Практическое применение квадратурных формул с весом Чебышева-Эрмита

  • Вид работы:
    Курсовая работа (т)
  • Предмет:
    Математика
  • Язык:
    Русский
    ,
    Формат файла:
    MS Word
    133,03 Кб
  • Опубликовано:
    2014-09-06
Вы можете узнать стоимость помощи в написании студенческой работы.
Помощь в написании работы, которую точно примут!

Практическое применение квадратурных формул с весом Чебышева-Эрмита

Министерство образования и науки РФ

ФГБОУ ВПО «Удмуртский государственный университет»

Математический факультет

Кафедра вычислительной механики









Курсовая работа на тему:

«Практическое применение квадратурных формул с весом Чебышева-Эрмита»

Выполнил:

студент 4 курса, гр. О-010911                                  Львова Л. В.

Проверил:

Старший преподаватель                                            Тамулина Т. В.





Ижевск, 2014г

Оглавление

.        Основные формулы и алгебраические свойства

.        Применение многочленов Чебышева-Эрмита в квантовой механике

Литература

1.     Основные формулы и алгебраические свойства


Пусть на всей оси задана четная весовая функция.

 (1.1)

Дифференцируя эту функцию последовательно, находим

 

(1.2)

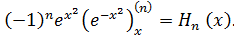
По индукции легко доказать, что производная порядка n от функции (1.1) есть произведение этой функции на некоторый многочлен степени n. Следовательно, функция

 (1.3)

Есть многочлен степени n. Этот многочлен называется стандартизированным многочленом Чебышева-Эрмита (квадратурная формула с весом Чебышева-Эрмита), а формула (1.3)-формулой Родрига.

Из формул (1.2) и (1.3) следует, что старший член многочлена  образуется при дифференцировании множителя ехр(), и, следовательно, старший коэффициент этого многочлена равен =, т. е. имеем

 (1.4)

Первые семь стандартизированных многочленов Чебышева-Эрмита, вычисленных по формуле Родрига (3), имеют вид

 

 

 

 

 

 

 

Докажем, что многочлены  ортогональны с весовой функцией (1) на интервале (-∞, ∞). Для этого рассмотрим интеграл

. (1.5)

Применяя формулу Родрига (3) и интегрируя по частям, находим

|-∞

Внеинтегральные члены ввиду наличия в них экспоненциального множителя равны нулю. Следовательно, применяя эту операцию еще (n-1) раз, находим последовательно

 (1.6)

Если m<n, то  Следовательно, из (1.6), учитывая (1.5) получим

.

Этим ортогональность многочленов  доказана.

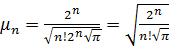
Вычислим теперь норму многочлена (3). Для этого в формулах (1.5) и (1.6) положим m=n. В силу (1.4) имеем

.

Следовательно, ортонормированный многочлен Чебышева-Эрмита имеет вид

. (1.7)

Старший коэффициент этого многочлена в силу (1.7) равен

. (1.8)

С другой стороны, в силу равенства (1.4) многочлен Чебышева-Эрмита с единственным старшим коэффициентом определяется формулой

 (1.9)

Далее, докажем, что функция

(1.10)

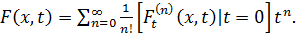
является производящей функцией для многочлена Чебышева-Эрмита. При фиксированном x эта функция аналитическая по t. Рассмотрим ее разложение в виде

(1.11)

Дифференцируя равенство (1.10) по t, при фиксированном x находим

 (1.12)

Здесь мы заменили переменное дифференцирования по формуле x-t=u и воспользовались равенством  Пологая теперь t=0, из (1.12) получаем

|t=0 =

Следовательно, разложение (1.11) дл функции (1.10) имеет вид

 (1.13)

Таким образом, функции (1.10) является производящей функцией для стандартизированных многочленов Чебышева-Эрмита. Разумеется, в разложении (1.13) с помощью равенств (1.7) и (1.9) можно перейти к ортонормированным многочленам Чебышева-Эрмита с единичным старшим коэффициентом.

