Расчет и проектирование привода цепного конвейера
ГОСУДАРСТВЕННОЕ
БЮДЖЕТНОЕ ОБРАЗОВАТЕЛЬНОЕ УЧРЕЖДЕНИЕ
ВЫСШЕГО
ПРОФЕССИОНАЛЬНОГО ОБРАЗОВАНИЯ
КУРСКИЙ
ГОСУДАРСТВЕННЫЙ МЕДИЦИНСКИЙ УНИВЕРСИТЕТ
МИНИСТЕРСТВА
ЗДРАВООХРАНЕНИЯ РОССИЙСКОЙ ФЕДЕРАЦИИ
Биотехнологический
факультет
Кафедра
биологической и химической технологии
КУРСОВАЯ
РАБОТА
по дисциплине
Прикладная
механика
Тема:
"Расчет и проектирование привода цепного конвейера"
Курск-2015
Задание
Рассчитать привод цепного конвейера согласно рис. П.1.
Привод состоит из электродвигателя 1, цепной передачи 2; редуктора 3;
муфты 4 и приводной звездочки 5. Подобрать электродвигатель, найти общее
передаточное отношение редуктора, разбить его по ступеням, найти крутящие
моменты на валах. Определить диаметры валов. Определить параметры зубчатых
колес тихоходной ступени. Вычертить кинематическую схему.
П.1. Привод цепного конвейера
Исходные данные: - окружная сила на барабане F1 = 6 кН;
- окружная скорость на барабане V = 0,5 м/с;
диаметр приводного барабана D = 350 мм.
Содержание
Введение
. Обзор существующих конструкций
. Расчет и проектирование привода
.1 Кинематический расчет привода
.2 Определение передаточного числа привода и его ступеней
.3 Силовой расчет привода
.3.1 Определение частоты вращения валов привода
.3.2 Определение угловой скорости вращения валов привода
.3.3 Определение мощности на валах привода
.3.4 Определение крутящих моментов на валах привода
.4 Определение диаметра валов
.5 Определение чисел зубьев зубчатых колес и звездочек цепной
передачи
.6 Силовой расчет тихоходной передачи
Список литературы
Кинематическая схема привода
Введение
Конвейеры
механические непрерывные транспортные средства для перемещения различных грузов
на небольшие расстояния. Конвейеры разных типов применяются во всех отраслях
промышленности для погрузки-выгрузки и транспортировки материалов в процессе
производства.
Конвейеры являются составной, неотъемлемой частью современного
технологического процесса. Они устанавливают и регулируют темп производства,
обеспечивают его ритмичность, способствуют повышению производительности труда и
увеличению выпуска продукции. Наряду с выполнением транспортно-технологических
функций конвейеры являются основными средствами комплексной механизации и
автоматизации погрузочно-разгрузочных и складских операций.
Основным рабочим органом является привод.
Целью работы является определение основных параметров привода
цепного конвейера, а именно:
подобрать электродвигатель;
найти общее передаточное отношение редуктора;
найти крутящие моменты на валах.
1. Обзор существующих конструкций конвейеров
Основной
классификационный признак конвейера - тип тягового и грузонесущего органов.
Различают конвейеры с ленточным, цепным, канатным и другими тяговыми органами и
конвейеры без тягового органа (винтовые, инерционные, вибрационные, роликовые).
В производстве и на предприятиях разного профиля нередким стало
использование цепного конвейера (рис. 1.1). Данные конвейеры предназначаются
для транспортировки больших, тяжелых грузов, для грузов обладающих высоким
температурным уровнем.
Производительность данного вида конвейеров достаточно большая в сравнении
например с конвейером ленточного типа. При всей их громоздкости, они, тем не
менее, выполняют свою работу на достаточно высоком качественном уровне,
поэтому, даже не смотря на их дороговизну и уход, который им необходим, цепные
конвейеры зарекомендовали себя как достаточно стабильно работающие и
износостойкие агрегаты. Наиболее широко распространено применение цепных
конвейеров в автомобильной промышленности, где детали для автомобилей подаются
именно на конвейерах данного типа.
Характеристики цепного конвейера
Основным в работе данного конвейера является то, что усилие здесь
создается посредством цепи, их может быть две или одна. Конвейер сконструирован
таким образом, что позволяет выполнять загрузку, перемещение, стразу по двум
веткам и последующую отгрузку перемещаемого материала. Цепной конвейер имеет
вид этакого короба, внутри которого размещена перегородка. Сконструирован
цепной конвейер из узлов типового вида. В конструкции конвейера имеются три
секции, проводная, секция для натяжения и секция промежуточная. Рабочим органом
конвейера является цепь, которая оснащается специальным скребком. Цепи, в
зависимости от модификации конвейера могут быть кованными, либо состоять из
круглых звеньев.
Работа цепного конвейера вида осуществляется за счет электрического
двигателя и редуктора. Данное оборудование расположено на раме, и связываются
посредством передачи ременного типа с входным валом редуктора, который имеет
вид цилиндра. Таким образом сконструирован привод цепного конвейера.
