Привод технологической машины
Введение
привод машина вал зубчатый
Редуктором называют механизм, состоящий из
зубчатых или червячных передач, выполненный в виде отдельного агрегата и
служащий для передачи вращения от вала двигателя к валу рабочей машины.
Редуктор используется для синхронизации угловой
скорости источников механической энергии с соответствующим изменением
вращающего момента.
Целью данного курсового проекта проектирование
привода, включающего в себя электродвигатель,одноступенчатый цилиндрический
редуктор и цепную передачу. В ходе работы над проектом мы выполним сборочные
чертежи и чертежи деталей.
Моя задача - спроектировать привод, включающий в
себя цилиндрический одноступенчатый редуктор с горизонтальным расположением
валов и цепную передачу: выполнить расчет основных параметров привода;
рассчитать зубчатую передачу; рассчитать и спроектировать валы, определить
опорные реакции, построить эпюры изгибающих и крутящих моментов, проверить валы
на усталостную прочность; подобрать подшипники и проверить их
работоспособность; выбрать шпонки для валов и выполнить проверочный расчет на
смятие;сконструировать корпус редуктора.Выбрать марку масла для зубчатого
зацепления и подшипников. Рассчитать требуемый объём масла, заливаемого в
корпус редуктора, используя методические разработки профессора Баранова Г.Л.
.Кинематические и энергосиловые параметры
привода
.1 Подбор электродвигателя
Требуемая мощность электродвигателя
Pтр=
,
где P - мощность на валу исполнительного
механизма, P=6,5 кВт;
η0 - общий КПД привода,
η0 =
здесь η1 - КПД зубчатой
передачи, η2
-КПД
цепной передачи, η3-
КПД
одной пары подшипников качения, примем η1 = 0,98, η2=0.96,
η3=0,99.
Тогда Pтр=
По требуемой мощности из табл. П.1
[1] выбираем асинхронный электродвигатель 4А132M6 с ближайшей большей
стандартной мощностью Pэ = 7,5 кВт, синхронной частотой вращения nс= 1000 мин-1
и скольжением S= 3,2 %.
Частота вращения вала электродвигателя
= nс (1 -
) =
Общее передаточное число привода
uo=
=
Передаточное число зубчатой передачи
принимаем =4
Передаточное число цепной передачи
ц=
.2 Частоты вращения валов
Быстроходный вал редуктора:=968
мин-1
Тихоходный вал редуктора:
=
.3 Мощности, передаваемые валами
=Pтр=7,19 кВт
=
=
.4 Вращающие моменты, передаваемые
валами
Крутящий момент на валу определяется
по формулеTi=9550
,
гдемощность на валучастота вращения вала
Быстроходный вал:T1=
Н*м
Тихоходный вал: T2=
Н*м
=
Н*м
2. Расчет зубчатой передачи
.1 Выбор материалов зубчатых колес
В качестве материала для зубчатых колес выбираем
марку стали 45.
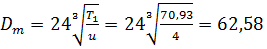
Ориентировочно посчитаем размер требуемой
заготовки:
мм
мм
Диаметр заготовки колеса определится
как:=uDm=4*62,58=250,32 мм.
Окончательно выбираем материалы:
материал заготовки шестерни
|
Сталь
|
Термообработка
|
Твердость
зуба
|
|
|
40Х
|
Улучшение
|
269…302НВ
|
23.6E+0.6
|
-материал заготовки
колеса
|
Сталь
|
Термообработка
|
Твердость
зуба
|
|
|
40Х
|
Улучшение
|
235…262НВ
|
16.8E+0.6
|
.2 Допускаемые контактные напряжения
Рассчитываем допускаемое контактное напряжения
для шестерни и колеса по следующим формулам:
где j=1 для шестерни, j=2 для колеса;
sHlimj- базовый предел
контактной выносливости, справочная величина, при выборе учитывается вид
термообработки и механические свойства материалов.
