Устройство генерирования и формирования сигналов
Задание на
курсовую работу
Задача 1. Расчет и разработка структурной схемы передатчика.
Исходные данные: транзисторный передатчик с выходной мощностью
на
частоте
Задача
2. Выбор активного элемента оконечного каскада (усилителя мощности)
радиопередатчика и произвести его электрический расчёт.
Исходные
данные:
- номинальный режим: граничный;
- угол отсечки коллекторного тока: θ = (90 - N)0;
- напряжение питания:
- коэффициент бегущей волны на входе выходной цепи связи:
Задача
3. Расчёт цепи согласования оконечного каскада с нагрузкой.
Рассчитать
ЦС (трансформатор на феррите) между оконечным каскадом и фидером (Rвх
фид = 75 Ом), если коэффициент трансформации принимает одно из дискретных
значений ...,
1/16, 1/9, ¼, 1, 4, 9, 16 ... .
Произвести конструктивный расчёт катушек индуктивности. Если коэффициент
трансформации отсутствует в представленном ряде, выполнить расчёт ЦС в виде
П-образного четырёхполюсника.
Задача
4. Расчет каскада с амплитудной модуляцией.
Исходные
данные:
модуляцию
выполнить в любом из каскадов методом смещения;
верхняя
частота сигнала
Задача
5. Расчёт каскада с частотной модуляцией.
Задача
6. Расчёт возбудителя частоты (автогенератора).
Исходные
данные: рабочая частота fр = 1 МГц.
I. Разработка структурной схемы
передатчика
В начале проектирования необходимо составить структурную схему тракта
радиочастоты передатчика. Задачей составления структурной схемы является
определение рационального числа каскадов высокой частоты между возбудителем и
выходом передатчика, обеспечивающего выполнение заданных технических требований
к передатчику при минимальных затратах средств на изготовление и при достаточно
высоком коэффициенте полезного действия (КПД). Следует помнить, что мощность
типового возбудителя, выбираемая для построения структурной схемы, не
превосходит 10 мВт. На данном этапе схема является ориентировочной, потому что
составляется на основе обобщения опыта проектирования передатчиков,
накопленного в прошлом, использования усреднённого коэффициента NP, представляющего собой отношение
номинальных (паспортных) мощностей электронных приборов двух соседних каскадов.
Такой обобщённый подход позволяет достаточно просто получить представление о
том, каким в первом приближении будет проектируемый передатчик, и при
дальнейшем проектировании согласовывать отдельные частные решения с обобщённой
структурной схемой передатчика в целом.
Зная номинальную мощность лампы выходного каскада P1ном(n) ориентировочное значение мощности лампы предыдущего
каскада можно найти по формуле:
. (1.1)
Аналогично определяется значение NP(n-1) и вычисляется ориентировочное
значение номинальной мощности лампы следующего (n - 2) каскада. Так продолжается до тех пор, пока необходимая
мощность очередного каскада окажется равной (или несколько меньшей) мощности
типового возбудителя.
Расчёт структурной схемы транзисторного передатчика начинается с
определения необходимого числа транзисторов для получения заданной мощности.
Исходя из этого выясняется возможность применения последовательной структурной
схемы или необходимость использования системы сложения мощностей нескольких
модулей. Следует помнить, что устройства сложения и распределения мощностей
имеют КПД равные 0,8 … 0,9.
При выборе последовательной схемы транзисторы используются на пределе
своих возможностей по мощности и частоте. При работе в области высоких частот
коэффициент усиления по мощности мал
и приближённо зависит от частоты следующим образом:
. (1.2)
Значения экспериментальных величин для некоторых транзисторов
представлены в следующей таблице:
Таблица 1.2
|
Тип транзистора
|
, МГц
|
|
, МГц
|
, В
|
, Вт
|
|
2Т926А
|
50
|
20
|
1,5
|
22
|
50
|
|
2Т967А
|
240
|
10 … 13
|
30
|
27
|
70
|
|
2Т950А
|
360
|
7 … 11
|
80
|
28
|
70
|
|
2Т920А
|
750
|
7 … 12
|
175
|
12.6
|
2
|
|
2Т930Б
|
1000
|
4
|
400
|
28
|
75
|
Построение модульной структурной схемы осуществляют путём выбора типов
транзисторов, их числа в модуле (два или четыре) и, учитывая КПД выходного
трансформатора
. Определяют мощность модуля
, где m - число транзисторов в модуле. С учётом КПД фильтрующей
системы передатчика
и устройств сложения мощностей
определяют число модулей в выходном
каскаде:
. (1.3)
Число модулей в предшествующей (предоконечной) группе зависит от
коэффициента усиления по мощности KP, ориентировочное значение которого определяется, как описано
выше, с учётом КПД входного трансформатора и устройства распределения мощности,
имеющего между группами (каскадами)
:
. (1.4)
Число модулей должно быть целым.
Примеры расчёта структурной схемы передатчика
Разработать последовательную и модульную структурные схемы транзисторного
радиопередатчика с выходной мощностью P1ном = 70 Вт
на частоте f = 150 МГц.
Решение:
В качестве активного элемента выберем транзистор 2Т926А, для которого
зададим следующие значения: EK =
, P1 = 20 Вт. Выберем число транзисторов в модуле равное двум и
определим мощность модуля
Вт.
Определим число модулей в выходном каскаде, см. 1.3
Выбираем целое число, т.е.
.
Поскольку
, то с учётом (1.2), получим KP
вых = 5,6; т.е. на вход выходного
каскада должен поступать сигнал с мощностью
Вт.
Количество
модулей в предвыходном каскаде, в соответствии с (1.4):
Таким
образом, в предвыходном каскаде достаточно одного модуля из двух транзисторов.
Каждый из транзисторов должен отдавать на вход следующего каскада мощность
,
откуда
Вт.
С
учётом (1.2), получим KP (n-1) ≈ 9.
На
вход предвыходного модуля должен поступать сигнал мощности
Вт.
Для
мощности 1,4 Вт уже можно не применять модульный принцип и реализовать (n-2)
каскад на одном транзисторе. Тогда с учётом (1.2), получим KP (n-2) ≈ 80. Данное значение чрезмерно велико, что
будет вызывать самовозбуждение в данном каскаде. Выберем другой активный
элемент КТ602А с параметрами
=20,
=40 МГц,
= 60 В,
= 2 Вт. Тогда с учётом (1.2), KP
(n-2) = 5,5.
Тогда
Вт.
Для
следующего каскада будем использовать этот же транзистор. Тогда с учётом (1.2),
KP (n-3) = 30.
мВт.
Таким образом, на вход (n-3)
каскада должна поступать мощность 8 мВт, которая близка к выходной мощности
возбудителя (автогенератора).
Структурная схема будет иметь вид, изображённый ниже.
Рис. 1.1. Структурная схема передатчика
(без цепей согласования)
II. Расчёт усилителя мощности
Выбор транзистора и методики расчёта транзисторного усилителя мощности.
При разработке транзисторного усилителя мощности (УМ) первым делом необходимо
подобрать подходящие транзисторы, а затем подходящие методики расчёта.
Последнее очень важно, так как в противном случае будет выполнен формальный
расчёт режима транзистора, и рассчитанные параметры будут существенно
отличаться от практических результатов.
Выбор транзистора для выходного (оконечного) каскада УМ осуществляется на
основании заданной мощности P1 в полезной нагрузке и рабочей
частоты f (или диапазона рабочих частот fмин - fмакс) УМ.
При разработке УМ на биполярном транзисторе рекомендуется, чтобы рабочая
частота УМ (в случае диапазонного или полосового УМ его нижняя рабочая частота)
составляла не менее 20…30 % от граничной рабочей частоты транзистора fгр, независимо от схемы включения транзистора:
с общим эмиттером (ОЭ) или с общей базой (ОБ). При этом верхняя рабочая частота
УМ при включении транзистора с ОЭ обычно принимается не превышающей fгр и (2…3)fгр при включении транзистора с ОБ. Как известно,
,
где
- коэффициент передачи транзистора по току в схеме с
ОЭ при частоте
(обозначается также как
);
-
граничная частота, на которой модуль коэффициента передачи по току в схеме ОЭ
уменьшается в
раз по сравнению со значением на частоте
.
Для
большинства мощных генераторных транзисторов значение коэффициента передачи по
току в схеме ОЭ оказывается порядка 15…30. В таких пределах рекомендуется также
принимать значение этого коэффициента, если в справочных данных на транзистор
оно отсутствует. При указанных значениях коэффициента передачи по току в схеме
ОЭ с учётом сказанного выше относительно соотношения между нижней рабочей
частотой УМ и граничной частотой транзистора fгр получаем:
.
