Многочлены Чебышева и их основные свойства
МИНистерство ОБРазования и НАУКИ РОССИи
Федеральное
государственное бюджетное образовательное учреждение
высшего
профессионального образования
«БРЯНСКИЙ
ГОСУДАРСТВЕННЫЙ УНИВЕРСИТЕТ ИМЕНИ АКАДЕМИКА И.Г. ПЕТРОВСКОГО»
Физико-математический
факультет
Кафедра алгебры
и геометрии
Курсовая
работа
«Многочлены
Чебышева и их основные свойства»
Выполнила:
студентка
3 курса ОЗО ФМФ
направления
«Педагогическое
образование»
профиля
«Математика»
Ю.М.
Симонаева
Научный
руководитель:
Кандидат
физико-математических наук
М.М.
Сорокина
Брянск 2014
Содержание
Введение
Глава 1. Обозначения, определения и
известные результаты, используемые в работе
Глава 2. Основы теории многочленов
от одной переменной
Глава 3. Многочлены Чебышева и их
основные свойства
3.1 Определение и простейшие
свойства многочленов Чебышева
3.2 Основные теоремы о многочленах
Чебышева
Заключение
Список используемой литературы
Введение
Теория многочленов представляет один из
центральных разделов современной алгебры. Понятие многочлена от одной переменной
возникло в связи с задачей решения алгебраических уравнений от одной
переменной, которой занимались уже в глубокой древности. В XVI веке
итальянскими математиками были найдены формулы для решения уравнений третьей и
четвертой степени. Позднее Н.Абель и П.Руффини доказали, что, начиная с пятой
степени, общей формулы, использующей, кроме сложения и умножения, лишь
извлечение корней, не существует, а Э.Галуа открыл закономерности поведения
корней, приложимые к каждому конкретному уравнению.
Параллельно с этим К.Гаусс доказал основную
теорему алгебры, утверждающую, что всякий многочлен (коэффициенты многочлена
могут быть не только вещественными, но и комплексными числами) имеет хотя бы
один корень (возможно, являющийся не вещественным, а комплексным числом). В
дальнейшем многие ученые занимались изучением многочленов. Я.Бернулли, Э.Безу,
У.Горнер, Ж.Лагранж, П.Чебышев, С.Эйзенштейн, Д.Гильберт и многие другие
известные математики открыли немало нового и удивительного о многочленах,
ставшего впоследствии привычным и обыкновенным.
В XX веке роль многочленов стала меняться.
Буквы, входящие в многочлен, стали играть роль символов, не связанную с их
конкретными значениями. Современная математика изучает и использует в общем
случае многочлены от одной переменной, у которых коэффициенты а0, а1,
…, аn являются объектами произвольной природы, а не только числами.
Самые разные области математики и ее приложений стали использовать символьное
исчисление многочленов, не зависящее от теории функций (математическая логика,
топология, теория информации, дискретная и компьютерная математика и т.д.).
С изучением многочленов связан целый
ряд преобразований в математике: введение в рассмотрение нуля
<#"882806.files/image001.gif"> называется
правило или закон, по которому любым двум элементам из
,
необязательно различным, взятым в указанном порядке, ставится в соответствие
единственный элемент из
.
Определение бинарной алгебраической операции
можно сформулировать также следующим образом.
Определение 1′. Бинарной алгебраической
операцией на множестве
называется
отображение
. Вместо
пишут
.
Бинарные алгебраические операции в общем виде обозначают символами
и
другими.
Определение 2. Непустое множество
с
определённой на нём бинарной алгебраической операцией
называется
группой, если выполняются следующие аксиомы (аксиомы группы):
) операция
ассоциативна на
,
т.е.
;
) в
существует
нейтральный элемент относительно операции
, т.е.
;
) для каждого элемента из
в
существует
симметричный ему элемент относительно операции
,
т. е.
.
Определение 3. Группа
относительно
операции
называется
абелевой, если операция
коммутативна на
,
т. е.
.
Определение 4. Группа относительно операции
сложения называется аддитивной.
Определение 5. Группа относительно операции
умножения называется мультипликативной.
Определение 6. Непустое множество
с
определенными на нем бинарными алгебраическими операциями сложения и умножения
называется кольцом, если выполняются следующие аксиомы (аксиомы кольца):
.
-
аддитивная абелева группа, т.е.
