Приближенное вычисление интегралов

  • Вид работы:
    Практическое задание
  • Предмет:
    Математика
  • Язык:
    Русский
    ,
    Формат файла:
    MS Word
    58,1 Кб
  • Опубликовано:
    2015-12-21
Вы можете узнать стоимость помощи в написании студенческой работы.
Помощь в написании работы, которую точно примут!

Приближенное вычисление интегралов

БЕЛОРУССКИЙ ГОСУДАРСТВЕННЫЙ УНИВЕРСИТЕТ

ФАКУЛЬТЕТ ПРИКЛАДНОЙ МАТЕМАТИКИ И ИНФОРМАТИКИ









ЛАБОРАТОРНАЯ РАБОТА №1

Методы численного анализа

Приближенное вычисление интегралов











МИНСК - 2014

 

Постановка задачи

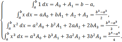
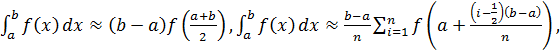
1.      Построить квадратурную формулу максимально возможной степени точности вида

.

2.      Определить алгебраическую степень точности указанной квадратурной формулы

.

квадратурный формула алгебраический интеграл

3.      Используя правило Рунге, провести сравнительный анализ квадратурных формул средних прямоугольников и трапеций на примере вычисления интеграла .

.        Вычислить с точностью  интеграл .

.        Найти с точностью  решение уравнения .

Решение

Задача №1

Построить квадратурную формулу максимально возможной степени точности вида

.

 

Построим систему линейных уравнений вида:

 

 

 

Получим:

Решение этой системы будет следующим: , , , .

Таким образом, квадратурная формула максимально возможной степени точности будет иметь вид:

 

Примечание: вычисления проводились вручную.

Задача №2

Определить алгебраическую степень точности указанной квадратурной формулы

.

Значение правой части

Значение левой части

1

2

2

0

0

0

0

0

0


Из таблицы видно, что АСТ указанной квадратурной формулы равна 5.

Примечание: вычисления проводились вручную.

Задача №3

Используя правило Рунге, провести сравнительный анализ квадратурных формул средних прямоугольников и трапеций на примере вычисления интеграла .

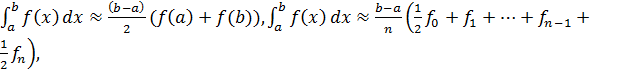
Формула средних прямоугольников:

 

.

Формула трапеций:

 

.

Правило Рунге:

 точность достигнута и приближенное значение будет .

Критерий сравнения

КФ трапеций

Кол-во узлов в простой КФ

1

2

Класс функции

Число итераций, необходимых для достижения точности

4

5

Шаг, необходимый для достижения точности

0,125

0,0625

Приближенное значение интеграла (точность = )

0,478441

0,479534

Число итераций, необходимых для достижения точности

11

11

Шаг, необходимый для достижения точности

Приближенное значение интеграла (точность = )

0,4791634314

0,4791635669


Вывод: из таблицы мы видим, что квадратурная формула средних прямоугольников использует меньше узлов, чем квадратурная формула трапеций (количество узлов на единицу меньше). Этот факт дает нам понять о том, что число арифметических операций, затрачиваемых на выполнение одной итерации, у квадратурной формулы средних прямоугольников меньше, чем у квадратурной формулы трапеций. У обеих квадратурных формул функция является дважды дифференцируемой, поэтому требуемая точность достигается приблизительно одинаково. Но на практике квадратурная формула средних прямоугольников незначительно быстрее достигает требуемой точности, чем квадратурная формула трапеций, если сделать еще больше опытов (для нашей задачи). Исходя из наших заключений, мы можем с уверенностью сказать, что на практике квадратурная формула средних прямоугольников более предпочтительна, чем квадратурная формула трапеций, т.к. за одну итерацию она делает меньшее количество арифметических операций.

Листинг программы для задачи №3(язык программирования Java 6):

 class Test{

public static double e = 0.001,//0.0000001

a = 1, b = 3;

public static double f_x(double x){

return Math.log(Math.sin(x)*Math.sin(x)+3)/(x*x+2*x-1);

}

public static double f_middle_rect(int n){

double sum = 0.0;

for(int i=1; i<=n; i++) sum += f_x(a+(i-0.5)*(b-a)/n);

return sum*(b-a)/n;

}

public static double f_trap(int n){

double sum = 0.5*(f_x(a)+f_x(b));

for(int i=1; i<n; i++) sum += f_x(a+i*(b-a)/n);

return sum*(b-a)/n;

}

public static double h(int n){ return (b-a)/n; }

public static void main(String[] args){

int n1 = 1, n2 = 2, i = 1; double f;

while((f = Math.abs(h(n2)*h(n2)*(f_middle_rect(n2)-f_middle_rect(n1))/

(h(n1)*h(n1)-h(n2)*h(n2))))>e){ n1 *= 2; n2 *= 2; i++;}.out.printf("%d\n%.10f\n%.10f\n", i, h(n2), f_middle_rect(n2)+f*h(n2)*h(n2));= 1; n2 = 2; i = 1;

while((f = Math.abs(h(n2)*h(n2)*(f_trap(n2)-f_trap(n1))/

(h(n1)*h(n1)-h(n2)*h(n2))))>e){ n1 *= 2; n2 *= 2; i++;}.out.printf("%d\n%.10f\n%.10f\n", i, h(n2), f_trap(n2)+f*h(n2)*h(n2));

}

}

 

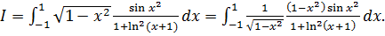
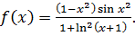
Задача №4

Вычислить с точностью  интеграл .

