Разработка конструкции сварной балки со свободно опертыми концами

  • Вид работы:
    Курсовая работа (т)
  • Предмет:
    Другое
  • Язык:
    Русский
    ,
    Формат файла:
    MS Word
    410,46 Кб
  • Опубликовано:
    2015-05-29
Вы можете узнать стоимость помощи в написании студенческой работы.
Помощь в написании работы, которую точно примут!

Разработка конструкции сварной балки со свободно опертыми концами

Содержание

Введение

. Определение расчетных усилий изгибающего момента М и поперечной силы Q

.1 Построение линий влияния моментов

.2 Определение изгибающих моментов от сосредоточенных сил

.3 Определение изгибающих моментов от равномерно распределенной нагрузки

.4 Определение суммарных величин изгибающих моментов от сосредоточенных сил и равномерно распределенной нагрузки

.5 Определение требуемого момента сопротивления

.6 Построение линий влияния поперечной силы в сечениях

.7 Определение расчетных усилий от сосредоточенных сил

.8 Определение поперечных сил от равномерно распределенной нагрузки

.9 Определение суммарных значений от сосредоточенных и равномерно распределенных нагрузок

. Определение геометрических характеристик поперечного сечения балки

.1 Определение высоты балки по допускаемым напряжениям

.2 Определение требуемой высоты балки из условия её минимальных размеров сечения

.3 Определение размеров горизонтальных листов сварной балки

.3.1 Определение требуемого момента инерции

.3.2 Определение момента инерции вертикального листа

.3.3 Определение момента инерции горизонтальных листов

.3.4 Определение размеров поперечного сечения пояса

. Проверка сечения балки по условиям прочности

.1 Определение уточненного значения момента инерции, подобранного поперечного сечения балки

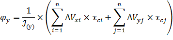
.2 Определение наибольшего нормального напряжения в крайнем волокне балки

.3 Определение касательных напряжений в опорном сечении на уровне центра тяжести балки

.4 Определение эквивалентных напряжений в опасном сечении

. Обеспечение общей устойчивости балки

.1 Определение расстояния между горизонтальными связями

.2. Определение коэффициента 𝜶

.3 Определение коэффициента

.4 Определение момента инерции балки относительно вертикальной оси

.5 Определение коэффициента уменьшения допускаемого напряжения в балке

. Обеспечение местной устойчивости балки

.1 Обеспечение местной устойчивости вертикального листа

.1.1 Определение расстояния между вертикальными ребрами

.1.2 Определение нормального напряжения в верхнем волокне вертикального листа

.1.3 Определение среднего касательного напряжения от поперечной силы Q=180 кН в середине пролета

.1.4 Определение местного напряжения от сосредоточенной силы

.1.5 Определение размеров рельса

.1.6. Определение ординаты центра тяжести, сечения пояса и рельса относительно верхней кромки пояса

.1.7 Определение момента инерции относительно оси, совпадающей с верхней кромкой пояса

.1.8 Определение момента инерции относительно оси, проходящей через центр тяжести суммарного сечения

.1.9 Проверка правильности постановки ребер жесткости

. Расчет поясных швов

.1 Выбор катета сварного шва

.2 Определение рабочих касательных напряжений в нижних поясных швах

.3 Определение рабочих касательных напряжений в верхних поясных швах

.4 Определение рабочих касательных напряжений в верхних поясных швах от сосредоточенной силы P

.5 Определение условного результирующего напряжения в верхних поясных швах

.6 Проверка касательных напряжений по допускаемым значениям

. Проверка напряжений в стыке балки

. Конструирование опорной части балки

. Определение общих деформаций двутавровой балки

.1 Определение погонной энергии сварки

.2 Характеристики сварных швов балки

.3 Определение объема продольного укорочения сварных соединений от поясных швов №1, №2, №3, №4 (две пары близко расположенных швов)

.4 Объем поперечного укорочения сварных соединений от швов №5, №6, №7

.5 Общие сварочные деформации балки

Заключение

Список литературы

Введение

Балками называют элементы конструкций, которые работают в основном на поперечный изгиб. Они входят в состав рам различного направления - вагонов, станков, станин, каркасов зданий, перекрытий мостов и других механических конструкций и машин. Наиболее часто применяют сварные балки двутаврового и коробчатого профилей. Двутавровые балки хорошо сопротивляются изгибу в плоскости своей наибольшей жесткости, коробчатые - изгибу в разных плоскостях и кручению. Вопрос выбора конструкции решается с экономической позиции, а иногда с учетом общей компоновки и эстетики. Большинство балок имеют профиль, постоянный по всей длине.