а) ассоциативность сложения на
;
б)
;
в)
;
г) коммутативность сложения на
.
. В
выполняются
дистрибутивные законы, т.е.
а)
-
правый дистрибутивный закон,
б)
-
левый дистрибутивный закон.
Определение 7. Кольцо
называется
ассоциативным, если операция умножения ассоциативна на
,
т.е.
.
Определение 8. Кольцо
называется
коммутативным, если операция умножения коммутативна на
,
т.е.
.
Определение 9. Кольцо
называется
ассоциативно-коммутатитвным, если
-
ассоциативное кольцо и коммутативное кольцо.
Определение 10. Кольцо
называется
кольцом с единицей, если в
существует
единичный элемент, т.е.
.
Определение 11. Элементы
и
кольца
называются
делителями нуля, если
, но
.
Определение 12. Ассоциативно-коммутативное
кольцо с единицей без делителей нуля называется областью целостности.
Определение 13. Пусть
-
ассоциативно-коммутативное кольцо с единицей. Элементы
и
кольца
называются
ассоциированными в
и обозначаются
,
если
и
.
Определение 14. Пусть
-
ассоциативно-коммутативное кольцо с единицей. Элемент
называется
обратимым в кольце
, если в кольце
найдется
обратный к нему элемент, т.е. такой элемент
,
что
.
Иначе, элемент
называется
необратимым элементом
.
Определение 15. Полем называется
ассоциативно-коммутативное кольцо с единицей, в котором любой ненулевой элемент
обратим.
Определение 15'. Непустое множество
с
определёнными на нём бинарными алгебраическими операциями
и
называется
полем, если выполняются следующие аксиомы (аксиомы поля):
.
-
аддитивная абелева группа, т.е.
а) ассоциативность операции
,
т.е.
;
б)
;
в)
;
г) коммутативность операции
,
т.е.
.
а)
-
правый дистрибутивный закон;
б)
-
левый дистрибутивный закон.
.
-
мультипликативная абелева группа, т.е.
а) ассоциативность операции
,
т.е.
;
б)
;
в)
;
г) коммутативность операции
,
т.е.
.
Определение 16. Множество
называется
числовым, если
.
Определение 17. Поле
называется
числовым, если оно является числовым множеством, т.е.
.
Глава 2. Основы теории многочленов от одной переменной
Определение 1. Пусть
и
-
ассоциативно-коммутативные кольца с единицами. Кольцо
называется
простым расширением кольца
с помощью элемента
,
если выполняются следующие условия:
)
-
подкольцо кольца
;
)
,
и записывают
.
Определение 2. Простое расширение
называется
простым трансцендентным расширением кольца
,
если выполняется следующее условие:
из
равенства
следует, что
.
Элемент
в
этом случае называется трансцендентным элементом над
(относительно
).
Лемма 1. Пусть
-
простое трансцендентное расширение ассоциативно-коммутативного кольца
с
единицей,
.
Если
и
,
то
и
.
Лемма 2. Пусть
и
-
простые трансцендентные расширения ассоциативно-коммутативных колец
и
с
единицами. Если
и
-
изоморфизм
на
,
то
,
причем существует единственный изоморфизм
кольца
на
,
который переводит элемент
в элемент
(т.е.
)
и продолжает изоморфизм
.
Следствие 2.1. Пусть
и
-
простое трансцендентное расширение ассоциативно-коммутативного кольца
с
единицей. Тогда
.
Лемма 3. Пусть
-
ассоциативно-коммутативное кольцо с единицей,
и
лишь конечное число
. Тогда множество
является
ассоциативно-коммутативным кольцом с единицей
относительно
операций, заданных по правилу:
1)
2)
где
и т.д.,
Теорема 1. Пусть
-
ассоциативно-коммутативное кольцо с единицей. Тогда для
существуют
простые трансцендентные расширения, причём любые 2 из них изоморфны.
Замечание. Кольцо
,
построенное в лемме 3, и являющееся простым трансцендентным расширением кольца
согласно
теореме 1, называется кольцом многочленов (полиномов) от одной переменной
(неизвестной)
над кольцом
и
обозначается
. Элементы кольца
называются
многочленами (полиномами) над кольцом
от
переменной
.
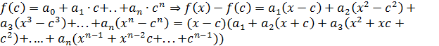
Пусть, например,
,
причём
(ввиду
теоремы 1). Тогда
- свободный или
постоянный член многочлена
,
-
старший коэффициент многочлена
.
