|
n
|
Штангенциркуль (диаметр),
мм
|
|
|
Штангенрейсмас (высота),
мм
|
|
|
|
1
|
29,65
|
-0,088
|
0,0077
|
35,45
|
-0,056
|
0,0032
|
|
2
|
29,85
|
0,1125
|
0,0127
|
35,50
|
-0,006
|
0,0000
|
|
3
|
29,65
|
-0,088
|
0,0077
|
35,50
|
-0,006
|
0,0000
|
|
4
|
29,60
|
-0,137
|
0,0189
|
35,55
|
0,044
|
0,0019
|
|
5
|
29,75
|
0,0125
|
0,0002
|
35,45
|
-0,056
|
0,0032
|
|
6
|
29,75
|
0,0125
|
0,0002
|
35,55
|
0,044
|
0,0019
|
|
7
|
29,80
|
0,0625
|
0,0039
|
35,50
|
-0,006
|
0,0000
|
|
8
|
29,85
|
0,1125
|
0,0127
|
35,55
|
0,044
|
0,0019
|
|
∑
|
237,9
|
|
0,064
|
284,05
|
|
0,0122
|
1) Определим среднеарифметическое значение результатов измерения по
формуле (1.1.1)
) Вычислим среднеквадратическое отклонение результатов измерений по
формуле (1.1.3)

мм
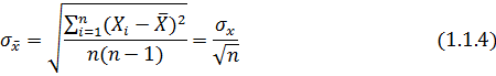
3) Определим среднее квадратическое отклонение среднеарифметического
по формуле (1.1.4)

4) Определим табличное значение критерия Стьюдента
) Определим доверительные границы
) Определим результат измерения по формуле
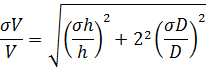
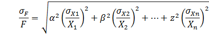
) Для нахождения объема воспользуемся формулой:
Функциональная зависимость между косвенными непосредственными величинами
выражается формулой:
V =
(24647,9 ± 1330,986) мм3
диаметр погрешность сертификат
2. Анализ сертификата соответствия
2.1 Анализ сертификата соответствия на соответствие требованиям
нормативных документов
Проанализировать сертификат соответствия приведенного в приложении А
Название системы сертификации: «Система сертификации ГОСТ Р».
Национальный орган по стандартизации «Федеральное агентство по
техническому регулированию и метрологии».
Позиция 1. Регистрационный номер сертификата в соответствии с правилами
ведения РОССРЕЕСТРА.
РОСС.RU.ЧС02.Н00485
РОСС - знак регистрации в РОСРЕЕСТРЕ РОССТАНДАРТА;- код страны,
расположение организаций - изготовителя данной продукции или оказавшей данную
услугу в виде двухсимвольного буквенного кода латинского алфавита;
ЧС02 - код органа по сертификации сертификации (используются четыре
последних знака регистрационного номера органа по сертификации);
Н - серийно выпускаемая продукция, сертифицированная в добровольной
системе сертификации (код типа объекта сертификации);
- номер объекта регистрации;
Позиция 2. Срок действия сертификата, установленный в соответствии с
правилами и порядком сертификации.
Сертификат действует с 01.08.2010 по 31.07.2013
Номер бланка сертификата - №0045215
Позиция 3. Регистрационный номер органа по сертификации по РОСРЕЕСТРУ,
его наименование, адрес, телефон и факс.
«Орган по сертификации металлопродукции. № РОСС.RU.0001.11ЧС02
Ассоциация стандартизации, сертификации, контроля качества продукции и
услуг (Ассоциация СКС)
Россия , 455000, г.Магнитогорск, пр. Ленина, 38 тел./3519/221548»
РОСС.RU.0001. 11ЧС02
РОСС - принадлежность к Российской Федерации;- местонахождение органа по
сертификации;
- код национального органа принявшего решение о внесении в РОСРЕЕСТР
(0001 - код РОСССТАНДАРТА);
- категория органа по сертификации продукции (11 - орган по сертификации
продукции);
ЧС02 - буквенно-цифровой код конкретного органа по сертификации.
