Многочлены Лежандра, Чебышева и Лапласа
СОДЕРЖАНИЕ
Введение
1. Многочлены Лежандра
2. Многочлены Чебышева
3. Преобразование Лапласа
4. Обращение преобразования
Лапласа с помощью многочленов, ортогональных на конечном промежутке
4.1 Постановка задачи
4.2.Обращение
преобразования Лапласа с помощью смещенных многочленов Лежандра
4.3. Обращение преобразования
Лапласа с помощью смещенных многочленов Чебышева первого рода.
Заключение
преобразование смещенный
многочлен исчисление
ВВЕДЕНИЕ
Математический
анализ – раздел математики, дающий методы количественного исследования разных
процессов изменения; занимается изучением скорости изменения (дифференциальное
исчисление) и определением длин кривых, площадей и объемов фигур, ограниченных
кривыми контурами и поверхностями (интегральное исчисление). Для задач
математического анализа характерно, что их решение связано с понятием предела.
Начало математическому анализу положил в 1665 И.Ньютон и
(около 1675) независимо от него Г.Лейбниц, хотя важную подготовительную работу
провели И.Кеплер (1571–1630), Ф.Кавальери (1598–1647), П.Ферма (1601–1665),
Дж.Валлис (1616–1703) и И.Барроу (1630–1677).
Операционное исчисление – раздел математики,
занимающийся главным образом алгебраическими операциями, производимыми над
символами операции (или преобразования).
Во многих
задачах математического анализа рассматриваются ситуации, в которых каждая
точка одного пространства ставится в соответствие некоторой точке другого (или
того же) пространства. Пространства могут быть абстрактными, в которых «точки»
в действительности являются функциями. Соответствие между двумя точками устанавливается
с помощью преобразования или оператора. В задачу теории операторов входит
подробное описание и классификация различных видов преобразований и их свойств,
а также разработка символических методов, позволяющих минимизировать и
упростить вычисления. Обычно теорию операторов применяют к пространствам, в
которых допускается сложение или умножение точек, т.е. линейным пространствам,
группам, кольцам, полям и т.д.
Операционное исчисление позволяет осуществить абстрактные
постановки задач и обобщить такие разделы математического анализа, как теория
дифференциальных и интегральных уравнений. Мощным стимулом для развития теории
операторов стали современные проблемы квантовой теории. Наиболее полные
результаты получены для дистрибутивных операторов в т.н. гильбертовом
пространстве. Интерес к этой области во многом связан с представлением таких
операторов интегральными преобразованиями.
В середине XIX века появился ряд сочинений, посвящённых так
называемому символическому исчислению и применению его к решению некоторых
типов линейных дифференциальных уравнений. Сущность символического исчисления
состоит в том, что вводятся в рассмотрение и надлежащим образом
интерпретируются функции оператора дифференцирования.
.
Среди сочинений по символическому исчислению следует отметить
вышедшую в 1862 году в Киеве обстоятельную монографию русского математика М. Е.
Ващенко-Захарченко «Символическое исчисление и приложение его к интегрированию
линейных дифференциальных уравнений». В ней поставлены и разрешены основные
задачи того метода, который в дальнейшем получил название операционного.
В 1892 году появились работы английского учёного О.
Хевисайда, посвящённые применению метода символического исчисления к решению
задач по теории распространения электрических колебаний в проводах.
В отличие от своих предшественников, Хевисайд определил
обратный оператор однозначно, полагая и считая f(u)
= 0 для u < 0. Труды Хевисайда
положили начало систематическому применению символического, или операционного,
исчисления к решению физических и технических задач.
Однако широко развитое в трудах Хевисайда операционное
исчисление не получило математического обоснования, и многие его результаты
оставались недоказанными. Строгое обоснование было дано значительно позже,
когда была установлена связь между функциональным преобразованием Лапласа и
оператором дифференцирования
если существует производная
, для которой
существует и f(0) = 0, то
.
Одним из наиболее мощных средств решения дифференциальных
уравнений, как обыкновенных, так, особенно, в частных производных, является
метод интегральных преобразований. Преобразования Фурье, Лапласа, Ганкеля и
другие применяются для решения задач теории упругости, теплопроводности,
электродинамики и других разделов математической физики. Использование
интегральных преобразований позволяет свести дифференциальное, интегральное или
интегро-дифференциальное уравнение к алгебраическому, а также, в случае
дифференциального уравнения в частных производных, уменьшить размерность.