В силу аналитичности левой части (1.13) переменные x и t могут принимать и комплексные значения. Подставляя вместо них комплексные переменные z и w, получим

 (1.14)

Далее, если временно считать z и w действительными и вместо w подставить iw, то, разделяя с помощью формулы Эйлера действительные и мнимые части с обеих сторон равенства (1.14), найдем два других разложения:

(1.15)

 (1.16)

причем в силу аналитичности левых частей оба разложения справедливы при любых комплексных значениях z и w.

С помощью разложения (1.13) нетрудно получить рекуррентное соотношение для многочленов Чебышева-Эрмита. В самом деле, функция (1.10) удовлетворяет условию

 ,

которое в силу (1.13) можно представить в виде

 

Следовательно, сумма всех коэффициентов при t в степени n равна нулю, т.е. имеем

 

 (1.17)

Таково рекуррентное соотношение для стандартизированных многочленов Чебышева-Эрмита.

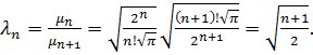
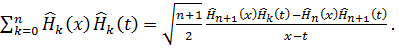
Далее находим коэффициент в формуле Кристоффеля-Дарбу

 

Cледовательно, формула Кристоффеля-Дарбу для ортонормированных многочленов Чебышева-Эрмита имеет вид

(1.18)

 помощью равенства (1.7) получаем аналогичную формулу для стандартизированных многочленов

(1.19)

Переходим к выводу дифференциального уравнения для многочленов Чебышева-Эрмита.

Дифференцируя функцию  по x, получим

 

которое можно представить в виде

 (1.20)

С другой стороны, из равенства (3) следует представление

 

с помощью которого уравнение (1.20) приводится к виду

 

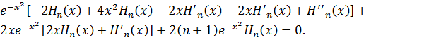
Выполняя операции дифференцирования, находим

 

Опуская экспотенциальный множитель и приводя подобные члены, получим дифференциальное соотношение

 (1.21)

Поскольку все предыдущие равенства выполнялись тождественно, то, следовательно, стандартизированный многочлен Чебышева-Эрмита порядка n удовлетворяет дифференциальному уравнению

y’’-2xy’+2ny=0. (1.22)

Разумеется, этому же уравнению удовлетворяет и многочлены  и , ибо от многочлена  они отличаются лишь постоянными множителями.

Продолжим рассмотрение основных свойств многочленов Чебышева-Эрмита. Докажем, что для стандартизированных многочленов имеет место формула

 (1.23)

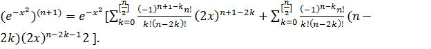
которая позволяет вычислять эти многочлены с помощью только алгебраических операций. Но сначала методом индукции установим равенство

 (1.24)

При малых n=0, 1, 2 это равенство проверяется непосредственно. Допусти, что оно верно при некотором n и продифференцируем его почленно. В результате получим

 (1.25)

Коэффициент при 2x в степени n+1-2k, где 0<k<[n/2], равен

(1.26)

Вывод формулы (1.26) непригоден в случае k=0, ибо вторая сумма в равенстве (1.25) не содержит 2x в степени n+1, но сама формула (1.26) справедлива и для старшего коэффициента, так как в силу (1.24) этот коэффициент равен . Что касается коэффициента при самой младшей степени 2x, то в случае четного n, т.е. при условии n=2m, формула (1.26) справедлива вместе с выводом ее. А если n=2m+1, то нулевая степень величины 2x содержится только во второй сумме и коэффициент ее (фактически свободный член) равен

 

т.е. формула (1.26) справедлива и в этом случае, ибо при условии n=2m+1 число n+1=2m+2 является четным в формуле (1.24) последнее слагаемое имеет номер m+1.

Таким образом, равенство (1.24) доказано. С помощью этого равенства из формулы Родрига (1.3) получается представление (1.23).