Позиция 4. Наименование, тип, вид, марка, обозначение стандартов,
технических условий или иного документа, по которому она выпускается. Далее
указывается «серийный выпуск», «партия» или «единичное изделие».
Продукция сетка сварная для железобетонных
конструкций по ГОСТ 8478- 81
Серийный выпуск.
Позиция 5. Код продукции по общероссийскому классификатору продукции код ОК 005 (ОКП): 12 7600
Позиция 6. Обозначение нормативных документов, на соответствие которым
проведена сертификация. Если продукция сертифицирована не на все требования
нормативного документа, то указываются разделы или пункты, содержащие
подтверждаемые требования.
Соответствует требованиям нормативных документов ГОСТ 8478- 81
Позиция 7. Товарная номенклатура внешней экономической деятельности.
код ТН ВЭД России: 7314209000
Позиция 8. Наименование изготовителя, его ИНН, адрес, телефон и факс.
Изготовитель
ОАО «Магнитогорский метизно - калибровочный завод «ММК- МЕТИЗ». Россия.
455002, г.Магнитогорск , Челябинская обл., ул. Метизников,5 ИНН 7414001428
Позиция 9. Кому выдан сертификат, наименование получателя, его адрес,
ИНН, телефон, факс.
Сертификат выдан
ОАО «Магнитогорский метизно - калибровочный завод «ММК- МЕТИЗ». Россия.
455002, г.Магнитогорск , Челябинская обл., ул. Метизников, 5 тел (3519)25-09-64
Позиция 10. На основании каких документов выдан сертификат, где и каким
органом, его регистрационные номера.
НА ОСНОВАНИИ
Протокола сертификационных испытаний №28 от 23.07.2010 г., выданного ИЛ
ОАО «Магнитогорский метизно - калибровочный завод «ММК- МЕТИЗ» № РОСС
RU.0001.22ЧС59,
«Акта о результатах анализа состояния производства» 21.07.2010 г.
проведенного ОС металлопродукции
Позиция 11. Дополнительная информация, схема сертификации, периодичность
инспекционного контроля .
ДОПОЛНИТЕЛЬНАЯ ИНФОРМАЦИЯ.
Схема сертификации - 3а периодичность
инспекционного контроля - один раз в год
Позиция 12. Фамилия и инициалы руководителя органа по сертификации и
эксперта, их подписи. Сертификат заверяется печатью органа по сертификации.
Руководитель органа: Б.А. Никифоров
Эксперт :Г.С. Гун
В конце сертификата указано: «Сертификат не применяется при обязательной
сертификации».
2.2 Анализ декларации о соответствии
Проанализировать декларацию о соответствии приведенную в приложении Б.
Позиция 1. Наименование изготовителя, его адрес, телефон, факс,
должность, фамилия, отчество руководителя организации, от имени которой
принимается декларация.
ОАО «ФинСиб СД»
Зарегистрировано: Инспекция МНС России по Железнодорожному району
г.Новосибирск от 31.12.2002г №1025403227090
, г. Новосибирск, ул. Ленина, 48 телефон /факс (383) 218-33-49
В ЛИЦЕ генерального директора Семенова И.Ю.
Позиция 2. Наименование, тип, марка продукции, на которую
распространяется декларация, сведения о серийном выпуске, или партии.
Заявляет что продукция
«Восстанавливающий бальзам для тела с экстрактом окопника, хондроитином и
глюкозамином» серии «Фитомедика»
Серийный выпуск по договору № 06-09-р от 01.10.2009г.
Позиция 3. Наименование, адрес, телефон, факс организации, которая
выпускает данную продукцию, наименование и обозначение документации
изготовителя.
