Нормирование точности деталей узлов и механизмов в машиностроении
МИНИСТЕРСТВО
ОБРАЗОВАНИЯ И НАУКИ РОССИЙСКОЙ ФЕДЕРАЦИИ
федеральное
государственное бюджетное образовательное учреждение высшего образования
Сибирский
государственный аэрокосмический университет
имени
академика М.Ф.Решетнева
(СибГАУ)
Факультет
машиноведения и мехатроники
Кафедра
УКС
КУРСОВАЯ
РАБОТА
По
дисциплине: «Взаимозаменяемость и нормирование точности»
Тема:
Нормирование точности деталей узлов и механизмов в машиностроении
Вариант
№ 12
Выполнил: ст.
группы БСМ 13-01
Колесов П. А.
Проверил: ст. преподаватель
Н.В. Захарова
Красноярск
2015 г
Оглавление
посадка размерный цепь червячный
Введение
.
Гладкие цилиндрические соединения
.1
Расчет посадок с натягом
.2
Выбор переходных посадок
.
Расчет подшипников качения
.
Расчет прямобочных шлицевых соединений
.
Размерные цепи
.1
Расчет методом полной взаимозаменяемости
.2
Вероятностный метод расчета размерных цепей
.
Зубчатые и червячные соединения
.1
Расчет показателей зубчатых и червячных соединений
Заключение
Библиографический
список
Приложения
Введение
Курсовая работа по курсу
«Нормирование точности в машиностроении» является первой самостоятельной
конструкторской работой студента. Курсовая работа позволяет закрепить
теоретические положения курса, излагаемые в лекциях, прививает навыки
пользования справочным материалом, стандартами ЕСКД, знакомит студентов с
основными типами расчетов.
Важное место в курсовой работе
занимают вопросы, связанные с обеспечением точности взаимозаменяемых деталей
сборочных единиц. Нормы точности взаимозаменяемости соединений всех типов
регламентируются единой системой допусков и посадок (ЕСДП).
Целью курсовой работы является
более глубокое изучение теоретического материала, привитие навыков работы со
справочной литературой, развитие умения применять теоретический материал для
решения конкретных практических задач по расчету и выбору посадок различных
видов соединений.
При выполнении курсовой работы
прорабатываются основные стандарты на допуски и посадки типовых сопряжений,
затрагиваются вопросы контроля размеров и технических требований.
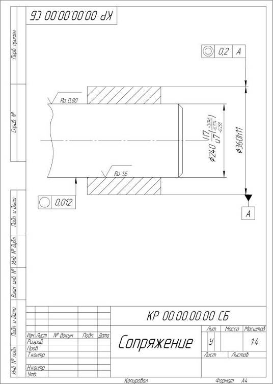
1. Гладкие цилиндрические соединения
1.1 Нормирование посадок с натягом
Дано:
Номинальный диаметр соединения,
мм…………………………….25;
Максимальный предельный натяг Nmax р,
мкм…………………….100;
Минимальный предельный натяг Nmin p,
мкм……………………….45.
Решение:
Расчетныйноминальный диаметр, заданный в
задании, используя табл.1.3 [1], округляем до ближайшего стандартного значения
d = 25мм по ряду Ra40.
Определяем средний натяг предельных натягов,
данных в задаче:
где Nmax р и Nmin p - расчетные
предельные натяги данные в задаче, мкм.
По среднему натягу подбираем посадку
в любой системе (системе вала или системе отверстия) по табл.1.49 [1] и
выписываем табличные натяги Nmax T=46 мкм и Nmin T = 10 мкм подобранной посадки.
,
где Nmax T и Nmin T - табличные
предельные натяги, мкм.
.
Табличный средний натяг близок к
расчетному и ему в системе отверстия соответствует посадка
.
Находим отклонения для полей
допусков отверстия и вала по табл.1.6, 1.9, 1.14 [1].
Записываем комбинированное
обозначение посадки с отклонениями
.
Строим схему расположения полей
допусков выбранной посадки. Указываем натяги. Отклонения на схеме допусков
проставляем в микрометрах.
Поля допусков для посадки с натягом
Подсчитываем максимальный и
минимальный натяги (проверка) для выбранной посадки, согласно схеме полей
допусков по формулам:
где ES, es, EI, ei - верхние и
нижние отклонения отверстия и вала соответственно.