В данной работе будет разработана конструкция сварной балки со свободно опертыми концами. Балка нагружена равномерной нагрузкой от собственного веса и двумя сосредоточенными грузами (вес тележки с грузом), которые могут перемещаться по балке (Рис. 1).











Рис. 1 Сварная балка.

Исходные данные:

·        длина балки L=20м

·        равномерная нагрузка от собственного веса q=3кН/м

·        вес тележки с грузом P=100кН

·        расстояние между осями тележки d=2м

·        материал конструкции ВСт3сп

1. Определение расчетных усилий изгибающего момента М и поперечной силы Q

.1 Построение линий влияния моментов

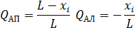
Определим координаты линий влияния моментов:


где L - длина балки, ;

- координата линии влияния;

 - координата линии влияния.

.2 Определение изгибающих моментов от сосредоточенных сил

Изгибающие моменты от сосредоточенных сил определяем по формуле:


где  - расстояние между осями тележки, ;

 - вес тележки с грузом, .

Рассчитаем изгибающие моменты от сосредоточенных сил:


.3 Определение изгибающих моментов от равномерно распределенной нагрузки

Изгибающие моменты от равномерно распределенной нагрузки определяем по формуле:


где  - равномерная нагрузка от собственного веса, .

Рассчитаем изгибающие моменты от равномерно распределенной нагрузки:



1.4 Определение суммарных величин изгибающих моментов от сосредоточенных сил и равномерно распределенной нагрузки

Суммарную величину изгибающих моментов определяем по формуле:


Рассчитаем суммарные величины изгибающих моментов:


.5 Определение требуемого момента сопротивления

Требуемый момент сопротивления определяется по формуле:


где  - максимальный суммарный момент от сосредоточенных сил и равномерно распределенной нагрузки, ;

 - предельно допустимое напряжение на растяжение, для стали ВСт3сп является

.

Рассчитаем требуемый момент сопротивления:

 

1.6 Построение линий влияния поперечной силы в сечениях

Определим координаты линий влияния поперечной силы:



.7 Определение расчетных усилий от сосредоточенных сил

Определим расчетные усилия от сосредоточенных сил по формуле:




1.8 Определение поперечных сил от равномерно распределенной нагрузки

Определим поперечные силы от равномерно распределенной нагрузки по формуле:



.9 Определение суммарных значений от сосредоточенных и равномерно распределенных нагрузок

Суммарную величину от сосредоточенных и равномерно распределенных нагрузок определим по формуле:




2. Определение геометрических характеристик поперечного сечения балки

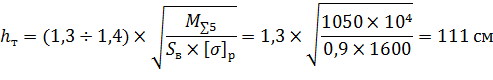
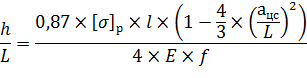
.1 Определение высоты балки по допускаемым напряжениям

Определив расчетные усилия, переходим к нахождению наименьшей высоты балки из условия нормы жесткости  от сосредоточенных грузов P. Для стали марки ВСт3сп допускаемое напряжение на растяжение равно .

При определении требуемой высоты балки следует учесть, что по условию прогиб ограничен лишь в отношении нагрузки P.

Высоту балки определяем по формуле:


где  - модуль упругости, для ВСт3сп - ;

 - жесткость балки, ;

 - расстояние до центра действия силы, определяется по формуле:


Рассчитаем высоту балки:



2.2 Определение требуемой высоты балки из условия её минимальных размеров сечения

Чтобы определить требуемую высоту балки из условия её наименьшего сечения, нужно определить толщину вертикального листа. Можно воспользоваться следующим приближенным соотношением:


Толщину вертикального листа принимаем - .

Требуемая высота балки рассчитывается по формуле:


Требуемая высота балки, из условия её наименьшего сечения . Из полученных результатов расчета высоты балки  и , выбираем наибольшее значение, кратное 5.

Высоту балки принимаем - .

Для определения толщины горизонтального листа воспользуемся следующим соотношением:


Толщину горизонтального листа принимаем - .

