Расчет результатов прямых измерений
Оглавление
Введение
.Расчет результатов прямых измерений
.1 Расчет среднеарифметического значения результатов
наблюдений
.2 Расчет среднеквадратического отклонения результатов
наблюдений
.3 Выявление грубых ошибок
.4 Расчет коэффициентов корреляции результатов наблюдений
.5 Оценка границ доверительного интервала
.6 Расчет предельно инструментальных погрешностей
.6.1 Расчет основной погрешности измерений с помощью
универсального вольтметра В7-16
.6.2 Расчет основной погрешности измерений с помощью
электронно-счетного частотомера Ч3-34
.6.3 Находим предельную инструментальную погрешность с учетом
дополнительных погрешностей
.6.4 Расчет общей погрешности измерений
.6.5 Запись результатов каждого из прямых измерений
. Расчет результатов косвенных измерений
.1 Расчет среднего значения величины косвенного измерения
.2 Расчет абсолютных коэффициентов влияния
.3 Расчет погрешности результата измерения при доверительной
вероятности Р=0,95
.4 Определение результата косвенного измерения с указанием
его погрешностей при Р = 0,95
Заключение
Литература
Приложение А
Введение
Целью курсовой работы является:
· Закрепление теоретических знаний, полученных на лекциях;
· Научиться правильно применять теоретические знания на
практике;
· Закрепить расчёта результатов прямых измерений и исключение
грубых ошибок;
· Закрепить навыки оценки погрешностей косвенных измерений с
использованием результатов многократных прямых измерений.
.Расчет
результатов прямых измерений
Количество наблюдений n =
20, результаты наблюдений можно обработать.
1.1 Расчет
среднеарифметического значения результатов наблюдений
Среднее
арифметическое из этих результатов, то есть величина (
):
(1.1)
где х - измеряемая величина,
,
, … ,
- результаты отдельных измерений,- число отдельных
измерений.
Расчет для
:
Расчета
для
:
Расчёт для R:
Расчёт
для f:
Рассчитанные
среднеарифметические значения приведены в таблице 1:
Таблица
1 - Среднеарифметические значения
|
U1, В
|
U2, мВ
|
R,кОм
|
f, кГц
|
|
1,250725,10,51212,41
|
|
|
|
|
1.2 Расчет
среднеквадратического отклонения результатов наблюдений
Оценка
среднеквадратического отклонения результатов наблюдения (
):
.(1.2)
Расчет для
:
Для следующих наблюдений значений среднеквадратические отклонения
результатов приведены в таблице 2.
Таблица 2 - Среднеквадратические отклонения результатов наблюдения
|
U1, В
|
U2, мВ
|
R, кОм
|
f, кГц
|
|
0,0030,50,0060,04
|
|
|
|
|
1.3 Выявление
грубых ошибок
Выявим и исключим грубые ошибки по критерию Романовского:
(1.3)
>,<
где
xi - это предполагаемая грубая ошибка
Для
начала из таблиц ( см. Приложение А Таблица А.3 - Значения критерия
Романовского) выбираем
(теоретическое).
У нас имеется число измерений 20 и доверительная вероятность p =
0,95,
равно 2,78. Если
>
, то значения являются грубой ошибкой и исключаются.
Если
<
, то
значение не является грубой ошибкой и остается в расчетах.
Начнём проверку:
Для U1 возьмём: 1,262 В
4>2,78
, xi- грубая
ошибка, исключается;
Для
U2
,6>2,78
, xi- грубая
ошибка, исключается;
,5<2,78
, xi- не
грубая ошибка, не исключается;
Для
f
,5>2,78
, xi- грубая
ошибка, исключается.
Укажем
в таблице 3 грубые ошибки
Таблица 3 -Найденные грубые ошибки
|
U1, В
|
U2, мВ
|
f,к Гц
|
|
xi
|
1,262
|
726,9
|
12,59
|
Вычислим среднеарифметические значения без учета промаха. Укажем их в
таблице 4
Таблица 4 - Среднеарифметические значения без учета промаха.
|
U1, ВU2, мВf, кГц
|
|
|
|
|
1,249725,012,39
|
|
|
|
После, найдём среднеквадратические отклонения результатов наблюдения без
учета промаха, укажем их в таблице 5
Таблица 5 - Среднеквадратические отклонения результатов наблюдения без
учета промаха
|
U1, ВU2, мВf, кГц
|
|
|
|
|
0,0020,30,01
|
|
|
|
Таблица
5.1 - СКО для
без учета промаха, высчитанное по формуле (1.4)
|
U1, В
|
U2, мВ
|
R, кОм
|
f, кГц
|
|
0,00050,070,0010,002
|
|
|
|
|
(1.4)
1.4 Расчет
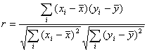
коэффициентов корреляции результатов наблюдений
корреляция коэффициент погрешность отклонение
Рассчитаем коэффициент корреляции по формуле (1.5) для установления
зависимости двух пар.
(1.5)
где
- результаты i-го
наблюдения;
- средние
значения наблюдений;
Если
< 0,7 - корреляция отсутствует, т.е. xi и yj независимы.
