Балка сварная двутавровая
Расчёт
и проектирование сварных конструкций
Балка
сварная двутавровая
Курсовой
проект
Содержание
Введение
1.Описание
конструкции и условий эксплуатации
2.
Выбор
материала
3.
Пример
расчёта и конструирования двутавровой балки
3.1 Определение расчётных нагрузок и
построение эпюр изгибающего момента 
и поперечной силы (Q)
4.Определение высоты балки
.1
Из условия жёсткости с учётом прочности
.2
Из условия минимального веса с учётом прочности
.3
Выбор и обоснование проектной высоты балки
5. Конструирование сечения балки
.1
Определение требуемых моментов сопротивления и инерции
.2
Подбор площади поперечного сечения горизонтальных поясов балки
.3
Определение уточненных значений высоты балки (h), момента сопротивления сечения
(Wx) и момента инерции сечения (Ix) относительно оси х-х балка сварная ребро
5.4
Проверка прочности сечения балки
.5
Проверка жёсткости балки
.6
Проверка общёй устойчивости балки
.7
Проверка местной устойчивости элементов балки
.8
Подбор рёбер жёсткости
6. Конструирование и расчёт сварных
соединений
.1
Выбор и обоснование способа сварки
.2
Расчёт поясных швов
.3
Расчёт стыков балки
7.Конструирование и расчёт опорных
плит балки
Заключение
Литература
Введение
Сварка- великое изобретение конца прошлого века,
принадлежащее нашим соотечественникам Н.Н Бенардосу и Н.Г Славянину.
Сварка является одним из ведущих технологических
процессов обработки металлов.
Определены основные направления развития
сварочного производства:
Замена клепаны, литых, кованных конструкций
более экономическими сварными.
Сварка ГОСТ19903-74 называется технологический
процесс получения неразъемных соединений посредством установления межатомных
связей между свариваемыми частями, при их общем или местном нагреве, или
совместным действием того и другого.
Сварка- широко применяется в основных отраслях
производства, потребляющих металлопрокат, так как резко сокращает расход
метала, сроки выполнения работ и трудоемкость производительных процессов.
Выпуск сварных конструкций и уровень механизации
сварных работ расчет из года в год.
Применение сварки способствует совершенствованию
машиностроения и развитию новых отраслей техники- ракетостроение, атомной
энергетики, радиоэлектроники. Проводятся работы по выполнению сварки в открытом
космосе.
Большие приемущества сварки обеспечили ее
широкое применение в народном хозяйстве: в медицине, без неё сейчас немыслимо
производство судов, турбин, котлов, самолетов, мостов, реакторов и других
конструкций.
.Описание конструкции и условий эксплуатации
Балки- конструктивные элементы сплошного или
сварного сечения, работающие на изгиб. Балки- входят в состав конструкций машин
и сооружений. Они представляют собой основные элементы рам различного
назначения, например рамы перекрытия и мостов. Большие применение имеют балки
кранов, вагонов, станин, а так же металлических каркасов зданий, двутавровые
балки и коробчатые с измененным поперечным сечением. Сварочные двутавры
целесообразны и экономичны. Они позволяют изготовить профили с различными
отношениями Jх/JУ, с разной шириной и толщиной вертикальных листов, а так же
горизонтальных. Стойкость сварного двутавра высокого номера. При проектирование
конструкций сварных балок учитывают следующие требования: Жесткость конструкции
при условии наименьшего условия балки. Расчетные напряжения в балке не должны
превышать допускаемых значений. Вес балки, удовлетворяющие всем требованиям
эксплуатации, тем более рационально спроектирована конструкция. Устойчивость.
Местную для отдельных частей балки, а так же для всей конструкции в целом.
Рациональность сварных изделии. Соединения балок должны быть технологичными в
изготовке, то и есть простыми и экономичными в изготовлении. Соответствии
требованиям общей компоновке всего сооружения и машины, в состав которых в
качестве элемента входит рассматриваемая балка. Балки применяются для
конструкций большой грузоподъемности.
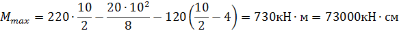
.Выбор материала
Для изготовления двутавровой балки выбираем
Ст5пс по ГОСТ 380-80 Сталь Ст5пс конструкционная углеродистая обыкновенного
качества. Выбор производится с учетом характера нагрузок, условий работы
конструкции и её экономичности. Конструкция должна удовлетворять условиям
жесткости, прочности и выносливости.
Таблица1 Химический состав стали Ст5пс ГОСТ
380-80
|
Марка
|
С%
|
Si%
|
Mn%
|
S%
|
P%
|
|
Ст5пс
|
0.28
- 0.37
|
0.05
- 0.15
|
0.5
- 0.8
|
до
0.05
|
до
0.04
|
Таблица2 Механические свойства стали Ст5пс ГОСТ
380-80
|
Марка
|
GВ
МПа
|
Gт
кгс мм
|
Бs%
|
|
Ст5пс
|
500-640
|
20
- 40
|
19
|
С (углерод) повышает прочность, понижает
закаливаемость, понижает пластичность и удельную вязкость. Mn ( марганец)-
повышает прочность, мало влияет на пластичность, коррозионную стойкость и
свариваемость. Si ( кремний)- увеличивает прочность, содержание не более 0,6%
при большом содержании увеличивает хладноломкость, улучшает механические
свойства и ухудшает пластичность. S (сера) - является вредной примесью,
содержание серы выше 0,04% приводит к горячим трещинам. P ( фосфор)- снижает
ударную вязкость, его содержание в металле шва не должно быть 0,04%.
Сварка производится без подогрева и без
последующей термообработки, ограниченно свариваемая сварка возможна при
подогреве до 100-120 градусов, и последующей термообработке. Трудносвариваемая
для получения качественных сварных соединений требуются дополнительные
операции: подогрев до 200-300 градусов. При сварке, термообработка после сварки
- отжиг.
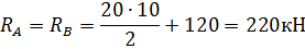
. Определение расчётных нагрузок и построение
эпюр
изгибающего
момента и поперечной силы (Мизг,Q)
Рисунок 1 - Эпюры изгибающего момента и
поперечной силы
Определить изгибающий момент в
сечении под сосредоточенной силой.

