Приближенное вычисление двойных интегралов
МИНОБРНАУКИ
РОССИИ
Федеральное
государственное бюджетное образовательное учреждение
высшего
профессионального образования
«Ижевский
государственный технический университет имени М.Т.Калашникова»
Глазовский
инженерно-экономический институт (филиал)
(ГИЭИ (филиал)
ФГБОУ ВПО «ИжГТУ имени М.Т.Калашникова»)
Кафедра
«Автоматизированные системы управления»
Курсовая
работа
по дисциплине
«Вычислительная математика»
на тему
«Приближенное вычисление двойных интегралов»
Выполнил
студент гр.
Б03-782
Иванов Е.А.
Проверил
Старший
преподаватель кафедры АСУ
Салтыкова
Е.В.
Глазов 2012г.
Введение
Под численным интегрированием понимается интегрирование аналитических
выражений с помощью численных методов.
Интегрирование прослеживается ещё в древнем Египте, примерно в 1800 г. до
н. э., Московский математический папирус демонстрирует знание формулы объёма
усечённой пирамиды. Первым известным методом для расчёта интегралов является
метод исчерпывания Евдокса (примерно 370 до н. э.), который пытался найти
площади и объёмы, разрывая их на бесконечное множество частей, для которых
площадь или объём уже известны. Этот метод был подхвачен и развит Архимедом, и
использовался для расчёта площадей парабол и приближенного расчёта площади
круга. Аналогичные методы были разработаны независимо в Китае в 3-м веке н. э.
Лю Хуэйем, который использовал их для нахождения площади круга. Этот метод
впоследствии использовали Цзу Чунчжи и Цзу Гэн для нахождения объёма шара.
Следующий крупный шаг в исчисление интегралов был сделан в Ираке, в XI
веке, математиком Ибн ал-Хайсамом (известным как Alhazen в Европе), в своей
работе «Об измерении параболического тела» он приходит к уравнению четвёртой
степени. Решая эту проблему, он проводит вычисления, равносильные вычислению
определённого интеграла, чтобы найти объём параболоида. Используя
математическую индукцию, он смог обобщить свои результаты для интегралов от
многочленов до четвёртой степени. Таким образом, он был близок к поиску общей
формулы для интегралов от полиномов, но он не касается любых многочленов выше
четвёртой степени.
Следующий значительный прогресс в исчислении интегралов появится лишь в
XVI веке. В работах Кавальери с его методом неделимых, а также в работах Ферма,
были заложены основы современного интегрального исчисления. Дальнейшие шаги
были сделаны в начале XVII века Барроу и Торричелли, которые представили первые
намеки на связь между интегрированием и дифференцированием.
Для некоторых
подынтегральных функций двойной интеграл можно вычислить аналитически или найти
в справочниках. Решая различные математические, физические и другие задачи,
часто приходится вычислять значения двойных интегралов. Во многих случаях, в
виду того, что подлежащий вычислениюдвойной интеграл приводит к объемным
расчетам, прибегают к численным методам.
В данной
курсовой работе будут рассмотрены два метода вычисления двойных интегралов:
аналог формул прямоугольников и аналог формул трапеций. Данные методы будут
реализованы на языке программирования Pascal.
двойной
интеграл геометрический трапеция
1 Основные понятия темы «Двойные интегралы». Вычисление двойного
интеграла в прямоугольных координатах
Пусть в замкнутой области D
плоскости Oxy задана непрерывная функция z=f(x,y). Разобьем область D на nэлементарных областей Di, площади которых равны ∆Si, а диаметры di. В каждой области выбираем
произвольную точку Mi(xi;yi).
Двойным интегралом от функции f(x,y) по области D
называется предел интегральной суммы
при стремлении n к бесконечности таким образом, что maxdiстремится к нулю, если этот предел не
зависит ни от способа разбиения области Dна части, ни от выбора точек в них.