Высоту вертикального листа определим по формуле:

изгибающий нагрузка сечение балки


Высоту вертикального листа принимаем - .

.3 Определение размеров горизонтальных листов сварной балки

.3.1 Определение требуемого момента инерции

Требуемый момент инерции поперечного сечения сварной балки определим по формуле:


где  - требуемый момент сопротивления, ;

 - высота балки, . Рассчитаем требуемый момент инерции:


.3.2 Определение момента инерции вертикального листа

Момент инерции вертикального листа определим по формуле:


где  - высота вертикального листа, ;

 - толщина вертикального листа, .

Рассчитаем момент инерции вертикального листа:

 

2.3.3 Определение момента инерции горизонтальных листов

Момент инерции горизонтальных листов определим, воспользовавшись следующим соотношением:


где  - момент инерции вертикального листа, ;

 - требуемый момент инерции, .

Рассчитаем момент инерции горизонтальных листов:

 

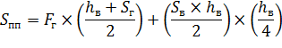
.3.4 Определение размеров поперечного сечения пояса

Определим площадь сечения пояса балки по формуле:


где  - момент инерции горизонтальных листов, ;

 - расстояние от центра пояса до центра балки.

Рассчитаем расстояние от центра пояска до центра балки:

; ;

Рассчитаем площадь сечения пояса балки:

Принимаем площадь сечения пояса балки .

Рассчитаем ширину горизонтального листа по формуле:


Принимаем ширину горизонтального листа .








Рис. 2 Рассчитанные размеры сечения балки

3. Проверка сечения балки по условиям прочности

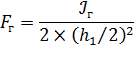
.1 Определение уточненного значения момента инерции, подобранного поперечного сечения балки

Определим уточненное значение момента инерции подобранного поперечного сечения балки по формуле:


где  - ширина горизонтального листа, ;

 - площадь сечения пояса балки, .

Рассчитаем уточненное значение момента инерции подобранного поперечного сечения балки:


.2 Определение наибольшего нормального напряжения в крайнем волокне балки

Определим наибольшее нормальное напряжение в крайнем волокне балки по формуле:


где  - уточненный момент инерции подобранного поперечного сечения балки,

.

Рассчитаем наибольшее нормальное напряжение:

Вычисленное наибольшее нормальное напряжение не превышает допускаемое напряжение:

Условие выполняется.

.3 Определение касательных напряжений в опорном сечении на уровне центра тяжести балки

Для определения касательных напряжений в опорном сечении на уровне центра тяжести балки, нужно найти статический момент половины площади сечения относительно центра тяжести балки. Определим этот статический момент по формуле:


где  - толщина горизонтального листа, .

Рассчитаем статический момент половины площади сечения относительно центра тяжести балки:

Теперь определим касательные напряжения в опорном сечении на уровне центра тяжести балки по формуле:


где  - расчетная поперечная сила в опорном сечении, .

Рассчитаем касательные напряжения:


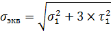
.4 Определение эквивалентных напряжений в опасном сечении

Определим эквивалентные напряжения в сечении, в котором наибольший изгибающий момент  и поперечная сила .

Эквивалентные напряжения вычисляются на уровне верхней кромки вертикального листа в зоне резкого изменения ширины сечения.

Сначала определим в этом волокне балки напряжения от изгибающего момента :


Теперь нужно определить, в этом же волокне, касательные напряжения от поперечной силы , для этого нужно определить статический момент площади сечения горизонтального листа относительно центра тяжести :


Рассчитаем касательные напряжения  от поперечной силы :


Эквивалентные напряжения в сечении определяем по формуле:


где  - напряжения в сечении от изгибающего момента, ;

 - касательные напряжения от поперечной силы, .

Рассчитаем эквивалентные напряжения:

Эквивалентные напряжения в рассмотренном сечении меньше допускаемых напряжений:

Условие прочности выполняется.

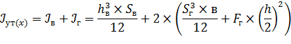
4. Обеспечение общей устойчивости балки

.1 Определение расстояния между горизонтальными связями

Для определения расстояния между горизонтальными связями можно воспользоваться следующим соотношением:


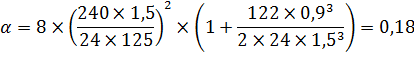
.2 Определение коэффициента 𝜶

Определим коэффициент  по формуле:


где  - расстояние между горизонтальными связями, .