-коэффициент
безопасности (
)
sHlim1 = 2HB1+70=2*285.5+70=641 МПа
sHlim2 = 2HB2+70=2*248,5+70=567 МПа
средняя твердость
зуба
коэффициент долговечности;
j - базовое число циклов при действии контактных
напряжений,
Эквивалентное число
циклов контактных напряжений
= 23,5*106, =16,8*106
=0,124*2,44*108=30,5*106=0,125*0,61*108=7,63*106
где с - число зацеплений колеса за один оборот,
с = 1 ;частота вращенияj-го колеса
- суммарное число
циклов зацепления за все время работы передачи
-коэффициент
приведения переменного режима работы к постоянному, т.к. режим работы средний
нормальный, то принимаем
S1 = 60 n1
cth=60*968*4204,8=2,44*10
число зацепления, принимаем с=1
-суммарное время
работы передачи, часы
=365*8*24*0,8*0,5*0,15=4204,8
ч
-срок службы, год
-коэффициент
использования привода в течение года
-коэффициент
использования привода в течение суток
ПВ- продолжительность включения
Допускаемые контактные напряжения для шестерни и
колеса
sHP1=
sHP2=
Поскольку NHE1>NH01, примемKHL1= 1
=
Окончательно принимаем:
582,728МПа
2.3 Допускаемые напряжения изгиба
где sFlimj-
предел выносливости зубьев при изгибе (табл.7) [1]
sF lim 1 = 1,75HB1= 1.75*
=
499.62 МПа
sFlim 2 = 1,75HB2= 1.75*
=
434,88 МПа
-коэффициент
безопасности при изгибе, принимаем
-коэффициент
реверсивности, принимаем
- коэффициент
долговечности при изгибе:
KFL1 =
KFL2 =
- базовое число циклов при изгибе; NF0 = 4•106.-
эквивалентное число циклов напряжений при изгибе
NFE1 =
=
Допускаемые напряжения изгиба:
FP1=
FP2=
Коэффициент эквивалентности при
действии напряжений изгиба определяется в зависимости от режима нагружения и
способа термообработки. Для среднего нормального режима работы
F1,2 = 0.06
Расчетные напряжения изгиба
удовлетворяют условию прочности при изгибе.
3.Проектный расчет зубчатой передачи
.1 Межосевое расстояние
где
- коэффициент вида передачи,
=450;Н -
коэффициент контактной нагрузки, предварительно примем KН =1,2
Коэффициент ширины зубчатого венца
=0,315;
([1], с.4)
=
После проведения всех расчетов
полученное значение округлили до ближайшего табличного и приняли (в соотв. ГОСТ
2185-56)
.2 Суммарное число зубьев. Модуль.
Число зубьев шестерни и колеса
Модуль выберем из диапазона:
=
(0.01…0.02)aw=(0,01...0,02)140=1,4...2,8 мм
Округлим m до стандартного значения
(табл. 1): m= 2 мм
=
=
=140
Число зубьев шестерни
Z1=
=
Число зубьев колеса
= Z
- Z1=140-28=112
.3 Фактическое передаточное число.
Геометрические размеры зубчатых колес
ф=
=
-фактическое передаточное отношение
Значение uфне должно отличаться от
номинального более чем на 2.5 %
при u
4.5 и более чем на 4 % при u>
4.5.
u= 100
=
Коэффициенты смещения шестерни и
колеса: x1=0; x2= x
- x1=0
После расчетов получим значения
диаметров делительных окружностей
шестерни: d1 =
колеса: d2 =
Диаметры окружностей вершин:
В итоге получим диаметры окружностей вершин:
шестерни: da1 = 56+2*2*1= 60 мм
колеса: da2=224+2*2*1=228 мм
Расчет диаметров окружностей впадин производим
по формуле:
Получившиеся после расчетов значения таковы:
для шестерни:df1 = 56-2*2*1,25= 51 мм
для колеса:df2 =224-2*2*1,25=219 мм
Ширина зубчатого венца колеса:
После расчетов округляем значение ширины венцадо
ближайшего числа из ряда нормальных линейных размеров (ряд на с.14 ) [1] (в
соответствии с ГОСТ 6636-69) и получаем размер bw2=
ψbaaw=0,315*140=44,1 мм
Округлим bw2 до ближайшего числа из ряда
=45 мм ГОСТ 6636-69
Ширину венца шестерни bw1 примем на 5 мм больше
чем bw2:
bw1= 48 мм ГОСТ 6636-69
.4 Окружная скорость в зацеплении и степень
точности передачи
V=
=
Степень точности передачи выбираем
([1], с) в зависимости от окружной скорости в зацеплении:
4.Проверочный расчет зубчатой передачи
.1 Проверка зубьев на прочность по контактным напряжениям
Где Zσ- коэффициент
вида передачи, Zσ= 9600, для
косозубых передачН - коэффициент контактной нагрузки,
Коэффициент
неравномерности распределения нагрузки между зубьями:
где А = 0,15 для косозубых передач; -
коэффициент, учитывающий приработку зубьев
При НВ2≤350 для определения Kw используем
выражение
-коэффициент
распределения нагрузки по длине зуба
где K
- коэффициент распределения
нагрузки в начальный период работы, определяемый по табл.9 [1] в зависимости от
коэффициента ширины венца по диаметру
ψbd = 0.5 ψba (u+
1)=0,5*0,315(4+1)=0,787
По значению
определим K
= 1.12
методом линейной интерполяции, НV -Динамический коэффициент определим потабл.10
[1], методом линейной интерпретации, KНV= 1.15
=1,246
Допускается перегрузка по контактным
напряжениям не более 5%, рекомендуемая недогрузка до 15%. Расчет перегрузки или
недогрузки выполним по формуле:
ΔσH =100
=
.2 Напряжение изгиба в зубьях
шестерни
В этой формуле:
коэффициент формы зуба находится по
формуле:
=
коэффициент смещения
-коэффициент нагрузки при изгибе,
находится при помощи формулы:
-коэффициент, учитывающий
распределение напряжений между зубьями, определяется по формуле:
KFα=1
-коэффициент, учитывающий
распределение напряжений по длине зуба, определяется по формуле:
KFβ= 0.18 + 0.82K
=0.18+0.82*1.12=1.1
-коэффициент,учитывающий
динамические нагрузки, определяется по формуле:
= 1+ 2,67(KHV -
1)=1+2,67(1.15-1)=1.4
После проведения вышеперечисленных
вычислений, мы определили, что KF=1*1.18*1.4=1.54
После определения всех величин,
необходимых для нахождения напряжения изгиба в зубьях шестерни и подстановки
полученных значений в расчетную формулу, получили значение:
sF1=
<
МПа
.3 Напряжение изгиба на зубьях
колеса
=
После произведения всех необходимых
расчетов получим величину напряжения изгиба на зубьях колеса sF2=
<
. Усилия
зацеплений
- окружная сила в зацеплении


-радиальная сила в зацеплении
Н
. Ориентировочный расчет валов.