Формулу (1.23) удобно рассматривать отдельно для четных и нечетных номеров n. Поскольку символ [n/2] означает целую часть числа n/2, то из (1.23) находим формулы

 (1.27)

 (1.28)

С помощью этих формул нетрудно вычислить значения стандартизованных многочленов Чебышева-Эрмита и их производных в отдельных точках. Например, имеем равенства

 (1.29)

 (1.30)

(1.31)

 

. Применение многочленов Чебышева-Эрмита в квантовой механике


Как известно, в квантовой механике большую роль играет уравнение Шрёдингера

(2.1)

Где функция , называемая волновой функцией, определяет движение элементарной частицы в некотором силовом поле, - масса этой частиц, E - полная энергия ее, U - потенциальная энергия, а h - постоянная Планка.

Мы рассмотрим уравнение Шрёдингера в одномерном случае, когда волновая функция и потенциальная энергия зависят только от одной координаты x, в этои случае уравнение (2.1) имеет вид

. (2.2)

Кроме того, будем считать, что потенциальная энергия определяется формулой

 

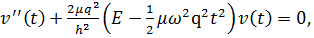
т.е. на частицу действует упругая сила по закону  где  есть собственная частота колебаний частицы. При этих предположениях уравнение (2.2) представляется в форме

. (2.3)

Далее, из физического смысла задачи следует, что неизвестная функция должна удовлетворять условию

(2.4)

которое с математической точки зрения заменяет собой дополнительные данные для определения единственного решения уравнения (2.3).

С другой стороны, из теории дифференциальных уравнений известно, что уравнение вида (2.3) не при всяких значениях входящих в него параметров имеет решения, удовлетворяющие определенным условиям. Таким образом, математически задача решения уравнения (2.3) заключается в том, чтобы найти такие значения величины Е, при которых решение этого уравнения было бы ограниченным равномерно при всех x и удовлетворяло бы условию (2.4). Физически это означает, что требуется определить такие допустимые значения энергии Е, при которых возможны стационарные состояния элементарной частицы в данном силовом поле. Иначе говоря, требуется определить такие значения Е - спектр собственных значений энергии, - при которых существуют ограниченные на все оси решения уравнения (2.3) - собственные функции, удовлетворяющие условию (2.4).

С целью упрощения уравнения введем новые обозначения для постоянных и заменим независимое переменное. Положим , где q - некоторая постоянная, и введем обозначение  Тогда получим

 

Следовательно, уравнение (2.3) и условие (2.4) теперь имеют вид

(2.5)

 (2.6)

Выберем q так, чтобы выполнялось условие

 

т.е. положим

(2.7)

и введем новый параметр

(2.8)


 (2.9)

 (2.10)

Далее вместо  введем новую неизвестную функцию  по формуле

 (2.11)

Дифференцируя это произведение, находим

 

 

Подставляем в уравнение (2.9)

 

Таким образом, неизвестная функция Q(t), определяемая равенством (2.11), удовлетворяет дифференциальному уравнению

 (2.12)

Это дифференциальное уравнение имеет только одну особую точку t=∞. Следовательно, его решение есть аналитическая во всей комплексности плоскости функция. Поэтому можно искать решение уравнения (2.12) в виде степенного ряда

 (2.13)

В силу формулы (2.11) относительно неизвестной функции Q(t) можно высказать некоторые ограничения, а именно: произведение (2.11) должно быть равномерно ограниченно на всей оси и должно выполнятся условие (2.6).

Подставляя разложение (2.13) в уравнение (2.12), получим

 

Так как это тождество, то при любом k коэффициент при  должен быть равен нулю, т.е.

 

Таким образом, коэффициенты разложения (2.13) связаны еккурентной формулой

 (2.14)

многочлен чебышев эрмит квантовый

Эта формула определяет отдельно и независимо коэффициенты с четными и нечетными номерами, причем два коэффициента  и  остаются произвольными. В принципе можно рассматривать отдельно четное  и нечетное  решения уравнения (2.12), первое из которых зависит линейно от , а второе - от .

Из формулы (2.14) следует, что если параметр λ не является нечетным натуральным числом, т.е. λ ≠ 2n+1, то все коэффициенты разложения функции , начиная с некоторого номера, имеют один и тот же знак. И поэтому функция  при  будет возрастать по абсолютному значению быстрее, чем t в любой сколь угодно большой степени. В связи с этим фактором при условии λ ≠ 2n+1 мы не можем гарантировать равномерную ограниченность произведения  на всей оси. Аналогичные утверждения справедливы и для функции , а также и для линейной комбинации этих функций, ибо в силу четности и нечетности этих функций линейная комбинация их может иметь ослабленную скорость возрастания только на одной половине действительной оси.

