Программа 'Кинематическое движение'

  • Вид работы:
    Курсовая работа (т)
  • Предмет:
    Информационное обеспечение, программирование
  • Язык:
    Русский
    ,
    Формат файла:
    MS Word
    322,65 Кб
  • Опубликовано:
    2015-03-19
Вы можете узнать стоимость помощи в написании студенческой работы.
Помощь в написании работы, которую точно примут!

Программа 'Кинематическое движение'

Задание на курсовую работу

Исходные данные: По заданным уравнениям s1=s1(t), φ1=φ1(t), φ2=φ2(t) составляют уравнения движения точки М в неподвижной декартовой прямоугольной системе координат Охуz. Механизм робота изображен в положении, соответствующем некоторому моменту времени t.

Перечень подлежащих разработке вопросов:

а) раскрыть вопрос Промышленных роботов и манипуляторов;

б) составить уравнения движения схвата в избранной системе координат;

в) определить проекции скорости на оси координат и скорость схвата по модулю и направлению;

г) построить график траектории движения материальной точки;

д) разработать программу в Delphi по вышеперечисленным вопросам.

Аннотация

К пояснительной записке прилагается диск CD-R с выполненной программой, программным кодом и пояснительной запиской в электронном виде и роликом показывающим наглядно в трехмерном пространстве работу промышленного манипулятора.

Программа «Кинематическая задача» - проект представляет собой программу демонстрации расчета основных параметров кинематического движения и графического отображения траектории движения материальной точки. Программа предназначена для демонстрации знаний и умений, полученных в курсе изучения программирования и основ алгоритмизации.

delphi программа листинг

Содержание

1 Назначение и область применения

Кинематическая задача

.1 Постановка задачи

.2 Применение уравнений кинематического движения для решения кинематической задачи

Описание программы

.1 Общие сведения

.2 Функциональное назначение

.3 Описание логической структуры

.4 Используемые технические средства

.5 Вызов и загрузка

.6 Входные данные

.7 Выходные данные

Руководство программиста

Руководство оператора

Список использованных источников

Приложение А

1 Назначение и область применения

Промышленный робот - автоматическая машина, состоящая из манипулятора и устройства программного управления его движением.

Манипулятор - совокупность пространственного рычажного механизма и системы приводов, осуществляющая под управлением программируемого автоматического устройства или человека-оператора действия (манипуляции), аналогичные действиям руки человека

Промышленные роботы предназначены для замены человека при выполнении основных и вспомогательных технологических операций в процессе промышленного производства.

Важная социальная задача - освобождение человека от работ, связанных с опасностями для здоровья или с тяжелым физическим трудом.

Промышленные роботы решают задачи автоматизации на предприятиях с широкой номенклатурой продукции при мелкосерийном и штучном производстве.

Данные, полученные в результате решения кинематической задачи , позволяют определить основные параметры кинематического движения (траекторию и, максимальный градус поворота и так далее) и представляют ценность для людей науки и конструкторов роботов.

2 Кинематическая задача

.1 Постановка задачи

По заданным уравнениям s1=s1(t), φ1=φ1(t), φ2=φ2(t) составляют уравнения движения точки М в неподвижной декартовой прямоугольной системе координат Охуz. Механизм робота изображен в положении, соответствующем некоторому моменту времени t.

Будем решать задачу перевода сложной системы из одного положения в другое, не рассматривая оптимальность траектории с точки зрения минимальных временных затрат, так как этот вопрос выходит за рамки кинематики.

В наиболее общем виде задача ставится следующим образом. Выбирается неподвижная система координат Oxyz, связанная, например, со станиной сборочного оборудования. Подвижная система координат O1x1y1z1 связана с сопрягаемой деталью. Положение детали, переносимой схватом, относительно неподвижной системы координат Oxyz будет полностью определено, если относительно этой системы координат задано положение подвижной, жестко связанной с деталью, системы координат O1x1y1z1.

.2 Применение уравнений кинематического движения для решения кинематической задачи

Дано:

Начальные уравнения s1=s1(t), φ1=φ1(t), φ2=φ2(t) движения точки М в системе координат Охуz

Найти:

проекции ускорения схвата на оси координат и ускорение схвата по модулю и направлению.

Решение:

Для облегчения решения поставленной задачи механизм робота разделяем на устройство перемещения манипулятора, состоящее, например, из звеньев 2, 4, 3, 5, и манипулятор, собранный из звеньев 6, 7. Это позволяет считать, что переносное движение задается движением устройства перемещения манипулятора, а относительное движение - движением манипулятора относительно устройства перемещения (рисунок 1).


Вводится подвижная система координат O1x1y1z1(рисунок 2).


