Разработка в Visual Basic приложения 'Исследование методов вычисления определённых интегралов'
Разработка
в Visual Basic приложения "Исследование методов вычисления определённых
интегралов"
метод
прямоугольник трапеция интеграл
Введение
На практике часто возникает необходимость вычислить какой - нибудь
определенный интеграл. Если он простой, то все в порядке и взять его вручную не
представляет труда. А если интеграл достаточно сложный или просто их много, то
приходится прибегать к помощи компьютерной техники. Существуют несколько
способов вычисления определенных интегралов на ЭВМ, причем все эти способы
получают лишь приближенные значения. В этой работе мы рассмотрим два метода
вычисления: метод прямоугольников и метод трапеций.
Постановка задачи
Задача: в среде программирования Visual Basic 6.0 создать приложение, которое вычисляет
нижеследующий определенный интеграл с помощью методов приближенного вычисления
(методы прямоугольников и парабол):
Необходимо также представить график зависимости погрешности от числа
разбиений N (N изменяется от 10 до 200 с шагом 10), показать визуализацию
метода в виде вписанных N
прямоугольников , или криволинейных трапеций ограниченных параболой второго
порядка, указать погрешность при заданном числе разбиений (N задается произвольно на интервале от
10 до 200).
Теоретическая часть
Метод
прямоугольников
Идея численного интегрирования методом прямоугольников заключается в том,
что из каждой точки xi=x0+i · h, i=1,...., n - 1 проводится перпендикуляр до пересечения с кривой y = f(x), а затем
отрезок кривой подынтегральной функции заменяется прямой, параллельной оси
абсцисс, т.е. Каждая маленькая криволинейная трапеция заменяется на
прямоугольник. Площадь полученной фигуры (рис.1)
можно найти как сумму площадей прямоугольников, стороны которых равны h и yi
метод прямоугольник трапеция интеграл
Рис.1
Площадь отдельного прямоугольника составит
Si=yi·h
тогда
Формулу
численного вычисления определенного интеграла можно записать в виде
Программа:
Private Sub Command1_Click().Cls
a = Val(Text1)= Val(Text2)= Val(Text3)Option1.Value Then
h = (b - a) / n= 0= a
D = s * hIf
If Option2.Value Then
h = (b - a) / n
s = 0= ai = 1 To n - 1
x = x + h
y = f(x)
s = s + y
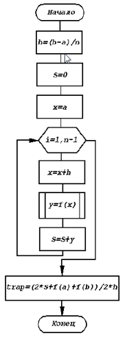
D = (2 * s + f(a) + f(b)) / (2 * n)If.Print DSubSub
Command2_Click().Show.HideSubSub Command5_Click().ShowSub
Приведём блок схему:
Рис.
Метод трапеций
Идея численного интегрирования методом трапеций заключается в том, что
значение определенного интеграла можно найти
как сумму площадей соответствующих трапеций
S1=(y0 + y1)·h/2 S2=(y1 + y2)·h/2 , … , Sn=(yn-1 +
yn)·h/2
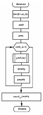
Приведём
блок схему
Рис.
Cоздание проекта
в VB
Курсовая работа была сделана в среде программирования Visual Basic 6.0. При запуске данной программы автоматически
появляется окно, предлагающее нам создать новый проект Standard exe. Примем предложение и продолжим процедуру. Начнём с
титульного листа, на котором будет располагаться кнопка перехода к другой
форме: меню.

Для создания формы «меню» нам необходимо в меню Tools выполним команду Menu Editor. В диалоговом окне впишем названия пунктов меню и
названия процедур, которые будут запускаться при выполнение команд.
Рис.
Для создания форм, на которых будут выполняться команды необходимо
кликнуть Project, затем выбрать Add Form, в появившемся окне выбрать Form. Каждая форма будет выполнять определённую функцию:
визуализация, исследование и прочие. Рассмотрим форму информирующую нас
поставленной задаче о программе.
Рис.
Создание этого приложения аналогично предшествующему.Для запуска
программы вычисления интеграла методом прямоугольников нажимаем в меню кнопку:
визуализация и исследование методов.
Рис.
Здесь также можно построить метод прямоугольников и построить графики
погрешностей, а также записать некоторые значения в текстовый документ.