Полученные предельные натяги
совпадают с табличными предельными натягами.
Определяем допуск вала и допуск
отверстия:
Посадка выбрана с одинаковыми
допусками вала и отверстия.
.2 Переходные посадки
Дано:
Максимальный предельный натяг
Nнб……………………………3мкм;
Максимальный предельный зазор
Sнб………………….……........10 мкм
Решение:
) Округлим заданный диаметр
соединения до значения 6 мм, соответствующего ряду Ra40 по ГОСТ 6636-69 [1,
табл. 1.3]
Табличные значения переходных
посадок:
нм= - Sнб
Nнб=3
мкм
Nнм=
-10 мкм
Этим значениям соответствует посадка
в системе
вала [1, табл. 1.48]
) Предельные отклонения отверстия и
вала:
6
4) Схема расположения полей допусков
в посадке:
нб = ES - ei Sнб
= 0,006 -(-0,006) = 12 мкмнм
= EI - esSнм
= (-10) -0 = - 10 мкмнм=
- NнбNнб
= 10 мкм
Табличные значения зазора и натяга
совпадают с заданными
Поля допусков для переходной посадки
) Полное обозначение посадки:
6) Допуск переходной посадки:
T(S,N) = TD + Td(S,N) =
(0,006-0)+(0-(-0,006))= 12 мкм
7) Расчеты для построения кривой
Гаусса:
а) среднеквадратичное отклонение
посадки:
б) зона рассеивания зазоров натягов
и максимальная ордината:
в) относительное отклонение:
действительное отклонение ординаты
с нулевым зазором
г) вероятное количество сопряжений с
зазором:

[1]
д) вероятное количество сопряжений с
натягом:
) Кривая Гаусса:
По оси y откладываем число
сопряжений, т.е. число посадок.
По оси х - рассеивания зазоров или
натягов. На этой кривой центр группирования посадки соответствует центру
посадки Nср.
2. Расчет посадок для подшипников
качения
Дано:
Подшипник 219, класс точности 5,
вращается наружное кольцо, радиальная нагрузка 50000 Н, умеренная нагрузка с
малой вибрацией.
Решение:
)Тип подшипника: шариковый
радиальный однорядный, легкой серии.
Размеры берем по ГОСТ 8338-75
«Подшипники шариковые радиальные однорядные»: d=95мм, D=1705мм, B=32мм.
2)Вращается наружное кольцо,
следовательно, оно является циркуляционно-нагруженным.
Циркуляционно-нагруженное кольцо соединяется с корпусом с натягом.
)Вал сплошной, корпус массивный, так
как не указаны отношения
и
)Интенсивность радиальной нагрузки:
а) R=50000 Н, радиальная нагрузка
б) В=0,032 м, ширина кольца
в) k1 - коэффициент, зависящий от
характера нагрузки. k1 = 1 [3, табл. 2.1, с. 10]
г) k1 - коэффициент, учитывающий
ослабление посадочного натяга при полом вале или тонкостенном корпусе. k2=1,
так как в задаче даны сплошной вал и массивный корпус.
д) k3 - коэффициент неравномерности
распределения радиальной нагрузки R между рядами роликов в двухрядных
подшипниках. k3 = 1[3, табл. 2.4, с. 11]
е) подсчитаем
:
5)Поле допуска для
местно-нагруженного кольца:
Нагрузке в 15625
и диаметру
внутреннего кольца d=95 мм соответствует поле допуска g [3, табл. 2.6, с. 11].
Так как по условию класс точности подшипника 5, то квалитет для вала 5,
записываем g5.
)Поле допуска для циркуляционно
наружного кольца:
Отверстию в корпусе диаметром 170 мм
соответствует посадка в корпус P6 [3, табл. 2.6, с. 12]
)Найдем предельные отклонения для g5
из табл. 1.8 [1], для P6 - из табл. 1.13 [1]. Отклонения для g5: es=-12 мкм,
ei=-27 мкм. Отклонения для P6: ES=-36 мкм, EI=-61 мкм.
) Отклонения для полей допусков
внутреннего и наружного колец шарикового радиального подшипника найдем из табл.
16-19 [3]. Отклонения ищем в графах, где обозначено dm или Dm. Для внутреннего
кольца ES=0, EI=-10мкм, для наружного кольца es=0, ei=-13мкм.