Подбор подшипников
.1 Ориентировочный расчет валов
.1.1 Быстроходный вал
-допускаемое контактное напряжение,
принимаем
=15МПа
В соответствии с ГОСТ 6636-69
выбираем значение из ряда стандартных значение для диаметров хвостовиков:
.
-диаметр подшипника. Диаметр
упаковки подшипников имеет пятикратные размеры, поэтому принимаем
|
№участка
|
Диаметр,
мм
|
Длина,
мм
|
|
1
|
30
|
45
|
|
2
|
35
|
60
|
|
3
|
40
|
19
|
|
4
|
48
|
35,5
|
|
5
|
60
|
53
|
|
6
|
48
|
35,5
|
|
7
|
40
|
19
|
5.1.2 Тихоходный вал
В соответствии с ГОСТ 6636-69 выбираем значение
из ряда стандартных значение для диаметров хвостовиков:
.
|
№участка
|
Диаметр,
мм
|
Длина,
мм
|
|
1
|
55
|
90
|
|
2
|
60
|
48
|
|
3
|
65
|
50
|
|
4
|
70
|
82
|
|
5
|
80
|
10
|
|
6
|
75
|
10
|
|
7
|
65
|
23
|
-диаметр колеса.
.2 Подбор подшипников
В качестве опор валов используем радиальные
шариковые подшипники по ГОСТ 8338-75 легкой серий.
В качестве подшипников выбираем подшипники
радиальные однорядные (ГОСТ 8338-75)
Для быстроходного вала принимаем подшипники N208
Размеры подшипника: d = 40 мм, D = 80 мм, B =
18мм
Динамическая грузоподъёмность C = 30.7 кН
Статическая грузоподъёмность C0 = 19.0 кН
Для тихоходного вала принимаем подшипники N213
Размеры подшипника: d = 65 мм, D = 120 мм, B =
2.5 мм
Динамическая грузоподъёмность C = 56.0 кН
Статическая грузоподъёмность C0 = 34.0кН
6. Размеры основных элементов корпуса
-толщина стенки,
определяется по формуле:
В нашем случае принимаем
Диаметр фундаментного болта равен:
После расчета полученное значение округлим до
ближайшего большего диаметра из ряда метрических резьб (табл.3 [5])) таким
образом
Принимаем t= 3мм
Диаметры болтов крепления крышки корпуса к
основанию:
у подшипников dб2 = (0.7…0.75)dб1
на фланцах dб3 = (0.5…0.6)dб1
После
округления до стандартных значений: б2 = 16 мм;б3 = 10мм;
Расстояние
от внутренней стенки корпуса до края лапы
До
оси фундаментального болта
Ширина
фланцев у подшипников
где
t=4мм - высота бобышки.
Расстояние
от внутренней стенки корпуса до оси болта с диаметром dб2
Ширина
боковых фланцев
Расстояние
от внутренней стенки корпуса до оси болта с диаметром dб3
7. Расчет и проектирование валов
.1 Быстроходный вал
Расчет выполняется на кручение по пониженным
допускаемым напряжениям [
k]= (0,025…
,03)
, МПа. Здесь
предел
прочности материала вала, МПа. Ориентировочно определим диаметр вала в опасном
сечении по формуле 1.5 [1], мм
=
=
=30 мм
где
Т - крутящий момент в опасном сечении вала, T=70.93 Н×м
Полученное
значение округлим до ближайшего числа из ряда стандартных чисел:
=
30 мм
Определение
опорных реакций
Горизонтальная
плоскость
Г
=
0.922+0.461=
0.461Г =
Вертикальная
плоскость
В
=
2.533+1.053
0.594=2.992
кНВ =
72
1.053*92.5)/2*72=0.594
кН
Радиальные опорные реакции:
R1 =
=3.027 кН=
= 1.699 кН
.2 Тихоходный вал
Расчет выполняется на кручение по
пониженным допускаемым напряжениям [
k]= (0,025… ,03)
, МПа.