Интегральные преобразования задаются формулой
, (1)
где функции
называются оригиналом и
изображением соответственно, и являются элементами некоторого функционального
пространства
, при этом функция
называется
ядром интегрального преобразования.
Большинство интегральных преобразований являются обратимыми,
то есть по известному изображению можно восстановить оригинал, зачастую также
интегральным преобразованием:
(2)
Хотя свойства интегральных преобразований достаточно обширны,
у них довольно много общего.
преобразование смещенный многочлен исчисление
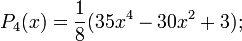
1. Многочлены Лежандра
Многочлены Лежандра — многочлен, который в наименьшей
степени отклоняется от нуля в смысле среднего квадратического. Образует
ортогональную систему многочленов, на отрезке
по мере Лебега.
Многочлены Лежандра могут быть получены из многочленов
ортогонализацией Грама ― Шмидта.
Названы по имени французского математика Адриен Мари
Лежандра.
Многочлены
Лежандра определяются по формуле (называемой формулой Родрига)
(3)
часто
записываемой в виде:
(4)
Многочлены
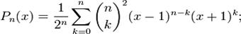
Лежандра также определяются по следующим формулам:
, если
;
, если
.
Они также
могут быть вычислены по рекуррентной формуле:
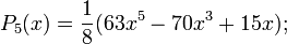
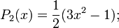
Первые
многочлены Лежандра равны:
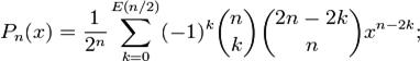
2. Многочлены Чебышева
Многочлены Чебышева — две последовательности многочленов Tn(x) и Un(x),
названные в честь Пафнутия Львовича Чебышева.
Многочлены Чебышева играют важную роль в теории приближений, поскольку корни
многочленов Чебышева первого рода используются в качестве узлов в интерполяции
алгебраическими многочленами.
Многочлен Чебышева первого рода Tn(x)
характеризуется как многочлен степени n со
старшим коэффициентом 2n - 1,
который меньше всего отклоняется от нуля на интервале [ −
1,1]. Впервые рассмотрены самим Чебышёвым.
Многочлены Чебышева первого рода Tn(x)
могут быть определены с помощью рекуррентного соотношения:

Многочлены
Чебышева первого рода
могут быть также определены с
помощью равенства:
или, что
почти эквивалентно,
Несколько
первых многочленов Чебышева первого рода
Многочлены
Чебышева обладают следующими свойствами:
Ортогональность
по отношению к соответствующим скалярному произведению (с весом
для многочленов первого рода и
для
многочленов второго рода).
Среди всех
многочленов, значения которых на отрезке [ − 1,1] не превосходят по
модулю 1, многочлен Чебышева имеет: наибольший старший коэффициент наибольшее
значение в любой точке за пределами [ − 1,1] если
, то
, где tk —
коэффициент многочлена Чебышева первого рода, ak —
коэффициент любого из рассматриваемых полиномов.
Нули
полиномов Чебышева являются оптимальными узлами в различных интерполяционных
схемах. Например, в методе дискретных особенностей, который часто используется
при исследовании интегральных уравнений в электродинамике и аэродинамике.
3.
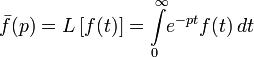
4. Преобразование Лапласа
Преобразование Лапласа — интегральное преобразование,
связывающее функцию
комплексного переменного
(изображение) с функцией
действительного переменного
(оригинал). С его помощью исследуются свойства динамических систем и решаются
дифференциальные и интегральные уравнения.
Одной из особенностей преобразования Лапласа, которые
предопределили его широкое распространение в научных и инженерных расчётах,
является то, что многим соотношениям и операциям над оригиналами соответствуют
более простые соотношения над их изображениями. Так, свёртка двух функций
сводится в пространстве изображений к операции умножения, а линейные
дифференциальные уравнения становятся алгебраическими.
