Робастные системы управления

  • Вид работы:
    Реферат
  • Предмет:
    Информатика, ВТ, телекоммуникации
  • Язык:
    Русский
    ,
    Формат файла:
    MS Word
    235,49 Кб
  • Опубликовано:
    2016-03-19
Вы можете узнать стоимость помощи в написании студенческой работы.
Помощь в написании работы, которую точно примут!

Робастные системы управления














Робастные системы управления

Содержание

Введение <#"864799.files/image001.gif">

Рисунок - 1 Система автоматического управления с неопределенностью (анимация: 8 кадров, задержка между кадрами 1с, количество циклов воспроизведения 20, размер 20 Кбайт, Easy GIF Animator)

. Параметрические неопределенности

Параметрическая неопределенность - структура модели известна, но ее параметры могут изменяться в некоторых пределах.[6,7] <#"864799.files/image002.gif">

- регулятор-усилитель


- характеристический полином замкнутой системы

 

Замкнутая система будет устойчива при:

 

Следовательно условие робастной устойчивости примет вид:

 

4. Непараметрические неопределенности

Непараметрическая неопределенность задает допустимую ошибку в частотной области.

Аддитивная неопределенность и мультипликативная неопределенность

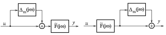
Каждый объект управления F(s) как элемент множества объектов сверху ограничен ошибкой в аддитивной форме и может быть формально представлен следующей структурной схемой (рис.2)

Рисунок 2-Номинальный F(jw) объект управления с аддитивной ошибкой

Рисунок 3 - Объекты управления с мультипликативной погрешностью

робастный управление мультипликативный погрешность

Аддитивные и мультипликативные неопределенноости модели объекта управления не могут использоваться для представления множества объекта у которых в последствии изменения параметров или в следствии структурной неопределенности появляються дополнительные полюса справа от комплексной оси, т.е. объектов у которых количество «правых» полюсов может меняться.[8,9,10] <#"864799.files/image009.gif">


Рисунок 4 - Представление классического контура управления(структура а) обобщенной структурой(структура б)

Критерии устойчивости для цифровых систем

Все критерии устойчивости, которые используются для анализа устойчивости непрерывных систем, могут быть использованы для дискретных систем с учетом некоторых особенностей.

Критерий Гурвица

Критерий устойчивости Гурвица можно использовать при применении билинейного преобразования. Рассмотри алгоритм его использования.

. Записываем характеристическое уравнение D(z) = 0

.

. Выполняем подстановку , при этом получим характеристическое уравнение D(w) = 0, т. е. в форме билинейного преобразования


. Составляем определитель Гурвица


. Определяем устойчивость также как и для непрерывных систем.

Линейная дискретная система устойчива, если при a0>0 определитель Гурвица и все его диагональные миноры положительны.

Рассмотрим частные случаи.


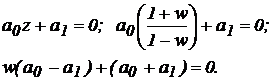
Условие устойчивости: a0 > 0, a1 > 0, а также: a0 - a1 > 0.

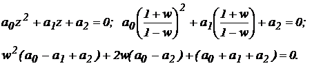
При n = 2 характеристическое уравнение имеет вид


Условие устойчивости: a0 > 0, a1 > 0, a2 > 0, а также:

- a1 + a2 > 0, a0 - a2 > 0.

Критерий устойчивости Михайлова с использованием билинейного преобразования

При этом исходным является характеристический полином в форме z-преобразования. Выполним подстановку

= (1+w)/(1-w) .


При этом критерий Михайлова для дискретных систем применяется в таком же виде, как и для непрерывных систем.

Критерий устойчивости Найквиста

Рассмотрим функцию, которая связывает характеристики разомкнутых и замкнутых дискретных систем


где D*(p) - характеристический полином замкнутой системы;*(p) - характеристический полином разомкнутой системы.

В соответствии со следствием из принципа аргумента


Рассмотрим разные случаи.

Система, устойчивая в разомкнутом состоянии

Так как разомкнутая дискретная система устойчива, то она не содержит корней в правой полуплоскости (т. е. m = 0), для того чтобы и замкнутая дискретная система была устойчива, должно выполняться условие


Формулировка критерия Найквиста:

Замкнутая дискретная система устойчива, если амплитудно-фазовая частотная характеристика разомкнутой устойчивой системы не охватывает точку с координатами ((-1 , j0)

Графически это обозначает, что годограф вектора W*(j) не охватывает начала координат, а вектора K*(j)-точку с координатами (-1, j0).

Система, неустойчивая в разомкнутом состоянии

Так как разомкнутая система неустойчива, то она содержит m корней в правой полуплоскости, для того чтобы замкнутая система была устойчива, должно выполняться условие:


Графически это обозначает, что годограф вектора K(j) охватывает точку с координатами (-1, j0) m -раз.

Формулировка критерия Найквиста: Замкнутая дискретная система устойчива, если амплитудно-фазовая частотная характеристика разомкнутой неустойчивой системы, имеющей m корней в правой полуплоскости, охватывает току с координатами (-1 , j0) m раз.

Выводы <http://masters.donntu.org/2013/fkita/boreiko/diss/index.htm>

На данный момент было проведено исследование существующих методов оценки робастной устойчивости и робастного качества. Полученные в ходе исследования результаты, будут учитываться при дальнейшем обучении

Список источников <http://masters.donntu.org/2013/fkita/boreiko/diss/index.htm>

1. Дорф Р., Бишоп Р. Автоматика. Современные системы управления. 2002г. - 832с.

. Харазов В. Г. Интегрированные системы управления технологическими процессами: Справочник. Издательство: профессия, издательство, 2009. - 550с.

. Чебурахин И. Синтез дискретных управляющих систем и математическое моделирование: теория, алгоритмы, программы. Изд-во: НИЦ РХД, ФИЗМАТЛИТ®, 2004. - 248c.

. Черных И.В. Моделирование электротехнических устройств в MATLAB. SimPowerSystems и Simulink / И.В. Черных - М.: ДМК Пресс, 2007. - 288 с., ил. (Серия «Проектирование»).

. Штокман И.Г. Проектирование и конструирование транспортных машин и комплексов / И.Г. Штокман - М.: Недра, 1986. - 392 с.

Ушаков А.В.Синтез дискретных регуляторов при помощи ЭВМ . Л.: Машиностроение 1983 - 437с.

. Н.Т. Кузовков. Модальное управление и наблюдающие устройства. М. : Машиностроение 1967- 342с.

. Пономаренко Т.О. Обоснавание параметров автоматизированного управления температурными режимами рекуперативного нагревательного колодца [Электронный ресурс] / Портал магистров ДонНТУ, 2011 -http://masters.donntu.org/2008/fema/ponomarenko/diss/index.htm

. Кириллов А.Г.Микроконтроллерная система управления для динамического объекта с распределенными параметрами [Электронный ресурс] / Портал магистров ДонНТУ, 2013 -http://masters.donntu.org/2013/fknt/kyrylov/diss/index.htm

Похожие работы на - Робастные системы управления

 

Не нашли материал для своей работы?
Поможем написать уникальную работу
Без плагиата!
Без нейросетей!