Ассортиментная политика торгового предприятия
Содержание
Введение
Глава 1. Теоретическое обоснование ассортиментной политики
торгового предприятия
1.1 Ассортимент товаров: понятие и виды
1.2 Формирование ассортимента в розничном торговом предприятии
1.3 Анализ и оценка категорий товаров
.4
Содержание и значение ассортиментной политики
Глава 2. Ассортиментная политика розничного торгового предприятия
2.1 Характеристика ОАО «Седьмой континент - Универсам»
2.2 Анализ ассортиментной политики в универсаме
2.3 Оценка эффективности товарного ассортимента
Глава 3. Рекомендации по совершенствованию ассортимента в
универсаме
Заключение
Литература
Приложения
Введение
ассортимент торговый универсам
Торговля служит одной из важных отраслей
народного хозяйства, т.к. она обеспечивает товарное обращение, движение из
области производства в область потребления. Ее можно рассматривать как вид
деятельности предпринимателей, который связан с куплей продажей товаров и
осуществлением услуг потребителям.
Долговременной целью деятельности розничных
торговых предприятий служит максимизация прибыли. Эту цель реализовать можно
только максимальным удовлетворением потребительских нужд.
Актуальность данной работы определяется тем, что
правильно организованные хозяйственные связи дают возможность не только
сформировать необходимый товарный ассортимент для снабжения населения, но и
осуществлять воздействие на производителей товаров в соответствии с
требованиями покупательского спроса, обеспечивать для себя условия эффективной
работы, способствует повышению конкурентоспособности предприятия, росту
доходов.
В организациях торговли в розницу производятся
разные операции, которые связаны с доведением товаров до населения. Выполняются
при этом конкретные коммерческие (торговые) и технологические функции.
К главным функциям предприятия торговли в
розницу следует отнести:
организацию закупок и завоза товаров;
изучение потребительского спроса на товары;
осуществление торговых услуг потребителям;
разработку ассортимента товаров;
рекламу услуг и товаров.
Главными принципами организации данных процессов
на предприятиях торговли служат:
. Обеспечение комплексности подхода к выбору
оптимальных вариантов реализации товаров.
. Обеспечение лучших условий выбора товаров, а
также экономия времени потребителей, высокий уровень обслуживания в торговле.
. Достижение оптимального экономического эффекта
технологического процесса посредством ускорения товарной оборачиваемости,
экономии труда, роста производительности, уменьшения издержек обращения.
Данные принципы определяют динамичность
технологического и торгового процесса.
Для этого каждое предприятие должно изучать
источники поставок, ассортимент и качество товаров, искать приемлемых
поставщиков, формировать конкурентоспособную систему цен, осуществлять расчеты,
отбирать поставщиков с учетом конкретных условий своего рынка и направлений
своей деятельности.
Целью работы является изучение формирования
ассортимента и разработка мероприятий по его улучшению.
Для достижения поставленной цели необходимо
решить следующие задачи:
определить понятие и виды ассортимента товаров;
рассмотреть формирование ассортимента в
розничном торговом предприятии;
рассмотреть содержание и значение ассортиментной
политики;
охарактеризовать деятельность ОАО «Седьмой
континент - Универсам»;
проанализировать ассортиментную политику в
универсаме;
оценить эффективность товарного ассортимента;
предложить рекомендации по совершенствованию
ассортимента в универсаме.
Предметом исследования является ассортиментная
политика универсама
Объектом исследования является ОАО «Седьмой
континент - Универсам».
Работа состоит из введения, трех разделов,
заключения, списка использованной литературы и приложения.
Данная работа выполнена на базе информации,
полученной из учебной и научной литературы отечественных и зарубежных авторов,
а также из других источников: сети Internet, периодических изданий, средств
массовой информации, финансовой документации и учредительных документов
предприятия ОАО «Седьмой континент - Универсам».
Практическая значимость дипломной работы
заключается в возможности использования результатов исследования в практической
деятельности универсама.
Глава 1. Теоретическое обоснование
ассортиментной политики торгового предприятия
1.1 Ассортимент товаров: понятие и виды
Термин произошел от французского слова
«assortiment», которое означает подбор разных сортов и типов товаров. Однако в
сфере товароведения принято набор товаров ограничивать наименованиями товаров,
а сорта в качестве градаций качества товаров одного наименования и типа
относить к ассортименту.
«Ассортимент - достаточно широкая совокупность
товаров, объединенных каким-либо общим признаком (сырье, назначение,
производитель и др.), различающихся между собой по иным признакам» Различают
торговый и промышленный, сложный и простой, смешанный и комбинированный,
укрупненный и развернутый ассортимент товаров.
Промышленный ассортимент является набором
товаров, выпускаемых различной отраслью промышленности либо различным
предприятием.
Ассортимент товаров - такая совокупность
товаров, которые реализуются в торговой сети.
Торговой сетью называется совокупность всех
торговых предприятий (розничных и оптовых), занимающихся реализацией товаров.
В ассортимент товаров включен набор товаров,
которые выпускают как отечественные, так и зарубежные производители. Он
отличается большим разнообразием по сравнению с промышленным ассортиментом
Представленный на торговом предприятии товарный
ассортимент определяет его тип (супермаркет, универмаг) и форму обслуживания в
торговле. Помимо того, в универсамах одного типа, однако разной торговой
площади, ассортимент будет отличаться по числу групп и типов товаров. В данном
случае торговые предприятия подразделяются на специализированные и
универсальные, универсамы со смешанным комбинированным ассортиментом.
Ассортимент товаров представляет собой перечень
товаров, объединенных по какому-нибудь признаку и направленных на
удовлетворение потребностей человека.
Ассортимент товаров - совокупность их типов,
разнотипностей и сортов, объединенных либо сочетающихся по конкретному
признаку. Главными группировочными признаками всех товаров являются
потребительский, сырьевой и производственный.
Ассортимент товаров - набор товаров, который
формируется по конкретным признакам и удовлетворяет разнообразные,
индивидуальные и аналогичные потребности.
Различают производственный и товарный
ассортимент.
Производственным ассортиментом называют
номенклатуру таких товаров, которые выпускаются сельскохозяйственными и
промышленными предприятиями, а также другими изготовителями. Обычно
предприятия, выпускающие товары, производят узкий ассортимент товаров, что дает
им возможность внедрять передовую технологию производства, улучшать качество
выпускаемых товаров и совершенствовать их ассортимент. Поэтому выпускаемым им
товарам требуется подсортировка, в организациях которой сосредоточен большой
ассортимент товаров с учетом требований торговли, представляющий собой
сочетание товаров, вырабатываемой самыми разными изготовителями.
Такая подсортировка, либо преобразование
ассортимента, осуществляется преимущественно в организациях торговли оптом,
спустя которые проходит главная масса товаров трудного ассортимента. Некоторая
часть продовольственных и непродовольственных товаров подвергается
подсортировке в универсамах и иных предприятиях торговли в розницу.
Ассортимент товаров - это номенклатура товаров,
подлежащих продаже через розничную торговую сеть.
Он включает ассортимент товаров, которые
выпускаются многими предприятиями, и включает две товарные отрасли:
непродовольственные и продовольственные товары. Каждая отрасль делится на
товарные группы, включающие товары, которые объединяются между собой по ряду
признаков (однородности материалов и сырья, потребительскому назначению,
степени трудности ассортимента).
Исходя из однородности материалов и сырья, из
которых изготовлены товары, последние подразделяются на изделия из металла,
стекла, кожи и т. д.
По потребительскому назначению товары
подразделяются на спортивные, хозяйственные, музыкальные, обувь, одежду и т.п.
Одним из важных признаков классификации являются
особые свойства товаров. Например, когда учитывают ограниченность сроков
реализации, создание особенных режимов хранения товары подразделяют на
скоропортящиеся и нескоропортящиеся.
Когда учитывают сложность в ассортименте,
различают товары сложного и простого ассортимента. К простому ассортименту
относят товары, состоящие из малого числа типов либо сортов (хозяйственное
мыло, поваренная соль, овощи и пр.). Товары, которые обладают в пределах одного
типа внутренней классификацией по разным признакам (размер, фасон и пр.).
Товарные группы подразделяются на товарные
подгруппы, включающие в себя товары, являющиеся однородными по признаку
единства производственного возникновения.
Каждая подгруппа складывается из товаров разных
типов. Под типом товаров подразумевают одинаковые товары разнообразного
назначения (мебель - жилой комнаты, для кухни; сапоги - детские, мужские и
женские и пр.). Внутри каждого типа товары могут отличаться между собой по
особым признакам (артикулам, сортам и пр.), есть подразделяться на
разнотипности.
«В связи с тем, что товары делятся на группы,
подгруппы и типы ассортимент товаров подразделяют на групповой и
внутригрупповой (развернутый)»
Групповым ассортиментом является перечень
товарных групп, включенных в номенклатуру.
Внутригрупповым (развернутым) ассортиментом является
детализация группового ассортимента по конкретным разнотипностям и типам
товаров. Данные два понятия, в свое время, тесно связаны с понятием глубины и
широты ассортимента. Широта ассортимента товаров при этом определяется числом
наименований и товарных групп, а глубина - числом разнотипностей товаров.
Классификатором товаров также является частота
спроса на товары, характер и стабильность предъявляемого спроса.
В соответствии с частотой спроса товары делятся
на 3 группы, рис. 1.
Рис. 1. Классификация товаров по частоте спроса
Кроме того, есть группа сезонных товаров,
которые реализуются в конкретные сезоны (периоды) года. Спрос на товары может
иметь стабильность (устойчивость) либо подвергаться конкретным (резким в том
числе) колебаниям. С этим учетом товары делятся на следующие группы: товары со
стабильным спросом; товары со спросом, подверженным резким колебаниям; товары с
твердо сформулированным спросом; товары с альтернативным спросом; товары с
импульсным спросом.
Для рациональной разработки ассортимента товаров
для продажи в розничной торговой сети важным значением обладает группировка
товаров по признаку комплексности спроса потребителей, то есть когда в состав
комплексов включены товары разных групп, которые предназначены комплексно удовлетворять
спрос.
Ассортимент потребительских товаров делится на
группы - в зависимости от местонахождения, на подгруппы - в зависимости от
широты охвата товаров, на типы - в зависимости от удовлетворения потребностей,
на разнотипности - в зависимости от характера потребностей.
Исходя из широты охвата товаров различают
следующие типы ассортимента, рис. 2.
Рис. 2. Виды ассортимента от широты охвата
товаров
Рассмотрим более подробно:
простой - набор товаров, представленный
небольшим числом групп, типов и наименований, которые удовлетворяют
ограниченное число потребностей;
трудный - набор товаров, представленный
значительным числом групп, типов, разнотипностей и наименований товаров,
которые удовлетворяют различные потребности в товарах;
групповой представляет собой набор однородных
товаров, которые объединены общностью признаков и удовлетворяют аналогичные
потребности;
типовой представляет собой набор товаров разных
наименований и типов, удовлетворяющих аналогичные потребности; является
составной частью группового ассортимента. Например, ассортимент молока -
стерилизованное, пастеризованное и пр. - является частью ассортимента молочных
товаров;
марочный представляет собой набор однотипных
товаров, марочных наименований или относящихся к группе марочных. Эти товары,
также как и удовлетворение физиологических потребностей, в значительной степени
нацелены на удовлетворение психологических и социальных потребностей. Данные
потребности удовлетворяют престижные марки автомобилей, марочных вин духов,
обуви, одежды и пр.;
развернутый представляет собой набор товаров,
включающий значительное количество наименований, разнотипностей, типов,
подгрупп, в том числе марочных, которые относятся к группе однородных, однако
отличаются индивидуальными признаками;
сопутствующий представляет собой набор товаров,
выполняющих вспомогательные функции и не относящихся к главным для данной
организации. Например, предметы ухода за обувью - это товары, представляющие
сопутствующий ассортимент в обувном универсаме, а спички, мыло и некоторые
другие хозяйственные товары - в продовольственном универсаме;
смешанный представляет собой набор товаров
разных наименований, типов, групп, которые отличаются большим разнообразием
функционального назначения. Данный ассортимент характерен для универсамов,
которые реализуют непродовольственные и продовольственные товары.
По степени удовлетворения потребностей бывает
ассортимент, рис. 3.
Рис. 3. Виды ассортимента по степени
удовлетворения потребностей
Рассмотрим более подробно:
рациональный - набор товаров, в более полной
степени удовлетворяющий реально обоснованные потребности, обеспечивающие
максимальное качество жизни при соответствующем уровне развития науки,
технологии и техники;
оптимальный - набор товаров, направленный на
удовлетворение реальных потребностей с максимальной пользой для потребителя при
минимальных затратах, направленных на их разработку, проектирование,
производство и доведение до потребителя. Товары оптимального ассортимента
отличает повышенная конкурентоспособность.
Исходя из характера потребностей ассортимент
бывает:
реальный - действительный набор товаров, который
имеется в конкретной организации изготовителя или продавца;
прогнозируемый - набор товаров, при помощи
которого должны будут удовлетворяться предполагаемые потребности;
учебный - набор товаров, систематизированный по
определенным научно обоснованным признакам, который направлен на достижение
целей обучения.
Следовательно, «формирование ассортиментной
политики - деятельность, которая направлена на достижение требований о
рациональности ассортимента». Главными элементами управления служат
установление требований рациональности ассортимента, нахождение политики
ассортимента организации и разработка ассортимента, Началом установления
требований рациональности является выявление запросов потребителей к товарам
конкретной ассортиментной принадлежности.
Формировать ассортиментную политику можно и
нужно в любой организации - и в мощной международной сети и в частном маленьком
магазине на окраине, вне зависимости от того, какая у компании товарная
специфика и структура. Вне зависимости от кризиса
Ассортимент - достаточно широкая совокупность
товаров, объединенных каким-нибудь общим признаком (производитель, назначение,
сырье и др.), различающихся между собой по иным признакам. Различают торговый и
промышленный, сложный и простой, смешанный и комбинированный, укрупненный и
развернутый ассортимент товаров.
.2 Формирование ассортимента в розничном
торговом предприятии
Формировать ассортиментную политику можно и
нужно в любой организации - и в мощной международной сети и в частном маленьком
магазине на окраине, вне зависимости от того, какая у компании товарная
специфика и структура. Вне зависимости от кризиса.
Неструктурированный и неуправляемый ассортимент
может повергнуть компанию в кризис при самой благоприятной экономической
обстановке.
Процесс формирования ассортиментной политики
розничного магазина в рамках системы категорийного менеджмента включает в себя
ряд последовательных этапов, одним из которых является выработка критериев
оценки эффективности. В связи с тем, что данный этап является неотъемлемой
частью всего процесса управления торговым ассортиментом, необходимо его
рассмотреть в данном контексте.