Интеграл
Лапласа имеет вид:
(5)
где
интегрирование производится по некоторому контуру Lв плоскости
комплексного переменного z, ставящий в соответствие функции f(z), определенной
на L, аналитическую функцию F(p) комплексного переменного p=s+it. Многие
интегралы вида (5) были рассмотрены П. Лапласом.
В узком
смысле под преобразованием Лапласа подразумевают одностороннее преобразование
Лапласа
, (6)
называемое
так в отличие от двустороннего преобразования Лапласа
(7)
Преобразование
Лапласа – частный вид интегральных преобразований;. преобразования вида (6)
или (7) тесно связаны с Фурье преобразованием. Двустороннее
преобразование Лапласа (7) можно рассматривать как преобразование Фурье функции
, одностороннее преобразование Лапласа (6) - как
преобразование Фурье функции j(t) равной
при 0 < t < ∞ и равной
нулю при -∞ < t < 0.
Подынтегральная
комплексная локально суммируемая функция f(t) называется функцией-оригиналом,
или просто оригиналом; в приложениях часто удобно трактовать переменное t как
время. Функция F(p)=L[f], (р) называется также преобразованием Лапласа
оригинала f(t) или изображением по Лапласу. Интеграл (6) понимается, вообще
говоря, как условно сходящийся на бесконечности.
Априори
возможны три случая:
1) существует
действительное число
такое, что интеграл (6) сходится при
, а при
– расходится; это число
σс называется абсциссой (условной) сходимости;
2) интеграл
(6) сходится при всех р, в этом случае полагают
;
3) интеграл
(6) расходится при всех р, в этом случае полагают
Если
, то интеграл (6)
представляет однозначную аналитическую функцию F(p) в полуплоскости сходимости
. Обычно ограничиваются
рассмотрением абсолютно сходящихся интегралов (6). Точная нижняя грань тех s,
для которых существует интеграл
, называется абсциссой
абсолютной сходимости
Если а – есть
нижняя грань тех s, для которых
число а иногда называют
показателем роста оригинала f(t).
При некоторых
дополнительных условиях оригинал f(t) однозначно восстанавливается по своему
F(p). Например, если f(t) имеет ограниченную вариацию в окрестности
точки t0 или если f(t) кусочногладкая, то имеет место формула
обращения преобразования Лапласа:
(8)
Формулы (6) и
(8) позволяют получить ряд соотношений между операциями, производимыми над
оригиналами и изображениями, а также таблицу изображений для часто
встречающихся оригиналов. Все это составляет элементарную часть операционного
исчисления.
В
математической физике важные применения находит многомерное преобразование
Лапласа:
(9)
где t = (t1, ……, tn)
-точка re-мерного
евклидова пространства
Rn, p = (p1, ……, pn) = σ + iτ = (σ1, ……, σn) + (τ1,
……, τn)
-точка
комплексного пространства
Cn, n≥1, (p,t) = (σ,t)+i(τ,t) = p1t1 + … +pntn
-скалярное
произведение, dt = dt1…dtn - элемент объема в Rn. Комплексная функция f(t)
в (9) определена и локально суммируема в области интегрирования
-положительном
координатном угле пространства Rn. Если функция f(t) ограничена в C*, то интеграл (9)
существует во всех точках
удовлетворяющих условию Re(p,t)>0,
, которое определяет
снова положительный координатный угол
Интеграл (9)
определяет голоморфную функцию комплексных переменных p = (p1 ,- pn) в трубчатой области
пространства
с основанием S. В
более общем случае в качестве области интегрирования
в (9) и основания
Sтрубчатой области можно взять любую пару сопряженных замкнутых выпуклых острых
конусов в пространстве
с вершиной в начале координат. При n=1 формула
(9) переходит в (6), причем
- положительная полуось и
- правая полуплоскость.
Преобразование Лапласа (9) определено и голоморфно и для функций f(t) гораздо
более широких классов. Элементарные свойства преобразования Лапласа с
соответствующими изменениями остаются справедливыми и для многомерного случая.
Численное
преобразование Лапласа - численное выполнение преобразования (6), переводящего
оригинал f(t), 0<t<∞ в изображение F(p),
, а также численное
обращение преобразования Лапласа, т. е. численное нахождение f(t) из
интегрального уравнения (6) либо по формуле обращения (8).