Область D называется областью интегрирования;
x,y - переменные интегрирования;
dxdy
(или ∆S) - элемент площади.
Теорема существования двойного интеграла
Если функция f(x,y) непрерывна в замкнутой области D, то она интегрируема в этой области.
Геометрический смысл двойного интеграла
Величина двойного интеграла от неотрицательной функции равна объему
цилиндрического тела.
Физический смысл двойного интеграла
Двойной интеграл от функции γ(x,y) численно равен массе пластинки, если подынтегральную
функцию γ(x,y) считать плотностью этой пластинки.
Основные свойства двойного интеграла.
Если m
f(x,y)
M,то
S -
площадь области D, а m и M - соответственно наименьшее и наибольшее значения функции f(x,y) в области D.
Правила вычисления двойных интегралов.
Различают два основных вида области интегрирования.
Область интегрирования D
ограничена слева и справа прямыми x=a и x=b (a<b), а снизу и сверху - непрерывными кривыми y=φ1(x) и y=φ2(x) (φ1(x)
φ2(x)), каждая из которых пересекается вертикальной прямой только
в одной точке (рис.1).
Рис. 1
Для такой области двойной интеграл вычисляют по формуле
причем сначала вычисляют внутренний интеграл
в котором x считают постоянным.
Область интегрирования D
ограничена снизу и сверху прямыми y=c и y=d (c<d), а слева и справа - непрерывными кривыми x=ψ1(y) и x=ψ2(y) (x=ψ1(y)
x=ψ2(y)),
каждая из которых пересекается горизонтальной прямой только в одной точке
(рис.2).
Рис. 2
Для такой области двойной интеграл вычисляют по формуле
Причем сначала вычисляют внутренний интеграл
в котором y считают постоянным. Правые части указанных формул называют
двукратными (или повторными) интегралами.
1.1 Замена переменных в двойном интеграле
Двойной интеграл в полярных координатах:
Преобразование двойного интеграла от прямоугольных координат x,y к полярным координатамρ,θ, связанным с прямоугольными
координатами соотношениями x = ρcosθ, y = ρsinθ, осуществляется по формуле
Если область интегрирования D ограничена двумя лучами θ = α, θ = β
(α<β), выходящими
из полюса, и двумя кривыми ρ = ρ1(θ) и ρ = ρ2(θ), где ρ1(θ) и ρ2(θ) - однозначные функции при α ≤ θ ≤
βи ρ1(θ) ≤
ρ2(θ),
то двойной интеграл
вычисляют по формуле
гдеF(ρ,θ) = f(ρcosθ, ρsinθ), причем сначала вычисляют интеграл
в котором θ считают постоянным.
1.2 Аналог формул прямоугольников
а) Рассмотрим замкнутую область D, ограниченную линиями x=a, x=b, y=φ(x), y=ψ(x), где φ(x)и ψ(x) - непрерывные на отрезке [a;b] функции, причем
φ(x)≤ψ(x)(рис. 4). Разделим область D на n частей линиями
Далее разобьем отрезок [a;b] на mравных частей точками a = x0
<x1<x2<… <xm-1<xm = b и через эти точки проведем прямые,
параллельные оси Oy:
= xi (i= 0,1,2,…,n) (2)
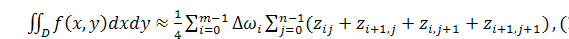
Двумя семействами линий (1) и (2) область D разделится на mnкриволинейных
четырехугольников с вершинами в точках Pij(xi; yij), Pi+1,j(xi+1; yi+1, j), Pi,j+1(xi; yi, j+1), Pi+1,j+1(xi+1; yi+1, j+1); I = 0,1,2,…,m; j = 0,1,2,…,n.При фиксированномi (0≤i ≤m) длина вертикальной стороны четырехугольника не зависит от j и составляет
j= 0,1,2,…,n.
Рис.4
Обозначим площадь криволинейного четырехугольника, изображенного на рис.