Рис.
Заключение
При выполнение курсовой работы было изучено методы прямоугольников и
трапеций применяемые к решению определённых интегралов. Проанализирована
погрешность при их использование на практике. Также в процессе выполнения
работы были закреплены знания по информатике, практические навыки работы на
персональном компьютере и разработке пользовательских приложений с
использованием языков программирования высокого уровня и современных
компьютерных технологий обработки информации, а также навыки в составлении
текстовой документации.
Список литература
.Г. М.
Фихтенгольц «Курс дифференциального и интегрального исчисления» , том 2,
Учебник для ВТУЗОВ , глава «Приближенное вычисление определенных интегралов».
.Лабораторный
комплекс по Visual Basic 6.0 .
.MS Visual
Basic 6.0 для профессионалов. Микаэл Хальворсон. ЭКОМ 2001 г.
.Информатика.
Высшая школа. Острейковский В. А. 2000 г.
.www.informatic.ugatu.ic.ru
- официальный сайт кафедры информатики УГАТУ, отдел дистанционной помощи
студентам по написанию курсовых работ.
Приложение
Код
программы вычисления площади
Dim x As Doublea As Doubleb As DoubleSub Command1_Click().Cls
h = (b - a) / n= 0= ai = 0 To n - 1
y = f(x)= s + y= x + h
D = s * hIfOption2.Value Then
h = (b - a) / n= 0= ai = 1 To n - 1= x + h= f(x)
s = s + y
D = (2 * s + f(a) + f(b)) / (2 * n)If.Print DSubSub
Command2_Click().Show.HideSubSub Command3_Click().Show.HideSubSub
Command5_Click()
Form4.ShowSub
Код
программы построения графика
Private Sub Command1_Click()
Dim a As Double, i As Double, k As Double=
Val(Form1.Text1.Text)= Val(Form1.Text2.Text)= Val(Form1.Text3.Text)= f(a)=
f(a)i = a To b Step 0.5f(i) > Max Then Max = f(i)f(i) < Min Then Min =
f(i)
Picture1.Scale (a, Max)-(b, Min).Line (a, Min)-(b, Min).Line
(a, Min)-(a, Max)i = a To b Step 0.001.PSet (i, f(i))
h = (b - a) / nk = a To b Step h.Line (k, f(k + h))-(k + h,
0), RGB(255, 0, 0), BSubSub Command2_Click().HideSubSub Command3_Click().ClsSub
Код программы исследования на
погрешность
Dim Et(200) As Doublees(200) As DoubleSub
Check2_Click()SubSub Command1_Click().Hide.ShowSubFunction f(x)
f = (x ^ 3) / (3 + x)Function
Public Function f1(x)= x ^ 3 / 3 - 1.5 * x ^ 2 + 9 * x - 27 *
Log(Abs(x + 3))FunctionSub Command2_Click()= Text1= Text2= 10= 200n = 1 To 200
Step 10.Cls= (b - a) / n= f1(b) - f1(a).Print "S= "; s.Cls.Scale (0,
40)-(215, -2).Line (0, 0)-(215, 0).Line (10, 0)-(10, 200)= 0= 1= 0n = 10 To 200
Step 10
h = (b - a) / n= 0= 0i = 1 To n
X1 = X1 + h= s + f(X1)
Pr = h * s= (b - a) / n= 0= 0i = 1 To n - 1= X1 + h= s +
f(X1)= ((b - a) / (2 * n)) * (a + b + 2 * s)_L = f1(b) - f1(a)(j) = Abs(Pr -
N_L) * 100(j) = Abs(Tr - N_L) * 100= j + 1n= 10i = 0 To j.Line (n, 0)-(n,
-0.5).Print nn = 200 Then Exit For.Line (n, Et(i))-(n + 10, Et(i + 1)), vbRed.Line
(n, es(i))-(n + 10, es(i + 1)), vbBlue= n + 10i = 2 To 40 Step 2.Line (8,
i)-(10, i).Print i= Text4Check1.Value = vbChecked Then
Open save For Output As 1
Print #1, "корень уравнения"; Format(X1, "0.000")
Close #1IfSubSub Text3_Change()Sub