Ориентировочно определим диаметр вала в опасном сечении по формуле
=
= 55 мм
где
Т - крутящий момент в опасном сечении вала, T= 269.93 Н×м
Полученное
значение округлим до ближайшего числа из ряда стандартных чисел:
=50
мм
Определение
опорных реакций
Горизонтальная
плоскость
Г
=
0.922-0.461=0.461
кНГ =
Вертикальная
плоскость
R1В =
-(2.533+2.054+0.2635)=-4.850
кНВ =
Радиальные опорные реакции:
R1 =
= 4,87 кН=
= 0.53 кН
Уточненный расчет для быстроходного
вала
. Наименование опасного сечения - 1
. Моменты и силы в опасном сечении
Суммарный изгибающий момент
=
= 97,4 Н×м
где MГ - изгибающий момент в
горизонтальной плоскости, MГ = -97,4 Н×м;изгибающий момент в вертикальной плоскости MB=
0 Н×м.
. Геометрические характеристики
опасного сечения
Значения площади поперечного сечения
A, осевого
и полярного
моментов
сопротивлений для типовых поперечных сечений определяют по формулам.
Для сплошного круглого вала
=
,
=
,
=
;=
,
=
,
=
;= 1256 мм2
= 6280 мм3
= 12560 мм3
. Суммарный коэффициент запаса
прочности
Определяем по формуле (2.5 [1]):
=
S=
где
и
- коэффициенты запаса прочности по
нормальным и касательным напряжениям.
Условие прочности вала имеет вид
[S]
где [S] - допускаемый коэффициент
запаса прочности.
Рекомендуемое значение [S] =2…2.5.
Значения
и
определяют
по формулам
=
=
=5,33
где
и
- пределы выносливости материала
при симметричном цикле изгиба и кручения;
и
- амплитуды напряжений цикла;
и
- средние
напряжения цикла,
и
-
коэффициенты перехода от пределов выносливости образца к пределам выносливости
детали,
и
-
коэффициенты чувствительности к асимметрии цикла.
Значения
и
равны:
= 0,02(1+0,01
)=
0.02(1+0,01*900)=0,2
= 0,5
= 0,5*0,2= 0,1
Пределы выносливости материала при
симметричном цикле изгиба и кручения определяются по следующим формулам:
для углеродистых сталей
= 0.43
= 0.43*900= 387 МПа
= 0.58*387= 224,46 МПа
здесь
- предел прочности материала вала
При вычислении амплитуд и средних
напряжений цикла принимают, что напряжения изгиба меняются по симметричному
циклу, а касательные по наиболее неблагоприятному отнулевому циклу. В этом
случае
=
=
=15,45МПа
-
отсутствует
=
=
=
= 2,82МПа
где
и
- эффективные коэффициенты
концентрации напряжений;
и
-
коэффициенты влияния размера поперечного сечения вала;
/
= 4,3
/
=0,6
/
+0,4= 2,98- коэффициент влияния
шероховатости поверхности, определяется в зависимости от
= 0.8 мкм KF= 1.2
- коэффициент влияния упрочнения.
При отсутствии упрочнения
поверхности рассчитываемого участка вала принимают KV =1.
Коэффициенты
= (
+KF-1)/KV,
= (
+KF-1)/KV,
= (4,3+1,2-1)/1,
=
(2,98+1,2-1)/1
В результате расчета получили:
=
=
=5,33
=
=
=24,27=
S=
Усталостная прочность вала в сечении
обеспечена.
Графики, построенные по расчетным
данным задачи, находятся в Приложениях
Уточненный расчет для тихоходного
вала
. Наименование опасного сечения - 1
. Моменты и силы в опасном сечении
Суммарный изгибающий момент
=
= 225Н×м
где MГ - изгибающий момент в
горизонтальной плоскости, MГ = -225 Н×м;изгибающий момент в вертикальной плоскости MB=
0 Н×м.
. Геометрические характеристики
опасного сечения
Значения площади поперечного сечения
A, осевого
и полярного
моментов
сопротивлений для типовых поперечных сечений определяют по формулам.
Для сплошного круглого вала
=
,
=
,
=
;=
,
=
,
=
;= 3316,63 мм2
= 8582 мм3
=17164 мм3
. Суммарный коэффициент запаса
прочности
Определяем по формуле (2.5 [1]):
=
S=
где
и
- коэффициенты запаса прочности по
нормальным и касательным напряжениям.
Условие прочности вала имеет вид
[S]
где [S] - допускаемый коэффициент
запаса прочности.
Рекомендуемое значение [S] =2…2.5.
Значения
и
определяют
по формулам
=
=
=
=
где
и
- пределы выносливости материала
при симметричном цикле изгиба и кручения;
и
- амплитуды напряжений цикла;
и
- средние
напряжения цикла,
и
-
коэффициенты перехода от пределов выносливости образца к пределам выносливости
детали,
и
-
коэффициенты чувствительности к асимметрии цикла.