Итак, процесс формирования ассортиментной
политики магазина в рамках категорийного менеджмента включает следующие этапы:
разработка категории товаров;
нахождение роли категории товаров в ассортименте
универсама;
нахождение критериев для оценки успешности
категории товаров;
стратегическая разработка категории товаров;
разработка тактики категории товаров;
реализация плана по категории товаров;
оценка успешности категории с помощью
выработанных критериев;
корректировка категории товаров в случае
неудовлетворительных итогов, полученных в ходе оценки успешности;
разработка отчетности по категории товаров за
конкретный период.
Рассмотрим каждый из вышеназванных этапов.
Разработка категории товаров. Этап предполагает
нахождение совокупности товаров, которые с позиции потребителя служат
взаимозаменяемыми либо взаимодополняющими при удовлетворении конкретной
потребности.
Итоговые состав и структура категории товаров
будут определяться большим числом факторов, главными из которых служат формат
универсама и характеристика целевых потребителей.
Характеризуя каждый этап, необходимо отметить,
что название категории товаров (подкатегории и пр.) должно: отражать
ассортимент категории, быть понятным для потребителя, простым и емким (к
примеру, «товары пикника», «товары новорожденных», «товары активного отдыха» и
пр.).
«Структура категории товаров должна отражать
логику принятия решения потребителем и соответствовать формату универсама»[28,
с. 193].
Чтобы в последующем иметь возможность оперативно
отслеживать информацию и оценивать успешность категории товаров, следует
разработать следующие матрицы информации:
ассортиментная матрица, которая отражает
перечень всех товарных позиций на каждом уровне классификации товарной
категории;
ролевая матрица, в которой все товарные позиции
распределяются по ролям, отведенным им в рамках данной товарной категории;
ценовая матрица, в которой представлен перечень
всех товарных позиций с указанием их цены;
корреляционная матрица, которая содержит
информацию о взаимосвязи между продажами различных товаров. Она позволяет
оценить, как продажи взаимозаменяемых и взаимодополняющих товаров влияют друг
на друга;
сводная (итоговая) матрица, отражающая все
ключевые экономические показатели, которые характеризуют товарную категорию
(табл. 1). (см. приложение №1)
Составление матриц позволяет структурировать
информацию о ассортименте товаров, наглядно представлять состав ассортимента
универсама и осуществлять наиболее успешное управление категорией товаров.
Нахождение роли категории товаров в ассортименте
универсама. В рамках менеджмента категорий каждой категории товаров
присваивается особая роль, которая определяет ценовую и коммуникационную
политику в отношении этой категории. Помимо того, товары, которые выполняют
разные роли, требуют особых методов управления и разработки особых
маркетинговых программ.
В концепции менеджмента категорий традиционно
делят пять главных типов роли категорий товаров.
Генераторы прибыли - товары, обладающие быстрыми
темпами роста реализации и большой нормой прибыли. Как правило, они
представлены сезонными товарами либо товарами-новинками, недавно выведенными на
рынок, однако уже ставшими популярными.
Создатели потока потребителей - товары массового
спроса, объем реализации, которых стабильный независимо от сезона и иных
факторов. Данные товары востребованы со стороны целевых потребителей универсамов.
Задача данных товаров состоит в привлечении главного потока потребителей в
универсам, в расчете, что там они приобретут не только данные товары, но и
товары иных категорий.
«Эффективность вложений в развитие этой
категории товаров следует оценивать не только с позиции полученной прибыли,
однако также принимая в расчет число привлеченных потребителей и частоту
совершаемых ими покупки».
Генераторы наличности - товары, хорошо знакомые
широкому кругу потребителей и фигурирующие в продаже у многих конкурентов. Эту
роль могут выполнять товары импульсного спроса, обладающие небольшой торговой
наценкой. Подобные товары обеспечивают достаточно высокий объем реализации в
натуральных единицах, однако не призваны обеспечить высокий объем реализации в
денежных единицах, так как их торговая наценка и цена, как правило, невелики.
Их цель - обеспечить наличность универсама и предотвратить кассовые разрывы.
Защитники - товары, на которые цены
устанавливаются несколько ниже, чем цены конкурентов либо в среднем рыночные
цены. Данные товары предназначены, чтобы удержать потребителей
высокочувствительных к цене товаров. За счет таких товаров универсам может
позиционировать себя как «универсам с доступными ценами» либо «универсам с
самыми низкими ценами».
Создатели имиджа - дорогие, престижные,
статусно-ориентированные товары. Их задача заключается не в росте объема
реализации, а в привлечении в универсам потребителей, ориентированных на
приобретение элитных товаров, в создании соответствующей области.
Тестовые товары (вспомогательной роли) не играют
ключевой роли в ассортименте товаров, поэтому при необходимости могут быть
исключены из него. Это товары с небольшой долей в совокупном объеме реализации,
и при их выведении из ассортимента показатели универсама существенно не изменятся.
Сохранение таких товаров обусловлено может быть желанием создать впечатление
комплексности ассортимента либо удовлетворить потребности особых клиентов.
Нахождение критериев для оценки успешности
категории товаров. На данном этапе следует оценить успешность как категории
товаров в целом, так и различных ее составляющих - подкатегорий, сегментов,
подсегментов и пр.
Оценка успешности предполагает, прежде всего,
нахождение вклада всех уровней категории товаров в общий объем реализации и
прибыль универсама. Помимо того, оценка успешности позволяет своевременно
разработать способы улучшения показателей категории товаров.
.3 Анализ и оценка категорий товаров
Чаще всего оценку успешности категории товаров
осуществляют с помощью следующих методов исследования.
. Исследование рынка: емкость рынка; темпы роста
рынка; доля универсама на рынке розничной реализации.
. Исследование потребителей: сегментация и выбор
целевых сегментов; оценка частоты и состава покупки; оценка популярности и
востребованности брендов.
. Исследование конкурентов: товарная политика;
структура ассортимента; политика цен.
. Исследование внутренней информации универсама:
АВС-, XYZ-анализы; темпы прироста и роста прибыли; темпы прироста и роста
объема реализации; оборачиваемость и пр.
Любой анализ - это отражение существующей
реальной ситуации. Это зеркало, фотография событий.
Суть аналитической деятельности - сравнение
текущей ситуации с эталоном (план продаж и реальные продажи), и сравнение
текущей ситуации с прошлым периодом (стали лучше или хуже?).
АВС анализ
По сути, АВС-анализ - это составление списков
рейтингов по разным показателям. В рамках общего списка рейтингов делят три
группы объектов - А, В и С, которые отличаются по своей значимости и доле:
Группа «А» - самые важные товары,
Группа «В» - «средние» по важности,
Группа «С» - «проблемные» товары.
Как проводить: Обычно объектами АВС-анализа
являются товарные группы, товарные категории, товарные позиции. Особенность
АВС-анализа в том, что его можно проводить на любом уровне ассортимента -
группы, категории, подкатегории, бренды, товарные позиции.
Затем составляем рейтинговый список товаров по
убыванию значения по обороту (или прибыли).
Чтоб выделить группы А, В или С, необходимо
рассчитать долю товара от общей суммы товаров с накопительным итогом.
Группа А - товары, сумма долей с накопительным
итогом которых составляет 50% от общей суммы показателей. Данные объекты должны
тщательно планироваться, постоянно (возможно, даже каждодневно) и скрупулезно
учитываться и контролироваться. Данные товары составляют 50% всего оборота либо
прибыли, и в результате, чем стоимость товаров выше, тем дороже обходятся
ошибки в процессе их анализа.
Необходимо периодически подсчитывать запасы с
жесткими допусками.
Полная инвентаризация этих групп должна
проходить не реже одного раза в квартал.
Возможно, нужно проводить по этим товарам
выборочную инвентаризацию с периодичностью один раз в месяц.
Недопустимо какое-либо существенное отклонение
данных по запасам, которые зафиксированы в базе данных, от данных, которые
полученных при проведении инвентаризации.
Относительно группы «А» необходимо постоянно
отслеживать спрос, объемы заказываемых партий и размер страхового запаса;
«Следует тщательно отслеживать и сокращать сроки
оборачиваемости товаров. Чем меньше длительность цикла, тем меньше потребность
в оборотных средствах».
Товары группы «В» - товары, следующие за группой
А, сумма долей с итогом накопления которых составляет 50-80% от общей суммы
показателей. Эти объекты имеют меньшую важность для компании и требуют
обыкновенного контроля, налаженного (возможно, ежемесячного) учета. К ним
применяются такие же меры, что и к категории A, но они осуществляются реже и
при этом возможны большие приемлемые допуски.
Группа «С» - остальные товары, сумма долей с
итогом накопления которых составляет 80-100% от общей суммы показателей. Эти
товары характеризуются упрощенными методами учета, планирования и контроля.
Однако, не смотря на их видимую малоценность, они составляют 20% от всего
оборота (либо прибыли) и требуют периодически контроля.
Сокращение группы С либо нехватка номенклатуры
по группе С приводит к тому, что спустя какое-то время оставшиеся товары
распределятся в соответствии с тем же законом. В этом случае общий итог
деятельности может упасть на 30-50%.
Инвентаризация запасов группы С может
проводиться раз в полгода и при условии больших приемлемых допусков.
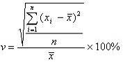
анализанализ - метод, позволяющий анализировать и прогнозировать стабильность
продаж.
Традиционно в рознице объектами XYZ-анализа
являются товарная категория или товарная единица. За основу анализа берется
период продаж не менее трех месяцев.
Категория «X» - товары, характеризуются
стабильностью продаж и, как следствие, высокими возможностями прогноза продаж.
Коэффициент вариации (то есть колебания спроса) не превышает 10%.
Следовательно, можно по этим товарам делать оптимальные запасы и использовать
математические методы прогноза спроса и оптимального запаса.
Категория «Y» - товары, имеющие колебания в
спросе и как следствие, средний прогноз продаж. Коэффициент вариации составляет
10% - 25%. Отклонение от средней величины продаж существует, но оно колеблется
в разумных пределах - в пределах 25%.
Категория «Z» - товары с нерегулярным
потреблением, какие-либо тенденции отсутствуют, точность прогноза продаж
невысокая. Коэффициент вариации превышает 25% и может быть более 100%. Это
может быть группа товаров, привозимая по заказу клиентов или недавно
поступившая в продажу.
Формула для расчета коэффициента вариации:
где х i - значение параметра по
оцениваемому объекту за i- тый период, - среднее значение параметра по
оцениваемому объекту анализа,
п - число периодов
Эта кажущаяся сложной и громоздкой
формула легко перекладывается в формулы Excel, с помощью которых применение
данного анализа становится очень простым. Формулы Excel выглядят так:
возведение в квадрат - 2, извлечение корня - 0,5
Расчет формулы подкоренного
выражения: =((В3-F3)^2+(C3-F3)*2+(D3-F3)*2)/3
Формула извлечения корня и деления
на среднее значение: =G3*0,5/F3
Совмещенный ABC-XYZ- анализ
Совместив данные по АВС и XYZ
анализу, получим девять значений. Для каждого товара можно выработать свою
политику закупок и запасов.
Таблица 2
Совмещенный ABC-XYZ анализ
|
AX
невысокий страховой запас, возможно наличие резервного поставщика,
теоретически можно работать по системе JIT.
|
AY
запас с небольшим избытком, резервный поставщик, тщательный контроль остатков
|
AZ
иметь резервных поставщиков, отдать самому опытному менеджеру, постоянный
контроль
|
|
BX
невысокий запас, поставки JIT, резервный поставщик
|
BY
запас с очень небольшим избытком, резервный поставщик, контроль остатков
|
BZ
частичная работа под заказ, контроль остатков, опытный менеджер, важно -
резервные поставщики
|
|
CX
фиксированный заказ, система JIT, партии с увеличенным интервалом
|
CY
отдать новичку, поставка фиксированными, но чуть более частыми партиями, чуть
больше страховой запас.
|
CZ
за новыми товарами - наблюдать, старые товары - выводить. Поставка под заказ,
можно отдать новичку.
|
Оборачиваемость в днях - сколько дней требуется
для продажи имеющихся запасов.
Иногда ее еще называют «средний срок хранения
товара в днях». Так можно узнать, сколько дней требуется для продажи средних
запасов.
Об дн = Средний товарный запас (ТЗ ср) х кол-во
дней (Д)/
Объем продаж, он же товарооборот за этот период
(Т)
Оборачиваемость в разах - сколько оборотов
делает товар за период.
Об раз = Объем продаж, он же товарооборот за
период (Т)/
Средний товарный запас за период (ТЗср)
Об раз = Кол-во дней (Д) / Об дн
Чем выше оборачиваемость запасов магазина, тем
более эффективным является его деятельность и тем меньше потребность в
оборотном капитале и тем устойчивее финансовое положение предприятия при прочих
равных условиях.
Оборачиваемость сама по себе ни о чем не говорит
- нужно отслеживать динамику изменения коэффициента (Об р), учитывая следующие
факторы:
Коэффициент уменьшается - идет затоваривание
склада
Коэффициент растет или очень высокий (срок
хранения меньше одного дня) - работа «с колес», что чревато отсутствием товара
на складе.
Норма оборачиваемости - это количество дней или
оборотов, за которое должен быть реализован запас товара по мнению руководства
фирмы, чтобы торговлю можно было считать успешной.
Выводы об оптимизации ассортимента на основе
статистики.
Что необходимо анализировать:
«Исследование реализации и запасов товаров
(динамику по различности по категориям и по товарным позициям). Оборачиваемость
будет являться маркером этих процессов». Ухудшение оборачиваемости говорит про
наличие излишнего запаса - идет либо уменьшение реализации либо затоваривание
складов. В кризисный период может вырасти оборачиваемость (по товарам FMCG) - у
наших людей есть тенденция вкладывать деньги в товар «про запас». Однако после
этого неизбежно последует спад спроса, вызванный тем, что потребитель потратит
основные накопления и запасется товарами на долгий период.
На основе АВС-анализа выявление товаров для
вывода из ассортимента (с учетом сезонности и других факторов). Борьба с
низколиквидными товарам: снижение цен, создание комплектов, дополнительные
места продаж - все меры должны приниматься.
Постоянный мониторинг продаж по товарам групп А
и В. При наличии тенденции к падению спроса сразу же реагировать - выявлять
причины падения продаж конкретного товара в конкретном магазине.
Анализировать комплексные продажи - состав
средней покупки по номенклатуре для выявления наиболее часто встречающихся
комплектов. Такой анализ не позволит вывести из ассортимента взаимодополняемые
товары.