Определение 3. Пусть
-
ассоциативно-коммутативное кольцо с единицей,
Число
называется
степенью многочлена
и обозначается
,
т.е.
(степень
многочлена - это степень переменной при старшем коэффициенте).
Определение 4. Нулевым многочленом называется
многочлен, все коэффициенты которого равны 0, и обозначается 0. По определению
полагают, что степень нулевого многочлена равна
,
т.е.
.
Таким образом, если
, то
(
.
Теорема 2. Пусть
-
ненулевое ассоциативно-коммутативное кольцо с единицей,
.
Тогда:
)
;
)
.
Следствие 2.1. Пусть
-
область целостности. Тогда
.
Теорема 3. Если
-
область целостности, то
- область
целостности.
Теорема 4. Пусть
-
область целостности. Тогда для
существует поле
частных.
Определение 5. Пусть
-
ассоциативно-коммутативное кольцо с единицей. Говорят, что многочлен
делится
на многочлен
, если
и
обозначается
или
.
Простейшие свойства отношения делимости в
:
1) рефлексивность
;
) транзитивность
и
;
)
и
;
)
;
)
.
Определение 6. Пусть
-
ассоциативно-коммутативное кольцо с единицей,
(т.е.
),
. Элемент
называется
значением многочлена
в точке
(на
элементе
) и обозначается
, то есть
.
Теорема 5 (теорема Безу). Пусть
-
ассоциативно-коммутативное кольцо с единицей,
,
. Тогда существует
такой, что
.
Доказательство. Пусть
. Тогда
.
Таким образом,
, где
. Теорема
доказана.
Определение 7. Пусть
-
ассоциативно-коммутативное кольцо с единицей,
. Элемент
называется
корнем многочлена
, если
.
Следствие 5.1. Пусть
-
ассоциативно-коммутативное кольцо с единицей,
,
. Тогда
- корень
делится на
.
Следствие 5.2. При делении
многочлена
на
получается
остаток
, равный
.
Теорема 6. Пусть
- область
целостности,
,
. Тогда
многочлен
имеет не
более
попарно
различных корней. Другими словами, любой ненулевой многочлен -й степени над
областью целостности имеет не более
попарно различных корней.
Доказательство. Доказательство
проведём методом математической индукции по параметру
.
) Пусть
не имеет
корней, т.е.
имеет нуль
корней и значит
- верно.
) Пусть
.
Предположим, что утверждение верно при
.
) Докажем, что утверждение верно при
:
. Если
не имеет
корней, то число корней равно
и
- верно. Пусть
имеет хотя
бы один корень и
- корень
такой, что
. Тогда по
теореме Безу
, где
, причём
по пункту
2)
имеет не
более
попарно
различных корней.
Покажем, что все корни многочлена
, отличные
от
, являются
также корнями многочлена
. Пусть
- корень
, 
, т.е.
так как
- область
целостности)
- корень
. Таким
образом, многочлен
имеет
корень
, а все
остальные корни многочлена
являются также корнями многочлена
. Так как
имеет не
более
попарно
различных корней, то многочлен
имеет не более, чем
попарно
различных корней.
Из 1)-3) по методу математической
индукции следует, что утверждение верно для любого
. Теорема
доказана.
Следствие 6.1. Пусть
- область
целостности,
. Если
многочлен
имеет более
попарно
различных корней, то
является
нулевым многочленом.
Определение 8. Пусть
,
, где
-
ассоциативно-коммутативное кольцо с единицей. Многочлены
и
называются
алгебраически равными, если
,
.
Определение 9. Многочлены
и
из
называются
функционально равными, если
,
, т.е. значения многочленов
и
в любой
точке кольца
совпадают.
Теорема 7. Пусть
-
бесконечная область целостности,
. Многочлены
и
алгебраически
равны
и
равны
функционально.
Теорема 8. Пусть
- поле,
. Тогда
существуют единственные многочлены
такие, что
, причем
.
Определение 10. Пусть
- поле,
. Многочлен
называется
наибольшим общим делителем многочленов
и
(или коротко, НОД
и
) и
обозначается
, если
выполняются два условия:
)
- общий делитель многочленов
и
, т.е.
и
;
)
делится на любой общий делитель
многочленов
и
, т.е. если
и
, то
.