) Строим схемы расположения допусков
для двух соединений: «вал-внутреннее кольцо подшипника» и «отверстие в корпусе
- наружное кольцо подшипника».
Внутреннее кольцо подшипника
является местно-нагруженным, обозначим его поле допуска L5 (5 - обозначение
класса точности). На схеме покажем наибольший зазор Smax так как соединение
вала с внутренним кольцом подшипника производится с небольшим зазором.
Схема расположения полей допусков
соединения «вал-внутреннее кольцо подшипника»
Обозначим поле допуска наружного
циркуляционно нагруженного кольца l5 (5 - класс точности). Кольцо соединяется с
отверстием в корпусе с натягом, поэтому на схеме «отверстие в корпусе -
наружное кольцо подшипника» отметим натяг Nmax.
Схема расположения полей допусков
соединения «отверстие в корпусе - наружное кольцо подшипника»
)Запишем условное обозначение
посадок для двух выше указанных соединений:
посадка для соединения «внутреннее
кольцо-вал»: 95
, где
L5-поле допуска внутреннего кольца (5-обозначение класса точности);
посадка для соединения «отверстие в
корпусе - наружное кольцо»: 170
, где l5-поле допуска наружного
кольца (5-класс точности).
) Эскиз корпуса и вала для
подшипника качения:
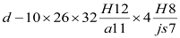
3. Выбор посадок для шлицевого
соединения
В шлицевых прямобочных соединениях
применяются три способа относительного центрирования вала и втулки: по
наружному диаметру(D), по внутреннему диаметру (d) и по боковым поверхностям
зубьев (b). Схемы этих рисунков показаны на рис. 3.1(а,б,в).
Рис. 3.1
Центрирование по D рекомендуется в
случаях повышенных требований к точности соосности элементов соединения, когда
твердость втулки не слишком высока и допускает обработку чистовой протяжкой, а
вал обрабатывается фрезерованием и окончательным шлифованием по наружному
диаметру D. Применяется в неподвижных соединениях, в подвижных, передающих
малый крутящий момент, и т.д., т.е. в соединениях с малым износом поверхностей.
Этот способ центрирования более прост и экономичен.
Центрирование по d применяется в
случаях повышенных требований к совпадению геометрических осей вала и втулки и
когда шлицевую втулку после термической обработки шлифуют по внутреннему
диаметру, если твердость втулки не позволяет обрабатывать деталь протяжкой,
т.е. втулка закалена, или когда может возникнуть коробление валов после
термообработки. Способ значительно дороже, но обеспечивает наибольшую точность.
Применяется для подвижных, так и для неподвижных соединений.
Центрирование по b используется,
когда не требуется особой точности соосности, при передаче значительных
моментов, в случаях, когда недопустимы большие зазоры между боковыми
поверхностями вала и втулки. Этот способ центрирования способствует более
равномерному распределению нагрузки между зубьями, но не обеспечивает высокой
точности центрирования, и поэтому его применяют редко. Применяется только для
подвижных соединений, а также при знакопеременных нагрузках и реверсивном
движений.
Определить вид центрирования,
точность и характер сопряжения для шлицевого соединения.
Построить схему расположения полей
допусков с указанием отклонений, определить предельные размеры всех элементов
сопряжения.
Дано:
|
Номинальные
размеры z x d x D
|
Условия
работы
|
|
10х26х32
|
Неподвижное,
умеренная нагрузка, втулка закалена.
|
Решение:
Исходя из условия задачи, запишем: число шлицев
z = 10, внутренний диаметр d = 26мм, наружный диаметр D = 32мм.
Из табл. 4.71 [2] по параметрам данного
шлицевого соединения находим ширину зуба (шлица) b=4мм, наименьший внутренний
диаметр d1= 23 мм, серия - тяжелая
Исходя из заданных условий работы, выбираем вид
центрирования: центрирование по d - внутреннему диаметру.
4)По табл. 4.73 [2] ищем посадку для
центрирующего параметра d.
Так как соединение подвижное и
точное посадку с зазором самой высокой точности
.
) Для нецентрирующих диаметров b и D
выбираем посадки. Для наружного диаметра D -
, для b -
)Найдем отклонения для всех
параметров, пользуясь табл. 6,7,12 [1]
Для H7 ES=21 мкм, EI=0 (в качестве
диаметра берем размер d=26мм).