На основе совмещенного анализа выявить стабильно
продающиеся товары (АХ, ВХ, СХ) и по ним вести постоянный мониторинг запасов и
спроса. Для нестабильных товаров (СY, CZ) принять решение об их сокращении.
Помнить, что «логистический» подход абсолютно не
подходит для работы с ассортиментом. Нельзя принимать решение только на
основании статистики, следует оценить роль товаров в ассортименте, его цикл
жизни и перспективу развития.
При проведении указанных выше методов
осуществляют расчет и исследование таких показателей, как:
товарооборот (темпы прироста и роста);
валовая прибыль (темпы прироста и роста);
оборачиваемость запаса товаров;
чистая прибыль универсама;
чистая прибыль, которая приходится на 1 м²;
товарооборот, который приходится на одного
работника;
прибыль, которая приходится на одного работника;
удовлетворенность потребителей;
доля рынка по категории товаров;
рентабельность реализации.
Стратегическая разработка категории товаров. С
позиции оценки успешности категории товаров главной целью стратегической
разработки служит увеличение числа удовлетворенных потребителей из числа
целевых. Благодаря правильно разработанной стратегии развития категории товаров
обеспечивается стабильный приток денежных средств в результате роста числа
приверженных и лояльных потребителей.
Процесс стратегической разработки категории
товаров включает следующие этапы.
Для стратегической разработки категории товаров
следует исследовать стратегические характеристики товаров, входящих в состав
категории. Итоги подобного исследования должны быть положены в основу
стратегической разработки и оценки ее успешности. Такой подход к исследованию
стратегических характеристик товаров позволяет своевременно оптимизировать
структуру категории товаров и осуществлять успешное управление.
Разработка тактики категории товаров.
Тактическая работа - повседневная работа по реализации мер, разработанных в
рамках стратегии, направленной на развитие категории товаров. В частности, в
процессе исполнения тактики категории происходит определение ассортиментной
структуры категории, установление цены на товары, разработка методов
продвижения товаров, а также определение способов выкладки товаров на стеллажах
и полках универсама и формирование плана заказа и поставок товаров в универсам.
Реализация плана по категории товаров. На данном
этапе практически реализуются разработанные планы, стратегии и тактические
действия, направленные на управление развитием категории товаров.
Оценка успешности категории товаров в рамках
стратегической работы при помощи выработанных критериев. Этот этап предполагает
систематический расчет и исследование главных показателей, характеризующих
успешность категории товаров. Для реализации данных мероприятий можно
использовать сводную матрицу категории товаров, представленную в табл., которая
включает в себя все главные показатели успешности. Число показателей и
периодичность их расчета могут определяться каждым универсамом самостоятельно,
однако рекомендуемая периодичность составляет не реже одного раза в квартал.
«Составление сводной матрицы категории товаров
не однократно, а с конкретной периодичностью позволяет оценить успешность
развития категории товаров в динамике и обоснованность принимаемых
управленческих решений». Систематический исследование позволяет своевременно
вносить коррективы в структуру ассортимента категории, в разработку критериев
оценки успешности.
Корректировка категории товаров в случае
неудовлетворительных итогов, полученных в ходе оценки успешности. В случае,
когда оценка успешности категории товаров показала, что разработанная стратегия
развития и тактические действия по управлению категорией товаров приносят
положительные итоги и категория товаров соответствует всем выработанным
критериям, заносить коррективы в ассортиментную структуру категории товаров не
обязательно.
Но при этом следует учитывать, что спустя время
меняются предпочтения и вкусы потребителей, возникают новые конкуренты,
изменяются условия на рынке, в связи с этим и структура ассортимента должна
всегда оптимизироваться. В случае, если оценка успешности категории товаров
показала отрицательные итоги, это служит прямым указанием на необходимость
внесения корректив в структуру ассортимента категории товаров.
При формировании отчетности по категории товаров
за конкретный период, оценка успешности категории товаров должна оформляться
письменно в типе отчетов, которые должны храниться в универсаме, и служить
основанием принятия управленческих решений.
.4 Содержание и значение ассортиментной политики
Ассортиментная политика - деятельность, которая
направлена на достижение требований о рациональности ассортимента. Главными
элементами управления служат установление требований рациональности
ассортимента, нахождение оптимальной политики ассортимента организации и
разработка ассортимента, Начинается установление требований рациональности с
выявления запроса потребителей к товарам конкретной ассортиментной
принадлежности.
С этой целью использованы могут быть такие
методы, как опрос (социологический) и наблюдение (регистрационный). Помимо
того, у организации, которые применяют стратегию активного маркетинга, формируется
спрос с помощью выставок реализации, рекламы, презентаций.
Требования рационального ассортимента измеряются
исходя из конъюнктуры рынка (платежеспособности потребителя,
социально-культурных, социально-экономических, правовых организационных характеристик
окружающей среды).
Главные направления разработки - сокращение,
углубление, расширение, обновление, гармонизация, совершенствование.
«Данные направления взаимосвязаны, взаимно
дополняются в значительной мере и определяются рядом факторов».
Критерии:
сокращение ассортимента - изменение качественно
и количественно ассортимента дешевых и некачественных товаров, которые не
пользуются спросом у потребителей. Причинами для сокращения ассортимента могут
стать уменьшение спроса, недостаточность предложений, убыточность либо низкая
прибыльность производства либо реализации различных товаров;
расширение ассортимента - развитие качественно и
количественно набора товаров за счет роста показателей широты, глубины, полноты
и новизны выпуска новых товаров. Причины, способствующие расширению
ассортимента, - увеличение предложения и спроса; высокая рентабельность
реализации и производства товаров; внедрение новых товаров на рынок;
углубление ассортимента - качественные и
количественные развития ассортимента товаров благодаря разработке и предложению
новых торговых марок либо модификации их. Основанием для выбора этого
направления служит высокая насыщенность рынка, стремление снизить риск при
выпуске товаров незначительной новизны, наличие известных, пользующихся спросом
торговых марок отсутствие возможности у организации выпускать товары новых
видов;
стабилизация ассортимента - состояние набора
товаров, характеризующееся высокой устойчивостью и низкой степенью обновления.
Это достаточно редкое состояние ассортимента, присущее в основном ассортименту
пищевых продуктов повседневного спроса;
обновление ассортимента - количественные и
качественные изменения состояния набора товаров, характеризующиеся увеличением
показателей новизны;
совершенствование ассортимента - количественные
и качественные изменения состояния набора товаров для повышения его
рациональности;
гармонизация ассортимента - отражает степень
близости реального ассортимента к лучшим отечественным, либо зарубежным
аналогам.
При разработке ассортимента главная цель - более
полное удовлетворение потребительского спроса. Различают общие и особые
критерии разработки ассортимента. Общие критерии, влияющие на разработку
промышленного и торгового ассортимента, служат спрос и рентабельность. Особыми
факторами разработки промышленного ассортимента служит сырьевая и
материально-техническая база производства, достижение научно- технического
прогресса.
Глава 2. Ассортиментная политика розничного
торгового предприятия
.1 Характеристика ОАО «Седьмой континент -
Универсам»
«Седьмой континент» - сеть супермаркетов, одна
из первых в истории отечественного ритейла, находится в г. Москве, п.
Московский, д. Говорово, 47 км МКАД, стр. 21. ОАО «Седьмой Континент» было
основано в 1994 году и является российской розничной торговой сетью и одним из
лидеров розничного рынка России. Магазины сети предлагают своим покупателям
широкий ассортимент товаров и услуг высокого качества, гибкую ценовую политику,
всегда отвечают требованиям рынка, являясь высокотехнологичными торговыми
площадками.
Компания «Седьмой Континент» - одна из первых
российских мультиформатных розничных сетей. Работа сразу в нескольких форматах
позволяет компании не только постоянно расширять сферу своей деятельности, но и
повышать конкурентоспособность магазинов, расширять круг постоянных покупателей
с самыми разными потребительскими предпочтениями и доходами.
Магазины Компании: «Седьмой Континент - Пять
звезд», «Седьмой Континент - Универсам», «Седьмой Континент - Рядом с домом»,
«Седьмой Континент - Гастрономия», «НАШ Гипермаркет».
ОАО «Седьмой континент - Универсам» - это сеть
удобных универсамов, в ассортименте которых есть не только продукты питания,
качество которых контролируется на всех этапах на пути от поставщика до
покупателя, но и блюда собственного производства, все необходимые товары для
дома и товары для животных. Сеть предлагает лучшие цены на рынке в формате
«супермаркет», а также высокий уровень обслуживания и все условия для
комфортной быстрой покупки.
В организации ОАО «Седьмой континент -
Универсам» используется дивизиональная организационная структура.
Рис. 4. Организационная структура ОАО «Седьмой
континент - Универсам»
Ключевыми фигурами в управлении ОАО «Седьмой
континент - Универсам» с дивизионной структурой являются топ менеджеры,
возглавляющие производственные отделения (дивизионы).
В структуре ОАО «Седьмой континент - Универсам»
большая часть штабных функций (финансовое управление, учет, планирование)
придаются производственным звеньям. Это позволяем им частично или полностью
взять на себя ответственность за разработку, производство, и сбыт своей
продукции. В результате управленческие ресурсы верхнего эшелона компании
высвобождаются для решения стратегических задач.
Преимущества дивизиональной структуры ОАО «Седьмой
континент - Универсам»:
она обеспечивает управление с общей численностью
сотрудников порядка сотен тысяч и территориально удаленными подразделениями;
обеспечивает большую гибкость и более быструю
реакцию на изменения в окружении предприятия по сравнению с линейной и линейно
- штабной;
при расширении границ самостоятельности
отделений они становятся «центрами получения прибыли», активно работая по
повышению эффективности и качества производства;
более тесная связь производства с потребителями.
С точки зрения повышения эффективности
предприятия дивизиональная организационная структура обеспечивает, по сравнению
с линейной, снижение уровней иерархии в управлении на один уровень.
Объектом нашего исследования выступает универсам
«Седьмой континент - Универсам» осуществляющий свою деятельность в г. Москве.
Организационная структура универсама «Седьмой
континент - Универсам» линейная. Характерной чертой линейной структуры является
то, что каждое подразделение возглавляет руководитель, который сосредоточил у
себя все функции управления и осуществляет руководство подчиненными ему
работниками единолично. Его решения, передаваемые сверху вниз по цепочке,
обязательны к выполнению нижестоящими звеньями. Он, в свое время, подчинен
вышестоящему руководителю.
Линейную структуру управления используют, как
правило, малые и средние предприятия, осуществляющие производство, если
отсутствуют широкие кооперационные связи между предприятиями, рис. 5. (см.
приложение №2)
На сегодняшний день персонал ОАО «Седьмой
континент - Универсам» составляет 142 человека.
Численность персонала, которая отвечает
специфике деятельности данного предприятия торговли, то есть те, кто имеет
высшее торговое образование, насчитывает всего 50 человек.
У остального состава персонала универсама имеется
техническое образование. По этой причине политика управления трудовыми
ресурсами, проводимая руководством, направлена, первым делом, на повышение
профессионального и образовательного уровня персонала предприятия.
По категориям персонал универсама ОАО «Седьмой
континент - Универсам» делится на три категории:
человек в персонале управления;
человека в торгово-оперативном персонале;
человека во вспомогательном персонале.
Деление персонала предприятия торговли по
категориям персонала представляет собой более общую форму функционального
разделения их труда.
По возрасту и полу персонал в ОАО «Седьмой
континент - Универсам» делится на мужчин возрастом до 30 лет и 30-50 лет и на
женщин соответственно до 30 лет и 30-55 лет.
По стажу работы в торговле существует
группировка персонала, стаж работы которого до 1 года и от 1 года до 4 лет.
Для осуществления работы в ОАО «Седьмой
континент - Универсам» создан аппарат управления, который представлен
следующими отделами: администрацией, бухгалтерией, менеджерским отделом,
отделом кадров, отделом рекламы, контрольно-ревизионным управлением
торгово-оперативного отдела, отделом службы охраны, службой уборки офисных и
производственных помещений, а также директором. Каждым отделом выполняется
конкретный комплекс процедур и операций, направленных на управление
производством, есть осуществляет управленческие функции.
Директор осуществляет свою деятельность по
принципу единоначалия, однако, чтобы обеспечить компетентность управленческих
решений, при руководителе существуют функциональные подразделения: отделы,
возглавляемые ведущими специалистами в конкретных областях. Специалистами
являются администратор (он же - заместитель Генерального директора), главный
бухгалтер, директора секций, старший менеджер, старший техник. Все они выступают
в роли помощников руководителя по разным функциям управления, однако решения
принимаются руководителем.
Режим работы универсама: круглосуточно,
каждодневно, тем самым он оправдывает его предназначение и олицетворяет
стабильность. На предприятии рабочие трудятся в две смены, по длительности
каждая составляет двенадцать часов. График работы пять через два. Обед два раза
за смену, первый длится сорок минут, второй - тридцать минут. Рабочий персонал
обедает за свой счет. Когда у кого-нибудь из работников не может выйти в свою
смену, ему нужно написать заявление на отпуск с отсутствием содержания,
попросить человека из иной смены заменить его, при этом нужно подписать
подменный лист.
В случае увольнения работник должен сдать форму,
погасить все долги перед предприятием, если таковые есть, подписать обходной
лист, отработать после этого две недели и только тогда он может идти за
документами в главный офис.
Большая часть товаров поступает в ОАО «Седьмой
континент - Универсам» напрямую от производителей либо от местных поставщиков.
В среднем посещаемость универсама - примерно 1,5
тысячи человек в день. В большей степени универсам ориентируются на
потребителя, имеющего средний и выше среднего достаток.
В среднем размер одной покупки равен 700 рублям.
В универсаме существует система скидок, которая зависит от объема одной
покупки. В случае покупки не меньше, чем в размере 1500 руб., дается дисконтная
карта, которая дает право на скидку, равную 3% от цен универсама; в случае
покупки на сумму не меньше, чем на 3000 рублей, скидка составит уже 5% от цен
универсама.
Анализ финансово-хозяйственной деятельности
предприятия можно проводить по разным экономическим показателям. Ими, в
частности, являются показатели пользования главных средств, трудовых ресурсов,
материальных ресурсов; показатели себестоимости товаров и объема реализации;
показатели деловой активности предприятия; показатели платежеспособности
организации.
Формой организации хозяйственных отношений ОАО
«Седьмой континент - Универсам» по закупке товаров являются договоры
купли-продажи. Договорные отношения являются оптимальными формами связи при
стабильных взаимоотношениях поставщика и потребителя.
Участие в тендерах позволяет ОАО «Седьмой
континент - Универсам» заключить контракт на поставку крупного объема товаров
потребителю.