Согласно
последнему соотношению нижняя рабочая частота транзисторного УМ не должна быть
меньше
. Если разрабатываемый УМ является выходным каскадом
радиопередатчика, то при выборе транзистора по мощности правую часть следует
увеличить в 1,05…1,1 раза, обеспечивая этим так называемый производственный
запас по мощности транзистора. Не следует выбирать транзистор на мощность, в 2
и более раз превышающую требуемую для УМ, так как в этом случае коэффициент
усиления по мощности УМ и КПД коллекторной цепи окажутся довольно низкими. Если
мощность транзистора существенно превышает требуемую для разрабатываемого УМ,
необходимо понижать рабочее напряжение питания транзистора по сравнению с номинальным
(паспортным) значением. Надо иметь в виду, что снижение рабочего напряжения
питания коллектора транзистора понижает его граничную частоту
Выходная
(паспортная) колебательная мощность транзистора для УМ должна удовлетворять
условию
,
где
- КПД цепи согласования, через которую полезная
нагрузка УМ, имеющая в общем случае комплексный характер
,
подключается
к транзистору. КПД цепи согласования учитывает потери колебательной мощности в
ней.
Выбрав
транзистор, подходящий по мощности и частоте, определяют возможное значение
коэффициента усиления УМ, выполненного на этом транзисторе, на рабочей частоте
в соответствии с (1.2).
При
этом полезно учитывать, что при любой схеме включения транзистора его
максимальная выходная мощность на нижней рабочей частоте, может приблизительно
в 2 раза превышать мощность на верхней частотной границе.
Выражение
(1.2) считается пригодным на частотах
, т.е.,
начиная с нижней рабочей частоты УМ.
Верхняя
частотная граница применения транзистора в УМ соответствует снижению
малосигнального коэффициента усиления по мощности КР приблизительно
до 2…3. При меньших значениях КР применение транзистора лишено
смысла. Если принять, что верхняя рабочая частота при включении транзистора по
схеме ОЭ равна fгр, то
можно считать, что на этой частоте значение КР в любом случае не
будет превышать 2…3. На частоте в 3…4 раза меньше fгр, что примерно соответствует нижней рабочей частоте
транзистора в УМ, коэффициент усиления по мощности возрастает примерно на
порядок и составляет 20…30.
Сказанное
выше позволяет оценить возможные параметры транзистора в части выходной
колебательной мощности и интервала рабочих частот в УМ, исходя из известных
значений
и f ’.
Если
намеченный к применению транзистор на рабочей частоте разрабатываемого УМ
предположительно обладает КР > 30, следует попробовать подобрать
другой транзистор с меньшим значением граничной частоты, который при той же
мощности будет дешевле и несколько надёжнее. Для понижения КР
выбранного транзистора можно понизить рабочее напряжение питания коллектора
относительно
. Значения КР не выше 25…30 следует
принимать по соображениям устойчивости УМ к самовозбуждению.
Согласно
(1.2), чем выше рабочая частота, тем меньше значение КР, и,
наоборот, чем меньше рабочая частота, тем выше возможное значение КР.
При разработке УМ следует определить возможные значения КР на краях
рабочего диапазона частот. Значение КР на нижней рабочей частоте
важно для оценки устойчивости УМ к самовозбуждению, тогда как значение КР
на верхней рабочей частоте необходимо учитывать при выборе транзистора для
предшествующего каскада - возбудителя разрабатываемого УМ. В случае
узкополосного УМ можно оценивать возможное значение КР на средней
рабочей частоте fСР,
определяемой как
или
.
Определив
возможное значение КР выбранного для выходного (оконечного) каскада
УМ транзистора на верхней (или средней) рабочей частоте, можно найти ожидаемое
значение мощности возбуждения транзистора:
.
Исходя
из этой мощности и рабочей частоты (диапазона рабочих частот) подбирается
транзистор для каскада, являющегося источником сигнала возбуждения оконечного
(выходного) каскада УМ. Выбор транзистора осуществляется, как и для выходного каскада.
Такой подход к выбору транзисторов для каскадов УМ лежит в основе разработки
структурной схемы многокаскадного радиопередатчика.
Выбрав
транзистор для соответствующего каскада УМ, необходимо взять из справочника
(паспортных данных) все доступные данные на транзистор, которые потребуются для
выбора подходящей методики расчёта каскада УМ и выполнения самих расчётов.
Расчет
электрического режима транзистора состоит из двух этапов: расчет коллекторной
цепи и расчет входной цепи. Расчет коллекторной цепи можно проводить независимо
от схемы включения транзистора, а входной - раздельно для схем с ОЭ или с ОБ.
При обеих схемах включения транзистора его входная цепь (цепь возбуждения)
строится таким образом, чтобы транзистор работал без отсечки тока в классе А (θ = 180°) либо с отсечкой тока в классе В (θ = 90°). При этом импульсы коллекторного тока должны быть
близкими к симметричным отрезкам косинусоиды, что, например, особенно важно при
построении двухтактных генераторов.
Расчёт
генератора проводится при заданной колебательной мощности P1. В
двухтактных генераторах - при заданной мощности Р1, приходящейся на
один транзистор, в двухтактных генераторах на балансных транзисторах на
половинную мощность, развиваемую данным прибором.
Расчёт
коллекторной цепи. Для современных мощных биполярных транзисторов, как правило,
оговаривается номинальное напряжение коллекторного питания Ек.п. Напряжение
коллекторного питания Ек.п. может быть задано в задании на
проектируемый передатчик, в частности его источниками питания, аккумуляторами и
т.д., либо выбираться согласно ГОСТу. Из числа стандартных питающих напряжений,
в транзисторных каскадах передатчиков могут использоваться следующие: 3; 4; 5;
6; 9; 12; 15; 20; 24; 27; 30; 48; 60; 80 В. Наиболее часто используются 6; 12; 24;
48 В. По согласованию с заказчиком могут применяться 6,3; 12,6; 40 В. В
последние годы для аппаратуры связи с подвижными объектами (сотовой,
транкинговой, радиальной) выпускаются транзисторы, специально рассчитанные на
низкие питающие напряжения гальванических батарей или аккумуляторов. Здесь
рекомендуются напряжения 5,8; 6; 8,5; 12,5 В. Использование при невысоких
питающих напряжениях 6... 12 В более высоковольтных транзисторов, рассчитанных
на 27. ..50 В, приводит к существенному снижению мощности, КПД и КP.
Если
напряжение Ек.п. не задается, то в мощном оконечном каскаде его
можно определить исходя из допустимого ЕК.ДОП или полного
использования транзистора по напряжению, когда Ек.maх = Екэ.ДОП или
Екб.доп. При этом можно получить более высокие значения КПД и КP,
а в некоторых случаях снять с транзистора колебательную мощность Р1
большую, чем
, экспериментальную для данного транзистора. Если
транзистор заведомо недоиспользуется по мощности (P1<
), целесообразно занижать Ек.max на 20... 30 % по отношению к допустимому значению, что значительно
повышает надёжность его работы, хотя и несколько снижает КПД и КP,
а также увеличивает рассеиваемую на нем мощность.
Расчёт
коллекторной цепи транзистора проводят с учётом, возможного рассогласования
нагрузки. Для оконечного каскада передатчика нагрузкой ZН является
входное сопротивление антенны или согласующего устройства, устанавливаемого
перед антенной. Нагрузкой предоконечного и предварительных каскадов является
входное сопротивление последующего каскада.
Входное
сопротивление антенны или согласующего устройства на рабочей фиксированной
частоте, а тем более в диапазоне рабочих частот может отличаться от
номинального Rн.ном.
Область возможных отклонений ZН относительно Rн.ном определяется допустимым коэффициентом бегущей волны в
нагрузке КБВН (или коэффициентом стоячей волны КСВН =
1/КБВН). К транзистору оконечного каскада нагрузка подключается
через выходную цепь связи (фильтрующую систему). В узкодиапазонных, резонансных
оконечных каскадах обычно нагрузочное сопротивление ZН трансформируется
в выходной ЦС (фильтрующей системе) в необходимое RЭK для
транзистора. В широкодиапазонных каскадах выходная ЦС (фильтрующая система)
проектируется на заданный КБВф в рабочей полосе частот. Кроме того,
мостовая схема сложения, устанавливаемая в оконечном каскаде, может также
вносить некоторые рассогласования на входе, определяемые своим КБВМ.
Для оценки результирующего рассогласования, создаваемого этими последовательно
включенными цепями, нагруженными на комплексное сопротивление ZН,
надо в диапазоне рабочих частот fн...fв рассчитать результирующее входное сопротивление ZBX
и затем оценить минимальный КБВВХ на входе, определяющий отклонение ΔZBX
входного сопротивления ZBX относительно номинального сопротивления Rвх.Ном, равного RЭК для транзисторов оконечного каскада. Поскольку расчет
ZBX оказывается очень трудоемким, ограничиваются приближенной
оценкой KБBBx.min. С запасом KБBBX.min можно определить
как произведение КБВ всех последовательно включенных цепей и КБВН
нагрузки:
КБВвхmin = КБВНКБВФКБВМ. (2.1)
Значение
КБВвх min в оконечных каскадах не должно быть ниже 0,5.. .0,7.