Значения
и
равны:
= 0.02(1+0.01
)=
0.02(1+0.01*790)= 0,18
= 0.5
=0.5*0,18=
0,09
Пределы выносливости материала при
симметричном цикле изгиба и кручения определяются по следующим формулам:
для углеродистых сталей
= 0.43
= 0.43*790=
339,7 МПа
= 0.58
= 0.58*339,7= 197,026 МПа
здесь
- предел прочности материала вала
При вычислении амплитуд и средних
напряжений цикла принимают, что напряжения изгиба меняются по симметричному
циклу, а касательные по наиболее неблагоприятному отнулевому циклу. В этом
случае
=
=
= 26,22МПа
-
отсутствует
=
=
=
= 7,86МПа
Коэффициенты
= (
+KF-1)/KV,
= (
+KF-1)/KV,
= (4,85+1,2-1)/1=5,05,
=
(3,31+1,2-1)/1=3,51,
где
и
- эффективные коэффициенты
концентрации напряжений;
и
-
коэффициенты влияния размера поперечного сечения вала;
/
= 4,85
/
=0,6
/
+0,4=3,31
- коэффициент влияния шероховатости
поверхности, определяется в зависимости от
= 0.8 мкм KF=1.2
- коэффициент влияния упрочнения.
При отсутствии упрочнения
поверхности рассчитываемого участка вала принимают KV =1.
В результате расчета получили:
= 5,05
= 3,51
=
=
=
=
=
S=
Усталостная прочность вала в сечении
обеспечена.
Графики, построенные по расчетным
данным задачи, находятся в Приложениях
Уточненный расчет быстроходного вала
.Наименование сечения А
. Моменты и силы в опасном сечении
Суммарный изгибающий момент
=
=53,69
где MГ - изгибающий момент в
горизонтальной плоскости, MГ = - 33,192 Н×м;изгибающий момент в вертикальной плоскости
MB=42,205 Н×м.
. Геометрические характеристики
опасного сечения
Значения площади поперечного сечения
A, осевого Wx и полярного Wpмоментов сопротивлений для типовых поперечных
сечений определяют по формулам.
Для сечения вала под подшипники
A=
- bt1, Wx =
-
, Wp =
-
, =
- 10*5,
=
-
,
=
-
;= 656,5Wx =
2128,542Wp =4777,917
. Суммарный коэффициент запаса
прочности
Определяем по формуле (2.5 [1]):
=
=
где Sσ и Sτ- коэффициенты
запаса прочности по нормальным и касательным напряжениям.
Условие прочности вала имеет вид
[S]
где [S] - допускаемый коэффициент
запаса прочности.
Рекомендуемое значение [S] =2…2.5.
Значения
и
определяют
по формулам
Sσ =
=
Sτ =
=
где σ-1 и τ-1 - пределы
выносливости материала при симметричном цикле изгиба и кручения; σa и τa- амплитуды
напряжений цикла; σm
и
τm-
средние
напряжения цикла,
и
-
коэффициенты перехода от пределов выносливости образца к пределам выносливости
детали, ψσ
и
ψτ
- коэффициенты
чувствительности к асимметрии цикла.
Значения
и
равны:
= 0,02(1+0,01
)=
0.02(1+0,01*900)=0,2
= 0,5
= 0,5*0,2= 0,1
Пределы выносливости материала при
симметричном цикле изгиба и кручения определяются по следующим формулам:
для углеродистых сталей
= 0.43
= 0.43*900= 387 МПа
= 0.58*387= 224,46 МПа
здесь σb - предел
прочности материала вала
При вычислении амплитуд и средних
напряжений цикла принимают, что напряжения изгиба меняются по симметричному
циклу, а касательные по наиболее неблагоприятному отнулевому циклу. В этом
случае
σa =
=
=25,224=σm
τa= τm =
=
Коэффициенты
= (
+KF-1)/KV,
= (
+KF-1)/KV,
= (4+1,2-1)/1=4,2,
=
(2,8+1,2-1)/1=3,
где
и
- эффективные коэффициенты
концентрации напряжений;
и
-
коэффициенты влияния размера поперечного сечения вала;
/
= 4
/
=0,6
/
+0,4=2,8
- коэффициент влияния шероховатости
поверхности, определяется в зависимости от
= 3,2 KF= 1,33
- коэффициент влияния упрочнения.
При отсутствии упрочнения
поверхности рассчитываемого участка вала принимают KV=1.
В результате расчета получили:
Значения
и
Sσ =
=
Sτ =
=
=
=
Уточненный расчет тихоходного вала
.Наименование сечения А
. Моменты и силы в опасном сечении
Суммарный изгибающий момент
M =
=39,05
где MГ - изгибающий момент в
горизонтальной плоскости, MГ =33,88 Н×м;изгибающий момент в вертикальной плоскости
MB=-19,41 Н×м.
. Геометрические характеристики
опасного сечения
Значения площади поперечного сечения
A, осевого Wx и полярного Wpмоментов сопротивлений для типовых поперечных
сечений определяют по формулам.