Для js6 es=6,5 мкм, ei=-6,5 мкм
(d=26 мм)
Для H12 ES=250 мкм, EI=0 (D=32мм).
Для a11 es=-310 мкм, ei=-470 мкм
(D=32мм).
Для js7 es=+6 мкм, ei=-6 мкм
(b=4мм).
Для H8 ES=18 мкм, EI=0 мкм (b=4мм).
Для внутреннего диаметра вала найдем
d-d1=26-23=3мм=0,003мкм.
)Построим схемы расположения полей
допусков для параметров b, d, D.
)Запишем условное обозначение
данного в задаче шлицевого соединения с соответствующими посадками:
;
где d- вид центрирования;
- число зубьев;
- внутренний диаметр соединения.
Посадка в значении не проставляется, так как в знаменателе поле допуска
отсутствует;
- наружный диаметр соединения;
- посадка для наружного диаметра;
- ширина зуба (шлицы);
- посадка для ширины шлицa.
Запишем обозначения для шлицевого
вала и шлицевой втулки отдельно.
- обозначение втулки
В этом обозначении у внутреннего
диаметра d = 32 мм проставляется поле допуска втулки H7.
- обозначение вала.
4.Расчет размерных цепей
4.1 Расчет методом полной
взаимозаменяемости
Дано:
;
;
;
;
;
;
;
.
Решение:
Номинальный размер замыкающего
звена:
,
где АΔ - замыкающее
звено, АIУB - увеличивающий размер, АIУM - уменьшающий размер, m - число
увеличивающих звеньев, n - число составляющих звеньев.
Средний коэффициент точности a:
,
где TA- допуск замыкающего звена; I-
единица допуска; n- число составляющих звеньев.
Для данной задачи i1=i2=0,9 мкм; i3=
1,08 мкм; i4=i5=1,31мкм; i6 =1,86 мкм; i7=1,86 мкм; i8=2,90 мкм.
Таблица 1:
|
Номинальные
размеры составляющих звеньев,Ai,мм
|
Допуск
замыкающего звена TA, мкм
|
Единица
допуска, i мкм
|
Допуски
составляющих звеньев, TAi,мкм
|
Размеры
звеньев с отклонениями,мм
|
|
|
|
Табличные
|
Откорректированные
|
|
|
1
|
2
|
3
|
4
|
5
|
6
|
|
A1=8
A2=8 A3=14 A4=20 A5=20 A6=60 A7=70 A8=201
|
200
|
0,90
0,90 1,08 1,31 1,31 1,86 1,86 2,9
|
|
8-0,015
8-0,015 14-0,018 20-0,021 20-0,021 60-0,030 70-0,035
|
Единицы допуска для интервалов размеров [3,
табл. 4.4] заносим в таблицу
Квалитет точности 8: значение a ближе к 25 [3,
табл. 4.5]
Значения допусков составляющих звеньев согласно
квалитета и размера заносим в таблицу [3, табл. 4.6]
Проверка допуска. Допускается, чтобы сумма
допусков составляющих звеньев была равна или меньше допуска замыкающего звена,
но не более чем на 5…6 %:
;
мкм;
Размеры уменьшающих звеньев с
отклонениями заносим в таблицу. Так как размеры с
по
охватываемые, то назначаем
отклонения как для валов.
Размеры увеличивающего звена:
Будем считать отклонение замыкающего
звена симметричным, то есть
;
;
4.2 Расчет
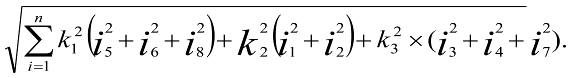
теоретико-вероятностным методом
Рассчитать сборочную размерную цепь
теоретико-вероятностным методом.
Составить схему размерной цепи с
обозначением увеличивающих и уменьшающих размеров. Для этого провести анализ и
выявить уменьшающие и увеличивающие размеры.
Дано:
Номинальные размеры, мм: А1=8; А2=8;
А3=14; А4=20; А5=20; А6=60; А7=70; А8=201.
Законы распределения А1=1; А2=1;
А3=2; А4=2; А5=3; А6=3; А7=3; А8=1.
Допуск замыкающего звена ТА = 200
мкм.
Решение:
) Составляем таблицу, в которую
заносим размеры звеньев и числовые значения единиц допусков составляющих
звеньев.