Расчет
коллекторной цепи надо вести так, чтобы при номинальном нагрузочном
сопротивлении Rэк.Ном
обеспечивался граничный режим, т.е. Rэк.ном= Rэк.гр.
Тогда при уменьшении нагрузочного сопротивления (|ZЭК| < Rэк.ном)
транзистор будет переходить в недонапряженный режим, при увеличении (|ZЭК| > Rэк.ном) -
в перенапряженный. При этом мощность в нагрузке изменяется в меньшей степени (P1max/P1min ≥ 1/КБВвх), а КПД и КP
остаются близкими к максимальным.
Расчет
выполняют исходя из заданной номинальной мощности P1ном при работе транзистора в граничном режиме. Граничный
режим можно считать оптимальным на низких и средних частотах. Величина rнас транзистора находится по выходным статическим
характеристикам iк(ек).
На высоких частотах, где коэффициент усиления становится низким, для его
повышения за счёт некоторого снижения КПД переходят в слегка недонапряжённый
режим работы транзистора. При этом расчёт коллекторной цепи ведётся с
использованием формул для граничного режима, только значение rнас увеличивают в 1,5...3,0 раза.
В
последующие расчётные соотношения входят α и γ
- коэффициенты разложения
косинусоидальных импульсов с углом отсечки θ (или
) и ряд параметров транзисторов, которые берут из
[табл. 1.1, 10] и справочных данных [9]. Расчёт выполняют в следующей
последовательности.
.
Амплитуда напряжения первой гармоники UK1 на коллекторе
, (2.2)
где
напряжение коллекторного питания Ек считается заданным либо
выбирается равным стандартному. В (2.2) следует подставлять Ек,
уменьшенное относительно напряжения источника питания Еп на 0,1..
.0,5 В, что может быть связано с потерями по постоянному току в блокировочном
дросселе и в измерительном сопротивлении (или приборе) для контроля постоянной
составляющей тока коллектора IК0,
отметим, что для достижения КПД не ниже 0,6 величина под радикалом в (2.2)
должна быть не менее 0,3...0,4.
При
полном использовании транзистора по напряжению (EKmax ≤ Eк.доп) из условия Ек = Eк.доп - Uк1 mах = Eк.доп -
(1, 2 ... 1, 3)Uк.гр, где
коэффициент 1,2...1,3 учитывает увеличение UK1 при переходе в
перенапряженный режим, и принимая Uк1гр = (0, 7 .. .0, 9)EK определяем
Ек
≤ (0,46...0,54)·Ек.Доп (2.3)
Соответственно
напряжение питания Еп должно быть увеличено на 0,1...0,5 В, и
желательно, чтобы оно было равно стандартному значению.
.
Максимальное напряжение на коллекторе не должно превышать допустимого:
к max = Ек + (1,
2 ... 1,3)·Uк1гр ≤
Eк.доп.
(2.4)
Если
это не выполняется, необходимо снизить Ек.
.
Амплитуда первой гармоники коллекторного тока
(2.5)
.
Постоянная составляющая коллекторного тока
при θ <
180°, (2.6а)
для
класса А. (2.6б)
.
Максимальный коллекторный ток
при 0
< 180°, (2.7а)
для
класса А. (2.7б)
.
Максимальная мощность, потребляемая от источника питания,
. (2.8)
.
Коэффициент полезного действия коллекторной цепи при номинальной нагрузке
(2.9)
.
Максимальная рассеиваемая мощность на коллекторе транзистора
при θ <
180°; (2.10а)
для
класса А. (2.10б)
.
Номинальное сопротивление коллекторной нагрузки (в двухтактных генераторах для
транзистора в одном из плеч)
. (2.11)
В
ГВВ, построенных на трансформаторах с магнитными связями и трансформаторах на
линиях из-за дискретного значения коэффициента трансформации, двухкратной
трансформации сопротивлений в схемах двухтактных генераторов, дискретной
трансформации сопротивлений в широкодиапазонных мостовых схемах сложения
(деления) мощности при заданном нагрузочном сопротивлении передатчика не всегда
можно обеспечить точно расчётное значение Rэк.ном (2.11).
Расчет
входной цепи транзистора. Приводимая ниже методика расчёта входной цепи для
схем с ОЭ и с ОБ справедлива на частотах до (0,5...0,8)·fт. Если рабочая частота оказывается выше, то следует
брать более высокочастотный транзистор. Для транзисторов диапазона УВЧ-СВЧ (f ≥ 500... 1000 МГц)
существенную роль играют LC-элементы, образующиеся или специально создаваемые
между кристаллом и корпусом транзистора. Это относится и к более низкочастотным
транзисторам, внутри корпуса, которых встроены согласующе-трансформирующие LC-цепи.
В этих случаях расчёт входной цепи проводят с применением ЭВМ, используя полные
эквивалентные схемы транзисторов с учетом дополнительных LCR-элементов, либо
ориентируются на экспериментальные измерения параметров входной цепи, в
частности на приводимые в справочниках.
При
расчёте входной цепи транзистора с ОЭ предполагается, что между базовым и
эмиттерным выводами транзистора по радиочастоте включен резистор Rдоп, сопротивление которого составляет
при
(2.12)
Кроме
того, между коллекторным и базовым выводами включен резистор величиной
. На частотах f > 3fт/h21э0 в
реальных схемах можно не ставить Rдоп и Rбк, однако в
последующих расчётных формулах Rдоп
необходимо оставлять.
Расчёт
ведут в такой последовательности.
.
Амплитуда тока базы
(2.13a)
где
.
Напряжение смещения на эмиттерном переходе при θ<1800
(2.14a)
В
режиме класса А
(2.15a)
Напряжение
Еотс принимают равным 0,5...0,7 В для кремниевых и 0,2...0,3 В для
германиевых транзисторов.
.
Максимальное обратное напряжение на эмиттерном переходе
. (2.16а)
В
режиме класса А расчет Eбэmах опускается.
Если
Ебэ и Eбэmах превышают предельно допустимые значения, то можно
уменьшить сопротивление Rдоп по
сравнению с (2.12).
.
В эквивалентной схеме входного сопротивления транзистора LBXОЭ, rвхоэ, Свхоэ находят по следующим формулам:
(2.17a)
На
практике является важным частный случай - диапазон относительно высоких частот
данного транзистора (f > 3fт/h21э0), для которого (2.13а)-(2.17а) удобно привести к виду
;
(2.13б)
; (2.14б)
; (2.15б)
; (2.16б)
; m
; (2.17б)
. .
.
Резистивная и реактивная составляющие входного сопротивления транзистора
(2.18а)
.
Входная мощность
(2.19)
.
Коэффициент усиления по мощности
КР
= P1/PBX. (2.20)
.
Постоянные составляющие базового и эмиттерного токов
,
(2.21)
В
конце расчётов коллекторной и входной цепей транзистора определяют мощность,
рассеиваемую в нем: Ррас ≈ РКmах + Pвх. Значение Ррас является исходным
параметром для расчёта температуры в структуре транзистора и системы его
охлаждения.
Пример
расчёта генератора с внешним возбуждением
Произвести
расчёт генератора с внешним возбуждением в соответствии со следующим заданием:
- назначение генератора: усилитель мощности ЧМ-колебаний радиопередатчика с
постоянной амплитудой;
- схемное построение генератора: двухтактный резонансный
усилитель мощности на биполярных транзисторах по схеме с общим эмиттером;
- номинальный режим: граничный;
- угол отсечки коллекторного тока: θ
= 900;
- напряжение питания: ЕП = 30 В;
- колебательная мощность, приходящаяся на один транзистор: Р1
= 6,5 Вт.
- рабочая частота: f = 114 МГц.
- коэффициент бегущей волны на входе выходной цепи связи: КБВ =
0,7.
Решение:
По справочным данным, приведённым в [10, табл. 1.1] выберем тип
транзистора 2Т920Б.
) Укажем значения параметров заданного транзистора.
Параметры идеализированных статических характеристик:
1.
Коэффициент передачи по току
в схеме
с общим эмиттером на постоянном токе -
.
.
Сопротивление rб
материала базы -
Ом.
.
Стабилизирующее сопротивление
в цепи
эмиттера -
Ом.
.
Сопротивление
утечки эмиттерного перехода -
кОм.
.
Сопротивление насыщения
по высокой частоте -
Ом.
Высокочастотные
параметры
.
Граничная частота передачи
по току
в схеме с ОЭ -
400…700 МГц.
.
Барьерная емкость
эмиттерного перехода -
80 … 100
пФ, при Еэ = 0 В.
.
Барьерная емкость
коллекторного перехода -
= 16 … 25 пФ, при напряжении на коллекторе ЕК
= 10 В.
.
Барьерная емкость
активной части коллекторного перехода -
, т.е.
пФ.
.
Постоянная времени коллекторного перехода
7 … 20
пс, при Ек = 0 В.
.
Индуктивности выводов
1,2 нГн,
2,6 нГн,
2,4 нГн.