Необходимость
применения численного преобразования Лапласа возникает вследствие того, что
таблицы оригиналов и изображений охватывают далеко не все встречающиеся в
практике случаи, а также вследствие того, что оригинал или изображение зачастую
выражаются слишком сложными, неудобными для применений формулами.
Проблема
обращения преобразования Лапласа, как задача отыскания решения f(x)
интегрального уравнения первого рода (6), относится к классу некорректных задач
и может быть решена, в частности, посредством регуляризирующего алгоритма.
Задачу численного
обращения преобразования Лапласа можно также решать методами, основанными на
разложении функции-оригинала в функциональный ряд. Сюда в первую очередь можно
отнести разложение в степенной ряд, в обобщенный степенной ряд, в ряд по
показательным функциям, а также в ряды по ортогональным функциям, в частности
по многочленам Чебышева, Лежандра, Якоби и Лагерра. Задача разложения оригинала
в ряды по многочленам Чебышева, Лежандра, Якоби в окончательном своем виде
сводится к проблеме моментов на конечном промежутке. Пусть известно
преобразование Лапласа F(p) функции β(t)f(t):
где f(t) -
искомая функция, а β(t) - неотрицательная, интегрируемая на [0,∞) функция.
Предполагается, что функция f(t) интегрируема на любом конечном отрезке [0, Т]
и принадлежит классу L2(β(t), 0, ∞).По изображению F(р).функции
β(t), f(t), функция f(t) строится в виде ряда по смещенным многочленам
Якоби, в частности по смещенным многочленам Лежандра, Чебышева первого и
второго рода, коэффициенты которого ak вычисляются по
формуле.
где
- коэффициенты смещенного
многочлена Лежандра, Чебышева первого и второго рода соответственно, записанных
в виде
Другим
приемом численного обращения преобразования Лапласа является построение
квадратурных формул для интеграла обращения (8).
4. Обращение преобразования Лапласа с помощью многочленов,
ортогональных на конечном промежутке
4.1 Постановка задачи
Задачу
преобразования Лапласа можно решать методами, основанными на разложении
оригинала в ряды по ортогональным функциям, в частности по многочленам
Чебышева, Лежандра и Якоби.Эта задача, которая в окончательном своем виде сводится
к проблеме моментов на конечном промежутке, была подвергнута изучению в работах
многих авторов.
Рассмотрим
постановку этой задачи в таком виде, как это сделано в работах В.М. Амербаева и
в книге В.А. Диткина и А.П. Прудникова [2].
Пусть
известно преобразование Лапласа F(p) функции β(t)f(t):
Где f(t) – искомая
функция, а β(t) – неотрицательная, абсолютно интегрируемая на
[0,∞) функция. Предположим, что функция f(t) интегрируема на любом
конечном отрезке [0, Т] и принадлежит классу L2(β(t), 0, ∞):
(11)
Требуется по
изображению F(р) функции β(t)f(t), построить функцию f(t).
В интеграле
(10) введем замену переменной x=e-t; тогда он приведется к
виду
(12)
где
В силу
условий, которые наложены на функции f(t) и β(t), интеграл (12) сходится
всюду в плоскости Re p≥,0, поэтому переменной р
можно придать значения 0, 1, 2, … и получить «взвешенные моменты» функции
(13)
После этого
решаемую задачу можно сформулировать так: найти функцию
по ее «взвешенным
моментам»
, или, что тоже самое, найти функцию f(t) по значениям
изображения функции β(t)f(t) в целочисленных точках p = k (k = 0, 1, 2, …). В частном случае эту
задачу можно упростить и по первым п + 1 «взвешенным моментам» искать
многочлен
, такой, чтобы его «взвешенные моменты» совпадали
с заданными моментами функции
, то есть чтобы выполнялись равенства
(14)
4.2.Обращение преобразования Лапласа с помощью смещенных
многочленов Лежандра
Рассмотрим частный случай весовой функции
(15)
или
.
Многочленами,
ортогональными на отрезке [0,1] с весом
, будут смещены
многочлены Лежандра
Они задаются
формулой
при
или же
формулой
Величина rn в этом случае равна
и разложение
функции f(t) по смещенным
многочленам Лежандра имеет вид
(16)
Величины
αk вычисляются по формуле
(17)
в которой
- коэффициенты
смещенного многочлена Лежандра
4.3. Обращение преобразования Лапласа с помощью смещенных
многочленов Чебышева первого рода.