5, через ∆ωij. Эта площадь вычисляется по формуле
Из равенства (3) следует, что значение ∆ωijне зависит от j. Учитывая это, положим∆ωij=
∆ωi; 0≤i≤m-1, 0≤j≤n-1. Двойной интеграл
где функция f(x, y) непрерывна в области D, заменим двумерной интегральной суммой, выбрав в качестве
узлов точки Pij
где
Рис. 5
Выбрав в качестве узлов последовательно точки Pi+1,j, Pi,j+1, Pi+1,j+1, получим соответственно еще три
формулы для приближенного вычисления двойного интеграла:
Равенства (4), (6), (7) и (8) являются аналогом формул прямоугольников
для приближенного вычисления определенного интеграла.
Очевидно, что эти равенства тем точнее, чем больше числа mи n, т.е. чем меньше длина каждого из отрезков разбиения.
б) В частном случае, когда область D - прямоугольник, определяемый неравенствами a≤x≤b, c≤y≤d,площади
∆ωi элементарных площадок равны между
собой и вычисляются по формуле
Тогда приближенные равенства (4), (6), (7) и (8) примут соответственно
вид
Равенства (9)−(12) можно назвать формулами параллелепипедов.
в) Если функция f(x, y) монотонна по каждой из переменных x и y, то
для двойного интеграла справедлива оценка
где M и μ - соответственно наибольшая и
наименьшая из сумм
г) Пусть функция f(x, y) и ее частные производные
непрерывны в области D - прямоугольнике a≤x≤b, c≤y≤d.
Тогда оценка погрешности приближенных формул (9)−(12) определяется
неравенством
где
2. Аналог формулы трапеций
а) Рассмотрим двойной интеграл
если область D - прямоугольник a ≤ x ≤b, c ≤ y ≤ d. Тогда для приближенного вычисления
двойного интеграла справедлива формула
гдеz1
= f(a, c), z2 = f(b, c), z3 = f(a, d), z4 =
f(b, d).
Эта формула дает приближенное значение двойного интеграла с избытком,
если выполнены следующие условия (16):
Рассмотрим двойной интеграл
Пусть область D - прямоугольник a ≤ x ≤b, c ≤ y ≤ d, во всех точках которого выполнены
условия
где
Эти условия обеспечивают выпуклость поверхности z = f(x, y)во всех точках области D (аналогично условия
обеспечивают вогнутость этой
поверхности).
Оценка погрешности формулы (15) определяется неравенством
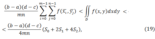
б) Разобьем область D
прямыми, параллельными осям координат, на mn равных прямоугольников. Вычислив двойной интеграл по каждому
элементарному прямоугольнику с помощью формулы (15) и просуммировав полученные
результаты, приходим к следующей формуле для приближенного вычисления двойного
интеграла
где S0 = z00 + zm0 + z0n + zmn - сумма значений функции в вершинах
прямоугольника;
- сумма значений функции в узлах, лежащих на сторонах
прямоугольника, не считая вершин;
- сумма значений функции в узлах,
лежащих внутри прямоугольника.
При выполнении условий (16) по аналогии с неравенством (17) получаем
оценку
где
Для оценки погрешности приближенного равенства (18) также справедливо
неравенство (14).
в) Если область D -
ограничена линиями x = a, x = b, y = φ(x), y = ψ(x), то в качестве приближенного значения двойного интеграла
можно рассматривать среднее арифметическое результатов приближенных
вычислений двойного интеграла по формулам (4), (6), (7) и (8)
где ∆ωi(i =
0,1,2,…,m-1) вычисляются по формуле (3), а
значения zij-по формулам (5). Формулы (4), (6),
(7), (8) и (20) целесообразно использовать в тех случаях, когда точное или
приближенное вычисление площадей ∆ωi не вызывает особых затруднений.