Составим уравнение скорость точки М определяем на основании теоремы о сложении скоростей при сложном движении точки:

(1)

Переносную скорость точки М находим по формулам плоского движения как скорость точки тела, состоящего из элементов 3, 5, 6, 7:

(2)

Относительная скорость:

(3)

Таким образом получаем следующие проекции вектора абсолютной скорости на координатные оси O1x1y1z1:

 (4)

 (5)

(6)

Тогда:

 (7)

Ускорение точки М находим по теореме о сложении ускорений при сложном движении точки:

(8)

Переносное ускорение находим по формулам для плоскопараллельного движения тела, состоящего из элементов 3, 5, 6, 7:

 (9)

Определяем относительное ускорение:

(10)

Ускорение Кориолиса находим по формуле:


Определяем проекции абсолютного ускорения на оси координат O1x1y1z1:

(12)

 (13)

 (14)

 (15)

3 Описание программы

.1 Общие сведения

Программа «Кинематическое движение» предназначена для определения основных параметров кинематического движения (траекторию и, максимальный градус поворота и так далее). Данная программа обладает удобным в применении интерфейсом, не требующим глубоких познаний принципов работы с ЭВМ. Программа разработана на языке программирования Delphi 7.

Delphi - это мощная объектно-ориентированная система программирования, предназначенная для создания простых и удобных в эксплуатации приложений Windows различной степени сложности и назначения.

Технические требования к компьютеру: процессор 333 МГц и выше; оперативная память 32 Мбайт; 600 Кбайт свободного места на жестком диске.

.2 Функциональное назначение

Программа предназначена для демонстрации умений, закрепления основ и углубления знаний, приемов программирования полученных в курсе изучения программирования и основ алгоритмизации на алгоритмическом языке высокого уровня.

.3 Описание логической структуры

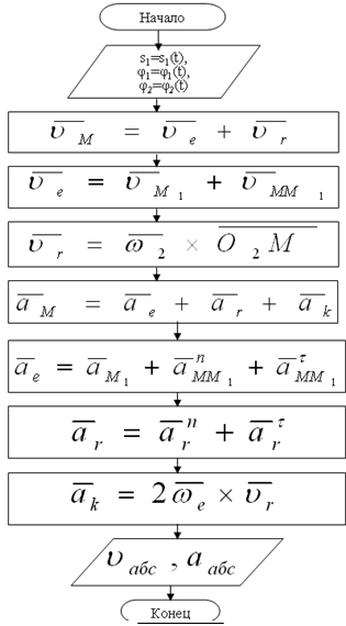
Алгоритм программы представлен на рисунке 4. В зависимости от введенных данных, программа производит необходимые расчеты и выполняет анимированное построение графика.

В данной программе используется множество различных функций, например: для преобразования данных строкового типа в вещественный и наоборот - StrToFloat и FloatToStr; возведение числа в квадрат - sqr; абсолютная величина от числа- abs; округление чисел - round и тому подобное.

В программе так же используются различные компоненты, такие как: label - этот компонент позволяет выводить на форму программы данные строкового типа; edit - используется для введения с клавиатуры необходимых данных строкового типа, которые впоследствии преобразуются в тип данных необходимый для корректной работы программы; button - используется для запуска процедур; combobox - позволяет выбрать необходимые свойства из предложенного списка.

Программа состоит из нескольких процедур. Основными процедурами являются: процедура нажатия кнопки «Рассчитать» и процедура нажатия кнопки «Построить график». Первая процедура позволяет произвести необходимые расчеты, вывести результаты на форму, а так же простроить график. Вторая процедура служит для отображения на форме осей координат и обновления графика, в случае необходимости.

Построение графика осуществляется с помощью свойства формы TDB Chart, которое позволяет отображать на форме различную графическую информацию.

.4 Используемые технические средства

Технические требования к компьютеру: процессор 333 МГц и выше; оперативная память 32 Мбайт; 600 Кбайт свободного места на жестком диске.

Рисунок 3 - Алгоритм решения задачи

.5 Вызов и загрузка

Вызов программы осуществляется путем запуска файла «Кинематическая задача.exe».

3.6 Входные данные

Входные данные: начальная скорость материальной точки, угол наклона к горизонту, коэффициент сопротивления воздуха, некоторый момент времени.

.7 Выходные данные

Выходные данные: дальность полета и максимальная высота подъема материальной точки, время полета и время подъема на максимальную высоту, координаты точки в данный момент времени.

4. Руководство программиста

Программа предназначена для определения параметров кинематического движения и получения навыков работы с графикой и использованием возможностей языка программирования Delphi 7.

Для работы данной программы подойдет любая операционная система Windows. Технические требования к компьютеру: процессор 333 МГц и выше; оперативная память 32 Мбайт; 600 Кбайт свободного места на жестком диске.

Вызов программы осуществляется путем запуска файла «кинематическая задача.exe».

Листинг программы приведен в приложении А.

5. Руководство оператора

Назначение данной программы расчет основных параметров кинематического движения , графическое отображение траектории движения материальной точки. Программа «Кинематическое движение» является единым исполняемым модулем и не требует установки дополнительных программных средств.