Допустимые
параметры:
.
Предельное напряжение на коллекторе
при
включении с ОЭ -
36 В.
.
Напряжение коллекторного питания
12,6 В.
.
Обратное напряжение на эмиттерном переходе
4 В.
.
Допустимое значение постоянного тока коллектора
1 А.
.
Максимально допустимое значение тока коллектора
2,0 А.
.
Допустимое значение постоянного тока базы
0,5 А.
.
Максимально допустимое значение тока базы
1,0 А
.
Диапазон рабочих частот - 50 … 200 МГц.
Тепловые
параметры:
.
Максимально допустимая температура переходов транзистора
0С.
.
Тепловое сопротивление переход (кристалл)-корпус
10 0С/Вт.
Экспериментальные
параметры:
Экспериментальные параметры включают экспериментальные характеристики при
работе в условиях, близких к предельно допустимым по какому-либо признаку
(параметру) и ограничивающих мощность транзистора так, чтобы можно было
гарантировать достаточную надежность его работы. Среди них:
1.
Значение частоты
175 МГц.
.
Значение мощности
7 Вт.
.
Значение коэффициента усиления по мощности
4,5 … 9
при напряжении коллекторного питания
12,6 В.
.
Коэффициент полезного действия
60 … 70
%.
.
Схема включения - с общим эмиттером (ОЭ).
.
Режим работы - класс В.
Найдём
значение коэффициента усиления по мощности
, в
соответствии с (1.2):
.
Данное
значение является большим, что может приводить к самовозбуждению каскада
усилителя мощности. Однако, если снизить напряжение на коллекторе до 16 В, то
новое значение
будет вполне удовлетворительным. В связи с этим остановимся на данном
транзисторе.
2) Выполним расчёт электрического режима коллекторной цепи.
1.
Амплитуда напряжения первой гармоники Uк1 на коллекторе, в
соответствии с (2.2), где
(см. справочные данные);
В;
6,5 Вт.
В.
.
В соответствии с (2.4) максимальное напряжение на коллекторе не должно
превышать допустимого:
В
нашем случае
Eк max = 29,7 + 1,25 · 28,7 = 65,6 В > 36 В.
Поскольку
условие не выполняется, уменьшим Ек до 16 В. Тогда
В,
Eк max = 16 + 1,25 · 13,95 = 33,44 В < 36 В.
Значение
под радикалом
≈ 0,55, что позволяет получить высокий КПД.
.
Амплитуда первой гармоники коллекторного тока, в соответствии с (2.5):
А.
.
Постоянная составляющая коллекторного тока, в соответствии с (2.6а), где
:
.
Максимальный коллекторный ток, в соответствии с (2.7а):
.
Максимальная мощность, потребляемая от источника коллекторного питания, в соответствии
с (2.8):
Вт.
.
Коэффициент полезного действия коллекторной цепи при номинальной нагрузке, в
соответствии с (2.9):
.
.
Максимальная рассеиваемая мощность на коллекторе транзистора, в соответствии с
(2.10а):
Вт.
.
Номинальное сопротивление коллекторной нагрузки (для транзистора в одном из
плеч), в соответствии с (2.11):
Ом.
)
Выполним расчёт электрического режима входной цепи.
Выбранная
методика расчёта входной цепи для схем с ОЭ справедлива на частотах до (0,5. .
. 0,8)fт, что
удовлетворяет заданию и параметрам выбранного транзистора. При подстановке
значений параметров будем выбирать его среднее значение из указанного в
справочнике диапазона. В соответствии с (2.12):
Ом.
.
Амплитуда тока базы, в соответствии с (2.13а):
,
А.
.
Напряжение смещения на эмиттерном переходе при θ<1800, в
соответствии с (2.14а):
Напряжение
Еотс принимают для указанного транзистора (кремниевого) равным
0,5...0,7 В.
В.
.
Максимальное обратное напряжение на эмиттерном переходе, в соответствии с
(2.16а):
В >
4 В.
Необходимо
уменьшить значение Rдоп до 55
Ом. Тогда
В,
В <
4 В.
4. В соответствии с (2.17а):
.
.
Резистивная и реактивная составляющие входного сопротивления транзистора, в
соответствии с (2.18а):
Ом.
Ом.
.
.
Входная мощность, в соответствии с (2.19):
Вт.
.
Коэффициент усиления по мощности, в соответствии с (2.20):
.
.
Постоянные составляющие базового и эмиттерного токов, в соответствии с (2.21):
,
.
Мощность,
рассеиваемая в транзисторе:
Ррас
≈ РКmах + Pвх.
4,08 +
0,74 = 4,82 Вт.
III. Расчёт цепи согласования
Цепь
согласования включается между выходными зажимами АЭ и нагрузкой - реальным
потребителем энергии высокочастотных колебаний. Основная задача цепи
согласования трансформировать комплексное (полное) сопротивление внешней
нагрузки
в сопротивление
определяемое
на выходе АЭ.
К выходным, межкаскадным и выходным цепям согласования (ЦС),
установленным в ГВВ, предъявляется ряд требований:
1. Трансформация нагрузочных сопротивлений на основной частоте.
2. Обеспечение для входных цепей определённого входного сопротивления
Zвх(nw), а для входных цепей -
определённого выходного сопротивления Zвых(nw) на частотах высших гармоник.
. Обеспечение заданных амплитудно- и фазочастотных характеристик.
. Возможность перестройки в рабочей полосе частот и при изменениях
нагрузки.
В качестве простых ЦС в ламповых и транзисторных усилителях мощности,
работающих на фиксированных частотах или в узком диапазоне частот с
коэффициентом перекрытия не более 1,1 ... 1,2, широко применяются Г-, П- и
Т-образные реактивные четырёхполюсники или их комбинации (рис. 3.1). На рис.
3.1 сопротивление R2 соответствует сопротивлению нагрузки, R1
- сопротивлению, на которое нагружен АЭ, X1, X2, X3
- сопротивлениям реактивных элементов (конденсаторов, катушек индуктивности).
Рис.
3.1. Обобщённые схемы цепей связи в виде
Г-
(а), П- (б) и Т-образного (в) реактивных четырёхполюсников
Широкодиапазонные трансформаторы с коэффициентом
перекрытия по частоте 10…103 и выше выполняют обычно с магнитопроводом
и разделяют их на два класса:
- с доминирующей магнитной связью между обмотками, т.е.
обычные трансформаторы;
- с электромагнитной связью между
обмотками, образованными отрезками длинных линий, так называемые трансформаторы
на длинных линиях (ТДЛ).
В трансформаторах с магнитной связью взаимодействие
между первичной и вторичной обмоткой достигается за счёт общего магнитного
потока в магнитопроводе (рис. 3.2).
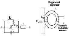
Рис. 3.2. Трансформатор с магнитной связью
Коэффициент
трансформации по току (напряжению) дискретный и пропорционален отношению
количества витков в первичной и вторичной обмотках
(по сопротивлению пропорционален квадрату отношений
).
Для
современных мощных генераторных транзисторов характерны низкие входные и
нагрузочные сопротивления, составляющие единицы и даже доли ома. При столь
низких нагрузочных сопротивлениях частотные ограничения «сверху» определяются
индуктивностями рассеяния, которые не должны превышать единиц и даже долей
наногенри, что в обычных трансформаторах обеспечить затруднительно. Поэтому для
трансформации столь низких сопротивлений в диапазоне частот 0,1…1000 МГц и выше
используют ТДЛ, помещаемых на магнитопроводе из феррита (верхняя граничная
частота полосы пропускания такого трансформатора ограничена потерями в линиях,
а также индуктивностями выводов соединительных проводов (монтажа) и паразитными
межвитковыми ёмкостями, а нижняя частота индуктивностями намагничивания обмоток).
При
построении трансформаторов на отрезках длинных линий с коэффициентом
трансформации отличным от 1:1, используют N линий,
включаемых параллельно и последовательно по входу и выходу в различных
комбинациях. Обычно ограничиваются включением линии с одинаковыми
сопротивлениями
параллельно с одной стороны и последовательно - с
другой (рис. 3.3).
Рис.
3.3. Трансформирующая цепь согласования на длинных линиях
(на
рис.
= ZC)
Чтобы каждая линия была нагружена на согласованное
спротивление необходимо выполнить условие
. Откуда
и
. Из этих
выражений следует, что коэффициент трансформации сопротивлений r =N2
может принимать дискретные значения ..., 1/16, 1/9, ¼, 1, 4,
9, 16 ... .
Примеры расчёта цепей согласования
Выбрать
и рассчитать цепь согласования, если R1 = 120 Ом, R2 = 50
Ом, f =
Гц.
Решение:
Поскольку
указано, что согласование происходит на фиксированной частоте, выберем в качестве
ЦС четырехполюсник Т-типа.
Расчётные
формулы для данной ЦС приведены в [10, табл. 3.1]:
,
,
,
При
этом должно выполняться условие:
,
(обычно
выбирают
в 2 … 5 раз больше
и
).