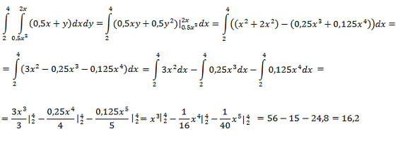
Вычислить двойной интеграл
если область D ограничена линиями
x = 2, x = 4, y =
0,5x2 и y = 2x (рис. 6).

Так как y
= φ(x), y = ψ(x), то φ(x) = 0,5x2; ψ(x) = 2x.
Найдем точное значение интеграла:
точное = 16,2.
Приближенное значение с помощью программы (приложение 3):
Iприбл.
= 16,359
Абсолютная и относительная погрешность найденные с помощью
программы(приложение 3):
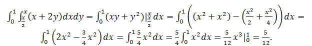
Вычислить двойной интеграл
если область D задана
неравенствами 0 ≤ x ≤ 1,
(рис. 7).
Рис. 7
Так как y
= φ(x), y = ψ(x), то φ(x) =
,
ψ(x) = x.
Найдем точное значение интеграла:
Iточное
≈ 0,417.
Приближенное значение с помощью программы (приложение 1):
Iприбл. = 0,216
Абсолютная и относительная погрешности
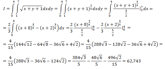
3. Вычислить
двойной интеграл
где D- прямоугольник 0 ≤ x ≤ 4, 1 ≤ y ≤ 7 (рис. 8)
Рис. 8
Так как y
= φ(x), y = ψ(x), то φ(x)
= 1, ψ(x) = 7.
Сначала найдем точное значение интеграла:
точное = 62,743.
Приближенные значения интеграла, найденные с помощью программы (приложения
1,2,3):
Метод прямоугольников (формула (4)):
Метод прямоугольников (формула (6)):
Метод прямоугольников (формула (7)):
Метод прямоугольников (формула (8)):
Метод прямоугольников (формула (9))::
Метод трапеций (формула (20)):
Абсолютная и относительная погрешности вычислений:
Были рассмотрены примеры, которые решались с помощью аналога формулы
прямоугольников и аналога формулы трапеций. В ходе решения данных примеров
наиболее точной оказалась формула (20) аналога формулы трапеций.
Заключение
В данной курсовой работе были рассмотрены два метода приближенного
вычисления двойных интегралов: аналог формул прямоугольников и аналог формулы
трапеций.
Результатами исследования по данной теме курсовой работы являются:
) представление теоретического материала по данной теме;
) решение примеров на тему «Двойных интегралов;
) реализация численного интегрирования функции двух переменных;
) были написаны программы, для вычисления двойных интегралов аналогом
формул прямоугольников и аналогом формулы трапеций.
Из рассмотренного в практической части примера следует, что значение,
найденное с помощью аналога формулы трапеции, является более точным по
сравнению с аналогом формул прямоугольников.
Рассмотренные методы по степени сложности не существенно отличаются друг
от друга, поэтому на практике можно решать как одним, так и другим методом, в
зависимости от ситуации.
Список литературы
1. Данко
П.Е., Попов А.Г., Кожевникова Т.Я., Данко С.П. Высшая математика упражнениях. -
7-е изд., испр. - М.: ООО «Издательство Оникс»: ООО «Издательство «Мир и
Образование», 2008. - 816 с.
2. Кратные
интегралы. Криволинейные и поверхностные интегралы. Элементы теории поля:
Пособие к практической части курса. - Глазов, 2004. 44 с.
. Пантина
И.В. Вычислительная математика: −М.:Маркет ДС, 2010. - 175 с.
. Ракитин
В.И., Первушин В.Е. Практическое руководство по методам вычислений с
приложением программ для персональных компьютеров: Учеб. пособие. - М.: Высш.
шк., 1998. - 383 с.
5. Статья
из Википедии. - URL: <http://ru.wikipedia.org/wiki/Интеграл> Дата
обращения: 21.11.2012
. Турчак
Л.И. Основы численных методов. - М.: Наука, 1987. - 320 с.