Для сечения с одним шпоночным пазом
=
- bt1, Wx =
-
, Wp =
-
, =
- 20*7,5,
=
-
,
=
-
;
где b - ширина; t1 - глубина шпоночного
паза на валу,
=20t1=7,5= 3696,5Wx = 29471,61Wp
=63128,48
. Суммарный коэффициент запаса
прочности
Определяем по формуле (2.5 [1]):
=
=
где Sσ и
Sτ-
коэффициенты
запаса прочности по нормальным и касательным напряжениям.
Условие прочности вала имеет вид
S
[S]
где [S] - допускаемый коэффициент
запаса прочности.
Рекомендуемое значение [S] =2…2.5.
Значения
и
определяют
по формулам
Sσ =
=
Sτ =
=
где σ-1 и τ-1 - пределы
выносливости материала при симметричном цикле изгиба и кручения; σa и τa- амплитуды
напряжений цикла; σm
и
τm-
средние
напряжения цикла,
и
-
коэффициенты перехода от пределов выносливости образца к пределам выносливости
детали, ψσ
и
ψτ
- коэффициенты
чувствительности к асимметрии цикла.
Значения ψσ и ψτ равны:
ψσ = 0.02(1+0.01
)= 0,178ψτ =
0.5 ψσ =0,089
Пределы выносливости материала при
симметричном цикле изгиба и кручения определяются по следующим формулам:
для углеродистых сталей σ-1= 0.43
σb= 339,70
τ-1= 0.58 σ-1=197,03
здесь σb - предел
прочности материала вала
При вычислении амплитуд и средних
напряжений цикла принимают, что напряжения изгиба меняются по симметричному
циклу, а касательные по наиболее неблагоприятному отнулевому циклу. В этом
случае
σa =
= 1,33 σm -
отсутствует
τa= τm =
=2,14
Коэффициенты
= (
+KF-1)/KV,
= (
+KF-1)/KV,
где
и
- эффективные коэффициенты
концентрации напряжений;
и
-
коэффициенты влияния размера поперечного сечения вала;
/
= 4,85
/
=0,6
/
+0,4=3,31
- коэффициент влияния шероховатости
поверхности, определяется в зависимости от
= 3,2KF=1,33
- коэффициент влияния упрочнения.
При отсутствии упрочнения
поверхности рассчитываемого участка вала принимают KV=1.
В результате расчета получили:
Sσ =
=
Sτ =
=
=
=
8. Проверка долговечности подшипников качения
.1 Подшипник быстроходного вала
Расчет подшипника выполняем для наиболее
нагруженной опоры.
Исходные данные:
Для быстроходного вала принимаем подшипники N208
Размеры подшипника: d = 40 мм, D = 80 мм, B =
18мм
Динамическая грузоподъёмность C = 30.7 кН
Статическая грузоподъёмность C0 = 19.0 кН
Эквивалентная динамическая нагрузка
:
где X - коэффициент радиальной нагрузки;-
коэффициент осевой нагрузки;б= 1,3 - коэффициент безопасности ;Т -
температурный коэффициент, KТ=1 - коэффициент вращения, V=1 при вращении внутреннего
кольца подшипника.
Для шарикоподшипников радиальных однорядных
параметр осевого нагружения определяют по формуле из табл.10 [2]
При 
e следует принять X=1, Y=0.
Таким образом, после нахождения всех
неизвестных и подстановки их значений в расчетную формулу получим
.
Далее рассчитываем долговечность
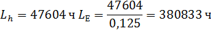
подшипника при максимальной нагрузке, час
:
=8175 ч
где m=3 показатель степени кривой
усталости для шарикоподшипников
После подстановки величин в
расчетную формулу и проведения расчетов получим окончательный результат
Т.к. полученный результат
больше, чем
, то
подшипник удовлетворяет заданным условиям работы.
.2 Подшипник тихоходного вала
Исходные данные:
Для тихоходного вала принимаем
подшипники N213
Размеры подшипника: d = 65 мм, D =
120 мм, B = 2.5 мм
Динамическая грузоподъёмность C =
56.0 кН
Статическая грузоподъёмность C0 =
34.0 кН
Эквивалентная динамическая нагрузка
:
где X - коэффициент радиальной нагрузки;-
коэффициент осевой нагрузки;б= 1,3 - коэффициент безопасности ( [2],с );Т -
температурный коэффициент, KТ=1 - коэффициент вращения, V=1 при вращении
внутреннего кольца подшипника.
Для шарикоподшипников радиальных однорядных
параметр осевого нагружения определяют по формуле из табл.10 [2]
При 
e следует принять X=1, Y=0.
После проведения необходимых
расчетов получим
Долговечность подшипника при
максимальной нагрузке, ч:
где m=3 показатель степени кривой
усталости для шарикоподшипников
В результате получили
больше чем
12500 полученный результат удовлетворяет условию долговечности, а,
следовательно, подшипник удовлетворяет заданным условиям работы.