Приведем исходный интеграл к более желанному виду:

 

Воспользуемся формулой:

 

 

Проводим дальнейшие вычисления по предыдущей формуле, начиная с =1, =2. На каждой итерации увеличиваем значения ,  в 2 раза. Требуемая точность достигается при выполнении условия:

Ответ: после запуска программы получили, что количество итераций k=4, точность равна 0,0000145681, значение интеграла с требуемой точностью .

Листинг программы для задачи №4(язык программирования Java 6):

 class Test{

public static double e = 0.0001, a = -1, b = 1;

public static double f_x(double x){

return (1-x*x)*Math.sin(x*x)/(1+Math.log(x+1)*Math.log(x+1));

}

public static double f_NAST(int n){

for(int i=0; i<=n; i++) sum += f_x(Math.cos(Math.PI*(2*i+1)/(2*n+2)));

return sum*Math.PI/(n+1);

}

public static void main(String[] args){

int n1 = 1, n2 = 2, i = 1; double f;

while((f = Math.abs(f_NAST(n2)-f_NAST(n1)))>e){ n1 *= 2; n2 *= 2; i++; }.out.printf("%d\n%.10f\n%.10f\n", i, f, f_NAST(n2));

}

}

 

Задача №5

Найти с точностью  решение уравнения

Обозначим через  Получили нелинейное уравнение:

 

решение которого можно найти методом Ньютона по формуле:

 

Наша расчетная формула для решения нелинейного уравнения примет вид:

 

Приближенное значение интеграла, находящегося в числителе расчетной формулы для нахождения корня уравнения, будем вычислять по составной квадратурной формуле средних прямоугольников, используя правило Рунге (точность ).

Сделаем отделение корней:

1.                с точностью ; с точностью ;

2.      , не равна нулю и сохраняет знак на отрезке ; , не равна нулю и сохраняет знак на отрезке ;

3.      Начальное приближение . Возьмем . Проверим выполнение условия Фурье:

Таким образом, мы нашли начальное приближение для нахождения корня нашего нелинейного уравнения методом Ньютона: .

Примечание: вычисления проводились на WolframAlpha.

Ответ: после запуска программы получили:  при количестве итераций , с точностью  (квадратичная сходимость метода Ньютона).

Итерация

Решение нелинейного уравнения

Точность

1

2,67254642

0,227453578767844

2

2,52436649

0,148179930565486

3

2,46362236

0,060744123524822

4

2,45478895

0,008833410818934

5

2,45462216

0,000166793744647

6

2,45462210

0,000000059009325

Листинг программы для задачи №5(язык программирования Java 6):

 class Test{

public final static double e = 0.0001, a = 0;

public static double f_x(double x){ //подынтегральное выражение.

return Math.pow(x-1, 6)*(Math.log10(Math.pow(x*x+1, 0.5))+2);

}

public static double df_dx(double x){ //производная подынтегрального выражения.

return 6*Math.pow(x-1, 5)*(Math.log10(Math.pow(x*x+1, 0.5))+2)+*Math.pow(x-1, 6)/(Math.log(10)*(x*x+1));

}

public static double f_middle_rect(double b, double h, int n){ //КФСП.

double sum = 0.0;

for(int i=1; i<=n; i++) sum += f_x(a+(i-0.5)*h);

return sum*h;

}

public static double calc_integral_acc(double b){ //правило Рунге.

int n1 = 1, n2 = 2;

double f, h1 = (b-a)/n1, h2 = (b-a)/n2,= f_middle_rect(b, h1, n1), I2 = f_middle_rect(b, h2, n2);

while((f = Math.abs(h2*h2*(I2-I1)/(h1*h1-h2*h2)))>e){= n2; n2 *= 2; h1 = h2; h2 /= 2;= I2; I2 = f_middle_rect(b, h2, n2);

}

return I2+f*h2*h2; //значение интеграла с точносью e.

}

public static double calc_newton(double x){ //метод Ньютона.

return x-(calc_integral_acc(x)-5.0)/f_x(x);

}

double xk = 0.0, xk1 = 2.9; int i = 0;

while(true){= xk1; xk1 = calc_newton(xk);++;

if(Math.abs(xk1-xk)<e) break;.out.printf("%d\n%.15f\n%.15f\n", i, xk1, Math.abs(xk1-xk));

}.out.printf("%d\n%.15f\n%.15f\n", i, xk1, Math.abs(xk1-xk));

}

}

Похожие работы на - Приближенное вычисление интегралов

 

Не нашли материал для своей работы?
Поможем написать уникальную работу
Без плагиата!
Без нейросетей!