Примем
Ом, тогда
Ом,
Ом,
Ом.
Поскольку
, а
, то
мкГн,
мкГн,
нФ.
Произведём конструктивный расчёт катушек индуктивности L1 и L2.
Рассчитать ЦС (трансформатор на феррите) между оконечным каскадом (Rэк
ном = 19,34 Ом) и фидером (Rвх
фид = 75 Ом).
Решение:
Задачей ЦС является преобразование входного сопротивления фидера к
выходному сопротивлению оконечного усилительного каскада. Другими словами
необходимо трансформировать 75 Ом в » 19,34 Ом, т.е. необходимо ЦС обеспечить коэффициент
трансформации ¼, если смотреть от потребителя. Для этого достаточно включить
две линии с одинаковыми волновыми сопротивлениями rл, параллельно с одной стороны и последовательно с
другой.
Предполагается, что линии достаточно разнесены в
пространстве и между их проводниками не образуется дополнительных магнитных и
электрических связей. В этом случае, чтобы каждая линия была нагружена на
согласованное сопротивление.
Рис. 3.4. ТДЛ с коэффициентом трансформации ¼
В нашем случае N = 2, Rн = 75 Ом, Uг = Uк1 гр =19,34 В.
Имеем:
По
техническому заданию мощность на выходе передатчика (на нагрузке) должна быть
6,5 Вт (с запасом 7,5 Вт), следовательно амплитудные значения напряжения и тока
в нагрузке можно определить по формулам:
,
.
Имеем:
,
.
Амплитудные
значения напряжения и тока в линии можно определить по формулам:
,
Подставив требуемые величины, с учётом того, что Iк max = 2,0 А получаем:
,
Отметим,
что вторую линию у которой продольное напряжение равно 0 (см рис. 3.4) нет
необходимости наматывать на феррит, хотя длина этой линии должна быть такой же
как и у первой.
Теперь
можно рассчитать требуемую продольную индуктивность линии, при условии a1 = 0,201
(d=0,0098) берём из [10, табл. 3.7] при условии, что m=1 и
Dа = 0,0436, где Dа - неравномерноть
АЧХ в полосе пропускания в дБ.
Подставляя необходимые величины получаем требуемую
продольную индуктивность линии:
.
Выполним
конструктивный расчёт в соответствии с методикой [10, стр. 226 - 233] для
многовитковой конструкции.
Кабель,
из которого будет нарезана длинная линия, выбираем в [10, табл. 3.3, стр.
224-225], а именно КВФ-37, который имеет следующие параметры:
|
Волновое сопротивление, Ом
|
Погонная ёмкость, пФ/м
|
Допустимое напряжение, В
|
Допустимый ток, А
|
a0, дБ/м
|
|
|
|
|
|
|
37,5 ± 3
|
120
|
145
|
8
|
<0,35
|
|
f0, МГц
|
Конструктивные данные
|
|
а, мм
|
b, мм
|
с, мм
|
Минимальный радиус изгиба,
мм
|
Чертёж сечения
|
|
60
|
2,56
|
1,8
|
0,78
|
5
|
Рис. 4.2.1
|
Рис. 3.5. Поперечное сечение коаксиального кабеля КВФ
- 37
В качестве сердечника выберем феррит марки 50 BHC [10, табл. 3.4, стр. 228].
Номинальное значение mн = 50.
Формой сердечника выберем кольцо (см. рис 3.6), размеры
которого подберём из стандартного ряда габаритных размеров ферритовых
сердечников по [10, табл. 3.5, стр. 230]: внешний диаметр D = 12 мм, внутренний диаметр d = 8 мм, высота h = 3 мм.
Рис. 3.6. Вид ферритового сердечника (кольцо)
Определим значения среднего диаметра ферритового
сердечника Dср и площадь сечения кольца ферритового
сердечника S:
Количество витков при намотке линии на ферритовый
сердечник:
.
Определим
длину наматываемого кабеля (lхвоста -
длина концов кабеля для монтажа):
По
полученной длине линии видно, что она меньше l/4 = 64 см
рабочего диапазона, поэтому трансформирующие свойства ТДЛ не будут ухудшаться.
Рассчитаем
амплитуду магнитной индукции в ферритовом сердечнике
Определим
удельные тепловые потери в феррите по формуле:
где
) для выбранного феррита равно 300.
Получаем

.
Мощность
потерь в объёме ферритового сердечника ЦС
.
Определим
потери в линиях ЦС на частоте f
.
где
a0 и f0 - параметры КВФ-37.
.
Рассчитаем КПД ЦС
,
На
этом расчёт заканчивается.
IV. Расчёт амплитудного модулятора
Передатчики с амплитудной модуляцией применяют для телефонной связи,
радиовещания, передачи телевизионных изображений. Их мощность зависит от
назначения линии связи и ее протяженности и колеблется от долей ватт до
десятков мегаватт. Передатчики с АМ работают во всех диапазонах радиочастот.
Структурная схема АМ-передатчика, как правило, многокаскадная, что определяется
высокими требованиями к стабильности частоты передатчика.
При испытаниях, настройке передатчика и теоретических исследованиях
модулирующий сигнал s(t) считают гармоническим с частотой Ω. По этому
закону должна меняться амплитуда тока в антенне передатчика относительно
значения, определяющего режим молчания Iа. мол, когда сигнал
информации отсутствует:
, (4.1)
где
- коэффициент модуляции. Ток
пропорционален амплитуде модулирующего напряжения UW и коэффициенту модуляции m.
Амплитудную
модуляцию можно осуществить в любом из усилительных каскадов передатчика, если
по закону сигнала информации менять фактор модуляции: одно или несколько
питающих напряжений, сопротивления резисторов в цепи антенны, токи питания. В
УМ при АМ необходимо обеспечить не только высокие КПД и коэффициента усиления Кр,
но также обеспечить качество модуляции и малые искажения, которые
появляются при преобразованиях сигнала информации, при этом работу каскада с АМ
удобно оценивать с помощью модуляционных характеристик, указанных выше.
Энергетические
и качественные показатели передатчика зависят от того, какое из питающих
напряжений меняется при модуляции. Различают два основных вида амплитудной
модуляции: напряжением смещения Ес и напряжением питания цепи
коллектора Еп. Кроме того, применяют комбинированную модуляцию, при
которой меняются одновременно несколько питающих напряжений.
Модуляция
смещением.
По сигналу информации изменяют напряжение смещения на входе АЭ: Ес=
Ес. мол +UWcosWt,
при этом схему модулированного усилителя мощности составляют по общим правилам,
добавляя только источник модулирующего напряжения с амплитудой UW, который включают последовательно с
источником Ес. мол, задающим режим молчания.
При модуляции смещением используется недонапряженный режим. Напряжение Ес
влияет на составляющие коллекторного тока Iк1, Iк0,
которые в недонапряженном режиме пропорциональны коэффициентам разложения g1(q), g0(q). Эти зависимости нелинейные, поэтому получить 100% - ную неискаженную
модуляцию коллекторного тока при модуляции смещением не удается. Максимальный
коэффициент модуляции при малых нелинейных искажениях m=0,6.
Расчет каскада начинают с максимальной точки, выбрав критический режим, а
для уменьшения нелинейных искажений угол отсечки коллекторного тока qmax выбирают в пределах 110...120°. В результате расчета определяют
токи, напряжения, мощности, КПД и сопротивление Rк. Мощность,
потребляемая от модулятора РW= 0,5IWUW, где IW -
амплитуда первой гармоники звуковой составляющей входного тока. Мощность
модулятора РW невелика, составляет несколько процентов Р1 мол. В этом
достоинство модуляции смещением, поэтому её обычно реализуют в одном из
маломощных каскадов передатчика.
Коллекторная модуляция.
Модулирующее напряжение вводится последовательно с постоянным напряжением
в цепи коллектора Еп. мол, определяющим режим молчания:
Еп = Еп. мол +UW cos Wt=Еп. мол(1+mcosWt), (4.2)
где m=UW/ Еп. мол.
При коллекторной модуляции используется перенапряженный режим.
Статистические модуляционные характеристики при коллекторной модуляции АЭ
представляют собой зависимости показателей режима от напряжения Еп
при постоянных Ес, Uв, Rк. Токи Iк1,
Iк0 при вариации Еп меняются в ПР и возрастают почти
линейно с ростом Еп, а в НР они практически не меняются. Известно,
что ПР характеризуется большими входными токами, мощностями возбуждения и
рассеяния, что приводит к тяжелому режиму АЭ и низкому усилению Кр.
Напряженность режима удается несколько ослабить, уменьшив входной ток за счет
введения автоматического смещения на входе АЭ вместо внешнего источника
смещения. или применив одновременную модуляцию выходного и предвыходного
каскадов. Модуляция получается комбинированной. При этом статические
характеристики токов в цепи коллектора становятся более линейными.