Определить изгибающий момент в
середине пролёта.

Определить поперечную силу в сечении
под сосредоточенным грузом.
Определить поперечную силу на опоре.
Таким образом, величиной
максимального момента для балки является
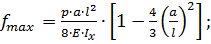
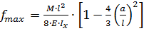
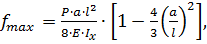
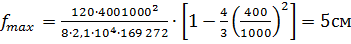
4. Определение
высоты балки
4.1 Определение высоты из условий
жёсткости с учётом прочности
Так как от суммарного момента 
напряжение достигает:


; 
то от момента 
, вызванного сосредоточенными
грузами, напряжение будут составлять:

,
Эту величину и следует учитывать
вместо 
, при определении требуемой высоты
h.
Прогиб от 2-х сосредоточенных сил Р,
расположенных симметрично в пролёте равен

Если заменить 
через 
, то

Величина М может быть выражена через
напряжения

, где 
, то после подстановки получим

, откуда

,
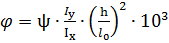
4.2 Определение высоты балки из
условия минимального веса, с учётом прочности

Предварительно задаётся толщина
вертикального листа - 
При подборе в первом приближении
можно воспользоваться формулой:

, где 
в метрах;

.
Вывод: Так как требуемая высота,
найденная из условия наименьшего веса больше чем из условий жёсткости, то
следует принимать наибольшую высоту.
С учётом графика зависимости
отношения высоты и площади поперечного сечения балки принимаем требуемую 
cм для проектируемой балки.
Принимается высота вертикального
листа: 
Предварительно задается толщина
полки 
Рисунок 2- Поперечное сечение
сварной двутавровой балки
5.
Конструирование сечения балки.
5.1 Определение требуемых моментов
сопротивления и инерции




Момент инерции вертикального листа
(стенки) - 


Требуемый момент инерции
горизонтальных листов (полок):



где 
- момент инерции горизонтального
листа относительно собственной оси очень мал 
и поэтому им можно пренебречь;

- расстояние от центра
горизонтального листа до центра тяжести балки.

.2 Подбор площади сечения
горизонтальных поясов балки
Требуемая площадь сечения одного
горизонтального листа балки равно:


Необходимо подобрать размеры пояска,
чтобы площадь сечения была больше или равно 
и чтобы выполнялось местной
устойчивости горизонтального пояса
Предварительно принимается 
и находиться ширина пояса:


Принимается 

Условие местной устойчивости
выполняется и тогда площадь сечения пояса 
при 
и 
мм будет:
Рисунок 3 - Распределение напряжений по сечению
балки
.3 Определение уточнённых значений высоты балки,
момента инерции и момента сопротивления.


где 

.4 Проверка прочности сечения балки
1) Наибольшее
нормальное напряжение в крайнем волокне балки:



- расстояние до крайнего волокна
балки.
Отклонения определяются по формуле


Вывод:
Сечение спроектировано экономично,
так как отклонение наибольшего напряжения 
составило 0,69% и не превышает 5%.
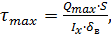
) Определить касательное напряжение
на уровне центра тяжести балки в опорном её сечении при 

где S - статический момент половины
площади сечения относительно центра тяжести балки.