> 0,7
- полная функциональная зависимость.
Коэффициент
корреляции между U1 и U2:
После, укажем коэффициент корреляции для других пар в таблице 6
Таблица 6 - коэффициент корреляции для установления зависимости двух пар
|
U1
|
U2
|
R
|
f
|
|
U1
|
1
|
|
|
|
|
U2
|
0,835688
|
1
|
|
|
|
R
|
-0,17679
|
-0,22874
|
1
|
|
|
f
|
-0,52623
|
-0,31768
|
-0,28194
|
1
|
Если коэффициент корреляции меньше по модулю, чем 0,7, следовательно,
измерения независимы. Если больше - зависимые.
|0,836| > 0,7, следовательно, U1 и U2
- зависимые
измерения;
|-0,229| < 0,7, следовательно, U2 и R -
независимые измерения;
|-0,526| < 0,7, следовательно, U1 и f - независимые измерения;
|-0,318| < 0,7, следовательно, U2 и f - независимые измерения;
|-0,282| < 0,7, следовательно, R и f - независимые измерения.
.5 Оценка
границ доверительного интервала
(1.6)
Где
-коэффициент Стьюдента, выбранный в таблице Величины
коэффициента Стьюдента для различных значений доверительной вероятности.
При
n=20 и p=0,95
=2,086.
Для
U1:
Для U2:
Для R:
Для f:
.6 Расчет
предельно инструментальных погрешностей
Рассчитываем предельно инструментальные погрешности результатов прямых
измерений (см. Приложение А Таблицы А.1, А.2 -Метрологические характеристики
средств измерений).
1.6.1 Расчет
основной погрешности измерений с помощью универсального вольтметра В7-16
при Тпр
= 20мс,(1.7)
при Тпр
= 20мс,(1.8)
где Uк, Rк - нормированное значение напряжения (сопротивления);
Uх,
Rх - среднее значение результата наблюдения;
Тпр - время преобразования.
.6.2 Расчет
основной погрешности измерений с помощью электронно-счетного частотомера Ч3-34
;(1.9)
где
- предельная погрешность частоты кварцевого
генератора;
- среднее
значение результатов наблюдений частоты;
ТИЗМ
- время измерений, ТИЗМ = 1; 10 мс; 0,1; 1; 10 с;
= 5· 10-6
- до 12 месяцев после поверки;
Тизм
= 0,1с - т.к. при этой величине достигается необходимая точность при
измерениях.
1.6.3 Находим
предельную инструментальную погрешность с учетом дополнительных погрешностей
где Р =
0,95(1.10)
где
- общая инструментальная погрешность;
- среднее
значение измерений;
(1.11)
где 1,1 - коэффициент, позволяющий получить общую погрешность с
доверительной вероятностью 0,95;
-
инструментальная погрешность;
-
дополнительная погрешность.
Так
как измерения проводились при Т=19˚С и Uc=210В,
то для универсального вольтметра В7-16 появляется дополнительная погрешность
для напряжения, нормальные условия которых Т=(20 ± 1)˚С и U=(220±4,4)В
(при измерении напряжения в диапазоне U=(220±20)В):
(1.12)
где Uk - нормируемое значение напряжений;
Ux -
среднее значение результатов измерения напряжения.
Нормальным условием для напряжения является Т=(20±1)˚С и U=(220±4,4)В, поэтому появляется
дополнительная погрешность сопротивления.
(1.13)
где Rк - нормируемое значение сопротивления;
Rх - среднее значение результатов
измерения сопротивления.
Нормальные условия для частоты (20±4)º С, поэтому дополнительной погрешности
нет.
Для U1:
Для U2:
%
Для R:
%
кОм
Для f:
кГц
1.6.4 Расчет
общей погрешности измерений
Рассчитаем общую погрешность измерения для независимых измерений по
формуле:
(1.14)
Для
зависимых по формуле:
(1.15)
Для U1 (зависимое измерение):
=
0,0075 В
Для U2 (зависимое измерение):
=
0,14698 В
кОм
Для
f (независимое измерение):
кГц
1.6.5 Запись
результатов каждого из прямых измерений
Результаты прямых измерений
|
U1,В
|
U2,В
|
R, кОм
|
f, кГц
|
|
(среднее знач.)1,2490,7250,51212,39
|
|
|
|
|
|
(СКО)0,0020,30,0060,01
|
|
|
|
|
|
,%(осн. погр.) 0,45 0,12 0,06 0,081
|
|
|
|
|
|
,%(доп. погр.) 0,1601 0,0275 0,03906-
|
|
|
|
|
|
(общ. погр.) 0,0075 0,147 0,0038 0,004
|
|
|
|
|
Предельные инструментальные погрешности:
U1 = 
В
U2 = 
В
R = 
кОм
f = 
кГц.