Рассчитаем коэффициент :


.3 Определение коэффициента

Так как при коэффициенте  коэффициент  , а при коэффициенте  коэффициент , следовательно, при коэффициенте  коэффициент .

4.4 Определение момента инерции балки относительно вертикальной оси

Момент инерции балки относительно вертикальной оси определяется по формуле:


.5 Определение коэффициента уменьшения допускаемого напряжения в балке

Коэффициент уменьшения допускаемого напряжения в балке находится по формуле:


где  - момент инерции балки относительно вертикальной оси, ;

 - коэффициент равный .

Рассчитаем коэффициент уменьшения допускаемого напряжения в балке:

Коэффициент , следовательно, устойчивость балки при наличии закреплений на взаимных расстояниях  обеспечена.

5. Обеспечение местной устойчивости балки

.1 Обеспечение местной устойчивости вертикального листа

Чтобы обеспечить устойчивость вертикального листа, следует приварить к нему ребра жесткости.

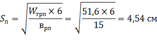
.1.1 Определение расстояния между вертикальными ребрами

Для определения расстояния между вертикальными ребрами воспользуемся следующим соотношением:


.1.2 Определение нормального напряжения в верхнем волокне вертикального листа

Нормальное напряжение в верхнем волокне вертикального листа уже было рассчитано выше и равно:

.1.3 Определение среднего касательного напряжения от поперечной силы Q=180 кН в середине пролета

Средне касательное напряжение от поперечной силы в середине пролета определим по формуле:


.1.4 Определение местного напряжения от сосредоточенной силы

Для определения местного напряжения от сосредоточенной силы, нужно сначала определить условную длину, на которой сосредоточенный груз распределяется в вертикальном листе.

Эту длину рассчитаем по формуле:


где  - момент инерции горизонтального листа совместно с приваренным к нему рельсом,

.

Рассчитаем условную длину:

Определим местные напряжения от сосредоточенной силы по формуле:


где  - коэффициент равный 1 при легком режиме;

 - условная длина, на которой сосредоточенный груз распределяется в вертикальном листе, .

Рассчитаем местные напряжения:


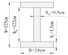
.1.5 Определение размеров рельса

Примем сечение рельса  .

Рис. 3 Сечение верхнего пояса и рельса.

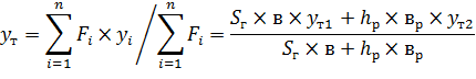
.1.6 Определение ординаты центра тяжести, сечения пояса и рельса относительно верхней кромки пояса

Ординату центра тяжести, сечения пояса и рельса, относительно верхней кромки пояса определим по формуле:


где  - высота рельса, ;

 - ширина рельса, .

 - центр тяжести сечения пояса, ;

 - центр тяжести сечения рельса, .

Рассчитаем ординату центра тяжести сечения пояса и рельса:

Знак «+» указывает, что центр тяжести расположен выше верхней кромки пояса.

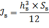
5.1.7 Определение момента инерции относительно оси, совпадающей с верхней кромкой пояса

Момент инерции относительно оси, совпадающей с верхней кромкой пояса, рассчитаем по формуле:


.1.8 Определение момента инерции относительно оси, проходящей через центр тяжести суммарного сечения

Момент инерции относительно оси, проходящей через центр тяжести суммарного сечения, определим по формуле:


где  - момент инерции относительно оси, совпадающей с верхней кромкой пояса,

;

 - ордината центра тяжести суммарного сечения пояса и рельса, ;

 - площадь суммарного сечения, определяется по формуле:



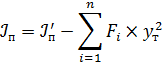
5.1.9 Проверка правильности постановки ребер жесткости

Для проверки правильности постановки ребер жесткости надо выяснить три вспомогательные величины:

)

)

)

 - коэффициент отношения  и берем его из графика зависимости,

Проверим, обеспечена ли требуемая устойчивость. Для этого подставим полученные значения в следующую формулу:


где  - эквивалентные напряжения в сечении, в котором наибольший изгибающий момент, ;

 - местные напряжения от сосредоточенной силы, ;

 - средне касательное напряжение в середине пролета, :

Ребра жесткости поставлены правильно, устойчивость обеспечена.