Таблица 2.
|
Номинальные
размеры составляющих звеньев, мм
|
Допуск
замыкающего звена ТА, мкм
|
Законы
распределения
|
Единица
допуска, i2, мкм
|
Допуски
составляющих звеньев TAi, мкм
|
Размеры
звеньев с отклонениями, мм
|
|
|
|
|
|
|
|
|
|
|
Табличные.
|
Откорректированные
|
|
|
|
|
|
|
|
|
|
|
|
|
|
|
|
|
1
|
2
|
3
|
4
|
5
|
6
|
7
|
|
A1=8
A2=8 A3=14 A4=20 A5=20 A6=60 A7=70 A8=201
|
200
|
1
1 2 2 3 3 3 1
|
0,81
0,81 1,16 1,71 1,71 3,46 3,46 8,41
|
36
36 43 52 52 74 74 115
|
|
8-0,036
8-0,036 14-0,043 20-0,052 20-0,052 60-0,074 70-0,074
|
2) Средний коэффициент точности подсчитываем по
формуле
где
- средний коэффициент точности;
ТА - допуск замыкающего звена;
- коэффициент, соответствующий
закону распределения;
- единица допуска.
для закона нормального распределения
;
для закона равной вероятности
;
для закона треугольника
.
) Знаменатель выражения для а будет
выглядеть следующим образом:
Подставив значения допусков, получим
) По среднему коэффициенту точности
а находим квалитет (см. табл.5.3 3). Число
ближе к 40, поэтому выбираем 9
квалитет.
) Согласно квалитету и размерам
звеньев, находим допуски на составляющие размеры (табл 4.6 3 ) и заносим их в
таблицу.
) Проводим проверку по формуле
7) Проставим размеры с отклонениями
в таблицу 2 (кроме увеличивающего звена), пользуясь следующим правилом:
отклонения для всех охватываемых размеров (как для валов) назначим с допусками
в «минус». Такими являются размеры A1… А7
Отклонения для увеличивающего звена
А8, подсчитываем. Для этого определим средние отклонения для уменьшающих
размеров с A1 по А7:
,
где ΔсА - среднее
отклонение размера; ESAi, - верхнее предельное отклонение размера; EIAi, -
нижнее предельное отклонение размера.
Расчет проводится с учетом знаков
отклонений в мкм:
8) Для замыкающего звена (АΔ) положим
верхнее отклонение, равным допуску, а нижнее - равным 0. ESAΔ = TAΔ = 320 мкм;
EIAΔ
=
0. Тогда среднее отклонение для замыкающего звена
Среднее отклонение для
увеличивающего размера А8 находим по уравнению

cAyм = (- 29)*2 + (-42)*3 + (-
50)+(-60) = -294 мкм;= - 294 + 160 = -134 мкм.
9) Верхнее и нижнее отклонения для
увеличивающего размера А8 определяем из следующих уравнений:
ЕSA8 = cА8 + 1/2ТА8; ЕIA8 = cА8 -
1/2ТА8.
Табличный допуск для A8 взять по
таблице 2. Тогда
расчетные значения отклонений звена
составят:
ЕSA8 = - 134 + 1/2320 = 26 мкм; ЕIA8
= -134 - 1/2320 = - 294 мкм.
Запишем размер А8 с расчетными
отклонениями в таблицу 2.
Допуски, рассчитанные методом полной
взаимозаменяемости, получаются менее жесткими, т. е. точность ниже, чем при
расчете теоретико-вероятностным методом.
5. Зубчатые соединения
Вид зубчатых колес - цилиндрические,
прямозубые, некоррегированные. Параметры: m = 4.5, Z1 = 30, Z2 = 75. Назначение
- колеса прецизионного механизма.
. Согласно назначению зубчатой
передачи определяем, что контакт зубьев и боковой зазор являются группой
показателей точности, которая имеет наибольшее значение для данной передачи
(см. подраздел 4.1 3).
. Определяем степень точности для
выбранной группы показателей по табл. 5.12 2. Из той же таблицы выпишем окружную
скорость.
Степень точности для группы контакта
зубьев равна 5, окружная скорость - 25 м/с.
. В данной задаче для групп
плавности и кинематических показателей назначим одинаковые степени точности на
одну ниже, чем для группы контакта зубьев, т. е. степень точности 6.