Эксплуатация и применение
Определим некоторые преимущества работы цепного конвейера. К ним можно
отнести во-первых то, что на данных конвейерах возможна настройка размеренного
движения перевозимого груза, предотвращающего его падение или съезжание с ленты
конвейера. Следующим немаловажным положительным аспектом является то, что
данные виды конвейеров оснащаются специальными устройствами, как то:
антискользящие накладки, бортики и специальные ограничители.
Преимуществом является еще и то, что устройство данных агрегатов
позволяет проводить настройку, которая задает маршрут и количество перевозимого
груза. К тому же данный вид конвейеров является достаточно эргономичным, что
позволяет содержать его в довольно стесненных условиях или помещениях небольшой
площадью. Изготовлен конвейер из экологичных материалов, таких как алюминий и
нержавеющая сталь, таким образом люди, обслуживающие данную технику, не
получают никакого вредоносного воздействия. Следует отметить так же, что
конструкция цепного конвейера позволяет перемещать грузы, габариты которого
превосходят сам транспортер. Таким образом, становится ясно, что для достижения
наиболее качественных результатов, которые при этом не будут достигаться
посредством тяжелого труда, применение и использование в производстве цепных
конвейеров, является необходимым и рациональным решением.
Рис. 1.1 Цепной конвейер
Основные классификации и технические характеристики конвейеров
Широкое распространение конвейеров практически по всем отраслям
современной промышленности, вызвало повышенный интерес науки к этой области
знаний и практики.
Как результат такого интереса можно считать появление прочной
прорезиненной ткани, новых стальных конструкций со спиральными винтами и т.д.
Получили развитие конструкции конвейеров, как пример можно привести появление
инерционных конвейеров, которыми перемещаются тяжелые грузы на значительные
расстояния.
В связи с этим в современном мире сложилась следующая форма классификации
конвейеров.
Исходя из самого устройства конвейера, они бывают:
по типу тягового органа - ленточными, цепными, канатными, винтовыми,
инерционными.
по типу грузонесущего органа- люлечными, пластинчатыми, ленточными, ковшовыми,
скребковыми.
по виду перемещаемого груза - под навалочные грузы , для штучных грузов.
по виду применения- стационарные, передвижные, подвесные.
Основные виды применяемых транспортных цепей
Цепные конвейеры имеют множество подразделений на типы. Это зависит от их
конструктивных особенностей. Конвейер может быть тележечного вида, то есть
имеет зонирование по перевозке грузов. Желобчатый конвейер применим там, где
необходима подача сыпучих материалов, такие конвейеры еще имеют название
скребковые, следующим типом конвейеров цепного вида является уборочный
конвейер.
Бывают:
· транспортные цепи одно- или двухрядные из обычной стали;
· транспортные цепи одно- или двухрядные из нержавеющей стали;
· транспортные буферные цепи (наверху с роликами без привода);
· различного рода другие специализированные цепи.
К достоинствам транспортировки с помощью цепных транспортеров относятся:
· возможность использования для поперечного вывода транспортируемых
поддонов с рольганга,
· простая и компактная конструкция,
· тихая работа,
· надежность,
· возможность транспортировки различного рода поддонов весом до
3000 кг.
Несомненным достоинством цепных транспортеров является возможность
применения специализированных цепей, оснащенных элементами, на которых можно
установить, напрямую скребки, различного рода резиновые элементы, другие
специализированные устройства, на которых транспортируется определенная деталь;
постоянная скорость вращения тяги.
В биотехнологическом производстве такой тип конвейеров применяется в
основном для транспортировки готовой продукции, на стадиях упаковки продукта.
2. Расчет и проектирование привода
.1 Выбор электродвигателя из каталога
Частота вращения приводного вала:
где D -
диаметр приводного барабана;
V - окружная скорость на барабане.
Угловая скорость на приводном барабане:
Мощность на приводном валу:
Pv = Ft V = 6· 0,5 = 3 кВт;
Вращающий момент
Требуемая частота вращения двигателя:
где и - ориентировочное значение передаточного числа
привода в соответствии с заданной кинематической схемой привода:
здесь
- ориентировочное передаточное число редуктора;
- ориентировочные передаточные числа
его быстроходной и тихоходной ступеней;
- ориентировочное передаточное число
цепной передачи.
По данным таблицы 2.3 принимаем:
= 5,3 ;
= 4,2 ;
= 4 .
При этих значениях:
Ориентировочное передаточное число редуктора
= 5,3·4,2·4 = 89,04
Требуемая частота вращения двигателя
Требуемая номинальная мощность двигателя;
где
- общий КПД привода,
где
- КПД зубчатых цилиндрических передач, муфты, цепной
передачи и пары подшипников. Их значения выбираем по данным таблицы 2,1
= 0,98;
= 0,96;
;
.
= 0.98· 0,962 ·0,952
·0,994 = 0,78
С учетом
и
, выбираем из табл.2.2 асинхронный
двигатель трехфазного тока АИР100L2,
имеющий следующие техническое данные:
синхронная частота вращения ..........................