6. Расчет поясных швов

.1 Выбор катета сварного шва

Катеты верхних и нижних поясных швов принимаем равными .

.2 Определение рабочих касательных напряжений в нижних поясных швах

В поясных швах возникают связующие напряжения вследствие совместной деформации швов и основного металла. Эти напряжения при расчете прочности в учет не принимаются. Рабочими напряжениями в поясных швах являются касательные.

Рабочие касательные напряжения в нижних поясных швах определим по формуле:


где  - катет поясного шва, ;

 - статический момент горизонтального листа относительно центра тяжести сечения, рассчитывается по формуле:


Рассчитаем рабочие касательные напряжения в нижних поясных швах:


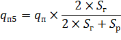
.3 Определение рабочих касательных напряжений в верхних поясных швах

При определении напряжений в верхних поясных швах следует вычислить статический момент горизонтального листа , с учетом наличия рельса. Рассчитаем статический момент по формуле:


Рассчитаем рабочие касательные напряжения в верхних поясных швах, момент инерции будем считать неизменившимся, как и положение центра тяжести:



.4 Определение рабочих касательных напряжений в верхних поясных швах от сосредоточенной силы P

В верхних поясных швах к вычисленным напряжениям добавляется местное напряжение в шве от сосредоточенной силы P, определить рабочие касательные напряжения от сосредоточенной силы можно по формуле:


где  - коэффициент, зависящий от характера обработки кромки вертикального листа, обычно ;

 - условная длина, на которой сосредоточенный груз распределяется в вертикальном листе, .

Рассчитаем рабочие касательные напряжения от сосредоточенной силы:


.5 Определение условного результирующего напряжения в верхних поясных швах

Условное результирующее напряжение рассчитаем по формуле:


.6 Проверка касательных напряжений по допускаемым значениям

Рассчитанное результирующее напряжение не должно превышать допускаемое напряжение, должно выполняться условие:

Определим допускаемое напряжение в поясных швах из соотношения:


Условие выполнено.

Вывод: Катеты швов приваривающие ребра жесткости к поясам и вертикальному листу, принимаем такими же, как и в поясных, т.е. . Эти швы не придают рабочих напряжений и расчету на прочность не подлежат.

7. Проверка напряжений в стыке балки

Длина балки равна 20м, это значительная длинна и изготовить балку без стыков не получится. Следовательно, нужно предусмотреть технологические стыки. Допустим, что стык вертикального и горизонтального листов совмещен и находится на расстоянии от опоры .

Напряжения в месте стыка определяются по формуле:


При условии выполнения сварки стыка электродами марки Э42 допускаемое напряжение в шве принимается равным:

Напряжения в месте стыка не превышают допускаемых напряжений:



8. Конструирование опорной части балки

Проверим напряжения в нижних поясах опорного сечения балки в предположении, что через шов в соединение тавра передается вся величина реакции. Длину периметра шва вычисляют с учетом распределения усилий в шве на участке протяженностью  по формуле:


где  - ширина ребра жесткости.

Ширина ребра жесткости рассчитывается по формуле:


Рассчитаем длину периметра шва:

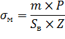
Рассчитаем касательные напряжения в опорной части балки по формуле:


где  - максимальная нагрузка, которая равна:

:

В качестве опоры принимаем стальную выпуклую плиту ширенной .

Длину плиты рассчитаем по формуле:


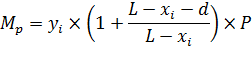
Изгибающий момент по оси плиты рассчитаем по формуле:


Примем, что балка крепится к плите двумя штырями, диаметром . При этом рабочая ширина сечения плиты составляет:


Момент сопротивления плиты можно определить по формуле:


где  - толщина плиты в опорном сечении, где изгибающий момент имеет наибольшее значение.

Требуемый момент сопротивления плиты в указанном сечении определяем из соотношения:

Теперь выразим из условия толщину плиты , и рассчитаем ее:


Принимаем толщину плиты в опорном сечении, где изгибающий момент имеет наибольшее значение, равной .

9. Определение общих деформаций двутавровой балки

.1 Определение погонной энергии сварки

Момент инерции относительно горизонтальной оси .

Момент инерции относительно вертикальной оси .

Определим погонную энергию по формуле:


где  - сила тока, ;

 - напряжение, ;

 - скорость сварки, ;

 - Эффективный КПД дуги, .