. Исходя из величины окружной
скорости, определяем вид сопряжения, учитывая, что наименьший боковой зазор
назначается для тихоходных передач, а наибольший - для быстроходных.
В данной задаче передача
среднескоростная, т. к. скорость 25 м/с, поэтому выбираем вид сопряжения D
. Пользуясь табл. 4.1 [3], назначим
допуск на боковой зазор и укажем класс отклонения межосевого расстояния.
Допуск на боковой зазор - d, класс
отклонения межосевого расстояния - III.
. Запишем обозначение точности
зубчатой цилиндрической передачи:
-6-5 D ГОСТ 1643-81,
где 6 - степень точности
кинематической группы показателей; 6 - степень точности группы плавности; 5 -
степень точности группы контакта зубьев; D - вид сопряжения; d - допуск на
боковой зазор.
. Для одной группы показателей
точности, которая имеет наибольшее значение для данной передачи, определяем
нормируемые показатели. В приведенной выше задаче наибольшее значение имеет
контакт зубьев. Показатели выписываем по табл.5.4 и 5.5 2. Для этого надо
подсчитать делительные диаметры двух данных в задаче колес d1 и d2 ,ширину
каждого зубчатого колеса b1 и b2 ,межосевое расстояние передачи aw. Ширину
зубчатого венца положим равной 1/3 делительного диаметра.
По табл. 5.17 2 выпишем значения
гарантированного бокового зазора jn min и отклонения межосевого расстояния fa.
Для этого подсчитаем межосевое расстояние.
Виду сопряжения D, классу межосевого
расстояния III, его величиной, равной 56 мм, отклонению межосевого расстояния
fa = ± 28 мкм, соответствует гарантированный боковой зазор jn min = 54 мкм.
|
Параметры
и обозначения
|
Формулы
|
|
Передаточное
число, n
|
N
= z2/z1 =2.5; z1 - число зубьев шестерни, z2- число зубьев колеса
|
|
Модуль,
m, мм
|
4.5
|
|
Диаметр
делительной окружности, d, мм
|
d1=mnz1=142.1
d2=mnz2=355.2
|
|
Диаметр
вершин зубьев, da,мм
|
da1=d1+2
mn =151.1 da2=d2+2,5 mn =364.32
|
|
Диаметр
впадин зубьев, dr,мм
|
df1=d1-2,5
mn =130.85 df2=d2-2,5 mn =343.95
|
|
Высота
зуба, h, мм
|
h
= ha+hf=10.125
|
|
Высота
головки зуба, ha, мм
|
ha
= mn =4.5
|
|
Высота
ножки зуба, hf, мм
|
hf
=1,25 mn =5.625
|
|
Межосевое
расстояние, aw, мм
|
aw=(d1+d2)/2
= mn(z1+z2)=248.65
|
Заключение
В курсовой работе были проведены все необходимые
расчеты, которые требуются по заданию. Учтены конструктивные особенности
механизма и условия его работы.
Мы изучили методику расчета гладких
цилиндрических соединений, расчета посадок с натягом, выбор переходных посадок,
расчета подшипников качения, расчета прямобочных шлицевых соединений, расчета
размерных цепей методом полной взаимозаменяемости и теоретико-вероятностным
методом, расчета показателей зубчатых соединений.
Библиографический список
Допуски и посадки: Справочник: В 2 ч./ В.Д. Мягков, М.А.
Палей, А.Б. Романов, В.А. Брагинский. -8-е изд., перераб. и доп. -СПб.:
Машиностроение, 2001. - Ч. 1.
Допуски и посадки: Справочник: В 2 ч./ В.Д. Мягков, М.А.
Палей, А.Б. Романов, В.А. Брагинский. -8-е изд., перераб. и доп. -СПб.:
Машиностроение, 2001. - Ч. 2.
Взаимозаменяемость : Методические указания к выполнени работы
для студентов технических специальностей/ Сост.: Кревина Т.Е., Захарова Н.В.;
СибГАУ.- Красноярск, 2005.
Нормирование точности деталий, узлов и механизмов в
машиностроении. Методические указания к выполнению курсовой работы для
студентов технических специальностей заданной формы обучения/ Сост.: Кревина
Т.Е., Захарова Н.В.; СибГАУ.- Красноярск, 2010.
Приложения