Лемма 4. Пусть
- поле,
,
и
. Тогда НОД
многочленов
и
и НОД
многочленов
и
ассоциированы,
т.е.
.
Лемма 5. НОД двух многочленов
определяется однозначно с точностью до ассоциированности.
Определение 11. Пусть
- поле,
. Многочлен
называется
наименьшим общим кратным многочленов
и
(или коротко, НОК
и
) и
обозначается
, если
выполняются два условия:
)
- общее кратное многочленов
и
, т.е.
и
;
Лемма 6. НОК двух многочленов
определяется однозначно с точностью до ассоциированности.
Пусть
- поле,
. Для
нахождения НОК многочленов
и
применяется следующая формула:
.
Теорема 9 (теорема о линейном
представлении НОД). Пусть
- поле,
,
,
. Тогда
.
Определение 12. Пусть
- поле,
,
. Многочлен
вида
называется
формальной производной многочлена
и обозначается
.
Нетрудно проверить, что формальная
производная многочлена удовлетворяет следующим свойствам:
)
;
)
;
)
;
)
.
Определение 13. Многочлен
положительной
степени над полем
называется
неприводимым над
, если он не
допускает представления в виде произведения двух многочленов над полем
меньшей
степени.
Определение 14. Многочлен
положительной
степени над полем
называется
приводимым над
, если он
допускает представление в виде произведения двух многочленов над полем
меньшей
степени.
Лемма 7. Многочлен первой степени
неприводим над любым полем.
Лемма 8. Пусть
- поле,
-
неприводимые над
многочлены.
Если
, то
.
Замечание 1. Пусть
- поле.
Тогда
- область
целостности
- область
целостности
все
элементы области целостности
подразделяются на 4 вида:
= 





Замечание 2. Поскольку НОД и НОК
многочленов определяются однозначно с точностью до ассоциированности, то
многочлены
и
являются
взаимно простыми
.
Замечание 3. Пусть
-
неприводимый над
многочлен.
Если
, то либо
, либо
.
Лемма 9. Пусть
- поле,
,
-
неприводимый над
многочлен. f
p
и
взаимно
просты.
Лемма 10. Пусть
- поле,
,
-
неприводимый над
многочлен.
Если
, то хотя бы
из
множителей
делится на
, то есть
.
Теорема 10. (Основная теорема о
многочленах). Любой многочлен положительной степени над полем
допускает
представление в виде произведения неприводимых над
многочленов,
причем такое представление единственно с точностью до порядка следования
множителей и ассоциированности.
Доказательство. 1) Существование. Пусть
и
.
Доказательство проведем методом математической индукции по параметру
.
. Пусть
неприводим
над
- искомое
представление.
. Допустим, что утверждение верно
для любого многочлена положительной степени
над полем
.
. Докажем утверждение для многочлена
. Если
неприводим
над
, то
- искомое
представление. Пусть
приводим
над
, где
и
и
- представление
и
в виде
произведения неприводимых над
многочленов
- искомое
представление.
Из 1-3 по методу математической
индукции
утверждение
верно для любого
.
) Единственность. Пусть
и
- требуемые
представления
. Так как
, то либо
, либо
. Пусть,
например,
. Так как
левая часть
делится на
, то
по лемме 4
хотя бы один из множителей делится на
. Так как множители можем менять
местами, то будем считать, что
по лемме 8
и по
замечанию 3
, где
,
. Так как
левая часть
делится на
, то, как и
выше, получим
и
, где
, причем
и т.д.,
через конечное число шагов получим
. Допустим, что
противоречие
. Таким
образом, представление многочлена
в виде требуемого произведения
определяется однозначно с точностью до порядка следования множителей и
ассоциированности. Теорема доказана.
Определение 15. Пусть
- поле.
Многочлен
называется
нормированным или приведенным, если
.
Следствие 10.1. Любой многочлен
положительной
степени над полем
допускает
представление в виде:
, где
,
-
неприводимые над
нормированные
многочлены.
Определение 16. Пусть
,
- поле,
.
Представление многочлена
в виде
, где
,
- попарно
различные неприводимые над полем
нормированные многочлены,
, называется
каноническим представлением многочлена
, число
называется
кратностью множителя
. Если
, то
называется
простым неприводимым множителем многочлена
.
Определение 17. Пусть
,
-
ассоциативно-коммутативное кольцо с единицей,
- корень
. Число
называется
кратностью корня
многочлена
, если
, но
.
В этом случае пишут
- данная
запись означает, что
- это
наибольшая степень
, которая
делит
.
Теорема 11. Пусть
-
несократимая рациональная дробь. Если
- корень
, то
.
Доказательство. Так как
- корень
, то
, то есть:
. Так как
, то
. Так как
, то
.
Теорема доказана.
Следствие 11.1. Рациональные корни
нормированного многочлена с целыми коэффициентами являются его целыми корнями.
Следствие 11.2. Целые корни
многочлена с целыми коэффициентами являются делителями свободного числа.
Теорема 12. Пусть
,
,
-
несократимая рациональная дробь. Если
- корень
, то
,
.
Следствие 12.1. Пусть
,
-
несократимая рациональная дробь. Если
- корень
, то
,
.
Глава 3. Многочлены
Чебышева и их основные свойства
3.1 Определение
и простейшие свойства многочленов Чебышева
многочлен чебышев корень переменная
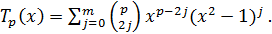
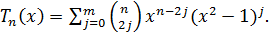
Определение 1. Многочлены
,
где
,
определенные рекуррентным соотношением
и
начальными условиями
и
называют
многочленами Чебышева.
Определение многочленов Чебышева основано на
том, что
полиномиально
выражается через
, т.е. существует
такой многочлен
, что
при
.
Формула
показывает,
что многочлены
, определенные
рекуррентным соотношением
и начальными
условиями
и
,
обладают нужным свойством.
Непосредственно из того, что
при
,
следует, что
при
.
А из рекуррентного соотношения следует, что
,
где
-
целые числа.
Теорема 1. Пусть
-
многочлен степени
со старшим
коэффициентом 1, причем
при
.
Тогда
.
Другими словами, многочлен
- наименее
уклоняющийся от нуля на интервале
многочлен
степени
со
старшим коэффициентом 1.
Доказательство. Воспользуемся свойством
многочлена
, а именно тем, что
при
.
Рассмотрим многочлен
. Его степень не
превосходит
, поскольку старшие
члены многочленов
и
равны.
Из того, что
при
,
следует, что в точке
знак числа
cовпадает
со знаком числа
. Таким образом, в
концах каждого отрезка
многочлен
принимает
значения разного знака. Поэтому у многочлена
на
этом отрезке есть корень. В случае, когда
,
либо
-
двукратный корень, либо внутри одного из отрезков
и
есть
еще один корень. Это следует из того, что в точках
и
мнгочлен
принимает
значения одного знака (рис.1).
Рис.1
Количество отрезков
равно
,
поэтому многочлен
имеет по крайней
мере
корней.
Для многочлена степени не более
это означает, что
он тождественно равен нулю, т.е.
.
Теорема доказана.
Теорема 2. Пусть
.
Тогда
Доказательство. Поскольку
,
то
и
.
Следовательно,
.
Пусть
и
.
Тогда
и
Теорема доказана.
Следствие 1. Пусть
-
нечетное простое число. Тогда
.
Доказательство. Запишем
в
виде
.
Тогда
Если
,
то
делится
на
.
Поэтому
. Следствие
доказано.
Определение 2. Композиция многочленов
и
определяется
равенством
.
Определение 3. Многочлены
и
называются
коммутирующими, если
, т.е.
.
Доказательство. Пусть
.
Тогда
и
.
Поэтому
.
Аналогично
. Таким образом,
равенство
выполняется при
,
а значит, это равенство выполняется при всех
.
Теорема доказана.
Определение 4. Пусть
,
где
и
.
Говорят, что пара многочленов
и
эквивалентна
паре многочленов
и
.
Теорема 4 (Ритт). Пусть
и
-
коммутирующие многочлены. Тогда пара многочленов
и
эквивалентна
одной из следующих пар:
(1)
и
где
(2)
и
где
и
- многочлены Чебышева;
(3)
и
где
Теорема 4 была доказана в 1922 году американским
математиком Риттом; все известные ее доказательства весьма сложные. Современное
изложение доказательства теоремы Ритта приведено в книге Прасолова В.В.,
Шварцмана О.В. [13].
В некоторых случаях вместо многочлена
рассматривают
многочлен
со старшим
коэффициентом 1. Многочлены
удовлетворяют
рекуррентному соотношению
. Поэтому
-
многочлен с целыми коэффициентами.