Номинальная мощность транзистора должна соответствовать мощности в
максимальном режиме Р1 ном = Р1max. Остальные соображения
по выбору АЭ - те же, что и
при отсутствии модуляции.
Варианты схем модулируемого каскада различаются типами АЭ, цепями
согласования и др. элементами схем. Главное, что в цепи питания анода или
коллектора последовательно с источником Еп. мол подают с выхода
модулирующего каскада напряжение UW.
Пример расчёта амплитудного модулятора
Выполнить расчёт амплитудного модулятора с модуляцией смещением для
структурной схемы из примера 1.1.
Решение:
Энергетический расчёт включает в себя [13]:
. Выбор типа транзистора по исходным данным.
. Расчёт коллекторной цепи.
. Расчёт базовой цепи.
В качестве каскада, в котором можно осуществлять модуляцию смещением для
получения АМ-сигналов можно выбрать (см. рис. 1.1) усилитель мощности или
предвыходной модуль. Выберем каскад УМ1, при этом все последующие каскады будут
работать в режиме усиления модулированных колебаний.
Исходными данными будут:
мощность, выделяемая в следующий каскад (УМ1) в максимальном (пиковом)
режиме Р1м = 0,25 Вт;
индекс модуляции m =
0,6
верхняя частота сигнала fв = 50 МГц.
1.
В качестве активного элемента выберем кремниевый маломощный высокочастотный
транзистор КТ602А. Для транзистора КТ602А из справочника [12] выпишем
необходимые для расчёта значения характеристик и параметров: Eк
доп = 100 В, Iк
max = 75 мА, Pк max = 2,8 Вт (с отводом тепла), h21Э = 20-80, IК.об=70 мкА, fгр = 150 МГц, напряжение насыщения коллектор-эмиттер
(при IК = 50 мА)
Енас КЭ = 3 В, напряжение насыщения база-эмиттер (при IК = 50 мА) Енас БЭ = 3 В, максимальная
рассеиваемая мощность с теплоотводом Pрас макс = 0,55 Вт, ёмкость коллекторного перехода Ск
= 4 пФ, постоянная времени цепи обратной связи
= 300 пс.
Расчёт
коллекторной цепи.
.
Угол отсечки выберем равным qк.max = 1200. По таблицам А.И. Берга находим α0к=0,405; α1к=0,54; cosqк.max = 0,5.
.
Определим напряжение на коллекторе Ек = 0,5·Eк доп = 50 В.
.
Определим коэффициент использования коллекторного напряжения в критическом
режиме
,
где
определим из справочных данных, как
.
Тогда
.
.
Определим амплитуду напряжения на коллекторе
,
В.
.
Определим амплитуду первой гармоники коллекторного тока
,
мА.
.
Определим максимальный коллекторный ток (высоту импульса тока коллектора)
,
мА.
.
Определим постоянную составляющую коллекторного тока
,
< Iк
max = 75 мА.
.
Определим эквивалентное сопротивление коллекторной нагрузки, обеспечивающее
рассчитываемый режим
,
Ом.
.
Определим мощность, потребляемую от источника питания коллекторной цепью
транзистора
,
Вт.
.
Определим полезную колебательную мощность на коллекторной нагрузке
,
Вт ≈
0,25 Вт.
.
Определим мощность рассеивания, выделяемую на коллекторе транзистора
,
Вт < Pрас
макс.
.
Определим КПД генератора по коллекторной цепи
,
.
Расчёт
базовой цепи
.
Определим угол дрейфа используемого транзистора на рабочей частоте
а)
Рассчитаем время дрейфа используемого транзистора
,
сек.
б)
угол дрейфа на рабочей частоте
,
.
.
Определим нижний угол отсечки положительных импульсов эмиттерного тока
,
.
По
таблицам А.И. Берга коэффициенты разложения
,
и величина
.
.
Определим модуль коэффициента усиления транзистора по току на рабочей частоте
,
.
.
Определим первую гармонику тока эмиттера
,
мА.
.
Определим высоту (максимальное значение) положительного импульса эмиттерного
тока
,
мА.
.
Определим постоянную составляющую импульса тока эмиттера
,
мА.
.
Определим амплитуду переменного напряжения на переходе эмиттер-база
транзистора, обеспечивающую вышерассчитанный ток
.
,
где
- коэффициент включения коллекторного тока в состав
эмиттерного, выбирается из диапазона 0,95-0,99;
D - коэффициент,
учитывающий рост ВАХ в активной области, для данного случая выберем его
значение равное нулю;
Sк - статическая крутизна коллекторного тока, которую
определим как
.
В.
.
Определим модуль коэффициента передачи напряжения возбуждения с зажимов входных
электродов на переход эмиттер-база транзистора
,
.
.
Определим амплитуду напряжения возбуждения, требуемую от внешнего источника
(нагрузки предыдущего каскада, в нашем случае - автогенератора, см. рис. 1.1)
на рабочей частоте
,
В.
.
По графику (рис. П2, см. справочные данные) найдём величину коэффициента KR: для Кпер=0,149 KR = 0,1.
.
Определим приближённое значение входного сопротивления каскада по высокой
частоте
,
где
.
Ом,
Ом.
.
Определим мощность возбуждения цепи базы (мощность, поступающей на входные
зажимы) транзистора на высшей рабочей частоте
,
мВт.
.
Определим первую гармонику тока базы
,
мА.
.
Определим реальную величину постоянного тока базы
,
мА.
.
Определим напряжение смещения, обеспечивающее заданный угол отсечки
положительных импульсов тока эмиттера
,
где
Ом,
Е’
- напряжение отсечки (для кремниевого транзистора 0,65 В).
В.
.
Определим угол отсечки положительных импульсов тока базы
,
где
Еб0 = (1,25 ... 2)·Е’ = 1,25 · 0,65 = 0,81 В.
.
По
таблицам А.И. Берга α0б = 0,194, α1б =
0,355, cos(θб макс) =
0,602.
.
Определим максимальное значение (высоту) положительного импульса тока базы
,
мА.
.
Определим постоянную составляющую положительного импульса тока базы
,
мА.
.
Определим мощность, теряемую в цепях базового смещения
,
мВт.
.
Определим мощность рассеивания, выделяемую в цепи базы
,
мВт.
.
Определим коэффициент усиления генераторного каскада по мощности
,
.
Определим суммарную мощность рассеивания, выделяемую в корпусе транзистора
,
мВт < Pрас
макс = 0,55 Вт.
Аналогичным
образом выполняется расчёт коллекторной и базовой цепей модулятора для режима
молчания, в котором
. В нашем случае
мВт.
V. Расчёт частотного модулятора
Для формирования ЧМ колебаний к контуру АГ подключают реактивный
двухполюсник, параметры которого зависят от модулирующего сигнала, - управитель
частоты. Известны различные устройства, обладающие реактивной проводимостью,
управляемой напряжением или током: ёмкости p-n переходов
полупроводниковых диодов (варикапы), индуктивности с ферритовыми сердечниками,
вариконды, реактивные лампы, ключевые диоды и др.
В настоящее время широко применяют варикапы. Основные достоинства этого
вида: простота схемы, малые габаритные размеры и мощность источника
управляющего напряжения.
Эквивалентная
схема р-n перехода (рис. 5.1) состоит из сопротивления базы r
и параллельно соединенных емкостей Сбар (барьерной емкости запертого
перехода), Сд (диффузионной емкости открытого перехода) и
дифференциального сопротивления
.
Рис.
5.1. Эквивалентная схема р-n-перехода полупроводникового
диода
В
режиме открытого перехода (напряжение на переходе uп>0) R мало и сильно шунтирует ёмкость перехода, которая в основном
определяется Сд. Это затрудняет использование варикапа для
управления частотой при uп>0. В режиме
запертого р-n перехода (uп<0) обратный ток диода i очень мал, сопротивление велико и слабо влияет
на характеристики варикапа. Здесь ёмкостью варикапа является барьерная ёмкость
Св = Сбар, зависящая от напряжения на переходе uп:
, (5.1)
где
Е - произвольное напряжение начального смещения;
j » 0,5 В - контактная разность потенциалов;
Сбар0
- ёмкость варикапа при uп = Е;» 1...0,3 - коэффициент, зависящий от изменения концентрации
примесей в р-n переходе.
При
подключении варикапа к контуру АГ на нём образуется переменное напряжение с
амплитудой U, которое можно считать гармоническим, если энергия,
запасённая в ёмкости варикапа, мала по сравнению с энергией, запасённое в
ёмкостях контура. кроме того, для управления частотой на варикап подаётся
некоторое управляющее напряжение. Оно состоит из постоянного смещения U0 и переменной составляющей uу. Следовательно,
.
При
всех изменениях режима напряжение на переходе не должно выходить за пределы
,
где
- допустимое обратное напряжение на переходе, при
котором ещё не возникает лавинный пробой.