9. Подбор и проверка шпонок на прочность
.1 Шпонка хвостовика тихоходного вала
В соответствии с ГОСТ 23360-78 выбираем шпонку
|
Диаметр
вала d
|
Сечение
шпонки
|
Глубина
паза
На
валу
|
Длина
шпонок
|
|
b
|
h
|
6
мм
|
L
|
|
70
мм
|
16
мм
|
10
мм
|
|
65
мм
|
Проверяем выбранную шпонку на прочность
=120 МПа
После подстановки в расчетную формулу всех
данным получили значение
, т.к. данное
значение удовлетворяет условию прочности на смятии, то данную шпонку можно
применить.
.2 Шпонка хвостовика быстроходного вала
В соответствии с ГОСТ 23360-78 выбираем шпонку
|
Диаметр
вала d
|
Сечение
шпонки
|
Глубина
паза
На
валу
|
Длина
шпонок
|
|
b
|
h
|
5
мм
|
L
|
|
30
мм
|
10
мм
|
8
мм
|
|
30
мм
|
Проверяем выбранную шпонку на прочность:
120 МПа
=120 МПа
После подстановки в расчетную формулу всех
данным получили значение
, т.к. данное
значение удовлетворяет условию прочности на смятии, то оставляем выбранную
шпонку.
10. Смазка редуктора
.1 Смазка зубчатых колес, выбор сорта масла,
контроль уровня масла
Смазывание зубчатого зацепления производится
окунанием зубчатого колеса в масло, заливаемое внутрь корпуса до уровня,
обеспечиваемого погружение колеса примерно на 10 мм. Объем масляной ванны
Vопределяем по формуле: V = 0,5×5,5 = 2750000 см3
. Способ смазывания.
Для редукторов общего назначения применяют
непрерывное смазывание жидким маслом картерным непроточным способом
(окунанием). Этот способ применяют для зубчатых передач при окружных скоростях
от 0,3 до 15 м/с.
. Выбор сорта масла.
Сорт масла зависит от значения расчетного
контактного напряжения в зубчатом зацеплении (нашем случае σн=
538,061 МПа) и фактической окружной скорости колес (V =2.84 м/с ). Принимаем
масло И-Г-А-32 по ГОСТ 17479.4-87, где И - индустриальное, Г-для гидравлических
систем, А - масло безприсадок, 32 - класс кинематической вязкости (28…37 мм2/с)
. Контроль уровня масла.
Уровень масла, находящегося в корпусе редуктора,
контролируют с помощью различных маслоуказателей. Наибольшее распространение
имеют фонарные маслоуказатели, они удобны для контроля, конструкция их проста и
достаточно надёжна.
. Слив масла.
При работе передач масло постепенно загрязняется
продуктами износа деталей передач. С течением времени оно стареет, свойства его
ухудшаются. Масло, налитое на днокорпуса редуктора, нужно периодически менять. Для
слива масла служит отверстие у дна корпуса, закрываемое резьбовой пробкой с
цилиндрической или конической резьбой. Чтобы в этом месте не было утечки масла,
в месте пробки необходима прокладка.
.Отдушина.крышке корпуса редуктора обычно
предусматривают люк. Люк закрывают плоской крышкой, которая крепится болтами. В
крышке люка устанавливается отдушина. Через нее из редуктора выходит воздух,
который расширяется от выделения тепла в зацеплении. Если у воздуха нет легкого
выхода, то он пробивается через стыки и уплотнения, что способствует вытеканию
смазки.
Для заливки масла и осмотра в крышке корпуса
имеется упомянутый выше люк, закрываемый крышкой. Люк должен быть так
расположен на крышке корпуса, чтобы при открытом люке просматривалось зубчатое
зацепление.
.2 Смазка подшипников
Окружная скорость в зацеплении V =2.84 м/с.
Смазка подшипников масляным туманом возможна. Поэтому нет необходимости
применять маслоудерживающие кольца.
11. Подбор крышек подшипников
Для данных подшипников выбираются крышки закрытого
и открытого типа.
Крышки подшипников изготовляют из чугуна марки
СЧ-21. Различают крышки подшипников привертные и закладные.
Форма крышки зависит от конструкции опоры вала.
Чаще всего торец вала не выступает за пределы подшипника. Поэтому наружная
поверхность крышки плоская.
Опорные поверхности под головки крепежных болтов
необходимо чаще всего обрабатывать. Обрабатывают или непосредственно те места,
на которые опираются головки винтов, или весь поясок на торце в зоне
расположения головок винтов. С точки зрения точности и быстроты
предпочтительнее токарная обработка, чем обработка опорных поверхностей на
сверлильном станке.
При установки в крышке подшипника манжетного
уплотнения предусматривают 2-3 отверстия диаметром 3…4 мм для выталкивания
изношенной манжеты. В некоторых конструкциях отверстие в крышке под манжетное
уплотнение делают сквозным.