Если
,
то
и
.
Следовательно,
, т.е. многочлен
соответствует
полиномиальному выражению величины
через
.
С помощью многочленов
можно
доказать следующее утверждение.
Теорема 5. Если оба числа
и
рациональны,
то число
целое,
т.е.
.
Доказательство. Пусть
-
несократимая дробь и
, где
.
Тогда
.
Поэтому
-
корень многочлена
с целыми
коэффициентами. Пусть
- несократимая
дробь. Тогда
, и значит,
делится
на
.
Однако числа
взаимно простые.
Поэтому
,
т.е.
-
целое число. Теорема доказана.
3.2 Основные
теоремы о многочленах Чебышева
Определение 5. Многочлены
называют
ортогональными многочленами на отрезке
с
весовой функцией
, если
и
при
.
В пространстве
многочленов
степени не более
задают скалярное
произведение формулой
.
Ортогональные многочлены
образуют
ортогональный базис в пространстве
с
таким скалярным произведением.
Если задан отрезок и весовая функция, то
ортогональные многочлены определены однозначно с точность до
пропорциональности. В самом деле, они получаются в результате ортогонализации
базиса
Наиболее известны следующие ортогональные
многочлены:
|
|
|
|
Название
|
|
-1
|
1
|
1
|
многочлены
Лежандра
|
|
-1
|
1
|
|
многочлены
Гегенбауэра
|
|
-1
|
1
|
|
многочлены
Якоби
|
|
|
|
|
многочлены
Эрмита
|
|
0
|
|
|
многочлены
Лагерра
|
Теорема 6.
Многочлены Чебышева образуют ортогональную систему многочленов на отрезке
с
весовой функцией
.
Доказательство. Сделаем замену
.
Получим
при
.
Теорема доказана.
Следствие 2. Если
-
многочлен степени
и
при
,
то
,
где
-
некоторое число.
Доказательство. В пространстве
со
скалярным произведением
ортогональное дополнение к подпространству,
порожденному многочленами
, порождено
многочленом Чебышева
. Следствие
доказано.
Теорема 7. Многочлены Чебышева можно вычислять
по формуле
.
Доказательство. Индукцией по
доказывается,
что при
,
где
-
многочлен степени
, причем
,
и
при
.
Следовательно,
-
многочлен степени
.
Проверим, что
,
т.е.
при
.
Интегрируя по частям получаем
Первое слагаемое равно нулю, так как
при
.
Затем интегрируем по частям второе слагаемое и т.д. Чтобы в конце концов
получить нуль, необходимо проинтегрировать по частям
раз.
При этом на последнем шаге возникнет дифференциал
.
Это означает, что число
должно быть
неотрицательно, т.е.
.
Остается проверить, что
.
Для этого вычисляют
. Действительно,
что при
рекуррентное
соотношение
принимает вид
.
Таким образом,
. Кроме того,
.
Теорема доказана.
Теорема 8. Пусть многочлен
,
где
,
таков, что
при
.
Тогда
при
.
Доказательство. Воспользуемся тем, что
при
,
.
Многочлен
полностью
определяется значениями
.
Где
Дифференцируя
раз
соотношение (1), получим
Так как
,
то
Многочлен
в
точке
принимает
значение
.
Поэтому
Кроме того,
.
Далее, при
знак числа
не
зависит от
. Действительно,
все корни многочлена
принадлежат
отрезку
.
Поэтому все корни многочлена
также принадлежат
этому отрезку. Следовательно,
при
и
при
.
В итоге при
получаем
В этом случае из неравенства (2) следует, что
Теорема
доказана.
Теорема 9. Пусть многочлен
,
где
,
таков, что
при
.
Тогда
.
Доказательство. Так как
,
где
,
то по теореме 8 при
получим
.
Теорема доказана.
Теорема 10. При
и
при
выполняется
неравенство
.
Доказательство. Для многочлена
выполняется
условие теоремы 8. Поэтому
. Теорема доказана.
Теорема 11. При
выполняется
неравенство
.
Доказательство. Пусть
.
Рассмотрим многочлен
. Проверим, что
многочлен
удовлетворяет
условию теоремы 8, т.е. что
при
.
При вещественном
функция
зависит
только от
, причем если
,
то
монотонно
возрастает с возрастанием
. Кроме того,
при
.