. Расчет
результатов косвенных измерений
Расчет результатов косвенных измерений проводят следующим образом:
2.1 Расчет
среднего значения величины косвенного измерения
Определяют
среднее значение величины косвенного измерения:
(1.16)
2.2 Расчет
абсолютных коэффициентов влияния
Рассчитывают абсолютные коэффициенты влияния
Частная производная:
(1.17)
Коэффициенты влияния всегда рассчитываются именно для значений
наблюдаемых величин.
Возьмем производную для каждой величины.
Для U1:
,
= 0,043
Для U2:
,
Для R:
,
Для f:
,
.3 Расчет
погрешности результата измерения при доверительной вероятности Р=0,95
Рассчитывают погрешности результата измерения:
(1.18)
где
- коэффициент влияния;
-
предельная инструментальная погрешность.
2.4
Определение результата косвенного измерения с указанием его погрешностей при Р
= 0,95
(1.19)
С=0,035
0,0004.
Заключение
В результате большой проделанной работы можно сделать вывод, что при
выполнении всех измерений, мы научились находить, рассчитывать результаты
прямых и косвенных измерений, выявлять грубые ошибки и исключать их.
Литература
1. Сергеев
А.Г., Крохин В.В. Метрология: Учеб. пособие для Вузов. - М.: Логос, 2009.-
408с.: ил.
2. Авдеев
Б.Л. и др. Основы метрологии и электрических измерений. Учебник для Вузов. -
Л.: Энергоатоммиздат. Ленинградское отделение, 2013, 480 с.
. ГОСТ
2.105-95 “Общие требования к текстовым документам”.
. ГОСТ
2.106-96 “Текстовые документы”.
. ГОСТ
7.32-81 “Отчет по НИР”.
Приложение А
(справочное)
Метрологические характеристики средств измерений
Таблица А.1 -Метрологические характеристики средств измерений
|
Вольтметр универсальный В7-16
|
|
Измеряемый параметр. Диапазоны измерений
|
Входные сопротивление и емкость
|
Основная погрешность. Нормальные области значений
|
Дополнительные погрешности. Рабочие области значений.
|
Постоянное
напряжение Ux 0,1 мВ...1000 В UK=1;
10; 100; 1000 В 10 Мом 120 пФ
ТПР
= 20 мс
ТПР
= 2 мс
Норм.
условия:
(20±1) °С; (220±4,4) ВПри изменении
температуры в диапазоне t = (-50...60) °С:
при
измерении напряжения питания в диапазоне
U = (220±20) В:
Гармоническое
напряжение Ux с
содержанием гармоник не более 0,19 0,1 мВ...1000 В UК =1; 10; 100; 1000 В 1 Мом 120 пФ Uк
= 10; 100 В 
f = 20…50 кГц
f = 50…100 кГц
Норм.
условия:
(20±1) °С; (220±4,4) ВПри изменении
температуры в диапазоне
t = (-50...60) °С:
при
измерении напряжения питания в диапазоне
U -= (220±20) В:
Сопротивление
Rx 0,1 Ом...10Мом RK =1; 10;
100 кОм; 1; 10 МОм 
при ТПР = 20 мс
при
ТПР = 2 мс
Норм.
условия:
(20±1) °С; (220±4,4) Впри измерении
напряжения питания в диапазоне
U = (220±20) В:
Примечания:
Погрешности нормированы только для времени преобразования Tпр = 20 мс
Если прибор не устанавливают на нуль и не калибруют, то появляется
дополнительная погрешность с пределом 15 единиц младшего разряда показаний
прибора при Tпр = 20 мс за время 16 часов в
нормальных условиях.
Таблица А.2 - Метрологические характеристики средств измерения
|
Частотомер электронно-счетный Ч3-34
|
|
Измеряемый параметр. Диапазоны измерений
|
Входные сопротивление и емкость
|
Основная погрешность. Нормальные области значений
|
Дополнительные погрешности. Рабочие области значений
|
|
Частота fx
|
При изменении температуры в диапазоне (-30...50) °С предел температурной
нестабильности частоты кварцевого генератора
|
Частота
fx 10 Гц…20 МГц 0,1…120 МГц Вход А: 50 кОм 70 пФ Вход
Б: 50 Ом
;
- до 15
суток после поверки;
|
- до 12 мес. после поверки
|
|
|
|
Период повторения Tx
|
|
|
Период повторения Tx 100 мкс…100 с Гармонический сигнал
|
Вход А: 50 кОм 70 пФ Вход Б: 50 Ом
|
;
|
|
|
Импульсный сигнал
|
|
|
|
|
Интервал времени tx
|
|
0,1
мкс…100 с Входы В, Г 5 кОм 50 пФ
,
|
(длительность фронтов менее 0,5 T0)
|
|
Примечания:
Нормальные условия: t =
(20±4) °С
ТИЗМ - время измерений, ТИЗМ = 1; 10 мс; 0,1; 1; 10
с;
Т0 - период повторения счетных импульсов, Т0 = 0,1;
1; 10 мск; 0,1; 1; 10 мс;
n -
число периодов, заполняемых счетными импульсами, n = 1; 10; 102; 103; 104.
При поверке прибора частота кварцевого генератора устанавливается с
предельной погрешностью dопf = 3
10-8.