Для работы данной программы подойдет любая операционная система Windows. Технические требования к компьютеру: процессор 333 МГц и выше; оперативная память 32 Мбайт; 600 Кбайт свободного места на жестком диске.

Вызов программы осуществляется путем запуска файла «Кинематическая задача.exe», в результате чего на экране появляется окно (рисунок 4), в котором содержится краткое описание порядка действий пользователя при работе с программой.

Рисунок 5 - Окно работы с программой

В данном окне пользователь вводит данные и выбирает необходимые условия.

Затем необходимо нажать кнопку «Рассчитать». В окне появятся вычисленные максимальная скорость и ускорение точки М в м/с (рисунок 5).


Далее пользователь должен нажать кнопку «График», в следствие чего на главном окне программы будет отображен график (рисунок 6).


Список использованных источников

1. Сборник заданий для курсовых работ по теоретической механике [Текст] : учеб. пособие для вузов / под ред. А. А. Яблонского. - М. : Высш. шк., 1985. - 368 с.

. Бать, М. И. Курс теоретической механики [Текст] : учебник для вузов / М. И. Бать, Г. Ю. Джанелидзе, А. С. Кельзон. - М. : Наука, 1991. - 640 с. - ISBN 5-02-014451-7.

. Фаронов, В. В. Delphi. Программирование на языке высокого уровня [Текст] : учебник для вузов / В. В. Фаронов . - CПб. : Питер, 2003. - 640 с. -ISBN 5-8046-0008-7.

. Хомоненко, А. Д. Delphi 7 [Текст] / под общ. ред. А. Д. Хомоненко. - СПб. : БХВ-Петербург, 2008. - 1216 с. - ISBN 978-5-94157-267-0.

Приложение А

Листинг программы

TForm1 = class(TForm)

Label1: TLabel;: TLabeledEdit;: TLabeledEdit;: TLabeledEdit;: TLabeledEdit;: TButton;: TLabel;: TLabel;: TImage;: TButton;: TDBChart;: TLineSeries;: TButton;: TLabel;: TLabel;: TLabel;: TLabel;: TLabel;Button1Click(Sender: TObject);Button2Click(Sender: TObject);Button3Click(Sender: TObject);

{ Private declarations }

{ Public declarations };: TForm1;

{$R *.dfm}TForm1.Button1Click(Sender: TObject);,Ax,Ay,Az,b,c,t,S,f1,f11,f12,d,S1,S2,,f2,f21,f22,Vx,Vy,Vz,V: real;:=strtofloat(LabeledEdit1.Text);:=strtofloat(LabeledEdit2.Text);:=strtofloat(LabeledEdit3.Text);:=strtofloat(LabeledEdit4.Text);:=2*sin(pi*t/8); f1:=0.3*sqr(t); f2:=3/4*sin(pi*t/12);:= b+n*cos(f2);:=2*pi/8*cos(pi*t/8); S2:=-((pi/4)*(pi/8)*sin(pi*t/8));:=2*0.3*t; f12:=2*0.3;:=(pi/12)*3/4*cos(pi*t/12); f22:=-((pi/12)*(pi/12)*sin(pi*t/12));:=S1*cos(f1)-f21*n*sin(f2); Vy:=-S1*sin(f1)+d*f11; Vz:=n*cos(f2)*f21;:=Sqrt(Sqr(Vx)+Sqr(Vy)+Sqr(Vz));:=int(V);:=S2*cos(f1)-d*sqr(f11)*(sqr(f21)*cos(f2)+f22*sin(f2))*n;:=-S2*sin(f1)+d*f12-2*f11*f21*n*sin(f2);:=(f22*cos(f2)-sqr(f21)*sin(f2))*n;:=Sqrt(sqr(Ax)+sqr(Ay)+sqr(Az));:=int(A);.Caption:='Скорость точки М равна '+floattostr(V)+' м/с';.Caption:='Ускорение точки М равно '+floattostr(a)+' м/с*с';.Caption:=floattostr(Vx);.Caption:=floattostr(Vy);.Caption:=floattostr(Vz);;TForm1.Button2Click(Sender: TObject);.Picture.LoadFromFile('Схема.bmp');;TForm1.Button3Click(Sender: TObject);, t, n, c, b:integer;:=strtoint(LabeledEdit1.Text);:=strtoint(LabeledEdit2.Text);:=strtoint(LabeledEdit3.Text);:=strtoint(LabeledEdit4.Text);i:=0 to t do.Series[0].AddXY(0.02*b*i, 2*sin(0.02*(c+n)*i/8), '', clRed);;.

Похожие работы на - Программа 'Кинематическое движение'

 

Не нашли материал для своей работы?
Поможем написать уникальную работу
Без плагиата!
Без нейросетей!