Следовательно, если
и
,
то
.
Согласно теореме 8 при
выполняется
неравенство
, т.е.
.
Теорема доказана.
Определение 6. Для
последовательности функций
рассматривают ряд
.
Если радиус сходимости данного ряда положителен, то функцию
называют
производящей функцией последовательности
.
Теорема 12. При
и
выполняются
следующие равенства:
(а)
(б)
.
Доказательство.
а) Пусть
.
Тогда
.
Поэтому
.
Кроме того,
при
.
Следовательно,
Теорема доказана.
б) Продифференцировав по
обе
части равенства (а), получим
Следовательно,
Теорема доказана.
Теорема 13. Пусть
и
.
Тогда
Доказательство. Согласно теореме 12 (а),
Поэтому
Суммирование ведется до тех пор, пока
.
Поэтому
.
Теорема доказана.
Для многочлена
:
где
При
выполняется
равенство
а при
выполняется
равенство
Таким образом, если
,
а при
многочлены
задаются
формулой (1), то выполняется соотношение
где
Соотношения (1) и (2) можно записать следующим
образом. Пусть
и
,
где
-
некоторое фиксированное число. Тогда
(при
второе
соотношение принимает вид
). Покажем, что
соотношения (3) эквивалентны не только для указанных последовательностей, но и
для произвольных последовательностей. Заметим, что первое соотношение имеет вид
,
а второе соотношение имеет вид
. Поэтому каждое
соотношение однозначно определяет как последовательность
по
последовательности
, так и
последовательность
по
последовательности
. Для
последовательностей
,
,
где
и
-
фиксированные наборы чисел, соотношения (3) эквивалентны, поскольку они
эквивалентны для последовательностей
,
.
Проверим, что для любой последовательности
можно
подобрать такие числа
и
,
что
при
.
Выберем произвольные попарно различные числа
.
Тогда для чисел
получим систему
линейных уравнений с определителем
Эта система уравнений имеет решение при любых
.
Соотношение (3) позволяют получать нетривиальные
тождества с биномиальными коэффициентами. Пусть, например,
при
всех
.
Тогда
Данные тождества получаются из разложений
и
по
биному Ньютона. В таком случае соотношение
принимает вид
Заключение
В курсовой работе
¾ изучены основные понятия теории
многочленов от одной переменной (многочлен, степень многочлена, нулевой
многочлен, неприводимый (приводимый) над полем многочлен, наибольший общий
делитель и наименьшее общее кратное многочленов над полем, каноническое
представление многочлена, корень многочлена, кратность корня многочлена и др.),
приведены примеры многочленов (многочлены над числовыми полями), рассмотрены
основные свойства многочленов от одной переменной (свойства кольца многочленов
над областью целостности, свойства степени многочлена, свойства неприводимых
многочленов над полем и др.);
Список используемой литературы
1. Прасолов
В.В. Многочлены. - М.: МЦНМО, 2001.
2. Винберг
Э.Б. Курс алгебры. - М.: МЦНМО, 2011.
. Куликов
Л.Я. Алгебра и теория чисел. - М.: Оникс, 2012.
. Кострикин
А.И. Введение в алгебру. В 3-х частях. Часть 1: Основы алгебры: учебник. - М.:
МЦНМО, 2009.
. Кострикин
А.И. Введение в алгебру. В 3-х частях. Часть 2: Линейная алгебра: учебник. -
М.: МЦНМО, 2012.
. Кострикин
А.И. Введение в алгебру. В 3-х частях. Часть 3: Основные структуры алгебры:
учебник. - М.: МЦНМО, 2009.
. Курош
А.Г. Основы высшей алгебры. - СПб.: Лань, 2011.
. Курош
А.Г. Лекции по общей алгебре. - СПб.: Лань, 2007.
. Родина
М.А., Солодовников А. С. Задачник-практикум по алгебре. - М.: Просвещение,
1986.
. Фаддеев
Д.К. Лекции по алгебре. - СПб.: Лань, 2007.
. Фаддеев
Д.К., Соминский И.С. Задачи по высшей алгебре. - СПб.: Лань, 2008.
. Окунев
Л.Я. Высшая алгебра. - СПб.: Лань, 2009.
. Прасолов
В.В., Шварцман О.В. Азбука римановых поверхностей. - М.: Фазис, 1999.