Чаще фланцы крышек выполняют круглой формы ;
обычно форма крышки должна соответствовать платика корпусной детали, к которой
крышка привертывается. При этом размер а определяется возможностью установки
винта крепление крышки к корпусу. С целью снижения расхода металла при
изготовлении, как самой крышки, так и корпусной детали, фланцы привертных
крышек иногда изготовляют некруглой формы, сокращая размер а фланца на участках
между отверстиями под венты крепления. Еще большее снижение расхода металла
можно получить, если крышку выполнить квадратной. Чтобы не происходило
значительного снижения жесткости и прочности фланца, при сокращении размера а
не рекомендуется переходить за окружность центров DO крепежных отверстий.
Наружный диаметр крышки выполняют с такими
отклонениями, при которых в сопряжении с корпусом крышка образует очень малый
зазор, препятствующий вытеканию масла из корпуса.
Толщину стенки принимают в зависимости от
диаметра отверстия под подшипник.
Обычно крышки изготовляют из чугуна. Однако с
целью повышения прочности резьбы закладную крышку с резьбовым отверстием под
нажимной винт изготовляют из стали.
12. Уплотняющие устройства
Уплотняющие устройства по принципу действия
разделяют на контактные ( манжетные), лабиринтные и щелевые; центробежные и
комбинированные.
Манжетные уплотнения разделяют на два основных
типа: тип I применяют при скорости скольжения
;
тип II(с пыльником) применяют при
.
В нашем случае целесообразно выбрать манжеты
резиновые армированные 35х58( манжеты выбираются в соответствии с ГОСТ
8752-79).
13. Сборка редуктора
Порядок сборки редуктора.
Перед сборкой внутреннюю полость редуктора
тщательно очищают и покрывают малостойкой краской.
Сборка редуктора производиться на основе чертежа
редуктора.В первую очередь собираются валы:
на быстроходный вал устанавливают
шарикоподшипники, предварительно нагретые в масле до 100 град. С.
в ведомый вал закладывают шпонку и
напрессовывают зубчатое колесо до упора в бурт вала. Так как у нас имеется
специальный насадочный конус то колесо достаточно легко устанавливается на
участок вала со шпонкой. Затем надевают распорную втулку, таким образом чтобы и
устанавливают шарикоподшипники также предварительно нагретые в масле.
Собранные валы: тихоходный ,а затем быстроходный
укладывают в корпус редуктора и надевают крышку корпуса, покрывая
предварительно поверхность стыка крышки и корпуса спиртовым лаком. Для точной
фиксации крышки корпуса относительно корпуса используют 2 конических штифта,
затем затягивают болты, крепящие крышку к корпусу. Болта затягиваются
перекрестно, для более точной фиксации. На каждом этапе сборке желательно
прокручивать валы.
Далее на вал также ставят крышки подшипниковых
узлов.
Закрепляют крышки болтами, проверяя
поворачиванием валов от руки отсутствие заклинивания подшипников (валы должны
свободно поворачиваться).
Ввертывают пробку маслоспускного отверстия с
прокладкой. Устанавливают маслоуказатель. В моём случай маслоуказатель
устанавливается на горизонтальной поверхности смежной с поверхностью крышки.
Заливают в корпус масло и закрывают смотровой
люк крышкой с прокладкой из технического картона, закрепляют крышку болтами.
Собранный редуктор сначала прокручивают вручную,
затем подвергают испытанию на стенде по программе, установленной техническими
условиями. После чего производиться замена масла и редуктор готов к
эксплуатации.
Заключение
Данным проектом выполнено проектирование
привода, включающий одноступенчатый горизонтальный цилиндрический редуктор с
прямыми зубьями.
Произведены расчеты основных узлов и деталей
механического привода:
проектный и проверочный расчеты зубчатой
передачи, с предварительным выбором материалов колес;
расчет нагрузки валов редуктора;
расчет изгибающих и крутящих моментов валов
редуктора;
проектный, а затем проверочный (уточненный)
расчеты валов;
предварительный выбор подшипников качения, а
затем проверка их пригодности;
проверочный расчет шпонок на смятие.
Проведённые проверочные расчёты показали, что
конструкция спроектированного редуктора соответствует указанным в задании
характеристикам.
По расчетным данным выполнен сборочный чертеж
редуктора в масштабе 1:1
Библиографический список
.
Баранов Г.Л. Расчет зубчатых цилиндрических передач/ Г.Л.Баранов. Екатеринбург:
УГТУ, 2005. 31 с.
.
Баранов Г.Л. Расчет валов, подшипников и муфт/ Г.Л.Баранов. Екатеринбург: УГТУ,
2005. 46 с.
.
Баранов Г.Л. Расчет ременных и цепных передач/ Г.Л.Баранов. Екатеринбург: УГТУ,
2005. 29 с.
.
Баранов Г.Л. Расчет соединений/ Г.Л.Баранов. Екатеринбург: УГТУ, 2005. 45 с.
.
Баранов Г.Л. Проектирование одноступенчатого цилиндрического редуктора /
Г.Л.Баранов. Екатеринбург: УГТУ, 2005. 43 с.
Приложения