Эффективная
ёмкость варикапа Св, управляющая частотой, при фиксированном uу зависит от U. При
она примерно на 10% больше барьерной ёмкости. Однако
это отличие можно не принимать во внимание и определять Св по
формуле (5.1), подставляя вместо uп
управляющее напряжение
.
Коэффициент
перекрытия по частоте
получается наибольшим, если контур состоит только из
индуктивности и емкости варикапа, а амплитуда U очень мала.
Тогда
.
Так
для варикапа Д902
= 25 В и
= 2,67. В
действительности коэффициент перекрытия меньше за счёт конечных значений
амплитуды U и неполного включения варикапа в контур.
На
практике наиболее часто используется схема последовательно-параллельного
включения варикапа в контур (см. рис 5.2).
Рис.
5.2. Схема последовательно-параллельного включения варикапа в контур
В
этой схеме резисторы R1 и R2 образуют делитель напряжения смещения, дроссель Lдр служит для разделения цепей высокой частоты и
питания.
Пример
расчёта частотного модулятора
Рассчитать
XV с параметрами: средняя частота f =
30 МГц; девиация частоты D f = 6 кГц; амплитуда высокочастотного колебательного
напряжения на контуре Uw = 5,5 В; емкость контура автогенератора С = 50 пФ;
добротность контура Q = 160; глубина допустимой паразитной АМ МАМ
< 1%; коэффициент нелинейных искажений kW < 10%;
напряжение источника питания Е = 12 В.
Решение:
.
Выбираем варикап КВ102. Его параметры: Cн = 22...32 пФ; n = 0,5;
;
В;
добротность Qв ≥
200; допустимое напряжение смещения 45 В.
.
Относительная девиация частоты определяется как
,
.
Определим необходимое изменение ёмкости контура для получения заданной девиации
частоты
,
пФ.
.
Выбираем напряжение смещения на варикапе Есм = 6 В. При этом
смещении ёмкость варикапа С0 = 25 пФ.
.
Определим сопротивление делителя напряжения при токе делителя Iдел = 1 мА (обычно Iдел = (100 ... 1000)·Iобр, где Iобр -
обратный ток варикапа при выбранном смещении).
1 + R2 =
,
1 + R2 =
= 12 кОм.
Выбираем
R1 = R2 = 6 кОм.
.
Для ослабления факторов, дестабилизирующих частоту генерации, выбираем
наименьший коэффициент включения варикапа в контур
.
Определим значение постоянной составляющей емкости, вносимой варикапом
пФ.
.
Необходимое изменение емкости варикапа в процессе модуляции определяется
следующим образом
. Емкость конденсатора связи
. Амплитуда модулирующего напряжения на варикапе
при крутизне характеристики варикапа в выбранном режиме
. Амплитуда напряжения высокой частоты на
варикапе
. Проверка режима работы варикапа
. Коэффициент паразитной АМ
. Нормированная амплитуда модулирующего сигнала
15.
Коэффициент нелинейных искажений
где
аналогично
и
VI. Расчёт возбудителя частоты
(автогенератора)
В зависимости от назначения передатчика, диапазона рабочих частот,
мощности, вида модуляции и т.д. возбудители строят по различным структурным
схемам. Самые простые одночастотные возбудители применяют в передатчиках,
работающих на фиксированной частоте.
Вся совокупность требований к АГ удовлетворяется рациональным выбором
схемных и конструктивных решений. В первую очередь, важно составить структурную
схему возбудителя, способную выполнить все функции, вытекающие из исходных
данных. Далее необходимо выбрать схемы и режимы каскадов, входящих в
возбудитель, рассмотреть варианты конструкции.
Многие практические схемы автогенераторов можно привести к так называемой
обобщённой трёхточечной схеме.
Рис. 6.1. Обобщённая трёхточечная схема автогенератора на транзисторе
Стационарный режим АГ описывается уравнением
, (6.1)
где
- комплексная крутизна активного элемента,
усреднённая по первой гармонике,
-
коэффициент обратной связи,
-
сопротивление нагрузки.
(6.2)
. (6.3)
Если
известны параметры АЭ и колебательной системы, из этих уравнений можно найти
два неизвестных: амплитуду и частоту колебаний. Это - решение задачи анализа
режима. При проектировании автогенераторов амплитуда и частота колебаний,
считают заданными и из уравнения (6.1) следует определить параметры и структуру
схемы. Это - задача синтеза автогенераторов.
В
зависимости от соотношения между заданной частотой колебаний w0 и граничными
частотами по крутизне ws
и усиления по току wгр расчет
АГ следует строить по разному:
безынерционный
АЭ, когда w0 < 0.5ws;
инерционный
АЭ, когда 0.5ws
< w0 <<
wгр;
сильно-выраженный
инерционный АЭ, когда w0 ≈ wгр.
Выбор
коэффициента обратной связи
ограничен
одним из предельно допустимых параметров: Iк max, Uкэ max, Uбэ
max, Pк max.
Соответствующие
значения
в предельных режимах можно выразить через
нормированные значения предельно допустимых параметров и некоторые функции,
зависящие только от угла отсечки:
по
току
; (6.4)
по
напряжению
; (6.5)
по
мощности
. (6.6)
По
выбранному углу отсечки θ
в стационарном режиме, функциям
,
,
и нормированным предельно допустимым параметрам
определяют значения
,
,
. Рабочее значение
должно
быть меньше наименьшей из этих величин:
.
Рис.
6.2. Графики функций
,
,
для нахождения предельных значений коэффициента
обратной связи
После
расчета режима активного элемента переходят к следующему этапу - расчёту
параметров колебательного контура. Для улучшения стабильности частоты
целесообразно выбрать контур с высокой добротностью (Qнен - добротность ненагруженного контура) и большим
характеристическим сопротивлением ρ. Обычно на частотах, не превышающих 100…200 МГц, удаётся сконструировать
контур с Qнен = 100
… 200 и ρ
= 300…500 Ом. Это определяет резонансное
сопротивление контура при полном включении: Rнен = 1/Gнен = ρQнен = 30 … 60 кОм.
Дальнейший
расчёт зависит от назначения АГ. Если требуется получить колебания с возможно
высокой стабильностью частоты и малой мощностью в нагрузке, то параметры
контура следует выбирать так, чтобы добротность нагруженного контура Qн была наибольшей. Если же АГ должен отдать в нагрузку
возможно большую мощность при произвольной стабильности частоты, необходимо
стремиться к увеличению КПД контура ηк. Во всех
случаях реактивные сопротивления плеч трехточечной схемы не должны быть больше
500 … 1000 Ом и меньше 5 … 10 Ом, иначе их трудно реализовать.
Наибольшее
значение Qн получают
при Gн = 0,
т.е. при работе генератора на нагрузку с бесконечным входным сопротивлением.
Коэффициент включения p колебательного контура в коллекторную цепь находят,
задавшись сопротивлением Х2. Тогда
(6.7)
Если
выбрана схема типа емкостной трехточки, то Х1<0; X2<0; X3>0.
Для получения нужного значения коэффициента p при заданном сопротивлении
ρ
в цепь Х3 последовательно с
индуктивностью L3 следует
включить емкость С3 (рис. 6.3) причем
и
в сумме должны быть равны сопротивлению Х3.
Следовательно,
ХС3
= Х3 - ХL3. (6.8)
Рис.
6.3. Схемы автогенераторов:
а
- емкостная трехточка с дополнительной емкостью С3,
б
- индуктивная трехточка
В
схеме индуктивной трехточки Х1 > 0; X2 > 0; X3
< 0 и цепь Х3 содержит последовательно включенные емкость С3
и индуктивность L3 (рис. 6.3,б), причем
(6.9)
Обычно
схема емкостной трехточки позволяет получить несколько лучшую стабильность
частоты.
Ниже
приводятся примеры расчёта автогенератора, в которых используются несколько
методик, как на основе обобщённой трёхточечной схемы, так и на конкретной
принципиальной схеме автогенератора.
Примеры
расчёта автогенератора.
Расчёт
АГ с использованием безынерционного АЭ.
Исходные
данные: рабочая частота f0 = 1 МГц;
мощность в нагрузке Pн = 50
мВт.
.
По справочнику [12] выбираем транзистор ГТ311 и находим fгр ≈ 10 МГц >> f0; S = 0,55 A/B; Sб = 0,006
А/В; U' = 0,33 В; IК max = 12 В; Uбэ max = 2 В;
PК max = 150 мВт при
температуре среды t0ср≤ 250 С.
Выбираем
напряжение UК0 = 0,5UКЭ
max = 6 В.
.
Задаемся углом отсечки, который в автогенераторах обычно равен θ = 60 ...
900. Берем θ = 700. Для
этого угла γ1 = 0,288,
g1 = 1,73, cosθ = 0,342. По графикам рис. 6.2 находим Fi = 1,8, Fu = 0,9, Fp = 12. По формулам (6.4)-(6.6) вычисляем:
;
;
.
Таким
образом, в данном случае наиболее жесткое ограничение по k
определяется допустимым током IК max. Выбираем
.