Оценка заявок на участие в тендере
осуществляется в соответствии с Правилами оценки заявок на участие в Тендере на
право заключить государственный, муниципальный или коммерческий контракт на
поставки товаров, оказание услуг для государственных, муниципальных или
коммерческих нужд,
Оценка заявок по критерию «цена контракта»
проводиться по следующим параметрам, таблица 3.
Таблица 3
Квалификация участника тендера
|
№
п/п
|
Наименование
показателя
|
Максимальное
значение, в баллах
|
|
1
|
Опыт
оказания услуг, C i 1
|
25,00
|
|
2
|
Квалификационный
состав, C i 2
|
25,00
|
|
3
|
Деловая
репутация, C i 3
|
25,00
|
|
4
|
Наличие
финансовых ресурсов, необходимых для оказания услуг, C i 4
|
25,00
|
Самым необходимым, чем должны обладать участники
тендера это качеством предоставляемого товара. Оценка качества товара проходит
по следующим показателям, таблица 4.
Таблица 4
Критерии качество товара
|
№
п/п
|
Наименование
показателя
|
Максимальное
значение, в баллах
|
|
1
|
Сведения
о сертификации товара
|
45,00
|
|
2
|
Сведения
о соответствии международным стандартам качества
|
35,00
|
|
3
|
Сведения
о производителях товара
|
20,00
|
Таким образом, сущность тендера состоит в отборе
поставщиков товара, который соответствует предъявленным к нему требованиям по
цене и по качеству.
Для успеха торговой операции серьезное значение
имеет деятельность и разного персонала, и в целом всего аппарата управления.
Например, высшим уровнем аппарата управления устанавливаются задачи и цели
оптовой фирмы, управляющим продажами разрабатывается общий план реализации, устанавливаются
квоты реализации по-отдельности для каждого района обслуживания, инженерами
отдела реализации намечаются мероприятия по оказанию услуг потребителям.
Еще недавно схема успешного развития ОАО
«Седьмой континент - Универсам» выглядела довольно просто - расширение
ассортимента товаров, сервиса. Большая поддержка этому была оказана проведением
производителями маркетинговых и рекламных компаний. На сегодняшний день
возможности оптимизации логистики большинством торговых фирм уже практически
исчерпаны, а в связи с обострившейся конкуренцией потенциал роста самих фирм
сильно снизился. С учетом новых условий ОАО «Седьмой континент - Универсам»
сможет добиться успеха только, если перенесет акценты на изучение потребностей
потребителей.
Взамен продвижению товаров приходит маркетинг,
ориентированный непосредственно на потребителя. Причем не какого-либо
абстрактного, а вполне конкретного потребителя, с его системой ценностей и
пристрастиями. Популярным направлением стали, к примеру, loyality programm - программы
стимулирования потребителей, целью которых является сохранение уже имеющихся
потребителей и привлечение потребителей новых. Советы о том, как достичь этого,
основываются на анализе поведения потребителей. К примеру, отсутствия товаров
достаточно для того, чтобы 30% потребителей задумались о смене продавца, а 10%
действительно сделали это.
Последствия этого для ОАО «Седьмой континент -
Универсам» могут оказаться особенно тяжелыми, когда «потерянные» потребители
относятся к категории более выгодных (правило «30/70»). Получив возможность
выбора, подкрепленную энергичными рекламными кампаниями, современные
потребители стали наиболее искушенными и осведомленными. Вследствие этого
характерной чертой их поведения стала меньшая, чем прежде, «верность» конкретному
поставщику, а реакция на предлагаемые конкурентами скидки - наиболее
однозначной.
Чтобы сохранить более выгодных потребителей и
привлечь новых, ОАО «Седьмой континент - Универсам» следует получить ответы на
несколько ключевых вопросов. Помочь в данном случае могут лишь информационные
технологии.
Алгоритм поощрения - на первом этапе вводятся
средства, идентифицирующие потребителя, - традиционные магнитные карточки или
любые иные средства, обеспечивающие систематический сбор данных с целью
установления связи потребитель - товар. Таким образом появляется возможность
разделить всех потребителей на разные категории, начиная от постоянных и
заканчивая «одноразовыми». Это позволяет также определять, на какие товары есть
спрос, а какие группы товаров наименее интересны потребителям.
На втором этапе проводится фильтрация информации
с целью выделения «лояльных» потребителей.
Из общего списка потребителей, учитывающего их
размер, адрес, частоту и стоимость сделанных покупки, делятся группы «лучших»,
на сохранение которых в главном и направляются маркетинговые усилия фирмы.
-ий этап посвящен налаживанию долгосрочных
отношений с потребителями: моделируется их поведение с целью установления
персональных пристрастий и предпочтений, разрабатывается конкретная маркетинговая
программа, которая при воздействии на определенную группу потребителей будет
производить наиболее сильный эффект.
Чтобы выборка была ориентирована на долгосрочную
работу с потребителями следует учесть ряд факторов, определяющих качество
работы с потребителем. Т.к. критерии, определяющие нужного нам потребителя.
Таким критерием может выступать доход, приносимый ОАО «Седьмой континент -
Универсам» вследствие продажи товаров конкретному потребителю. Однако следует
учитывать и ряд иных факторов, таких как продолжительность работы, с
потребителем, средний объем заказа, частота заказов, стабильность заказов.
Исходя из этого составим следующую выборку по
расходным накладным:
потребитель
число закупок
дата 1-ой покупки
дата последней покупки
объем закупок
доход от закупок
Используя данную выборку определяем долю
принесенного дохода каждым потребителем в общей сумме дохода. Отсортируем
данные по доле дохода в общей сумме и получим рейтинг более доходных с нашей
точки зрения потребителей.
На рис. 6 представлен график, показывающий, что
30% потребителей приносят 80% прибыли. Именно данные тридцать процентов
потребителей служат ориентиром для разработки ассортимента. Для поддержания
связей следует направить часть рекламных усилий на данных потребителей. (см.
приложение №3)
Следовательно, выделение «лояльных» потребителей
служит одним из самых мощных инструментов при формировании ассортимента и цен.
Также позволяет направить рекламу различно на привлечение новых потребителей и
удержание старых. Осуществление поставок товара происходит посредством
заключения договор с поставщиками. Основными поставщиками компании ОАО «Седьмой
континент - Универсам» являются: «Метро», «Лента», ОАО «ТАНДЕР», объем закупок
у данных поставщиков составляет 80%. (см. приложение №4)
Таким образом, лучший поставщик универсама -
мегамаркет «Лента» - удельный вес 5,85 именно с ним выгоднее сотрудничать
«Седьмой континент - Универсам».
Характеристика используемых методов снабжения и
закупок в ОАО «Седьмой континент - Универсам» (см. приложение №5)
Таким образом, на предприятии используется
следующие методы закупок: косвенные, вертикальные, прямые.
Методы снабжения:
Регулярные покупки товара мелкими партиями
Закупка товара по необходимости
Закупка товара с немедленной поставкой
Таблица 7
|
Наименование
товарной группы
|
Средняя
цена ресурса, руб.
|
2013
год
|
2014
год
|
Отклонение,
руб.
|
Темп
роста, %
|
|
Кондитерские
изделия
|
45,2
|
89,3
|
250
|
160,7
|
279,96
|
|
Винно-водочная
продукция
|
150,2
|
250
|
520
|
270
|
208,00
|
|
Хлебобулочные
и макаронные изделия
|
10,5
|
59
|
150
|
91
|
254,24
|
|
Плодоовощная
продукция
|
22,73
|
250
|
452
|
202
|
180,80
|
|
Молочная
продукция
|
15,6
|
125
|
523
|
398
|
418,40
|
|
Консервные
изделия
|
30,2
|
227
|
890
|
663
|
392,07
|
|
Мясо
- рыбопродукты
|
150
|
1520
|
2805
|
1285
|
184,54
|
Анализ динамики средних цен показал, что
наименьшая цена приходится на хлебобулочные изделия, наибольшая средняя цена у
мясных и рыбных продуктов.
Рассмотрим систему заключения договора
купли-продажи с поставщиком.
Заключение договора купли-продажи предполагает
под собой совершение сделки, в результате которой одна сторона Продавец продает
товар второй стороне Покупателю за определенную плату.
ОАО «Седьмой континент - Универсам» осуществляет
покупку продукции только на основе договора купли-продажи, что обеспечивает ему
правовую и финансовую защищенность.
С целью покупки продукции для приготовления суш
ОАО «Седьмой континент - Универсам» собирается заключить подобный договор с
поставщиком «Лента».
Предметом договора выступят следующие продукты:
рыба;
морепродукты.
На основании договора Покупатель обязуется
принимать и оплачивать товар в соответствии с условиями изложенные в нем, а
именно, сроки, способ оплаты.
Стоимость товара отражается в договоре. Оплата
производиться по факту доставки, после чего происходит отгрузка товара.
Отгрузка товара компании ОАО «Седьмой континент
- Универсам» будет осуществляться с момента подписания договора и проведенной
оплаты товара.
Если какой-либо товар или его часть будет готово
к отгрузке, «Лента» задержит его передачу по письменной просьбе компании ОАО
«Седьмой континент - Универсам» или в связи с тем, что компания ОАО «Седьмой
континент - Универсам» не будет готов к приемке товара, или не выполнит условия
договора, предприятие «Лента» будет хранить это товар на своем складе.
При этом компания ОАО «Седьмой континент -
Универсам» обязана возместить предприятию «Лента» все фактические затраты,
понесенные им в связи с задержкой в поставке и хранением товара.
«Лента» одновременно с передачей товара по
товарно-транспортной накладной по форме ТОРГ-12 обязана передать компании ОАО
«Седьмой континент - Универсам» всю относящуюся к товару документацию.
Таким образом, по исполнении договора в
обязанности предприятия «Лента» входят:
Произвести поставку товара компании ОАО «Седьмой
континент - Универсам».
Предоставить вместе с товаром следующие
документы:
товарно-транспортную накладную ТОРГ-12 в 2
экземплярах (1 экземпляр подписывается и возвращается «Лента» в момент передачи
товара или отправляется по адресу, указанному в договоре, в срок не более трех
рабочих дней);
счёт на оплату товара (в случае оплаты товара на
условиях отсрочки платежа);
сертификаты качества.
Компания ОАО «Седьмой континент - Универсам»
должна выполнить свои обязательства по договору, а именно:
Принять товар согласно договору и его
приложениям.
Оплатить товар в соответствии с условиями
договора.
При оплате товара, указывать в платежных
документах номера счетов, в соответствии с условиями которых будет произведена
оплата товара.
Подписать товарно-транспортную накладную ТОРГ-12
в 2 экземплярах (1 экземпляр подписывается и возвращается предприятию «Лента» в
момент передачи товара или отправляется по адресу, указанному в договоре, в
срок не более трех рабочих дней). В случае нарушения срока подписания и
возврата накладной, товар считается принятым в день доставки.
В случае осуществления предприятием ОАО «Седьмой
континент - Универсам» передачи товара с недостатками по комплектности, которые
не были согласованы между сторонами, компания ОАО «Седьмой континент - Универсам»
может потребовать от «Лента» безвозмездного устранения недостатков в разумный
срок.
Срок предъявления компанией ОАО «Седьмой
континент - Универсам» претензий устанавливается сторонами равным 10 (десяти)
рабочим дням, следующими с даты поставки товара. По истечении указанного срока
никакие претензии не принимаются и не рассматриваются.
Право собственности у компании на продукцию
возникает с момента его поставки и подписания товарно-транспортной накладной.
Однако «Лента» сохраняет за собой право залога на
неоплаченной товар или его часть, если товар поставляется частями, до того
момента, как товар или его часть будет полностью оплачена компанией ОАО
«Седьмой континент - Универсам». Риски переходят одновременно с переходом права
собственности на товар, то есть, «Лента» не отвечает за товар после перехода
права собственности на него компании ОАО «Седьмой континент - Универсам».
Сторона, не получившая в свой адрес исполнения
обязательств по договору, вправе требовать от стороны, не исполнившей или
ненадлежащим образом исполнившей свои обязательства, подтверждения фактов,
указанных в извещении о форс-мажорных обстоятельствах. В случае отказа от
предоставления или несвоевременного представления необходимых доказательств,
сторона, ссылающаяся на вышеуказанные форс-мажорные обстоятельства,
привлекается к ответственности за неисполнение или ненадлежащее исполнение
обязательств по настоящему договору.
Наступление форс-мажорных обстоятельств вызывает
увеличение срока исполнения обязательств по договору на период их действия.
На период действия непреодолимой силы и других
чрезвычайных и непредотвратимых обстоятельств, освобождающих от
ответственности, обязательства сторон приостанавливаются. Если эти
обстоятельства будут длиться более 3 (трех) месяцев, то любая из сторон вправе
аннулировать договор в одностороннем порядке.
Ответственность сторон при заключении договора
купли - продажи его главная составляющая.
В случае неисполнения или ненадлежащего
исполнения компанией ОАО «Седьмой континент - Универсам» обязательств по оплате
согласно условиям договора, она несет ответственность в форме уплаты пени в
размере 0,5% от суммы задолженности по оплате за каждый день просрочки оплаты
товара.
Ответственность каждой из сторон по договору
ограничивается возмещением исключительно реального ущерба, причиненного другой
стороне в связи с ненадлежащим исполнением договора купли - продажи. Решение
споров между сторонами договора происходят в судебном порядке, если не
достигнуто компромисса.
Договор составляет в двух экземплярах по одному
экземпляру для каждой из сторон и заменяет все предыдущие договоренности и
соглашения между сторонами. Надлежаще подписанные и скрепленные печатями
факсимильные копии Договора имеют силу, при условии обмена оригиналами
документа. Любые изменения и дополнения к настоящему договору или в связи с ним
действительны при условии, что они совершены в письменной форме и подписаны
уполномоченными представителями сторон. Каждая из сторон имеет оригинал, на
котором стоят законные и удостоверенные печатью подписи представителей сторон.
Договор отменяет и заменяет собой все любые
предварительные договоренности или согласования (письменные и устные), которые
были ранее достигнуты сторонами и которые относятся к предмету данного
договора.
Таким образом, на основе договора на предприятие
ОАО «Седьмой континент - Универсам» поступают продукты для продажи.
В ОАО «Седьмой континент - Универсам» две формы
оплаты за товар:
наличная;
безналичная.
Основной стратегией развития компании ОАО
«Седьмой континент - Универсам» является совершенствования политики работы с
поставщиками, что позволит получать качественный товар, в установленные сроки,
обеспечит правовую защищенность и увеличит товарооборот.
2.2 Анализ ассортиментной политики в универсаме
Формирование ассортимента в «Седьмой континент -
Универсам», как и на всех предприятиях, заключается сначала с наведения полного
порядка на складе предприятия и в его документации после предыдущих закупок.