3) Определить эквивалентные напряжения
на уровне верхней кромки вертикального листа в сечении, где имеется большой
изгибающий момент 
и 
.
вычислим в этом волокне балки
напряжения


вычислим в этом же волокне напряжение


где Sг - статический момент площади
горизонтального листа




что меньше наибольшего нормального
напряжения в крайнем волокне.
5.5 Проверка жёсткости балки
Определить действительный прогиб
балки от сосредоточенных грузов:


Норма жёсткости

Вывод: Жесткость обеспечивается
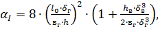
.6 Проверка общей устойчивости балки
Общая устойчивость проверяется по
формуле:



- коэффициент, являющийся функцией
коэффициента, который определяется по формуле



- свободная длина балки, см
Зная коэффициент 
, определяем 
из графика [1], стр. 211.
Момент инерции балки относительно
оси 

;


Полученный 
корректировать по приведенной на
стр. 211 таблице пересчёта.
Принять 
.
Вывод: Общая устойчивость балки
обеспечена, так как:

.7 Проверка местной устойчивости
элементов балки
Проверка устойчивости вертикального
листа (стенки)

где 
для Ст5пс


- предел текучести стали
5.8 Подбор рёбер жёсткости
Ширина ребра 
Принять 
Толщина ребра 
Принять 
Вывод: Местная устойчивость
горизонтального листа выполняется, так как из условия местной устойчивости: 
(см. п. 5.2)
6.
Конструирование и расчёт сварных соединений балки
6.1 Выбор и обоснование способа
сварки
Выбрать способ сварки:
а) для стыков балки
стыковые швы выполнить автоматической
сваркой под слоем флюса по ГОСТ 8713-79-С7-Аф
Рисунок 4 - Форма подготовки кромок и
поперечного сечения сварного шва стыкового соединения
б) для поясных швов
Поясные швы выполнить автоматической сваркой под
флюсом по ГОСТ 8713-79-Т3-Аф- 6
Рисунок 5-Форма подготовки кромки и поперечного
сечения сварного шва таврового соединения
Принять 
в) Швы приварки рёбер жёсткости
выполнить полуавтоматической сваркой в среде СО2 по ГОСТ 14771-76-Т3-УП- 5.
Рисунок 6 - Форма подготовки кромок
и поперечного сечения сварного шва таврового соединения.
Принять 
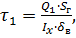
6.2 Расчёт поясных швов
Рабочими напряжениями в поясных швах
в соединениях без подготовки кромок являются касательные.
Напряжениями в поясных швах
вызванные поперечной силой

определяется:

,

,
г - статический момент
горизонтального листа относительно центра тяжести. (Формула 26)
2) Местное напряжение в поясных
швах под сосредоточенной силой определяется по формуле:

,

,
Результирующее напряжение

,

.

.
Вывод: Прочность шва обеспечена.
.3 Расчёт стыков балки
По ГОСТ 19903-74 при толщине листа
12мм длина листа 5000мм, ширина 1400мм. При толщине листа 12мм ширина листа
1400мм, длина 5000мм. Для определения общего количества материала, определения
размеров деталей и количества стыков, необходимо определить общую длину балки
5000
l1
Sp 
p
p


,
где 
- общая длинна балки, мм;

- длина балки между опорами, мм;

- Расстояние от опорного ребра до
края стенки назначить конструктивно:

- для балок из малоуглеродистой
стали;

- толщина ребра, мм;

- расстояние между рёбрами на опоре
принять конструктивно, с учётом удобств проведения сварочных работ;

.
На балке 1 технологический стык


7.
Конструирование и расчёт опорных плит





- радиус плиты

- ширина плиты

- диаметр штырей

- толщина плиты

- момент плиты





,

,


С - овальное отверстие в подвижной
опоре

где С’=1см - добавка к длине
овального отверстия

- коэффициент линейного расширения
для материала балки.

- период температуры при
эксплуатации балки
Принимаем 


Рисунок
8 - Подвижная опора балки
Заключение
В данном курсовом проекте рассчитано и
спроекцировано сварная балка двутаврового профиля. Подобные балки используются
в строительстве. Сварная балка двутаврового профиля, лежащая на двух опорах
рассчитываются по методу допускаемых напряжений с учетом условий эксплуатации
при заданной нагрузке. При проектировании данной конструкции учитывалось
требование экономических показателей. При подбое сечения балки учитывались
свойства материала и заданные нагрузки.
Литература
Блинов
А.Н., Лялин К.В. Сварные конструкции.- М.: Стройиздат, 1990
ГОСТ
2.302 - 68, ГОСТ 8713 - 79, ГОСТ 14771 - 76, ГОСТ 19903 - 74
Николаев
Г.А., Винокуров В.А. Сварные конструкции. Расчёт и проектирование. - М.: Высшая
школа, 1990
Николаев
Г.А., Куркин С.А., Винокуров В.А. Сварные конструкции. Технология изготовления.
Автоматизация производства и проектирования сварных конструкций. - ч. II, М.:
Высшая школа, 2014
Николаев
Г.А., Куркин С.А., Винокуров В.А. Сварные конструкции. Прочность сварных
соединений и деформаций конструкций. -ч. 1, М.: Высшая школа,1982
Стрижнёв
В.Н. Методическое пособие по расчёту и конструированию двутавровой балки. -
Н.Новгород, 2011
Шебеко
Л.П. Экономика, организация и планирование сварочного производства.
-М.:Машиностроение, 2014