Положим
теперь
Весовая функция имеет вид
и
Смещенные
многочлены Чебышева первого рода
являются ортогональной
системой на [0,1] по весу
Многочлены
Якоби
отличаются от
только численным
множителем, а именно
,
где
Многочлены
имеют вид
Значения rn вычисляются по формулам
а разложение
функции f(t) по смещенным
многочленам Чебышева первого рода имеет вид
(18)
Коэффициенты ak (k=0, 1, …) вычисляются по формуле
(17), в которой
- коэффициенты смещенного многочлена Чебышева
первого рода
.
В вычислениях
удобнее пользоваться тригонометрической записью многочленов
, а именно:
Сделав замену
переменной 2x – 1 = cosθ (0≤θ≤π)
и
учитывая, что
разложение (18) можно переписать в виде:
ЗАКЛЮЧЕНИЕ
Одним из
наиболее мощных средств решения дифференциальных уравнений, как обыкновенных,
так, особенно, в частных производных, является метод интегральных
преобразований.
Преобразования
Фурье, Лапласа, Ганкеля и другие применяются для решения задач теории
упругости, теплопроводности, электродинамики и других разделов математической
физики.
Преобразование Лапласа — интегральное преобразование,
связывающее функцию
комплексного переменного
(изображение) с функцией
действительного переменного
(оригинал). С его помощью исследуются свойства динамических систем и решаются
дифференциальные и интегральные уравнения.
Одной из
особенностей преобразования Лапласа, которые предопределили его широкое
распространение в научных и инженерных расчётах, является то, что многим
соотношениям и операциям над оригиналами соответствуют более простые
соотношения над их изображениями.
Интеграл
Лапласа имеет вид:
где
интегрирование производится по некоторому контуру Lв плоскости
комплексного переменного z, ставящий в соответствие функции f(z), определенной
на L, аналитическую функцию F(p) комплексного переменного p=s+it.
Численное
преобразование Лапласа - численное выполнение преобразования
,
переводящего
оригинал f(t), 0<t<∞ в изображение F(p),
, а также численное
обращение преобразования Лапласа.
Необходимость
применения численного преобразования Лапласа возникает вследствие того, что
таблицы оригиналов и изображений охватывают далеко не все встречающиеся в
практике случаи, а также вследствие того, что оригинал или изображение зачастую
выражаются слишком сложными, неудобными для применений формулами.
Задачу
численного обращения преобразования Лапласа можно также решать методами,
основанными на разложении функции-оригинала в функциональный ряд. Сюда в первую
очередь можно отнести разложение в степенной ряд, в обобщенный степенной ряд, в
ряд по показательным функциям, а также в ряды по ортогональным функциям, в
частности по многочленам Чебышева, Лежандра, Якоби и Лагерра. Задача разложения
оригинала в ряды по многочленам Чебышева, Лежандра, Якоби в окончательном своем
виде сводится к проблеме моментов на конечном промежутке. Пусть известно
преобразование Лапласа F(p) функции β(t)f(t):
где f(t) -
искомая функция, а β(t) - неотрицательная, интегрируемая на [0,∞) функция.
СПИСОК ЛИТЕРАТУРЫ
1. Ван
дер Поль Б., Бремер Х. Операционное исчисление на основе двустороннего
преобразования Лапласа. — М.: Издательство иностранной литературы, 1952. —
507 с.
2.
Диткин В.А., Прудников А. П. Интегральные
преобразования и операционное исчисление. — М.: Главная редакция
физико-математической литературы издательства «Наука», 1974. — 544 с.
3.
Кожевников Н.И., Краснощекова Т. И., Шишкин
Н. Е. Ряды и интегралы Фурье. Теория поля. Аналитические и специальные
функции. Преобразования Лапласа. — М.: Наука, 1964. — 184 с.
4.
Крылов В.И., Скобля Н.С. Методы приближенного преобразования
Фурье и обращения преобразования Лапласа. – М.: Наука, 1974. – 226 с.
.ru