Так как «Седьмой континент - Универсам»
расположен в городе, большинство жителей которого имеют в основном средний
достаток, и поблизости не имеется магазинов похожего типа, то поэтому в нём
наблюдается значительная проходимость.
Для того чтобы предоставляемый товар в магазине
пользовался спросом и товар долгое время не оставался на полках магазина или на
складе торгового предприятия необходимо анализировать ассортимент и потребности
клиентов.
На основании этого руководству «Седьмой
континент - Универсам» раз в год необходимо проводить маркетинговые
исследования для изучения спроса покупателей, также следить за количеством
продаваемой той или иной продукции. И на основании этих исследований
рекомендуется изменить состав ассортимента. В феврале и сентябре 2014 года были
составлены новые прайс-листы ассортимента на всю продукцию. Были введены новые
в продажу товары, которые раньше отсутствовали в магазине.
Руководство надеялось, что новая продукция
увеличит прибыль предприятия. Но прошел год, и они убрали часть товаров с полок
магазина. Основанием этого было то, что упала прибыль по сравнению с предыдущим
годом. Новые товары не пользовались спросом у населения. Была убрана
непродовольственная продукция. Благодаря этому увеличился перечень
продовольственной продукции на прилавках торгового зала. Появилась возможность
улучшить расстановку продукцию, внешний вид был преобразован, что очень
понравилось посетителям магазина.
Для полного представления продукции торгового
предприятия был сформирован классификатор ассортимента. С его помощью видно,
чем торгует магазин, какие существуют товарные группы и товарные подгруппы.
Продолжением этого является составление ассортиментной матрицы, в ней
представлена та продукция, которая пользуется значительным спросом у населения,
приносящая большую часть прибыли торгового предприятия. Ассортимент магазина основан
на ассортиментном минимуме товаров. Для изменения, то есть формирования
ассортимента в магазине «Седьмой континент - Универсам» также ведётся «Книга
нереализованного спроса». Она заполняется вручную продавцами магазина.
Основанием для заполнения данной книги служит спрос потребителей на товары,
которых не имеется в наличии.
Важно выделить те группы товаров, по которым это
необходимо в первую очередь. Такую возможность дает АВС-анализ.
Анализ - АВС используют с целью сокращения
величины запасов, количества перемещений на складе, общего увеличения прибыли
на предприятии и т.д.
Применяя метод АВС следует сосредоточится на
наиболее значимых объектах с точки зрения обозначенной цели.
За рубежом осуществление контроля запасов
происходит по правилу «АВС», данный способ, скорее всего, может и в
отечественной практике найти широкое применение. Согласно методу «АВС» все
запасы объединяются в три группы:
Продукция «А» - более дорогостоящие. На их долю
приходится примерно 80 % общего объема реализации, однако они составляют только
10-20% общей суммы запасов товаров.
Продукция «В» - средние по ценам и наиболее
замедленной товарооборачиваемости, пользующиеся меньшим спросом, чем товары
группы «А». Их удельный вес в общем объеме товарного оборота составляет
примерно 10-15%, а доля в общей сумме запасов - 30-40%.
Продукция «С» - самые дешевые, относят к ним
товары еще больше редкого спроса и медленной оборачиваемости. В общем объеме
реализации их суммарная стоимость составляет 5-10%, однако они занимают 40-50%
объема запасов товаров.
Данный метод, позволяет предприятиям
систематизировать учет и контроль запасов, выбирать те товары, которыми следует
управлять прежде всего.
Закон Парето, основанный на анализе «АВС»,
гласит, что на 20 % всех изделий, находящихся в запасах, приходится 80 % всех
затрат.
Правило 80/20 позволяет систематизировать учет и
контроль за запасами, а так же принимать обоснованные решения закупки товаров.
Следует осуществлять контроль за подвижностью, реализацией товаров. Особое
внимание необходимо обратить на дорогостоящие изделия, так как значительная
часть капитала предприятия омертвляется при хранении на складе, даже небольшого
объема этого товаров.
Согласно методу Парето множество управляемых
объектов делится на две неодинаковые части. Широко применяемый в логистике
метод АВС предлагает более глубокое разделение - на три части. При этом
предварительно все управляемые объекты необходимо вначале оценить по степени
вклада в результат деятельности.
Алгоритм проведения АВС- исследования
ассортимента.
-ый шаг: Определять объект исследования
ассортимента.
В качестве объекта исследования ассортимента
может выступать категория товаров, группа, подгруппа, номенклатурная единица,
клиент (для торговли оптом), дебитор, поставщик и т.п.
При проведении исследования ассортимента с целью
формирования ассортиментной политики имеет смысл выбирать в качестве объекта
исследования номенклатурную единицу (позицию ассортимента), что позволяет
провести детальный исследование реализации; а для исследования структуры
ассортимента - товарную категорию.
-ой шаг: Определять показатель, по которому
будет проведен исследование ассортимента.
Им может быть объем реализации (в натуральном
либо стоимостном выражении), валовой доход, средний товарный запас (в
натуральном либо стоимостном выражении), число заказов (к примеру, при анализе
заказчиков), объем заказов и пр.
При проведении исследования ассортимента с целью
исследования ассортимента чаще всего выбирают два показателя (признака): оборот
в натуральном выражении и доход. При этом исследование проводят внутри
категории для каждой категории. При проведении сквозного исследования оборот
следует брать в стоимостном выражении.
Проведение исследования ассортимента по двум
признакам, в частности, по обороту и доходу, позволяет понять, какие товары
обладают наибольшей/наименьшей популярностью у потребителей и какой выгодностью
для предприятия торговли.
При выборе нескольких признаков (двух и больше)
проводят различно по каждому признаку, а после этого совмещают итоги.
К примеру, при анализе ассортимента сначала
определяют группы (АВС) по обороту, а после этого - по доходности. Затем
проводят совмещение и каждая позиция характеризуется двумя литерами (к примеру,
ВС - наименование ассортимента находится в группе В по обороту и в группе С по доходности).
При анализе структуры ассортимента в качестве
признака исследования ассортимента выбирают доходность категории.
При анализе клиентов в качестве признаков
выбирают объем заказов и число заказов.
-ий шаг: Нахождение суммарной величины
избранного показателя.
Следует провести суммирование показателя по
каждой позиции. При проведении исследования реализации (с целью формирования
ассортиментной политики) определяем суммарную величину оборота в натуральном
выражении по каждой категории (группе) и суммарную величину валового дохода по
каждой категории (группе).
При анализе структуры ассортимента суммируем
значения оборота (в стоимостном выражении) и валового дохода всех категорий.
-ый шаг: Нахождение доли каждой позиции в общем
итоге.
При анализе реализации определяем долю оборота и
дохода каждой позиции в суммарном значении данных показателей каждой категории
(товарной группы).
При анализе ассортимента (нахождении влияния
категории на общий итог) определяем долю оборота (в стоимостном выражении) и
валового дохода каждой категории.
-ый шаг: Сортировка объектов исследования
ассортимента в порядке убывания доли каждой позиции.
Проведено ранжирование позиций (исследование
ассортимента, категорий, заказчиков, поставщиков запасов товаров) по убыванию
доли избранного признака.
Так, к примеру, при проведении исследования
реализации (с целью исследования ассортимента) проводим ранжирование внутри
каждой категории по доли оборота (в натуральном выражении) следовательно, что
чем выше доля, вносимая конкретной позицией в общий оборот, тем выше эта
позиция будет располагаться в списке внутри категории.
При следующей итерации, когда проводим
построение групп по доходности, положение позиции в списке будет тем выше, чем
выше доля валового дохода.
-ой шаг: Расчет доли с накоплением итога
исследования ассортимента.
Проводим расчет доли с накоплением итога
исследования ассортимента. При анализе ассортимента с этой целью 1-ой позиции
присваивается значение доли, конкретное на 4-ом шаге, 2-ой позиции
присваивается сумма доли этой позиции, конкретной на 4-ом шаге и накопленный
итог прошлой позиции, 3-ей позиции присваивается сумма доли этой позиции,
конкретной на 4-ом шаге и накопленный итог 2-ой позиции и пр.
То есть в общем случае накопленный итог равен
сумме доли позиции и накопленного итога прошлой позиции.
Для 1-ой позиции отсутствует предшествующая,
поэтому-то ее накопленная доля и равна самой доли.
Для последней позиции накопленная доля равна
должна быть 100%, т.к. вследствие мы сложили все доли.
Поясним, когда мы рассматриваем исследование
ассортимента внутри каждой категории, и накопленный итог определяем внутри
каждой категории, а не сквозной исследование ассортимента.
-ой шаг: нахождение числа групп и границы групп
матрицы исследования ассортимента.
Данный шаг служит самым трудно
алгоритмизированным, однако при этом одним из самых важных. В нем мы должны
определять:
. число групп разбиения,
. границы данных групп.
Так, к примеру, от того, в какую группу мы
отнесем ту либо иную позицию (наименование ассортимента), будет зависеть,
. ее судьба (будет ли оставлена в ассортименте
либо исключена),
. способ управления ее запасами.
-ой шаг: отнесение позиции к избранной группе.
Исходя из накопленной доли и избранных границ,
относим каждую позицию к той либо иной группе матрицы исследования
ассортимента.
В таблице 8 представлен удельный вес продукции в
товарообороте предприятия ОАО «Седьмой континент - Универсам». На основании
данного анализа можно определить, каким товарам следует уделять наибольшее
внимание. (см. приложение №6)
В таблице 9 представлена реализация товаров по
всем группам предприятия. (см. приложение №7)
Таким образом, проведенный анализ позволил
определить наиболее эффективную группу товаров, которая определяет прибыль
предприятия и кроме того, выявить наиболее не ликвидные товары, управление
которыми не требует значительных затрат.
Группа А это продукция которая требует
тщательного планирования, постоянного контроля, так как предприятию она
приносит наибольшую часть дохода - 50%, к ней относятся: молочная гастрономия,
бакалея, сопутствующие товары, мясо и мясные изделия, алкоголь, кондитерские
изделия, соки и воды.
Группа В это продукция, которая в меньшей
степени пользуются спросом чем продукция группы А, в части прибыли предприятия
она занимает 30% - это: рыба и морепродукты, замороженные продукты, овощи,
хлебные изделия, фрукты т детское питание, табак.
Группа С - продукция которая занимает менее 20 %
в реализации. Ассортимент этих товаров в дальнейшем необходимо оптимизировать:
салатное производство, промышленные товары, диабетические продукты, бытовая
техника.
Проведем XYZ-анализ.
В группу Х относят позиции со значением
коэффициента вариации от нуля до 10%.
В группу Y - от 10% до 25%.
В группу Z - от 25% до бесконечности.
(см. приложение №8)
Таблица 11
Общая статистика XYZ-распределения
|
XYZ группа
|
Вариация
продаж
|
Количество
тов.групп
|
Сумма
ср. продаж
|
|
|
всего
|
доля
|
н.итог
|
всего
|
доля
|
н.итог
|
|
X
|
не
более 10%
|
1
|
5,3%
|
5,3%
|
28
346
|
9,1%
|
9,1%
|
|
Y
|
не
более 25%
|
5
|
26,3%
|
31,6%
|
77
894
|
25,1%
|
34,3%
|
|
Z
|
более
25%
|
13
|
68,4%
|
100,0%
|
203
625
|
65,7%
|
100,0%
|
|
ИТОГО
|
3
сегмента
|
19
|
100,0%
|
-
|
309
864
|
100,0%
|
-
|
Рис. 8.Гистограмма XYZ-распределения
Совмещенный анализ АВС и XYZ (см. приложение №9)
Таблица 13
Результаты XYZ - анализа
|
|
Результаты
XYZ - анализа
|
|
X
|
Y
|
Z
|
XYZ
|
|
Рез.
ABC-анализа
|
A
|
2
|
10,0%
|
4
|
20,0%
|
12
|
60,0%
|
18
|
90,0%
|
|
B
|
0
|
0,0%
|
0
|
0,0%
|
0
|
0,0%
|
0
|
0,0%
|
|
C
|
0
|
0,0%
|
0
|
0,0%
|
1
|
5,0%
|
1
|
5,0%
|
|
ABC
|
2
|
10,0%
|
4
|
20,0%
|
13
|
65,0%
|
20
|
100,0%
|
Таким образом, в группу Х входят товары: мясо и
мясные изделия, рыба и морепродукты.
В группу Y - сопутствующие товары, замороженные
продукты, фрукты, детское питание.
В группу Z - молочная гастрономия, бакалея,
алкоголь, кондитерские изделия, соки и воды, мясная гастрономия, овощи, хлебные
изделия, табак, салатное производство, промышленные товары, диабетические
продукты, бытовая техника.
Таким образом, в универсаме существуют товары
спрос на который не регулярный, кроме того, они приносят наименьшую выручку
магазину.
Рекомендуем универсаму расширить ассортимент
путем внедрения новой продукции взамен не рентабельной.
.3 Оценка эффективности товарного ассортимента
Товарный ассортимент в компании формируют в
зависимости от спроса на различные виды товаров. Для того чтобы определить,
правильно ли сформирован ассортимент предлагаемой продукции, анализ
товарооборота необходимо провести не только по общему объему, но и в разрезе
отдельных товарных групп, т.е. по ассортиментной структуре.
Динамика и структура оборота (выручки) ОАО
«Седьмой континент - Универсам» за 2013-2014 год (см. приложение №10)
Таким образом, наблюдаем, что наибольший
удельный вес в структуре товарооборота в 2013-2014 гг. занимают: молочная
продукция - 13,71%, бакалей - 12,3%, сопутствующие товары - 9,50%, мясные
изделия - 9,03%, алкоголь и кондитерские изделия - 7,67% и 7,69%
соответственно. Наименьший удельный вес в товарообороте занимают салатное
производство - 1,4%, промышленные товары -0,7%, диабетические товары - 0,2%,
бытовая техника - 0,03%. (см. приложение №11)
Таким образом, видим, что в 2014 году продажи в
магазине выросли по всем товарным группам. Общий рост выручки составил 84779,4
тыс. руб., или 137%.
В структуре товарооборота происходят изменения,
что связано с изменениями в спросе на продукцию. Но в целом структура
товарооборота по торговому предприятию достаточно стабильна.
По представленным данным видно, что определись
виды товаров, на которые существует устойчивый (твердо сформулированный) и
повышенный спрос, благодаря чему можно заранее планировать структуру
ассортимента торгового предприятия.