Выпускаемая изготовителем
ЗАО «ТВИНС Тэк» (по заказу ООО «ФинСиб СД»)
, г. Москва, ул. Рябиновая, д. 65, стр. 1
Адрес производства: 117403, г. Москва ул. Никопольская, д. 4
по ГОСТ Р 52952-2008 «Гели косметические. ОТУ»
Позиция 4. Код продукции по общероссийскому классификатору продукции
КОД ОК 005 (ОКП): 91 5800
Позиция 5. Товарная номенклатура внешней экономической деятельности.
В данном сертификате запись отсутствует, это говорит о том, что продукт
не пересекает таможню России.
Позиция 6. Обозначение нормативных документов, соответствие которым
подтверждено данной декларацией.
СООТВЕТСТВУЕТ ТРЕБОВАНИЯМ
ГОСТ Р 52952-2008 «Гели косметические. ОТУ» пп. 3.1.3.,3.1.4.,3.2.,
раздел 4
ГОСТ Р 51391-99 «Изделия парфюмерно косметические. Информация для
потребителей. Общие требования» п. 4.6
Позиция 7. Перечень документов являющихся основанием для принятия
декларации.
Декларация принята на основании
протоколов испытаний № 665И от 14.12.09г. ИЛ ООО «КОСМЕКС» рег. №
РОСС RU.0001.21ПК20 от 21.06.2005, адрес:
119991, Ленинский проспект., д.63/2; № 8995-ТК от 14.12.09г. ИЛЦ ФГУ
«Государственный научный центр дерматовенерологии Федерального агентства по
высокотехнологичной медицинской помощи» рег. № РОСС RU.0001.510608 от 20.04.2004, адрес: 107076, г.Москва
ул.Короленко, д.3, стр. 6. Санитарно-эпидемеологического заключения №
77.99.40.915.Д.000722.01.10 от 10.01.10 до 19.01.2015г. выданного Федеральной
службой по надзору в сфере защиты прав потребителей и благополучия человека
Позиция 8. Срок действия декларации и дата ее принятия.
Дата принятия декларации: 15.02.2010
Декларация о соответствии действительна до: 15.02.2013
Позиция 9. Сведения о регистрации декларации о соответствии
М.О. Заявитель Семенов И.Ю.
Позиция 10. Наименование и адрес органа по сертификации,
зарегистрировавшего декларацию о соответствии.
Орган по сертификации продукции общество с ограниченной ответственностью
«Премьер-ПБ»
, Московская обл., г, Подольск, ул. Комсомольская, 1, тел 8 (495)
580-36-39 ОГРН. 1047796729540
Аттестат рег. № РОСС RU.0001.11АИ86
выдан 28.12.2009г. Федеральным агенством по техническому регулированию и
метрологии
Позиция 11.Дата регистрации и регистрационный номер декларации
Дата регистрации 15.02.2010, регистрационный номер
РОСС RU.АИ86.Д00162
Позиция 12. Инициалы, фамилия руководителя органа по сертификации, его
подпись. Декларация заверяется печатями.
Руководитель органа по сертификации: М.Е.Старцева
2.3 Анализ сертификата соответствия на соответствие
требованиям технического регламента
Проанализировать сертификат соответствия приведенного в приложении Г
Форма сертификата соответствия продукции требованиям технического
регламента.
«Российская Федерация сертификат соответствия».
Позиция 1 - номер сертификата соответствия.
«С- RU.ПБ13.B.00094»
В номере сертификата соответствия выделяют пять элементов:
С - символ принадлежности номера к сертификату соответствия.
RU -
код страны расположения изготовителя по общероссийскому классификатору стран
мира.
ПБ13 - код органа по сертификации в соответствии с аттестатом
аккредитации (не более четырех символов из регистрационного номера аттестата
аккредитации органа по сертификации, обеспечивающего идентификацию органа по
сертификации)
B -
код типа объекта сертификации. В - серийный выпуск продукци.