Приложения
Приложение 1
Текст программы на формулу (4) «Аналог формул прямоугольников»
program
m1;;f(x,y:real):real;:=sqrt(x+y+1);;m=4;n=4;,y:array [0..100,0..100] of
real;,w:array [0..100] of
real;,b,c,d,s,k,P,P1,P2:real;,j:integer;:=62.743;('P=',
P);:=0;:=4;:=1;//fi(x):=7;//psi(x)[0]:=0; x[1]:=1; x[2]:=2; x[3]:=3;
x[4]:=4;i:=0 to m doj:=0 to n do[i,j]:=c+((j/n)*(d-c));;i:=0 to m-1
do[i]:=((d-c)/n)*(x[i+1]-x[i]);;i:=0 to m-1 doj:=0 to n-1
do[i,j]:=sqrt(x[i]+y[i,j]+1);;:=0;i:=0 to m-1
do:=s+w[i]*(z[i,0]+z[i,1]+z[i,2]+z[i,3]);('s=',
s:4:3);:=(abs(s-P)/P)*100;('P1=', P1:4:3);:=abs(P-s);(('P2=', P2:4:3);.
Приложение 2
Текст программы на формулу (9) «Аналог формул прямоугольников»
program
m1;;f(x,y:real):real;:=sqrt(x+y+1);;m=4;n=4;z: array [0..100, 0..100] of
real;,y: array [0..100] of
real;,b,c,d,s,k,P,P1,P2:real;,j:integer;:=62.743;:=0;:=4;:=1;//fi(x):=7;//psi(x)[0]:=0;
x[1]:=1; x[2]:=2; x[3]:=3; x[4]:=4;[0]:=1.4; y[1]:=2.8; y[2]:=4.2; y[3]:=5.6;
y[4]:=7;:=0;i:=0 to m-1 doj:=0 to n-1
do[i,j]:=f(x[i],y[j]);:=s+z[i,j];;;:=((b-a)*(d-c))/(m*n)*s;('k=',
k:4:3);:=(abs(k-P)/P)*100;('P1=', P1:4:3);:=abs(P-k);(('P2=', P2:4:3);.
Приложение 3
program
m1;;f(x,y:real):real;:=sqrt(x+y+1);;m=4;n=4;,y:array [0..100,0..100] of
real;,w:array [0..100] of
real;,b,c,d,s,s1,s2,s3,s4,k,P,P1,P2:real;,j:integer;:=62.743;('P=', P);:=0;:=4;:=1;//fi(x):=7;//psi(x)[0]:=0;
x[1]:=1; x[2]:=2; x[3]:=3; x[4]:=4;i:=0 to m doj:=0 to n
do[i,j]:=c+((j/n)*(d-c));;i:=0 to m-1 do[i]:=((d-c)/n)*(x[i+1]-x[i]);i:=0 to m
doj:=0 to n do[i,j]:=sqrt(x[i]+y[i,j]+1);:=0;:=0;:=0;:=0;:=0;i:=0 to m-1
do:=s1+w[i]*(z[i,0]+z[i,1]+z[i,2]+z[i,3]);('s1=', s1:4:3);i:=0 to m-1
do:=s2+w[i]*(z[i+1,0]+z[i+1,1]+z[i+1,2]+z[i+1,3]);('s2=', s2:4:3);i:=0 to m-1
do:=s3+w[i]*(z[i,1]+z[i,2]+z[i,3]+z[i,4]);('s3=', s3:4:3);i:=0 to m-1
do:=s4+w[i]*(z[i+1,1]+z[i+1,2]+z[i+1,3]+z[i+1,4]);('s4=',
s4:4:3);:=0.25*(s1+s2+s3+s4);('s=', s:4:3);:=(abs(s-P)/P)*100;('P1=',
P1:4:3);:=abs(P-s);('P2=', P1:4:3);.