Экономическая эффективность деятельности ОАО
«Седьмой континент - Универсам» за 2013-2014 год (см. приложение №12)
Динамика основных показателей универсама за
2013-2014 гг., тыс. руб. (см. приложение №13)
Структура товарооборота универсама в 2013 году,
% (см. приложение №14)
Структура товарооборота универсама в 2014 году,
% (см. приложение №15)
Таким образом, рост выручки составил 137% или
84779,4 тыс. руб., рост себестоимости составил 136,1% или 63451,5 тыс. руб.,
рост чистой прибыли составил 104,9 тыс. руб.
На основании проведенного анализа основных
показателей деятельности торгового предприятия ОАО «Седьмой континент -
Универсам» можно сделать вывод, что тенденция роста показателей имеет
положительную динамику.
Ассортимент товаров компании сформирован не
вполне удачно, не все имеющиеся в продаже товары пользуются спросом, при этом
объем реализации всех товаров растет в динамике не значительно. Есть товарные
группы, которые дают не значительную выручку в предприятию.
Глава 3. Рекомендации по совершенствованию
ассортимента в универсаме
Проблема: в кондитерском отделе существуют
товары , которые не пользуются спросом и которые дают универсаму наименьшую
прибыль.
Цель: совершенствование ассортимента
кондитерского отдела.
Мероприятие: продажа собственной торговой марки.
Задачи:
Открытие собственной кондитерской.
Совершенствование качества кондитерской
продукции.
Выпуск собственных наименований кондитерской
продукции.
Основная задача на первом этапе - занять свою
нишу, утвердиться на рынке за счет качества продукции.
Прайс-лист включает в себя 50 наименований
продукции - из них:
наименований тортов;
наименований пирожных;
наименований других сладостей.
Вся продукция идет на продажу в торговом зале
универсама.
Суточный объем производства: 150 кг в будни, 200
кг в выходные дни.
Доля собственных средств в общем объеме
инвестиций: 30%
Инвестиционные вложения: 1млн. руб.
Рентабельность: 35-40%
Окупаемость: в среднем 3 года
Проектируемая продукция
Конкурентные преимущества кондитерской «Седьмой
континент - Универсам» заключаются в следующем эксклюзивная
услуга по изготовлению фото-тортов с индивидуальным дизайном, с учётом всех
пожеланий заказчика (стоимость 10 см2 изображения - 200 рублей);
широкий ассортимент производимой продукции
(пряники, кексы, пирожные, рулеты), всего 50 наименований;
фирменные изделия по эксклюзивным рецептам лучших
кондитеров;
осуществление доставки;
благоприятное место расположения кондитерской
(приближённость к центру города);
совместное расположение на одной площади
универсама.
Время выполнения индивидуальных заказов: 2 дня.
Собственное производство предполагает выпуск
кондитерских изделий вырабатываемых из высокосортной муки, отличающихся:
высоким качеством;
низкой калорийностью;
легкостью усвоения;
реализацией в фасовочном виде;
прекрасные вкусовые качества;
широкий диапазон цен.
Для улучшения вкуса и аромата добавляют
ароматические вещества и пряности (ванилин, корица, мята, тмин и пр.). Внешний
тип изделия привлекателен для потребителя.
Реализация продукции
Производство кондитерских изделий «Седьмой
континент - Универсам» ориентировано на потребителей разного уровня достатка и
характеризуется постоянным спросом. Политика цен ОАО «Седьмой континент -
Универсам» позволяет приобретать продукцию как школьникам и пенсионерам, так и
обеспеченным слоям населения.
Особо внимания требует проблема обеспечения
населения недорогими кондитерскими изделиями местного производства.
Проведенное маркетинговое исследование проекта
по разработке преследовало следующие цели
нахождение потребительских качеств изделий,
являющихся решающими для потребителей;
нахождение тенденций развития рыночного спроса и
потребительских предпочтений;
нахождение типов кондитерских изделий, которые
пользуются высоким спросом у потребителей на сегодняшний день;
нахождение доли предприятия в общем объеме
рынка;
нахождение объёма реализации разных типов
кондитерских изделий;
нахождение слабых и сильных сторон предприятия
как поставщика и производителя указанных выше товаров.
Знание потребителей позволяет нам определять
требование тех либо иных сегментов, которые мы можем обслужить.
Знание конкурентов даёт нам возможность
определять, потребности каких сегментов мы сможем удовлетворить лучше, чем наши
конкуренты.
Знание потенциала рынка позволяет наметить
перспективы экономического успеха предприятия, который может быть достигнут при
наиболее успешном, чем у конкурентов, обслуживании потребителей.
Потенциальные клиенты кондитерской «Седьмой
континент - Универсам»:
студенты и школьники;
работники близлежащих предприятий и организаций;
жители района де расположен универсам.
Критерии сегментации рынка: возраст - от 7 до 60
лет, социальная принадлежность - школьники, студенты, служащие, рабочие,
пенсионеры.
Уровень дохода - средний.
В результате маркетингового исследования
выяснилось, что наиболее важными критериями при покупке кондитерских изделий
являются: свежесть (25%), вкус (20%), внешний вид (20%), низкокалорийность
(16%), цена (15%), упаковка (4%).
Мы перед собой ставим следующие главные цели:
обеспечение и благосостояние персонала;
максимально возможная прибыль;
положение на рынке;
разработка, производство продукта и обновление
технологий;
быстрый рост предприятия;
максимальная производительность;
внедрение дополнительных производственных
единиц.
План производства.
Схема технологического маршрута изготовления
кондитерских изделий состоит из следующих операций:
просеивания муки;
замешивания теста;
выдержки теста;
разделки теста
подготовка теста к тестозакатывающей машине;
формирование формы изделия;
выдержка заготовки;
выпечка;
украшение изделий.
Выбор оборудования для кондитерской.
Таблица 16
Требуемое оборудование
|
Наименование
|
Стоимость
оборудования, руб.
|
|
Электропечь
|
152000
|
|
Набор
запасных частей
|
627,27
|
10520
|
|
Спиральная
месильная машина
|
15620
|
|
Тестоделитель
|
10230
|
|
Раскатывающая
машина
|
8562
|
|
Холодильное
оборудование
|
6000
|
|
Эмульгатор
|
12500
|
|
Набор
инструмента
|
5200
|
|
Итого
|
221259
|
Важная составляющая текущих затрат - это
заработная плата работников кондитерской.
Персонал кондитерской должен состоять из
следующих должностей:
заведующий производством;
технолог;
кондитер;
разнорабочий;
В обязанности заведующего производством входит
обеспечение бесперебойной работы кондитерского цеха. Для этого необходима
своевременная доставка сырья для приготовления теста. Кроме того, заведующий
производством следит за техническим состоянием оборудования и должен своевременно
приглашать специалистов для его технического обслуживания, способствует
повышению производительности труда.
Технолог отвечает за ассортимент выпускаемой
продукции, усовершенствование существующей рецептуры и поиск новых рецептов,
идей.
Кондитеры занимаются непосредственной выпечкой
кондитерских изделий, их оформлением, изготовлением сопутствующих продуктов
(кремов, сиропов) с соблюдением технологических карт.
В обязанности водителя входит доставка готовой
продукции в магазины, с которыми заключены договора на поставку, доставка
сырья. Также он имеет право получать наличные деньги за реализованную продукцию
в магазинах.
Разнорабочие выполняют вспомогательную работу,
такую как разгрузка муки, сахара и других составляющих теста, погрузка готовой
продукции в машину для отправки в магазины, мелкие наладочные работы.
Таблица 17
Заработная плата
|
Должность
|
Требуемое
количество
|
Заработная
плата, руб.
|
ФОТ
годовой, руб.
|
|
Заведующий
производством
|
1
|
45000
|
540000
|
|
Технолог
|
1
|
38000
|
456000
|
|
Кондитер
|
4
|
128000
|
1536000
|
|
Разнорабочий
|
2
|
36000
|
432000
|
|
Итого
|
8
|
247000
|
2964000
|
Зарплата работников напрямую зависит от прибыли.
При увеличении прибыли выдаются премии.
Наиболее ценными качествами являются:
честность;
добросовестность;
коллективизм;
коммуникабельность.
Анализ рисков
Возможные риски и источники их возникновения.
Коммерческие риски:
риск, связанный с реализацией товара;
риск, связанный с доставкой сырья.
Политические риски:
риск, связанный с политической обстановкой в
стране (забастовки, войны).
Источники возникновения рисков:
недостаточное изучение рынка сбыта;
недооценка конкурентов;
падение спроса на товар.
Меры по сокращению риска
детальное изучение рынка;
анализ финансово-хозяйственной деятельности;
страхование имущества.
. Финансовый план
Далее мы рассмотрим основные финансовые аспекты
создания кондитерского цеха.
Расходы:
Оборудование - 221259 руб.
Зарплата персонала - 2964000 руб. в год
Сырье - 150000 руб.
Маркетинг - 35000 руб.
Итого: 3370259 рублей на первый год работы
Доходы:
Реализация кондитерских изделий - 3 рубля с
единицы произведённой продукции - это примерно от 6.000 до 8.000 рублей в сутки
в зависимости от мощности кондитерской. Это от 120000 до 150000 рублей в месяц,
1800000 рублей в год.
Стратегия финансирования.
Для осуществления проекта необходимо 1 млн. руб.
Источником финансирования собственные средства.
Срок ожидаемого полного возврата вложенных
средств и получения инвесторами дохода от них - в среднем 3 года.
Таблица 18
Планируемый объем продаж
|
Объем
выпуска продукции
|
0%
|
10%
|
20%
|
30%
|
40%
|
50%
|
60%
|
70%
|
80%
|
90%
|
100%
|
|
Постоянные
затраты, тыс. руб.
|
978
000,00
|
978
000,00
|
978
000,00
|
978
000,00
|
978
000,00
|
978
000,00
|
978
000,00
|
978
000,00
|
978
000,00
|
978
000,00
|
978
000,00
|
|
Переменные
затраты, тыс. руб.
|
978
000,00
|
883
700,00
|
789
400,00
|
695
100,00
|
600
800,00
|
506
500,00
|
412
200,00
|
317
900,00
|
223
600,00
|
129
300,00
|
35
000,00
|
|
Выручка
от продаж, тыс. руб.
|
-
|
180
000,00
|
360
000,00
|
540
000,00
|
720
000,00
|
900
000,00
|
1
080 000,00
|
1
260 000,00
|
1
440 000,00
|
1
620 000,00
|
1
800 000,00
|
График безубыточности (см. приложение №16)
Рис. 13. Точка безубыточности
|
Средние
переменные затраты на единицу продукции
|
85,00
|
|
Цена
на единицу
|
150,00
|
|
Точка
безубыточности в денежном выражении
|
997
393,77
|
|
Точка
безубыточности в натуральном выражении, кг.
|
15
046,15
|
Таким образом, планируется, что кондитерская
будет приносить доход в размере 1800000 руб. в первый год работы.
Рассмотрим, как изменять показатели универсама
за счет расширения ассортимента.
Таблица 19
Показатели эффективности мероприятий
|
Показатели
|
Ед.
изм.
|
2014
г.
|
2013
г.
|
Темп
роста,%
|
Откло-нение
(+, -)
|
|
Выручка
от продажи товаров
|
Тыс.руб.
|
313868
|
315668
|
100,57
|
1800
|
|
Себестоимость
проданных товаров
|
Тыс.руб.
|
239154
|
240562
|
100,59
|
1408
|
|
Валовая
прибыль
|
Тыс.руб.
|
74713,8
|
75106
|
100,52
|
392,2
|
|
Издержки
обращения
|
Тыс.руб.
|
64402,1
|
52620
|
81,71
|
-11782
|
|
Прибыль
от продаж
|
Тыс.руб.
|
10311,7
|
22486
|
218,06
|
12174,3
|
|
Прочие
операционные расходы
|
Тыс.руб.
|
3944,5
|
2560
|
64,90
|
-1384,5
|
|
Внереализационные
расходы и доходы
|
Тыс.руб.
|
-6029,2
|
-1520
|
25,21
|
4509,2
|
|
Прибыль
до налогообложения
|
Тыс.руб.
|
8227
|
21446
|
260,68
|
13219
|
|
Налог
на прибыль
|
Тыс.руб.
|
1645,4
|
4289,2
|
260,68
|
2643,8
|
|
Прибыль
после налогообложения
|
Тыс.руб.
|
6581,6
|
17156,8
|
260,68
|
10575,2
|
|
Чистая
прибыль
|
Тыс.руб.
|
6581,6
|
17156,8
|
260,68
|
10575,2
|
Рис. 14. Динамика финансовых показателей после
расширения ассортимента, тыс. руб.
Таким образом, за счет открытия кондитерской,
отказа от нерентабельных товаров, универсам увеличит свою прибыль на 1800 тыс.
руб., снизит себестоимость на 1408,00 тыс. руб., увеличит чистую прибыль на
10575,2 тыс. руб. Можно сказать что данное мероприятие эффективно для ОАО
«Седьмой континент - Универсам».
Заключение
Формирование ассортиментной политики товаров -
это деятельность, которая направлена на достижение требований о рациональности
ассортимента. Главными элементами управления служат установление требований
рациональности ассортимента, нахождение политики ассортимента организации и
разработка ассортимента, Установление требований рациональности начинается с
выявления запросов потребителей к товарам конкретной ассортиментной
принадлежности.
Формировать ассортиментную политику можно и
нужно в любой организации - и в мощной международной сети и в частном маленьком
магазине на окраине, вне зависимости от того, какая у компании товарная
специфика и структура. Вне зависимости от кризиса.
Ассортимент - достаточно широкая совокупность
товаров, объединенных каким-либо общим признаком (сырье, назначение, производитель
и др.), различающихся между собой по иным признакам. Различают торговый и
промышленный, сложный и простой, смешанный и комбинированный, укрупненный и
развернутый ассортимент товаров.
ОАО «Седьмой континент» - сеть супермаркетов,
одна из первых в истории отечественного ритейла. Ассортимент товаров на
предприятии формируется исходя из спроса на разные типы товаров. Чтобы
определять, правильно ли сформирован ассортимент предлагаемых товаров,
исследование товарного оборота следует провести не только по общему объему, но
и в разрезе различных товарных групп, есть по структуре ассортимента.
Объектом нашего исследования выступает универсам
«Седьмой континент - Универсам» осуществляющий свою деятельность в г. Москве.
Рост выручки в 2014 году составил 137% или 84779,4
тыс. руб., рост себестоимости составил 136,1% или 63451,5 тыс. руб., рост
чистой прибыли составил 104,9 тыс. руб.
На основании проведенного анализа основных
показателей деятельности торгового предприятия ОАО «Седьмой континент -
Универсам» можно сделать вывод, что тенденция роста показателей имеет
положительную динамику.