3000 мин-1;
1 асинхронная частота вращения вала
.................. 2850 мин-1;
2 мощность электродвигателя
............................ 4 кВт;
3 диаметр вала
.................................................. 28 мм.
2.2 Определение передаточного числа привода и его
ступеней
Действительное общее передаточное число привода
Уточняем значения передаточных чисел редуктора и
цепной передачи.
Оставляем принятые ранее значения
uб = 5,3; uт=4,2.
Действительное передаточное отношение редуктора
uр = 5,3·4,2 = 22,26.
Уточняем передаточное число цепной передачи
2.3 Силовой расчет привода
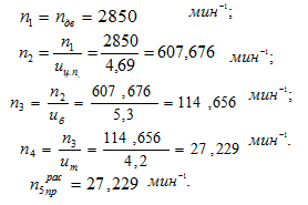
2.3.1 Определение частоты вращения валов привода
Определяем частоты вращений валов:
После получения расчетной частоты вращения приводного
вала находим погрешность расчета по формуле
2.3.2 Определение угловой скорости вращения валов
привода
Определяем угловые скорости каждого вала по формуле
.
Следовательно, имеем:
.3.3 Определение мощности на валах привода
Находим мощности на валах привода:

2.3.4 Находим вращающие моменты на валах привода
Ti=Pi / ωi.
Имеем:
Проверка точности расчета значения вращающего момента
.4 Определение диаметров валов
Из каталога диаметр вала электродвигателя dв1= 28 мм.
Диаметры остальных валов находим по формуле
где Т1 - вращающий момент на i-м валу,
;
-пониженное допускаемое напряжение
кручения. Принимая
,
имеем
мм, принимаем 17 мм;
мм, принимаем 28 мм;
мм; принимаем за 48 мм;
Результаты расчетов заносим в таблицу П.1.
Таблица П.1.Результаты энергокинематического расчета
привода.
|
Валы
|
Параметры
|
|
|
ni , мин-1
|
, рад/с
|
и
|
, кВт
|
|
, Н·м
|
de, мм
|
|
I
|
2850
|
298,3
|
1
|
4
|
0,95·0,99
|
13,41
|
28
|
|
II
|
606,676
|
63,60
|
|
3,76
|
|
59,12
|
20
|
|
|
|
5,3
|
|
0,96·0,99
|
|
|
|
III
|
114,656
|
12,00
|
|
3,57
|
|
297,5
|
28
|
|
|
|
4,2
|
|
0,95·0,99
|
|
|
|
IV
|
27,229
|
2,85
|
|
3,36
|
|
1178,95
|
48
|
|
|
|
4,69
|
|
0,98·0,99
|
|
|
|
V
|
27,229
|
2,85
|
|
3,26
|
|
1143,86
|
48
|
.5 Определение числа зубьев зубчатых колес привода и числа зубьев
звездочек цепной передачи
Тогда z2 = z1 · uб = 18· 5,3 = 95,4 ≈ 96
Принимаем для тихоходной передачи число зубьев шестерни z3 = 20.
Тогда z4 = z3 ·uт = 20· 4,2 = 84.
Находим числа зубьев звездочек цепной передачи. Применяем роликовую
цепную передачу. Так как передача используется после редуктора, то ее относим к
среднескоростной передаче согласно табл.2.5(частота вращения ведущей звездочки
200 ≤ n≤750 мин-1). Поэтому
число зубьев меньшей (ведущей) звездочки z1 = 21.
Для ведомой звездочки принимаем z2 = z1·uц.п =21· 4,69 ≈ 98,49.
.6 Силовой расчет тихоходной передачи
Принимаем материал зубчатых колес - сталь 45, у которой допускаемое
контактное напряжение
= 460МПа.
Находим межосевое расстояние
Модуль зацепления
Принимаем m = 5мм.
Шаг зацепления
Радиус делительной окружности
Высота головки зуба
Высота ножки зуба
Высота зуба
мм
Радиальный зазор
Радиус основной окружности
,
где
- угол профиля (
= 200).
Радиус окружности вершин
.
Радиус окружности впадин
Определяем силы, действующие в зацеплении
Окружная сила
привод вал тихоходный передача
Радиальная сила
Вычерчиваем кинематическую схему привода.
Список литературы
1. Анурьев, В.И. Справочник
конструктора-машиностроителя. В. 3 т. М.: Машиностроение, 2003.
. Детали машин. Проектирование: Справочное
учебно-методическое пособие / Л.В.Курмаз, А.Т.Скойбеда. - 2-е изд.,испр.: М.:
Высш. шк., 2005.- 309 с.
. Дунаев, П.Ф., Леликов, О.П. Конструирование узлов и
деталей машин. Учебное пособие. - М.: Высшая школа. 2003. - 447 с.
4. Спиваковский А.О. Ленточный конвейер/ Горная
энциклопедия/ Гл. редактор Е.А.Козловский. - М.: Советская энциклопедия,
1984-1991.
. http://stroy-technics.ru
. http://www.soyuzproektstroy.ru