Далее
определяем:
,
В;
амплитуду
первой гармоники коллекторного тока
;
А;
мощность
генерируемого колебания
;
Вт;
сопротивление
и проводимость коллекторной цепи
,
Ом,
мСм.
.
Задаёмся: ρ
= 500 Ом, Qнен = 100. Тогда Gнен = 0,02 мСм. Выбираем схему типа емкостной трёхточки
(рис. 6.3,а) и принимаем X2 = - 5
Ом. Тогда
;
;
;
;
.
.
Наименьшее значение затухания δн при Gн = 0
найдём из следующего выражения
, (6.10)
где
;
.
Тогда
;
.
Фактически
уменьшения добротности не произошло. Это объясняется малой реакцией входной
проводимости АЭ из-за небольшого значения k. Значит,
генератор можно нагрузить, сделав Gн ≠ 0. Зададимся допустимым снижением Qн, например до 80 (т.е. δн =
0,0125). Из (6.10) находим
или
Такое входное сопротивление следующего (буферного)
каскада нетрудно получить в составном эмиттерном повторителе.
Мощность
в нагрузке Pн = 0,5U2КЭGн =
0,5·5,062·0,031 = 0,40 мВт.
Определим
емкости и индуктивности схемы, пользуясь известными формулами [14]:
.
Тогда
Произвести расчёт следующей схемы автогенератора
(рабочая частота колебаний fр = 172 МГц)
Рис. 6.4. Схема автогенератора с цепями коррекции
Решение:
Расчёт автогенератора состоит из нескольких этапов:
выбор транзистора,
расчёт корректирующей цепочки,
расчёт электрического режима транзистора,
расчёт колебательной системы,
расчёт ёмкости связи с нагрузкой CCB,
расчёт цепи смещения,
расчёт цепи питания.
Выбор транзистора
Выбираем биполярный транзистор малой мощности 2Т306А из условия что -
граничная частота fгр транзистора больше, чем заданная
частота колебаний fр.
Выпишем параметры активного элемента: обратный ток коллектора при UКБ
(UКЭ) = 1 В Iк.обр
= 0,5 мкА;
обратный ток эмиттера при UЭБ = 4 Iэ.обр = 10 мА; коэффициент передачи тока h21Э = 20…60;
граничная частота коэффициента передачи fгр = 300 МГц; емкость
коллекторного перехода СК = 5 пФ; емкость эмиттерного перехода СЭ
= 4,5 пФ; максимально допустимые параметры - постоянное
напряжение коллектор - эмиттер UКЭ MAX =10 В; постоянный ток
коллектора IК = 50 мА; рассеиваемая мощность без теплоотвода РMAX
= 150 мВт.
Расчет корректирующей цепочки
1.
Ом
2.
Ф
3.
Ом
Здесь τос = rбСка =
постоянная времени цепи внутренней
обратной связи транзистора.
4.
где: В - средний коэффициент усиления по току,
- граничная частота транзистора,
=
/ h21Э = 300×
/40 = 7,5
Гц.
Цепь коррекции можно рассчитать, воспользовавшись
формулами:
`кор = (Rкор R3) / ( Rкор + R3)`кор =(4.6
)/(4.6+118)= 4.43 Ом
Скор = 1/(
Rкор) ≈ 1/(
) = 115 пФ
Эффективность применения корректирующих цепей зависит от соотношения
между Rкор и R3 - требуется выполнения условия Rкор
R3, в противном случае следует выбирать другой транзистор.
Проверяем:
(условие выполняется)
Если использовать транзистор с коррекцией (см. рис.
6.4), то крутизна переходной характеристики может быть рассчитана по формуле:
~1/R`кор =
.
Расчёт электрического режима транзистора
Выбираем:
- коэффициент обратной связи принимаем равным единице Кос=1,
т.к. это обеспечивает наибольшую стабильность частоты в АГ;
- принимаем угол отсечки импульсов
коллекторного тока θ = 600, тогда:
;
;
γ0 = 0,109;
;
- выбираем
и Еп из условий:
Еп≤0,5uк доп , ik max≤0,4iк доп
Еп≤0,5
, ik max≤0,4
;
- крутизну линии граничных режимов на выходных
статических ВАХ транзистора
= 20 мА/В (обычно для маломощных транзисторов
= 10...30 мА/В);
- напряжение отсечки на переходной ВАХ
транзистора, для биполярных транзисторов Eотс = 0,7….0,8; примем
отс = 0,7.
В соответствии с методикой [10] выполним расчёт
параметров
)
= 0.391
,
)
= 0.218
,
)
,
)
=
)
=
)
= 0.5
)
= 4.4
5 = 22 мВт
)
- 21
150 (условие выполняется)
)
=
)
= 0.7 -
.44
(Условие выполняется)
)
=
)
проверка:
(условие выполняется)
Расчет колебательной системы
Предварительно выбираем:
- индуктивность контура
, при частотах до 200 МГц исходим из
соотношения
,
;
- добротность контура
; обычно
,
Рассчитаем элементы колебательного контура:
1)
= 2
2)
3)
4)
= 0.01
5)
= 860 пФ
6)
860 пФ
7)
-1=
-1= 116 нФ
Расчёт ёмкости связи с нагрузкой CCB
Чтобы изменения нагрузки не уменьшали стабильность
частоты, нужно выполнить условия
. На практике достаточно, чтобы
=3
.
=2.1 Ом
Зная Rн и вычислив R'H
, можем рассчитать ёмкости Ссв и С'св:
)
= 2.36
)
)
Расчет цепи смещения
Воспользуемся выше приведённой методикой расчёта:
1)
,
2)
,
3)
,
4)
5)
передатчик усилитель мощность амплитудный
Расчёт цепи питания
1)
,
2)
Список
использованных источников
1. Вамберский
М.В. Передающие устройства СВЧ: учеб. пособие / М.В. Вамберский, В.И. Казанцев,
С.А. Шелухин; под ред. М.В. Вамберского - М.: Высш. шк., 1984. - 448 с.
2. Волгов
В.А. Детали и узлы радиоэлектронной аппаратуры. Изд. 2-е, перераб. и доп. - М.:
Энергия, 1977. - 656 с.
. Генерирование
колебаний и формирование радиосигналов: учеб. пособие / В.Н. Кулешов, Н.Н.
Удалов, В.М. Богачев и др.; под ред. В.Н. Кулешова и Н.Н. Удалова. - М.:
Издательский дом МЭИ, 2008. - 416 с.
. Каганов
В.И. Радиотехника + компьютер + Mathcad. - М.: Горячая линия - Телеком, 2001. -
416 с.
. Попов
П.А. Квадратурные фазовые модуляторы: Учебное пособие / П.А. Попов, С.С.
Никулин. - Воронеж: Воронежский институт МВД России, 2006. - 88 с.
. Попов
П.А. Угловая модуляция цифровых синтезаторов частот / П.А. Попов, Н.А. Ююкин,
А.В. Леньшин и др.; Под ред. П.А. Попова: Монография. -Воронеж: Воронежский институт МВД
России, 2001. - 262 с.
. Попов
П.А. Устройства генерирования и формирования радиосигналов: учебное пособие /
П.А. Попов, С.С. Никулин. - Воронеж: Воронежский институт МВД России, 2008. -
149 с.
. Попов
П.А. Устройства генерирования и формирования сигналов: Учебное пособие / П.А.
Попов, С.А. Шерстюков, А.И. Климов. - Воронеж: Воронежский институт МВД России,
2003. - 242 с.
. Нефедов
А.В. Транзисторы для бытовой, промышленной и специальной аппаратуры: справочное
пособие / А.В. Нефедов, А.И. Аксенов. - М.:СОЛОН-Пресс, 2006. - 602 с.
. Шахгильдян
В.В. Проектирование радиопередатчиков: Учеб. Пособие для вузов /М.С. Шумилин,
В.Б. Козырев и др.; Под ред. В.В. Шахгильдяна. - 4-е изд., перераб. и доп. - М.:
Радиосвязь, 2000. - 656 с.
. Шахгильдян
В.В. Радиопередающие устройства: Учебник для вузов / В.В. Шахгильдян, В. Б.
Козырев, А. А. Ляховкин и др.; Под ред. В.В. Шахгильдяна. - М.: Радио и связь,
2003. - 561 с.
. Полупроводниковые
приборы: транзисторы. Справочник / под общ. ред. Н.Н. Горюнова. -
М.:Энергоатомиздат, 1985. - 904 с.
. Судаков
Ю.И. Амплитудная модуляция и автомодуляция транзисторных генераторов (методы,
теория, расчёт) / Ю.И. Судаков. - М.: Энергия, 1969. - 392 с.
. Проектирование
радиопередающих устройств СВЧ: Учеб. пособие для вузов / Г.М. Уткин, М.В.
Благовещенский, В.П. Жуковицкая и др.; под ред. Г.М. Уткина. - М.: Сов. радио,
1979. - 320 с.