Ассортимент товаров компании сформирован не
вполне удачно, не все имеющиеся в продаже товары пользуются спросом, при этом
объем реализации всех товаров растет в динамике не значительно. Есть товарные
группы, которые дают не значительную выручку в предприятию.
Проблема: в кондитерском отделе существуют
товары , которые не пользуются спросом и которые дают универсаму наименьшую
прибыль.
Цель: совершенствование ассортимента
кондитерского отдела.
Мероприятие: продажа собственной торговой марки
тортов и пирожных.
Задачи:
Открытие собственной кондитерской.
Совершенствование качества кондитерской
продукции.
Выпуск собственных наименований кондитерской
продукции.
Основная задача на первом этапе - занять свою
нишу, утвердиться на рынке за счет качества продукции.
Прайс-лист включает в себя 50 наименований
продукции - из них:
наименований тортов;
наименований пирожных;
наименований других сладостей.
Вся продукция идет на продажу в торговом зале
универсама.
Суточный объем производства: 150 кг в будни, 200
кг в выходные дни.
Доля собственных средств в общем объеме
инвестиций: 30%
Инвестиционные вложения: 1млн. руб.
Рентабельность: 35-40%
Окупаемость: в среднем 3 года
Универсам начал выпускать новую кондитерскую
продукцию, что создало новые конкурентные преимущества, которые заключаются
заключаются в следующем:
эксклюзивная услуга по изготовлению фото-тортов
с индивидуальным дизайном, с учётом всех пожеланий заказчика (стоимость 10 см2
изображения - 200 рублей);
широкий ассортимент производимой продукции
(пряники, кексы, пирожные, рулеты), всего 50 наименований;
фирменные изделия по эксклюзивным рецептам
лучших кондитеров;
осуществление доставки;
благоприятное место расположения кондитерской
(приближённость к центру города);
совместное расположение на одной площади
универсама.
Время выполнения индивидуальных заказов: 2 дня.
Собственное производство предполагает выпуск
кондитерских изделий вырабатываемых из высокосортной муки, отличающихся:
высоким качеством;
низкой калорийностью;
легкостью усвоения;
реализацией в фасовочном виде;
прекрасные вкусовые качества;
широкий диапазон цен.
Для улучшения вкуса и аромата добавляют
ароматические вещества и пряности (ванилин, корица, мята, тмин и пр.). Внешний
тип изделия привлекателен для потребителя.
Производство кондитерских изделий «Седьмой
континент - Универсам» ориентировано на потребителей разного уровня достатка и
характеризуется постоянным спросом. Политика цен ОАО «Седьмой континент -
Универсам» позволяет приобретать продукцию как школьникам и пенсионерам, так и
обеспеченным слоям населения.
Особо внимания требует проблема обеспечения
населения недорогими кондитерскими изделиями местного производства.
Проведенное маркетинговое исследование проекта
по разработке преследовало следующие цели:
нахождение потребительских качеств изделий,
являющихся решающими для потребителей;
нахождение тенденций развития рыночного спроса и
потребительских предпочтений;
нахождение типов кондитерских изделий, которые
пользуются высоким спросом у потребителей на сегодняшний день;
нахождение доли предприятия в общем объеме
рынка;
нахождение объёма реализации разных типов
кондитерских изделий;
нахождение слабых и сильных сторон предприятия
как поставщика и производителя указанных выше товаров.
Знание потребителей позволяет нам определять
требование тех либо иных сегментов, которые мы можем обслужить.
Знание конкурентов даёт нам возможность
определять, потребности каких сегментов мы сможем удовлетворить лучше, чем наши
конкуренты.
Знание потенциала рынка позволяет наметить
перспективы экономического успеха предприятия, который может быть достигнут при
наиболее успешном, чем у конкурентов, обслуживании потребителей.
Потенциальные клиенты кондитерского отдела
универсама «Седьмой континент - Универсам»:
студенты и школьники;
работники близлежащих предприятий и организаций;
жители района де расположен универсам.
Критерии сегментации рынка: возраст - от 7 до 60
лет, социальная принадлежность - школьники, студенты, служащие, рабочие, пенсионеры.
Уровень дохода - средний.
В результате маркетингового исследования
выяснилось, что наиболее важными критериями при покупке кондитерских изделий
являются: свежесть (25%), вкус (20%), внешний вид (20%), низкокалорийность
(16%), цена (15%), упаковка (4%).
Мы перед собой ставим следующие главные цели:
обеспечение и благосостояние персонала;
максимально возможная прибыль;
положение на рынке;
разработка, производство продукта и обновление
технологий;
быстрый рост предприятия;
максимальная производительность;
внедрение дополнительных производственных единиц
В универсаме существуют товары спрос на который
не регулярный, кроме того, они приносят наименьшую выручку магазину.
Рекомендуем универсаму расширить ассортимент
путем внедрения новой продукции взамен не рентабельной.
Проблема: существуют товары, которые не
пользуются спросом и которые дают универсаму наименьшую прибыль.
Цель: совершенствование ассортимента.
Мероприятие: продажа собственной торговой марки.
Задачи:
Открытие собственной кондитерской.
Рекламная компания кондитерской
За счет открытия кондитерской, отказа от
нерентабельных товаров, универсам увеличит свою прибыль на 1800 тыс. руб.,
снизит себестоимость на 1408,,00 тыс. руб., увеличит чистую прибыль на 10575,2
тыс. руб. Можно сказать, что данное мероприятие эффективно для ОАО «Седьмой
континент - Универсам».
Литература
Архипов
И.А., Клишин В.Ф. Товароведение. - М.: Экономика, 2012. - 560 с.
Абрамов
А.Н. Товароведение. Учеб. пособие М.: Дашков и Ко, 2011. - 452 с.
Алексеенко
Т.Н., Смагулова К.С. Логистика. - М.: ИНФРА, 2012. - 456 с.
Аниськова
О.Г. Стратегия коммерческой деятельности предприятия торговли: Учебник для
студентов ВУЗов / О.Г. Аниськова, О.В. Пигунова. - М.: Маркетинг, 2011. - 245
с.
Басконов
В.В. Экономика предприятия оптовой торговли и сферы услуг: Учебник для ВУЗов /
В.В. Басконов. - М.: ИНФРА-М, 2014. - 560 с.
Брагин
Л.А. Торговое дело - экономика и организация: Учебник для ВУЗов / Л.А. Брагин.
- М.: ИНФРА-М, 2014. - 278 с.
Балабанов
И.Т. Анализ и планирование финансов хозяйствующего субъекта. - М.: Финансы и
статистика, 2012. - 371 с.
Бланк
И.А. Управление предприятием. - М.: ЭКМОС, 2013. - 416 с.
Брагин
Л.А., Данько Т.П., Иванов ГГ. Торговое дело: экономика и организация. - М:
ИНФРА-М, 2013. - 256 с.
Гребнев
А.И. Экономика предприятия. - М.: Бизнес, 2012. - 428 с.
Гари
Джоунз. Торговый бизнес: Как организовать и управлять.- М.: ИНФРА, 2013. - 594
с.
Дашков
Л. П. , Памбухчиянц В. К. - Коммерция и технология торговли. Учебник. - М.:
Маркетинг, 2012. - 448 с.
Даненбург
А.В., Монкриф Р., Тейлор В. Основы торговли. - СПб.: Нева-Ладага Онега, 2012. -
256 с.
Дашков
Л.П. Коммерция и технология торговли: Учебник для студентов Высших учебных
заведений / Л.П. Дашков, В.К. Памбухчиянц. - М.: Дашков и К, 2011. - 450 с.
Дашков
Л.П. Товароведение. Учебник для студентов Высших учебных заведений / Л.П.
Дашков, В.К. Памбухчиянц. - М.: Дашков и К, 2011. - 450 с.
Жуспекова
А.К., Смагулова К.С. Розничная и розничная торговля. Караганда, КЭУК, 2012. -
230 с.
Егоров
В.Ф. Организация оптовой торговли: Учеб. пособие для ВУЗов / В.Ф. Егоров. -
СПб.: Питер, 2011. - 590 с.
Игнатьев
Л.А. Товароведная характеристика продуктов питания // Российская торговля. -
2011. - № 12. - с. 17-18
Коммерческий
портфель - М.: ЮНИТИ, 2011. - 560 с.
Коммерческий
менеджмент. - М.: ИНФРА-М, 2012. - 547 с.
Котлер
Ф. Маркетинг, менеджмент. - СПб: Питер КОМ, 2012. - 478 с.
Кравченко
Л.И. Анализ хозяйственной деятельности в торговле. - М.: ЮНИТИ, 2013. - 431 с.
Кузнецова
Н.И. Оптовики // Новости торговли. - 2011. - № 03. - с.18-20
Леви
М. Основы оптовой торговли: Учебник / М. Леви, А. Бартон. - М.: ИНФРА-М, 2011.
- 590 с.
Леви
М. Основы оптовой торговли: Учеб. пособие / М. Леви, Б.А. Вейтц. - СПб.: Питер,
2011. - 578 с.
Ньюман
Э. Розничная торговля: Учебник / Э. Ньюман, П. Кален. - СПб.: Питер, 2011. -
540 с.
Осипова
Л.В., Синяев И.М. Товароведение. Классификация музыкальных инструментов. - М.:
Дашков и Ко, 2013. - 597 с.
Памбухчиянц
В. К. Организация, технология и проектирование торговых предприятий - М.:
Маркетинг, 2012.-320 с.
Панкратов
Ф., Серегина Т.Н. Коммерческая деятельность - М: ЭКСМО, 2011. - 578 с.
Памбухчиянц
В.К. Организация, технология и проектирование торговых предприятий. - М.:
Дашков и К, 2013. - 500 с.
Парамонова
Т.Н. Маркетинг в оптовой торговле: Учеб. пособие / Т.Н. Парамонова, И.Н Красюк.
- М.: Пресс, 2011. - 510 с.
Памбухчиянц
В.К. Организация, технология проектирование оптовых предприятий: Учеб. пособие
для ВУЗов / В.К. Памбухчиянц. - М.: Дашков и К, 2011. - 230 с.
Плиханов
Г.В. Торговое дело. - М.: ЮНИТИ, 2011. - 452с.
Покровский
А.И. Экономика торговли. - М.: Дашков и К, 2011. - 450 с.
Половцева
Ф.П. Коммерческая деятельность. - М.: Дашков и К, 2012. - 450 с.
Практикум
по коммерческой деятельности. Учеб. пособие/ Ф.Г. Панкратов и др. - М.: Дашков
и К, 2011. - 450 с.
Раицкий
К.А. Экономика предприятия. - М.: Экономика, 2012. - 390 с.
Соломатина
А.Н. Экономика и организация деятельности оптового предприятия: Учебник для
ВУЗов / А.Н. Соломатина. - М.: ИНФРА-М, 2011. - 520 с.
Сорокина
М.В. Товароведение: Учебное пособие / М.В. Сорокина. - М.: Бизнес-пресса, 2011.
- 590 с.
Смирнова
Л. Каждый третий - продавец, но каждый - покупатель. - М.: Дашков и К, 2011. -
330 с.
Торговое
дело: экономика, маркетинг, организация. Учебник - М., ИНФРА-М., 2012. - 440 с.
Федько
С.А. Основы маркетинга: Учеб. пособие / С.А. Федько, В.П. Федько. - М.: ИНФРА,
2012. - 230 с.
Щур
Д.Л. Основы торговли. Розничная торговля. - М.: Дело и Сервис, 2012. - 304 с.
Щур
Д.Л. Товароведение. - М: Дело и сервис, 2011. - 503 с.
Юккель
Х., Хеллер О. Справочник предпринимателя: розничная торговля, розничная
торговля, грузовой транспорт, общественное питание и гостиничное хозяйство. -
М.: Наука, 2012. - 592 с.
Эванс
Дж. Р., Берман Б. Маркетинг.- М.: Экономика, 2012.-350с.
Якубова
Э.В. Розничная торговля. Состояние и перспективы: Учебное пособие для ВУЗов /
Э.В. Якубова. - М.: Дело и сервис, 2011. - 230 с.
Яковлев
Н.А. Товароведение. - М.: ЮНИТИ, 2011. - 450 с.
Приложение №1
Таблица 1
Сводная матрица товарной категории
|
Структура
товарной категории
|
Затраты
на рекламу и продвижение
|
Рентабельность
продаж
|
Оборачиваемость
товарного запаса
|
Эффективность
использования торгового пространства
|
Темп
роста товарооборота за период
|
Темп
прироста товарооборота за период
|
Вложения
в категорию
|
|
|
|
|
|
|
|
Привлеченные
средства
|
Собственные
средства
|
|
Категория
|
|
|
|
|
|
|
|
|
|
Подкатегория
|
|
|
|
|
|
|
|
|
|
Товарная
группа
|
|
|
|
|
|
|
|
|
|
Товарная
подгруппа
|
|
|
|
|
|
|
|
|
|
Бренд
|
|
|
|
|
|
|
|
|
|
Артикул
|
|
|
|
|
|
|
|
|
Приложение №2
Рис. 5. Организационная структура магазина ОАО
«Седьмой континент - Универсам»
Приложение №3
Рис. 6. Соотношение покупателей и прибыли ОАО
«Седьмой континент - Универсам»
Приложение №4
Таблица 5
Расчет рейтинга поставщиков
|
Критерий
выбора поставщика
|
Вес
критерия
|
Оценка
критерия по 10-балльной шкале
|
Произведение
веса критерия на оценку
|
|
|
«Лента»
|
«Мэтро»
|
ОАО
«ТАНДЕР»
|
«Лента»
|
«Мэтро»
|
ОАО
«ТАНДЕР»
|
|
Надежность
поставки
|
0,15
|
7
|
5
|
9
|
1,05
|
0,75
|
1,35
|
|
Цена
|
0,25
|
6
|
2
|
3
|
1,5
|
0,5
|
0,75
|
|
Ассортимент
|
0,15
|
8
|
6
|
8
|
1,2
|
0,9
|
1,2
|
|
Условия
оплаты
|
0,15
|
4
|
7
|
2
|
0,6
|
1,05
|
0,3
|
|
Возможность
внеплановых поставок
|
0,10
|
7
|
7
|
2
|
0,7
|
0,7
|
0,2
|
|
Качество
обслуживания
|
0,20
|
4
|
3
|
7
|
0,8
|
0,6
|
1,4
|
|
ИТОГО
|
1,00
|
|
|
|
5,85
|
3,6
|
5,2
|
Рис.7. Структура поставщиков,
удельный вес
Приложение №5
Таблица 6
Характеристика используемых методов снабжения и
закупок в ОАО «Седьмой континент - Универсам»
|
Наименование
товарной группы
|
Метод
снабжения
|
Метод
закупок
|
|
2013
год
|
2014
год
|
2013
год
|
2014
год
|
|
Кондитерские
изделия
|
Регулярные
покупки товара мелкими партиями
|
Закупка
товара с немедленной поставкой
|
Вертикальные
|
Вертикальные
|
|
Винно-водочная
продукция
|
Закупка
товара по необходимости
|
Закупка
товара по необходимости
|
Прямые
|
Косвенные
|
|
Хлебобулочные
и макаронные изделия
|
Регулярные
покупки товара мелкими партиями
|
Регулярные
покупки товара мелкими партиями
|
Косвенные
|
Косвенные
|
|
Плодоовощная
продукция
|
Закупка
товара по необходимости
|
Закупка
товара по необходимости
|
Косвенные
|
Косвенные
|
|
Молочная
продукция
|
Закупка
товара с немедленной поставкой
|
Закупка
товара с немедленной поставкой
|
Косвенные
|
Косвенные
|
|
Консервные
изделия
|
Закупка
товара по необходимости
|
Закупка
товара по необходимости
|
Косвенные
|
Прямые
|
|
Мясо
- рыбопродукты
|
Закупка
товара с немедленной поставкой
|
Закупка
товара с немедленной поставкой
|
Косвенные
|
Прямые
|
Приложение №6
Таблица 8
Реализация товаров по основным группам на
предприятии в 2014 г.