Данные по ГОСТ 14771-76-Т3-6, «Полуавтоматическая сварка. Основные типы, конструктивные элементы и размеры»

Рассчитаем погонную энергию:


.2 Характеристики сварных швов балки

Определим количество швов:

Количество швов №1, №2, №3, №4 равно, каждого по одному.

Количество швов №5, №6, №7, зависит от количества ребер жесткости и будет равно  , количество ребер принимаем равным 12, следовательно, швов №5, №6, №7, будет 12.

Определим длину швов:

Длина одного шва №1 = 2000 см, №2 = 2000 см, №3 = 2000 см, №4 = 2000 см, №6 = 122 см, длину швов №5 и №7 определим по соотношению - .













Рис. 4 Расположение сварных швов по сечению.

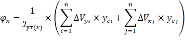
Определим координаты центра тяжести пластической зоны:

по оси X по оси Y

шов №1

шов №2

шов №3

шов №4

шов №5

шов №6  0 см

шов №7

где  - толщина вертикального листа;

 - ширина горизонтального листа;

 - высота вертикального листа;

 - катет шва.

Полученные данные занесем в таблицу №1:

Таблица №1

Номер шва по рисунку

Количество швов

Длина одного шва  (см)

Координаты центра тяжести пластической зоны




№1

1

2000

-0,75

-60,7

№2

1

2000

0,75

-60,7

№3

1

2000

-0,75

60,7

№4

1

2000

0,75

60,7

№5

12

11,55

6,225

-60,7

№6

12

122

0,75

0

№7

12

11,55

6,225

60,7


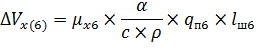
.3 Определение объема продольного укорочения сварных соединений от поясных швов №1, №2, №3, №4 (две пары близко расположенных швов)

Объем продольного укорочения от поясных швов №1, №2, №3, №4, определяем по формуле:


где  - коэффициент пуансона, ;

 - коэффициент перекрытия пластических зон, ;

 - коэффициент тепловой деформации, ;

 - погонная энергия сварки, ;

 - длина парного шва №1и№2, .

Рассчитаем объем продольного укорочения:


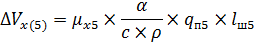
.4 Объем поперечного укорочения сварных соединений от швов №5, №6, №7

Объем поперечного укорочения сварного шва №5 определим по формуле:


где  - длина шва №5, ;

 - часть погонной энергии сварки, идущая на нагрев нижней полки;

 - коэффициент поперечного укорочения сварного соединения.

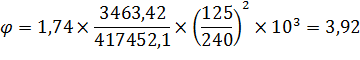
Часть погонной энергии сварки  , определим по формуле:


где  - толщину ребра жесткости определим из соотношения:


Толщину ребра жесткости принимаем

Рассчитаем часть погонной энергии, идущая на нагрев нижней полки:

Коэффициент поперечного укорочения этого шва определим по формуле:


где  - коэффициент учитывающий степень прогрева сварных элементов, определяем из таблицы, по соотношению:


где  - коэффициент степени раскрепления сварного соединения пересекающими его ребрами, определяем из таблицы, по соотношению:


Рассчитаем коэффициент поперечного укорочения этого шва:

Рассчитаем объем поперечного укорочения сварного шва №5:

Шов №7.

Сварной шов №5 конструктивно равен сварному шву №7, следовательно, объем поперечного укорочения сварного шва №7 будет равен:


Шов №6.

Для определения объема поперечного укорочения сварного шва №6, сначала рассчитаем часть погонной энергии сварки, идущей на нагрев стенки, по формуле:


Теперь определим коэффициент поперечного укорочения этого шва по формуле:


где  - коэффициент учитывающий степень прогрева сварных элементов, определяем из таблицы, по соотношению:


где  - коэффициент степени раскрепления сварного соединения пересекающими его ребрами, определяем из таблицы, по соотношению:


Рассчитаем коэффициент поперечного укорочения этого шва:

Определим объем поперечного укорочения сварного шва №6, по формуле:


где  - часть погонной энергии сварки, идущая на нагрев нижней полки, ;

 - коэффициент поперечного укорочения сварного соединения, ;

 - длина шва №6, .

