее давление на основание под ростверком составляет:


где:  - размер поперечного сечения сваи;

 - Расчетное сопротивление грунта под нижним концом сваи;

 - площадь поперечного сечения сваи.

 кН

Площадь подошвы ростверка:


где:  - расчетная нагрузка по обрезу фундамента;

- средний удельный вес материала фундамента и грунта;

 - глубина заложения ростверка;

 - коэффициент надежности по нагрузке.

 м2

Ориентировочный расчетный вес ростверка:

 кН

Количество свай в фундаменте


Принимаем количество свай 32 свай.

Проверка усилий, передаваемых на сваи:


 Условие выполняется.

Расчет осадки свайного фундамента

Среднее давление под подошвой фундамента определяется по формуле:


где:  - расчетная нагрузка по обрезу фундамента;

 - собственный вес сваи;

 кН

 - Условная площадь под подошвой фундамента. вычисляется как произведение а’ и в’ - Длинна и ширина фундамента рассчитанная с учетом угла α,

,

где:  - средневзвешенный угол внутреннего трения:


Определяем условные длинны и ширину:

 м;

 м.

Отсюда условная площадь:

 м2

 кН

Расчетное сопротивление грунта основания


где:  = 1,3 и  = 1,3 - коэффициенты условий работы;

 - коэффициент, принимаемый равным 1, так как прочностные характеристики грунта ( и ) определены непосредственными испытаниями;

 = 1,44 ,  = 6,76 ,  = 8,88 - коэффициенты, принимаемые в зависимости от угла внутреннего трения;- коэффициент, принимаемый равным 1 при b < 10м;

 - ширина подошвы фундамента, 6,97 м;

 - осреднённое расчётное значение удельного веса грунтов, залегающих ниже подошвы фундамента, 10,52 кН/м3;

 - то же, залегающих выше подошвы, 10,89 кН/м3;

 - расчётное значение удельного сцепления грунта, залегающего непосредственно под подошвой фундамента, кПа;

 - глубина заложения фундамента, 3.5 м;

 - глубина подвала - расстояние от уровня планировки до пола подвала, м.

 условие выполняется.

Определение осадки фундамента методом послойного суммирования

Расчет грунтового основания по деформациям: S≤Su

Где: S - рассчитываемая осадка, м;- предельное значение осадок фундамента, зависящее от конструктивной схемы.

Полная осадка грунтов основания определяется методом послойного суммирования по формуле:


Где:  = 0,8 - безразмерный коэффициент;

 - среднее значение дополнительного вертикального нормального напряжения в i-том слое грунта, кН/м2;- толщина i-го элементарного слоя грунта;- Модуль деформации i-го слоя грунта, кПа;- число элементарных слоев, шт.

Дополнительное вертикальное напряжение на глубине z от поверхности:


Где:  - коэффициент, зависящий от формы фундамента, соотношения его сторон и относительной глубины (табл.1 СНиП 2.02.01-83):


где:  - ширина фундамента, м;

 - дополнительное вертикальное давление на основание:

Дополнительное вертикальное давление на плоскости подошвы фундамента:


где: P - среднее давление под подошвой фундамента, кН/м2;

 - удельный вес грунта, лежащего выше подошвы фундамента, кН/м3;

 - глубина заложения фундамента, м.

Вертикальное напряжение от собственного веса грунта на уровне подошвы фундамента:


Где:

 - удельный вес грунта, расположенный выше подошвы фундамента.


Нижнюю границу сжимаемой толщи основания принимаем на глубине z=Hc, где выполняется условие:

где:

 - дополнительное вертикальное напряжение;

 - вертикальное напряжение от собственного веса грунта.

ξ

 

 

 кН/м2

 

 

 м

0

0

1,000

28

0

0

0.4

1,394

0,976

28

186.361

186.859

189.157

0.008

0,8

2.788

0,875

28

201.026

167.522

177,191

0.007

1,2

4,182

0,736

28

215.691

140.910

154,216

0,006

1,6

5,576

0,608

28

230.356

116.404

128,657

0,005

2,0

6,97

0,497

28

245.020

95.152

105,778

0,004

2,4

8,364

0,414

28

259.685

79.262

87,207

0,003

2,8

9,758

0,344

28

274.350

65.860

72,561

0,003

3,2

11,152

0,289

28

289.015

55.330

60,595

0,002







Всего:

0,039


 кПа


Условие выполняется.

Осадка фундамента мелкого заложения S = 3,9 cм, что меньше предельно допустимого значения Su≤7,64 см.

Нижнюю границу сжимаемой толщи принимаем Hc = 10,881 м.

Список литературы

СНиП 2.02.01-83. Основания зданий и сооружений. - М.: Стройиздат, 1985.-40 с.

СНиП 2.02.03-84. Свайные фундаменты. - М.: Стройиздат, 1985.-45 с.

ГОСТ 25100-95. Грунты. Классификация. - М.: Стройиздат, 1989.

Механика грунтов, основания и фундаменты: Учеб. пособие для строит. спец. вузов / С. Б. Ухов, В. В. Семенов, В. В. Знаменский и др.; Под ред. С. Б. Ухова. - 2-е изд., перераб. и доп. - М.: Высш. шк.,2002. - 566с.: ил.












Похожие работы на - Фундамент под промежуточную опору моста

 

Не нашли материал для своей работы?
Поможем написать уникальную работу
Без плагиата!
Без нейросетей!