Следовательно, остается рассмотреть только те значения параметра λ, которые определяются формулой

 (2.15)

При таком выборе параметра λ из формулы (2.14) находим

 

Так формула (2.14) связывает коэффициенты разложения с номерами одинаковой четности, то решение (2.13) будет многочленом в том случае, если оно содержит только те степени t, показатель которых имеет одинаковую с номером n четность.

В самом деле, пусть n - четное число, т.е. n=2m. Тогда, оставляя  произвольным, можно выразить через него все остальные коэффициенты. При этом нужно обязательно положить  ибо в противном случае будут отличны от нуля все коэффициенты с нечетными номерами, а тогда решение не будет многочленом.

Аналогично, если n-нечетное, т.е. n=2m+1, то для того чтобы решение (2.13) было многочленом, полагаем  и выражаем все нечетные коэффициенты через , который останется произвольным.

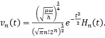
Таким образом, если , то многочлен , коэффициент которого определяется через  по рекуррентной формуле (2.14), является решением уравнения (2.12) при условии, что он содержит только четные степени t, а так произвольный множитель  можно определить так, чтобы выполнялось условие (2.10). Аналогично при  многочлен  должен быть нечетным за счет выбора  должен удовлетворять тому же условию (2.10).

Следовательно, в силу (2.11) последовательности собственных функций

 (2.16)

Которые являются решениями уравнения (2.5) при условии (2.6), причем каждая функция (2.16) ограничена равномерно на всей оси.

А теперь отметим главное. Дифференциальное уравнение (2.12) при условии  совпадает с уравнением y’’-2xy’+2ny=0, которому удовлетворяет многочлен Чебышева-Эрмита  Поэтому возникает вопрос о связи многочленов  и . Докажем, что эти многочлены могут отличаться только множителем.

В самом деле, два соседних коэффициента многочлена  связаны равенством

 

из которого, полагая в нем , находим

 

Но такой же вид имеет рекуррентное соотношение (2.14), если в нем поставить . Следовательно, многочлены  и  могут отличаться только потому, что по-разному выбран первый коэффициент. А так как все коэффициенты у обоих многочленов выражаются линейно через первый, то, следовательно, многочлены  и  могут отличаться только постоянным множителем, который можно считать положительным.

Для определения постоянной  в формуле  воспользуемся двумя равенствами

 

И

 

Из этих равенств находим

 

Следовательно, имеем

 

Подставляем это равенство в (2.11):

 

Наконец, возвращаясь к переменному , в силу формулы (2.7) получаем собственные функции дифференциального уравнения (2.3)

 

 (2.17)

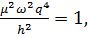
В силу формул (2.8) и (2.15) функция (2.17) является решением дифференциального уравнения (2.3) в случае, если энергия Е удовлетворяет условию

 

из которого находится квантовый спектр энергии элементарной частицы

 (2.18)

Именно при этих значениях энергии возможны стационарные состояния элементарной частицы в силовом поле.

Таким образом, решения уравнения (2.3) при условии (2.18) выражаются через многочлены Чебышева-Эрмита по формуле (2.17).

Литература


1.      Прасолов В. В. Многочлены.- 3-е изд, исправленное. - М.: МЦНМО, 2003. - 336 с: ил..

.        Суетин П. К. Классические ортогональные многочлены. - 3-е изд., ФИЗМАТЛИТ, 2005. - 480 с.

3.      <http://alglib.sources.ru/articles/ortpolin.php>

.        <http://dic.academic.ru/dic.nsf/enc_mathematics/6386/ЭРМИТА>

.        http://www.kazedu.kz/referat/86560

Похожие работы на - Практическое применение квадратурных формул с весом Чебышева-Эрмита

 

Не нашли материал для своей работы?
Поможем написать уникальную работу
Без плагиата!
Без нейросетей!