Рассчитаем объем поперечного укорочения сварного шва №6:


.5 Общие сварочные деформации балки

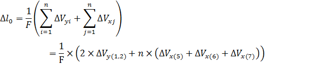
Определим укорочение относительно центральной оси по формуле:


где  - объем продольного укорочения от поясных швов №1, №2, №3, №4, ;

 - объем поперечного укорочения сварного шва №5, ;  - объем поперечного укорочения сварного шва №6, ;

 - объем поперечного укорочения сварного шва №7, ;

 - количество швов, ;

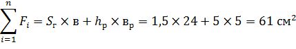
 - площадь балки, определяется по формуле:


Рассчитаем укорочение относительно центральной оси:

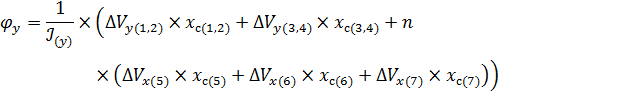
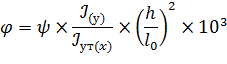
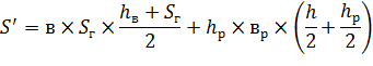
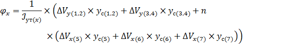
Определим угол поворота концов балки в вертикальной плоскости по формуле:


В развернутом виде формула выглядит следующим образом:


Рассчитаем угол поворота концов балки в вертикальной плоскости:

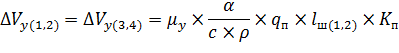
Определим угол поворота концов балки в горизонтальной плоскости по формуле:


В развернутом виде формула выглядит следующим образом:


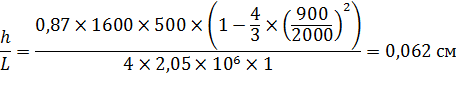
Рассчитаем прогибы балки в вертикальной плоскости и горизонтальной плоскости, в середине длинны балки:

Прогиб в горизонтальной плоскости:


Прогиб в вертикальной плоскости:




Заключение

Наука о создании сварных конструкций охватывает принципиальные вопросы рационального проектирования генеральных систем и схем машин, аппаратов, строительных конструкций, которые в основном разрабатываются специалистами отраслей.

Создание сварных конструкций требует рационального выбора металла, обеспечивающего металлоемкость проектируемых объектов, и технологичности сварных процессов. При проектировании сварных соединений необходимо учитывать технологическую прочность соединяемых материалов. Учитывается также сопротивляемость используемых материалов к образованию трещин при сварке и эксплуатационная прочность используемых материалов.

В данной работе была рассчитана и спроектирована сварная балка, нагруженная распределенной нагрузкой и двумя сосредоточенными грузами, которые могут перемещаться по балке. Произведены все основные расчеты моментов и напряжений в различных сечениях балки, определены основные характеристики сечения балки. Была сделана проверка по условию прочности, по обеспечению общей устойчивости и местной устойчивости. А также были рассчитаны поясные швы и определены общие деформации двутавровой балки.

Несмотря на большое количество работ, посвященных изучению состояния сварных конструкций, в отношении напряжений, вызванных внешними силами и самими сварными процессами, многие вопросы остаются не вполне решенными.

Список литературы

1. Дружинин Н.В., Селиванов М.И. «Расчет и проектирование внецентренно сжатой сварной колонны». - М.: Изд-во МГТУ, 1991.

. Дружинин Н.В., Селиванов М.И. «Расчет и проектирование сварных конструкций». Методические указания, под ред. Дружинина Н.В. - М.: Изд-во МГТУ, 1991.

. Васильев А.А. «Металлические конструкции». Учебное пособие для техникумов. Переработанное и дополненное - М.: Стройиздат, 1979.

. Когаев В.П. «Расчеты на прочность при напряжениях, переменных во времени». М.: Машиностроение, 1977.

. Мельников Н.П. «Металлические конструкции. Современное состояние и перспективы развития». - М.: Стройиздат, 1983.

. «Полуавтоматическая сварка». Основные типы, конструктивные элементы и размеры. ГОСТ 14771-76.

. «Корпуса сварных судов». Сварка углеродистых и низколегированных сталей, основные положения. РД 5Р.9083-92.

Похожие работы на - Разработка конструкции сварной балки со свободно опертыми концами

 

Не нашли материал для своей работы?
Поможем написать уникальную работу
Без плагиата!
Без нейросетей!