Положительное направление отсчёта - по
ходу часовой стрелки, если смотреть навстречу оси z.
Положительным направлением вращения
считается направление против хода часовой стрелки, если смотреть с
положительного конца O1 оси вращения OO1.
. Абсолютную скорость точки M.
|
№ варианта
|
Закон вращения
|
Закон относительного значения
|
|
2-2-1 (14 - 2 - 25)
|
|
|
РЕШЕНИЕ:
Будем считать, что в
заданный момент времени плоскость чертежа совпадает с плоскостью диска.
Положение точки М на диске определяется расстоянием 
.
При,
с:
.
Найдем угол, на который повернулся радиус при движении точки М по
окружности:
рад.
Абсолютную скорость точки М
найдем как геометрическую сумму относительной и переносной скоростей:
Модуль относительной скорости
где
При
с:
;
Положительный знак у
показывает, что вектор
направлен в сторону положительных значений
, перпендикулярно радиусу окружности, то есть вертикально вниз.
Модуль переносной скорости
, где
-
радиус окружности, описываемой той точкой тела, с которой в данный момент
совпадает точка М,
-
модуль угловой скорости тела:
При
с:
Таким образом, модуль переносной
скорости при
с равен
Вектор
направлен перпендикулярно радиусу
в сторону вращения.
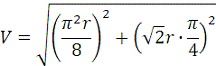
Модуль абсолютной скорости точки М
находим способом проекций:
или
точка скорость ускорение векторный
Абсолютное ускорение точки равно
геометрической сумме относительного, переносного и кориолисова ускорений:
, или в развернутом виде
Модуль относительного касательного
ускорения
где
При
с:
;
Отрицательный знак 
показывает, что вектор 
направлен в сторону
отрицательных значений 
, перпендикулярно
радиусу окружности, то есть вертикально вверх. Знаки 
и 
не одинаковы;
следовательно, относительное движение точки М замедленное.
Относительное нормальное
ускорение
,
то есть при
с:
Вектор
направлен
к центру диска, то есть горизонтально вправо.
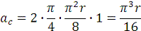
где
-
модуль углового ускорения диска:
При
с:
Таким образом, получаем
Модуль переносного
центростремительного ускорения
или
Вектор
направлен
к центру вращения
Кориолисово ускорение
Модуль кориолисова
ускорения
, где
С учетом найденных выше
значений
и
получаем
при
с:
Вектор 
направлен согласно
правилу векторного произведения, то есть перпендикулярно одновременно векторам 
, в ту сторону, откуда
поворот от 
к 
виден против хода
часовой стрелки, то есть вдоль оси x влево.
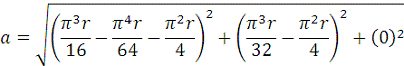
Модуль абсолютного
ускорения точки М находим способом проекций:
ОТВЕТ:
