Исследование биполярного транзистора
Лабораторная работа
Исследование биполярного
транзистора
Цель работы
1. Исследование биполярного транзистора, включенного по
схеме с общим эмиттером.
2. Исследование биполярного транзистора, включенного по
схеме с общей базой.
Краткие теоретические сведения
Транзистор
- это полупроводниковый элемент, имеющий в своём составе как минимум два p-n перехода (p-n-p или n-p-n) и три электрических
вывода. Транзисторы бывают биполярными и полевыми.
Биполярным
транзистором называют трёхэлектродный полупроводниковый прибор с двумя
близкорасположенными электронно-дырочными переходами. Они служат для усиления,
генерирования, преобразования и коммутации сигналов и т.д.
Ток в биполярном транзисторе определяется движением носителей
зарядов двух знаков - отрицательных (электронов) и положительных (дырок).
Существует три схемы включения биполярных транзисторов: 1)Схема с общим
эмиттером; 2)Схема с общей базов; 3)Схема с общим коллектором. При этом цепи
рассматривают только относительно переменного тока. Принцип действия
биполярного транзистора любой структуры основан на создании транзисторного
(проходящего) потока носителей заряда из эмиттера коллектор через базу и
управления этим потоком посредством тока базы. Основные свойства биполярного
транзистора определяются процессами в его базе.
Биполярные транзисторы являются ассиметричными приборами, что
обеспечивает быстрейшее протекание переходных процессов при переключениях:
1.Эмиттерный электронно-дырочный переход между базой и эмиттером 
₁-p по
площади меньше коллекторного 
.
.Знак плюс означает, что концентрация примесей в эмиттере в стони
раз превышает концентрацию примесей в базе (р).
.Концентрация примесей в коллекторе чуть меньше, чем в эмиттере.
С током эмиттера ток коллектора связан соотношением:
Дифференциальный коэффициент передачи тока эмиттера α,
т.е. коэффициент переноса
тока из эмиттерной цепи в коллекторную составляет α=0,95
и зависит от частоты сигнала.
Каждая схема описывается тремя семействами характеристик:
· Входные характеристики: 
· Выходные характеристики: 
· Проходные характеристики: 
Порядок
выполнения
1. Исследование биполярного транзистора, включенного по схеме
с общим эмиттером.
Собрать схему согласно рис. 1.
Снятие семейства входных 
и проходных 
характеристик транзистора.
Для этого установить с помощью регулятора напряжения источника 
напряжение между коллектором и эмиттером 
, изменяя ток базы 
с помощью регулятора источника напряжения 
зафиксировать значения напряжения между базой и эмиттером 
и тока коллектора 
. Опыт повторить при 
В и 
В. Во время опыта 
всякий раз поддерживать неизменным.
Таблица 1
|
I б, мкА
|
Uкэ=0 В
|
Uкэ=3 В
|
Uкэ=6 В
|
|
Uбэ, мВ
|
Iк, мА
|
Uбэ, мВ
|
Iк, мА
|
Uбэ, мВ
|
Iк, мА
|
|
0
|
0,02
|
0
|
0,058
|
0,06
|
0,059
|
0,06
|
|
0,025
|
0,095
|
0,09
|
0,145
|
1,41
|
0,146
|
1,44
|
|
0,05
|
0,119
|
0,19
|
0,171
|
3,15
|
0,173
|
3,38
|
|
0,075
|
0,134
|
0,28
|
0,19
|
5,17
|
0,19
|
5,57
|
|
0,1
|
0,146
|
0,37
|
0,205
|
7,18
|
0,203
|
7,89
|
|
0,125
|
0,44
|
0,218
|
9,35
|
0,214
|
10,58
|
|
0,15
|
0,164
|
0,52
|
0,231
|
11,45
|
0,224
|
13,29
|
По данным таблицы 1 построить семейство входных 
и проходных
характеристик биполярного транзистора включенного по схеме с
общим эмиттером. Вид характеристик показан на рис 2, 3.
Входные характеристики биполярного транзистора, включенного
по схеме с общим эмиттером
транзистор биполярный эмиттер электронный
Выходные характеристик биполярного транзистора
Рассчитать значения статического и динамического входного
сопротивления транзистора в заданной преподавателем точке входной
характеристике транзистора по формулам (1,2)

, (1)

. (2)
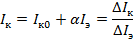
Рассчитать значения статического и динамического коэффициента
усиления транзистора по току в заданной преподавателем точке проходной
характеристике транзистора по формулам (3,4)

, (3)

. (4)
|
мОм
|
Rвх. Ст
|
Rвх.динам
|
Rвх. Ст
|
Rвх.динам
|
Rвх. Ст
|
Rвх.динам
|
|
0
|
0
|
0
|
0
|
0
|
0
|
|
3,8
|
3
|
5,8
|
3,48
|
5,84
|
3,48
|
|
2,38
|
0,96
|
3,42
|
1,04
|
3,46
|
1,08
|
|
1,78
|
0,6
|
2,53
|
0,76
|
2,53
|
0,68
|
|
1,46
|
0,48
|
2,05
|
0,6
|
2,03
|
0,52
|
|
1,24
|
0,36
|
1,74
|
0,52
|
1,71
|
0,44
|
|
1,09
|
0,36
|
1,54
|
1,49
|
0
|
|
Сред
|
1,96
|
0,82
|
2,84
|
1,15
|
2,8
|
1,03
|
|
|
|
|
|
|
|
|
Кi ст.
|
Ki динам.
|
Кi ст.
|
Ki динам.
|
Кi ст.
|
Ki динам.
|
|
0
|
0
|
0
|
0
|
0
|
0
|
|
3,6
|
3,6
|
56,4
|
54
|
57,6
|
55,2
|
|
3,8
|
4
|
63
|
69,6
|
67,6
|
77,6
|
|
3,7
|
3,6
|
68,9
|
80,8
|
74,2
|
87,6
|
|
3,7
|
3,6
|
71,8
|
80,4
|
78,9
|
92,8
|
|
3,5
|
2,8
|
74,8
|
86,8
|
84,64
|
107,6
|
|
3,4
|
3,2
|
76,3
|
84
|
88,6
|
108,4
|
|
Сред
|
3,6
|
3,4
|
68,5
|
75,9
|
75,2
|
88,2
|
Снять семейство выходных характеристик транзистора
.
Для этого с помощью регулятора напряжения источника 
установить и поддерживая в течении опыта постоянным значение тока
базы сначала 
мА, затем
мА, 
мА и 
мА, снять зависимость тока коллектора 
от напряжения между коллектором и эмиттером
, меняя последнее с помощью регулятора напряжения источника 
. Результаты измерений свести в таблицу 2.
Таблица 2
|
U кэ, В
|
Iк, мА
|
|
Iб=0, мкА
|
Iб=100, мкА
|
Iб=150, мкА
|
|
0
|
0
|
1,99
|
0,58
|
0,82
|
|
0,5
|
0,07
|
2,8
|
6,50
|
10,33
|
|
1
|
0,07
|
2,88
|
6,65
|
10,64
|
|
2
|
0,07
|
2,99
|
6,91
|
11,04
|
|
3
|
0,07
|
3,08
|
7,14
|
11,52
|
|
4
|
0,07
|
3,16
|
7,42
|
11,97
|
|
5
|
0,07
|
3,24
|
7,67
|
12,5
|
|
6
|
0,08
|
3,32
|
8,01
|
13,01
|
Вид характеристик приведен на рис. 4.Графики семейства
выходных характеристик биполярного транзистора.
. Исследование биполярного транзистора, включенного по схеме
с общей базой.
Собрать схему, согласно рис. 5.
Снять входную 
и проходную 
характеристики транзистора.
Для этого установить с помощью регулятора напряжения источника 
напряжение между коллектором и базой 
, изменяя ток эмиттера 
с помощью регулятора источника напряжения 
зафиксировать значения напряжения между базой и эмиттером 
и тока коллектора 
. Опыт повторить при 
В и 
В. Во время опыта 
всякий раз поддерживать неизменным. Результаты измерений свести в
таблицу 1.
Таблица №3
|
I э, мА
|
Uкб=0 В
|
Uкб=3 В
|
Uкб=6 В
|
|
Uбэ, мВ
|
Iк, мА
|
Uбэ, мВ
|
Iк, мА
|
Uбэ, мВ
|
Iк, мА
|
|
0
|
0,003
|
0
|
0,001
|
0
|
0,002
|
0
|
|
2,5
|
0,191
|
2,47
|
2,43
|
0,184
|
2,48
|
|
5
|
0,24
|
4,99
|
0,233
|
4,97
|
0,231
|
5,04
|
|
7,5
|
0,287
|
7,46
|
0,273
|
7,43
|
0,267
|
7,46
|
|
10
|
0,315
|
9,65
|
0,308
|
9,68
|
0,298
|
9,7
|
Входные характеристики биополярного транзистора,включенного
по схеме с общей базой
Проходные характеристики биополярного транзистора,включенного
по схеме с общей базой
Рассчитать значения статического и динамического входного
сопротивления транзистора в заданной преподавателем точке входной характеристике
транзистора по формулам (5,6)

, (5)

. (6)
Рассчитать значения статического и динамического коэффициента
усиления транзистора по току в заданной преподавателем точке проходной
характеристике транзистора по формулам (7,8)

, (7)

. (8)
|
Ом
|
Rвх. Ст
|
Rвх.динам
|
Rвх. Ст
|
Rвх.динам
|
Rвх. Ст
|
Rвх.динам
|
|
0
|
0
|
0
|
0
|
0
|
0
|
|
0,076
|
0,075
|
0,074
|
0,074
|
0,073
|
0,072
|
|
0,048
|
0,019
|
0,046
|
0,018
|
0,046
|
0,018
|
|
0,038
|
0,018
|
0,036
|
0,016
|
0,035
|
0,014
|
|
0,031
|
0,011
|
0,030
|
0,014
|
0,029
|
|
Сред
|
0,048
|
0,031
|
0,047
|
0,030
|
0,046
|
0,029
|
|
|
|
|
|
|
|
|
Кi ст.
|
Ki динам.
|
Кi ст.
|
Ki динам.
|
Кi ст.
|
Ki динам.
|
|
0
|
0
|
0
|
0
|
0
|
0
|
|
0,988
|
0,988
|
0,972
|
0,972
|
0,992
|
0,992
|
|
0,998
|
1,008
|
0,994
|
1,016
|
1,008
|
1,024
|
|
0,994
|
0,988
|
0,990
|
0,984
|
0,994
|
0,968
|
|
0,965
|
0,876
|
0,968
|
0,9
|
0,97
|
0,896
|
|
Сред
|
0,986
|
0,965
|
0,981
|
0,968
|
0,991
|
0,97
|
Снять семейство выходных характеристик транзистора включенного по
схеме с общей базой 
.
Для этого зафиксировав с помощью регулятора источника напряжения 
значение тока эмиттера 
в соответствии с таблицей 4, снять зависимость тока коллектора 
и напряжения между базой и коллектором 
, изменяя последнее с помощью регулятора напряжения источника 
.
Таблица № 4
|
Uкб,В
|
Iк,мА
|
|
Iэ=0 мА
|
Iэ=1мА
|
Iэ=2мА
|
Iэ=3 мА
|
Iэ=4мА
|
Iэ=5мА
|
|
0
|
0
|
1,03
|
2,04
|
3,01
|
3,99
|
5,02
|
|
2
|
0,005
|
2,04
|
3,02
|
3,99
|
5,03
|
|
4
|
0,005
|
1,04
|
2,04
|
3,02
|
4
|
5,03
|
|
6
|
0,005
|
1,04
|
2,04
|
3,03
|
4
|
5,04
|
|
8
|
0,005
|
1,04
|
2,05
|
3,03
|
4,01
|
5,04
|
|
10
|
0,005
|
1,04
|
2,05
|
3,03
|
4,01
|
5,05
|
Семейство проходных характеристик биполярного транзистора
включенного по схеме с общим эмиттером
Семейство входных характеристик биополярного транзистора
включенного по схеме с общим эмиттером
Заключение
В ходе данной работы мы исследовали биполярный транзистор
включенный по двум видам схем: с общим эмиттером и с общей базой.