- порядковый номер от 00001 до 99999 (в порядке включения в реестр
сертификации соответствия органа по сертификации)
Учетный номер бланка - «0622722».
Позиция 2 - В строке «заявитель» указывается:
) для российского юридического лица: полное наименование включая
организационно-правовую форму, адрес (место нахождения) в соответствии с
документом, подтверждающим факт внесения записи о государственной регистрации в
Единой государственный реестр юридических лиц, основной государственный
регистрационный номер юридического лица (ОГРН), телефон, факс;
) для индивидуального предпринимателя указывается: фамилия, имя,
отчество, адрес (место жительства) в соответствии с документом, подтверждающим
факт внесения записи о государственной регистрации в Единый государственный
реестр индивидуальных, основной государственный номер, записи о государственный
индивидуального предпринимателя (ОГРНИП), телефон, факс;
) для иностранного юридического лица - указывается полное наименование,
адрес (место нахождения), телефон, факс.
Заявитель
ООО «Управляющая Компания «Старлайт»
ОГРН 1067746554512
. г. Москва, ул.Иловайская, д.3, стр.13
тел: (495) 730 75 63; факс (495) 730 75 63
Позиция 3 - В строке «изготовитель» указывается:
) для российского юридического лица: полное наименование, включая
организационно-правовую форму, адрес (место нахождения) в соответствии с
документом, подтверждающим факт внесения записи о государственной регистрации в
Единой государственный реестр юридических лиц, основной государственный
регистрационный номер юридического лица (ОГРН), телефон, факс;
) для индивидуального предпринимателя указывается: фамилия, имя,
отчество, адрес (место жительства) в соответствии с документом, подтверждающим
факт внесения записи о государственной регистрации в Единый государственный
реестр индивидуальных, основной государственный номер, записи о государственный
индивидуального предпринимателя (ОГРНИП), телефон, факс;
) для иностранного юридического лица - указывается полное наименование,
адрес (место нахождения), телефон, факс.
Изготовитель
ООО «Управляющая Компания «Старлайт»
ОГРН 1067746554512
. г. Москва, ул.Иловайская, д.3, стр.13
тел: (495) 730 75 63; факс (495) 730 75 63
Позиция 4 - В строке «Орган по сертификации» указывается:
) в случае если орган по сертификации является юридическое лицо
указывается: полное наименование, адрес (место нахождения) и ОГРН юридического
лица (в соответствии с документом, подтверждающий факт внесения записи о государственной
регистрации в Единый государственный реестр юридических лиц),
регистрационный номер аттестата аккредитации органа по сертификации, телефон,
факс, наименование органа, аккредитовавшего органа по сертификации;
) в случае если орган по сертификации является индивидуальным
предпринимателем то указывается: фамилия, имя, отчество, адрес (место
жительство), ОГРНИП индивидуального предпринимателя (в соответствии с
документом, подтверждающим внесение записи о государственной регистрации в
Единый государственный реестр индивидуальных предпринимателей), регистрационный
номер аттестата аккредитации органа по сертификации, телефон, факс,
наименование органа аккредитовавшего орган по сертификации.
Орган по сертификации
Автономная некоммерческая организация «Центр сертификаци продукции и
систем менеджмента качества «Норматест», ОГРН 1057746123588, аттестат
аккредитации №ССПБ.RU.ПБ.13 от
26.03.2009. 109202, г. Москва, ул. 1-я Фрезерная, д.2/1, стр.10, тел/факс (495)
673-68-58
Позиция 5 - В строке «Продукция» указывается: наименование продукции,
включающее торговое наименование продукции, вид продукции.
Также указываются сведения о продукции (тип, марка, модель, сорт,
артикул), обеспечивающие ее идентификацию в соответствии с правилами,
установленными техническим регламентом. Указывается наименование типа объекта:
«серийный выпуск», «партия» или «единичное изделие».
Для партии приводиться номер и дата выдачи накладной на данную продукцию,
номер и дата договора или контракта о поставке продукции (при наличии договора
ил контракта), а также сведения о количестве продукции в партии.
Для единичного изделия приводится номер изделия, номер и дата выдачи
накладной на данную продукцию, номер и дата договора или контракта (при наличии
договора или контракта).
Подтверждает что продукция
Трубы гибкие гофрированные т. м. «Lacerla» из поливинилхлорида для прокладки кабелей и
изолированных проводов (диаметр 16 мм, 20 мм, 25 мм, 32 мм), выпускаемые по
техническим условиям ТУ 2248-008-95523611-2009
Серийный выпуск
Позиция 6 - В строке «код ОК 005 (ОКП)» указывается код вида продукции по
общероссийскому классификатору продукции.
Код ОКП включает шесть разрядов с пробелом после первых двух разрядов.
код ОК 005 (ОКП) 22 4820
Позиция 7 - Строка «код ЕКПС» заполняется только в том случае, если
продукция поставляется для федеральных государственных нужд по государственному
оборонному заказу. В строке «код ЕКПС» указывается код данной продукции по
Единому кодификатору предмето-снабжения. Код ЕКПС включает четыре разряда.
В данном сертификате запись отсутствует, это означает, что данная
продукция не поставляется для федеральных государственных нужд по
государственному оборонному заказу.
Позиция 8 - Строка «код ТН ВЭД России» заполняется только для
импортируемой продукции.
код ТН ВЭД России 3917 32 100 0
Позиция 9 - В строке «Соответствует требованиям техничесеого регламента
(технических регламентов)» приводится наименование технического регламента,
соответствие требованиям которого удостоверяются данным сертификатом
соответствия, с указанием наименования, вида, даты и номера
нормативно-правового акта РФ, которым принят технический регламент.
В случае если требования к продукции устанавливаются несколькими
техническими регламентами, приводится полное наименование каждого технического
регламента, с указанием наименования, вида, даты и номера нормативно-правовых
актов РФ, в которых принят каждый из указанных технических регламентов.
Соответствует требованиям технического регламента (технических
регламентов)
Технический регламент о требованиях пожарной безопасности (Федеральный
закон от 22.07.2008г. № 123-ФЗ) глава 19, ст. 82, п. б
Позиция 10 - В строке «ПРОВЕДЕННЫЕ ИССЛЕДОВАНИЯ (ИСПЫТАНИЯ) И ИЗМЕРЕНИЯ»
приводиться перечень протоколов исследований (испытаний) и измерений (в
соответствии с правилами методами исследований (испытаний) и измерений,
содержащимся в национальных стандартов, перечень которых утверждается
Правительством РФ, а в случаи отсутствия указанных национальных стандартов - в
соответствии с правилами и методами исследований (испытаний) и измерений,
утвержденных Правительством РФ, а также в соответствии со схемами сертификации,
установленными в техническом регламенте), с указанием номеров и дат протоколов,
а также наименования выдавших их аккредитованной испытательной лабораторией (центром)
и ее регистрационного номера.
Проведенные исследования (испытания) и измерения
Протокол испытаний №327СР/С-09 от 17.11.2009 г.,
ИЛ АНО «НОРМАТЕСТ»
Аттестат аккредитации ССПБ.RU.ИН103
от 26.03.2009 г.
Позиция 11 - В строке «Представляемые документы» указывается наименование
и другие реквизиты документов, представленных заявителем в орган по
сертификации в качестве доказательства соответствия продукции требованиям
технического регламента, если данные требования предусмотрены техническим
регламентом.