|
Наименование
товара
|
Товарооборот,
тыс. руб.
|
Удельный
вес в обороте, %
|
|
1
|
2
|
3
|
|
Молочная
гастрономия
|
43027,5
|
13,71%
|
|
Бакалея
|
38610,1
|
12,30%
|
|
Сопутствующие
товары
|
29815,6
|
9,50%
|
|
Мясо
и мясные изделия
|
28346,2
|
9,03%
|
|
Алкоголь
|
24130,8
|
7,69%
|
|
Кондитерские
изделия
|
24085,6
|
7,67%
|
|
Соки
и воды
|
22155,8
|
7,06%
|
|
Мясная
гастрономия
|
18405,5
|
5,86%
|
|
Рыба
и морепродукты
|
17343,4
|
5,53%
|
|
Замороженные
продукты
|
15281,3
|
4,87%
|
|
Овощи
|
14659,8
|
4,67%
|
|
Хлебные
изделия
|
10112,8
|
3,22%
|
|
Фрукты
|
9036,4
|
2,88%
|
|
Детское
питание
|
6416,8
|
2,04%
|
|
Табак
|
5229,1
|
1,67%
|
|
Салатное
производство
|
444,8
|
0,14%
|
|
Промышленные
товары
|
2077
|
0,66%
|
|
Диабетические
продукты
|
584,7
|
0,19%
|
|
Бытовая
техника
|
101
|
0,03%
|
|
Итого
|
313868,3
|
100
|
Приложение №7
Таблица 9
Реализация товаров по основным группам
|
Наименование
продукции
|
Товарооборот,
тыс. руб.
|
Удельный
вес в обороте, %
|
Удельный
вес нарастающим итогом %
|
Группа
и ее вклад в результат
|
|
1
|
2
|
3
|
4
|
5
|
|
Молочная
гастрономия
|
43027,5
|
13,71%
|
13,71
|
А
|
|
Бакалея
|
38610,1
|
12,30%
|
26,01%
|
А
|
|
Сопутствующие
товары
|
29815,6
|
9,50%
|
21,80%
|
А
|
|
Мясо
и мясные изделия
|
28346,2
|
9,03%
|
18,53%
|
А
|
|
Алкоголь
|
24130,8
|
7,69%
|
16,72%
|
А
|
|
Кондитерские
изделия
|
24085,6
|
7,67%
|
15,36%
|
А
|
|
Соки
и воды
|
22155,8
|
7,06%
|
14,73%
|
А
|
|
Мясная
гастрономия
|
18405,5
|
5,86%
|
12,92%
|
В
|
|
Рыба
и морепродукты
|
17343,4
|
5,53%
|
11,39%
|
В
|
|
Замороженные
продукты
|
15281,3
|
4,87%
|
10,40%
|
В
|
|
Овощи
|
14659,8
|
4,67%
|
9,54%
|
В
|
|
Хлебные
изделия
|
10112,8
|
3,22%
|
7,89%
|
В
|
|
Фрукты
|
9036,4
|
2,88%
|
6,10%
|
В
|
|
Детское
питание
|
6416,8
|
2,04%
|
4,92%
|
В
|
|
Табак
|
5229,1
|
1,67%
|
3,71%
|
В
|
|
Салатное
производство
|
444,8
|
0,14%
|
1,81%
|
С
|
|
Промышленные
товары
|
2077
|
0,66%
|
0,80%
|
С
|
|
Диабетические
продукты
|
584,7
|
0,19%
|
0,85%
|
С
|
|
Бытовая
техника
|
101
|
0,03%
|
0,22%
|
С
|
|
Итого
|
313868,3
|
100
|
|
|
Приложение №8
Таблица 10анализ
|
Группа
товаров
|
2014
|
XYZ-анализ
|
|
Оборот
|
ст.ош.
|
вар.
|
группа
|
|
Молочная
гастрономия
|
43027,5
|
24
969
|
58%
|
Z
|
|
Бакалея
|
38610,1
|
21
808
|
56%
|
Z
|
|
Сопутствующие
товары
|
29815,6
|
5
871
|
20%
|
Y
|
|
Мясо
и мясные изделия
|
28346,2
|
7%
|
X
|
|
Алкоголь
|
24130,8
|
16
133
|
67%
|
Z
|
|
Кондитерские
изделия
|
24085,6
|
14
250
|
59%
|
Z
|
|
Соки
и воды
|
22155,8
|
9
807
|
44%
|
Z
|
|
Мясная
гастрономия
|
18405,5
|
9
761
|
53%
|
Z
|
|
Рыба
и морепродукты
|
17343,4
|
2
638
|
15%
|
Y
|
|
Замороженные
продукты
|
15281,3
|
3
580
|
23%
|
Y
|
|
Овощи
|
14659,8
|
6
780
|
46%
|
Z
|
|
Хлебные
изделия
|
10112,8
|
8
516
|
84%
|
Z
|
|
Фрукты
|
9036,4
|
1
897
|
21%
|
Y
|
|
Детское
питание
|
6416,8
|
1
293
|
20%
|
Y
|
|
Табак
|
5229,1
|
2
325
|
44%
|
Z
|
|
Салатное
производство
|
444,8
|
1
704
|
383%
|
Z
|
|
Промышленные
товары
|
2077
|
3
561
|
171%
|
Z
|
|
Диабетические
продукты
|
584,7
|
1
997
|
341%
|
Z
|
|
Бытовая
техника
|
101
|
2
074
|
2053%
|
Z
|
|
Итого
|
313868
|
|
|
|
Приложение №9
Таблица 12
|
Группа
товаров
|
ABC-анализ
|
XYZ-анализ
|
ABCXYZ
группа
|
|
н.итог
|
группа
|
var
|
группа
|
|
|
Молочная
гастрономия
|
13,71
|
А
|
58%
|
Z
|
CZ
|
|
Бакалея
|
26,01%
|
A
|
56%
|
Z
|
AZ
|
|
Сопутствующие
товары
|
21,80%
|
A
|
20%
|
Y
|
AY
|
|
Мясо
и мясные изделия
|
18,53%
|
A
|
7%
|
X
|
AX
|
|
Алкоголь
|
16,72%
|
A
|
67%
|
Z
|
AZ
|
|
Кондитерские
изделия
|
15,36%
|
A
|
59%
|
Z
|
AZ
|
|
Соки
и воды
|
14,73%
|
A
|
44%
|
Z
|
AZ
|
|
Мясная
гастрономия
|
12,92%
|
A
|
53%
|
Z
|
AZ
|
|
Рыба
и морепродукты
|
11,39%
|
A
|
15%
|
X
|
AX
|
|
Замороженные
продукты
|
10,40%
|
A
|
23%
|
Y
|
AY
|
|
Овощи
|
9,54%
|
A
|
46%
|
Z
|
AZ
|
|
Хлебные
изделия
|
7,89%
|
A
|
84%
|
Z
|
AZ
|
|
Фрукты
|
6,10%
|
A
|
21%
|
Y
|
AY
|
|
Детское
питание
|
4,92%
|
A
|
20%
|
Y
|
AY
|
|
Табак
|
3,71%
|
A
|
44%
|
Z
|
AZ
|
|
Салатное
производство
|
1,81%
|
A
|
383%
|
Z
|
AZ
|
|
Промышленные
товары
|
0,80%
|
A
|
171%
|
Z
|
AZ
|
|
Диабетические
продукты
|
0,85%
|
A
|
341%
|
Z
|
AZ
|
|
Бытовая
техника
|
0,22%
|
A
|
2053%
|
Z
|
AZ
|
Совмещенный анализ АВС и XYZ
Приложение №10
Таблица 14
Динамика и структура оборота (выручки) ОАО
«Седьмой континент - Универсам» за 2013-2014 год
|
№
|
Наименование
товарных групп
|
2013
г.
|
2014
г.
|
Темп
роста,
|
Отклонение
|
|
|
Тыс.
руб.
|
Удель-ный
вес,
|
Тыс.
руб.
|
Удель-ный
вес,
|
|
Абсо-лютное.
тыс. руб.
|
Отно-ситель-ное,
|
|
1
|
Молочная
гастрономия
|
31461
|
13,73
|
43027,5
|
13,71
|
136,76
|
11566,5
|
-0,02
|
|
2
|
Бакалея
|
27815,9
|
12,14
|
38610,1
|
12,30
|
138,81
|
10794,2
|
0,16
|
|
3
|
Сопутствую-щие
товары
|
21713,5
|
9,48
|
29815,6
|
9,50
|
137,31
|
8102,1
|
0,02
|
|
4
|
Мясо
и мясные изделия
|
20636,6
|
9,01
|
28346,2
|
9,03
|
137,36
|
7709,6
|
0,02
|
|
5
|
Алкоголь
|
17835,8
|
7,79
|
24130,8
|
7,69
|
135,29
|
6295
|
-0,10
|
|
6
|
Кондитерские
изделия
|
17559,1
|
7,66
|
24085,6
|
7,67
|
137,17
|
6526,5
|
0,01
|
|
7
|
Соки
и воды
|
16135,2
|
7,04
|
22155,8
|
7,06
|
137,31
|
6020,6
|
0,02
|
|
8
|
Мясная
гастрономия
|
13373,8
|
5,84
|
18405,5
|
5,86
|
137,62
|
5031,7
|
0,03
|
|
9
|
Рыба
и морепродукты
|
12819
|
5,60
|
17343,4
|
5,53
|
135,29
|
4524,4
|
-0,07
|
|
10
|
Замороженные
продукты
|
11294,9
|
4,93
|
15281,3
|
4,87
|
135,29
|
3986,4
|
-0,06
|
|
11
|
Овощи
|
10849
|
4,74
|
14659,8
|
4,67
|
135,13
|
3810,8
|
-0,07
|
|
12
|
Хлебные
изделия
|
7364,7
|
3,21
|
10112,8
|
3,22
|
137,31
|
2748,1
|
0,01
|
|
13
|
Фрукты
|
6580,9
|
2,87
|
9036,4
|
2,88
|
137,31
|
2455,5
|
0,01
|
|
14
|
Детское
питание
|
4622,8
|
2,02
|
6416,8
|
2,04
|
138,81
|
1794
|
0,03
|
|
15
|
Табак
|
3808,2
|
1,66
|
5229,1
|
137,31
|
1420,9
|
0,00
|
|
16
|
Салатное
производство
|
3205,1
|
1,40
|
444,8
|
0,14
|
13,88
|
-2760,3
|
-1,26
|
|
17
|
Промышленные
товары
|
1512,6
|
0,66
|
2077
|
0,66
|
137,31
|
564,4
|
0,00
|
|
18
|
Диабетические
продукты
|
428
|
0,19
|
584,7
|
0,19
|
136,61
|
156,7
|
0,00
|
|
19
|
Бытовая
техника
|
72,8
|
0,03
|
101
|
0,03
|
138,74
|
28,2
|
0,00
|
|
|
Итого
|
229088.9
|
100
|
313868,3
|
100
|
100
|
84779,1
|
0,00
|
Приложение №11
Рис. 11. Динамика товарооборота универсама за
2013-2014 гг.
Приложение №12
Таблица 15
Экономическая эффективность деятельности ОАО
«Седьмой континент - Универсам» за 2013-2014 год
|
№
|
Показатели
|
Ед.
изм.
|
2013
г.
|
2014
г.
|
Темп
роста, %
|
Отклонение
(+, -)
|
|
1
|
Выручка
от продажи товаров
|
Тыс.
руб.
|
229089
|
313868
|
137,01%
|
84779,4
|
|
2
|
Себестоимость
проданных товаров
|
Тыс.
руб.
|
175703
|
239154
|
136,11%
|
63451,3
|
|
3
|
Валовая
прибыль
|
Тыс.
руб.
|
53385,9
|
74713,8
|
139,95%
|
21327,9
|
|
4
|
Издержки
обращения
|
Тыс.
руб.
|
45173,1
|
64402,1
|
142,57%
|
19229
|
|
5
|
Прибыль
от продаж
|
Тыс.
руб.
|
8212,8
|
10311,7
|
125,56%
|
2098,9
|
|
6
|
Прочие
операционные расходы
|
Тыс.
руб.
|
2856,7
|
3944,5
|
138,08%
|
1087,8
|
|
7
|
Внереализационные
расходы и доходы
|
Тыс.
руб.
|
-3224,1
|
-6029,2
|
187,00%
|
-2805,1
|
|
8
|
Прибыль
до налогообложения
|
Тыс.
руб.
|
7845,4
|
8227
|
104,86%
|
381,6
|
|
9
|
Налог
на прибыль
|
Тыс.
руб.
|
1569,1
|
1645,4
|
104,86%
|
76,3
|
|
10
|
Прибыль
после налогообложения
|
Тыс.
руб.
|
6276,3
|
6581,6
|
104,86%
|
305,3
|
|
11
|
Чрезвычайные
доходы и расходы
|
Тыс.
руб.
|
0
|
0
|
0,00%
|
0
|
|
12
|
Чистая
прибыль
|
Тыс.
руб.
|
6276,3
|
6581,6
|
104,86%
|
305,3
|
Приложение №13
Рис. 12. Динамика основных показателей
универсама за 2013-2014 гг., тыс. руб.
Приложение №14
Рис.9. Структура товарооборота универсама в 2013
году, %
Приложение №15
Структура товарооборота универсама в 2014 году,
%
Приложение №16