В данном сертификате данная запись отсутствует
Позиция 12 - В строке «Срок действия сертификата соответствия»
указывается срок действия сертификата соответствия (дата начала срока действия
и дата окончания срока действия сертификата соответствия), который устанавливается
в соответствии с техническим регламентом. Начало срока действия сертификата
соответствия устанавливается со дня выдачи сертификата соответствия. Даты
записываются арабскими цифрами: число - два знака, месяц - два знака, год -
четыре знака. Число, месяц и год разделены точками.
«Срок действия сертификата соответствия с 23.11.2009 по 22.11.2012».
Позиция 13 - Под выше указанной записью ставиться подпись руководителя
органа по сертификации или его заместителя и уполномоченного подписывать сертификат
соответствия, а также указываются его инициалы, фамилия. Подпись руководителя
органа по сертификации (его заместителя) заверяется печатью органа по
сертификации.
«Руководитель (заместитель руководителя) органа по сертификации В.М.
Киселев».
Позиция 14 - В строке «Эксперт (эксперты)» ставиться подпись, указываются
инициалы и фамилия эксперта (экспертов) осуществлявшего (осуществлявших)
проведения работ по сертификации. Сертификат заверяется печатями органа по
сертификации
«Эксперт (эксперты) Н.М. Кабанов».
Приложения к сертификату соответствия заполняется, в случае если основные
сведения не помещаются в строках сертификата соответствия. При этом в
соответствующей строке делается запись (см. приложение).
Если сертификат соответствия имеет несколько приложений, то указывается
номер приложения, на который делается ссылка.
Форма сертификата соответствия заполняется печатным способом без
исправлений, подчисток и поправок.
В приложении сертификата соответствия указываются следующие сведения:
a) в
случае, если продукция изготовлена на предприятии входящее в состав
транснациональной компании, указывается информация обо всех
предприятиях-изготовителях, на продукцию которая распространяется действия
выданного сертификата соответствия с указанием полного наименования и адресов
(мест нахождения) предприятий-изготовителей. В номере сертификата соответствия
в данном случае указывается код страны расположения центрального офиса
транснациональной компании, а в строке «Изготовитель» - полное наименование,
адрес (место нахождения), телефон и факс центрального офиса транснациональной
компании;
б) в случае, если сертифицируется однородная продукция, указывается
перечень продукции, на которую распространяется действия сертификата
соответствия (типы, марки, модели однородной продукции, составные части изделия
или комплекса, сертифицируемые на соответствия одним и тем же требованиям);
в) в случае применения на добровольной основе национальных стандартов и
(или) сводов правил для соблюдения требований технического регламента приводятся
обозначения наименование каждого национального стандарта и (или) свода правил с
указанием наименования, вида, номера и даты нормативного документа федерального
органа исполнительной власти,
Список использованных источников
1. Зырянова, Т.Н. Метрология, стандартизация и сертификация:
методические рекомендации по выполнению курсовой работы по дисциплине
«Метрология, стандартизация и сертификация» для студентов специальности
220501.65 «Управление качеством»/ Т.Н. Зырянова; Алт. гос. тех. ун-т, БТИ. -
Бийск: Изд-во Алт. гос. тех. ун-та, 2010. - 30 с.
. ГОСТ 8.736-2011 Государственная система обеспечения
единства измерений. Измерения прямые многократные. Методы обработки результатов
наблюдений. Основные положения[Текст]. - Введ. 01.01.2013.-М.: Изд-во стандартов.
. ГОСТ 7.1.-2003 Система стандартов по информации,
библиотечному и издательскому делу. Библиографическая запись. Библиографическое
описание. Общие требования и правила составления [Текст]. - Введ. 2004-07-01. -
М.: Изд-во стандартов, 2004. - 103 с.
. ГОСТ Р ИСО/МЭК 17007-2011 Оценка соответствия. Методические
указания по разработке нормативных документов, предназначенных для применения
при оценке соответствия.
Приложение А
Сертификат соответствия (добровольная сертификация)
Приложение Б
Декларация о соответствии
Приложение В
Сертификат соответствия на соответствие требованиям технического
регламента