Система стимулирования персонала в ООО 'Новые технологии'

  • Вид работы:
    Дипломная (ВКР)
  • Предмет:
    Менеджмент
  • Язык:
    Русский
    ,
    Формат файла:
    MS Word
    96,53 Кб
  • Опубликовано:
    2015-06-30
Вы можете узнать стоимость помощи в написании студенческой работы.
Помощь в написании работы, которую точно примут!

Система стимулирования персонала в ООО 'Новые технологии'

Оглавление

Введение

Глава 1. Теоретические аспекты стимулирования труда персонала

1.1 Сущность стимулирования персонала, его функции и методы

.2 Виды и формы стимулирования труда персонала

.3 Стимулирование труда как ведущий фактор экономического развития организации

Глава 2. Анализ эффективности стимулирования труда персонала на примере ООО «Новые технологии»

.1 Характеристика деятельности общества с ограниченной ответственностью «Новые технологии»

.2 Анализ системы стимулирования персонала организации

.3 Оценка эффективности системы стимулирования, используемой на предприятии ООО «Новые технологии»

Глава 3. Совершенствование системы стимулирования труда персонала в ООО «Новые технологии»

.1 Прогноз среднемесячной заработной платы сотрудников ООО « Новые технологии»

.2 Мероприятия по совершенствованию системы стимулирования персонала на примере ООО «Новые технологии»

.3 Оценка экономической эффективности предложенных мероприятий

Заключение

Список используемой литературы

Приложение

Введение

Стимулирование играет огромную роль в организации деятельности предприятия, так как оно направлено на мотивацию работника к эффективному и качественному труду, который не только покрывает издержки работодателя на организацию процесса производства, оплату труда, но и позволяет получить определенную прибыль.

Мотивация и стимулирование труда персонала является основным средством обеспечения оптимального использования ресурсов предприятия, мобилизации имеющегося кадрового потенциала.

В настоящее время особенностью управления персоналом является возрастающая роль личности работника. Соответственно меняется соотношение стимулов и потребностей, на которые может опереться система стимулирования. Для мотивации сотрудников предприятия сегодня используют как материальные, так и нематериальные методы вознаграждения.

Грамотно разработанная система оплаты труда в системе стимулирования трудовой деятельности позволит мобилизовать трудовой потенциал работников организации, заинтересует их в росте качественных и количественных показателей деятельности, а также поспособствует проявлению творческой инициативы, выразится в снижении удельного веса живого труда на единицу продукции и, в конечном итоге, повышения качества выполняемых работ.

Эффективное управление невозможно без правильного понимания мотивов и потребностей человека, т. е. грамотного использования одной из основных социальных технологий управления системы мотивации и стимулирования. Сейчас в условиях постоянно меняющейся внешней среды и сильной конкуренции все более актуальным становится вопрос "правильного" стимулирования и мотивирования сотрудников. Разработка успешных мероприятий по стимулированию труда персонала является одной из необходимых условий повышения производительности труда на предприятии, а также повышения прибыли в целом.

Отсутствие разработанной системы стимулирования качественного и эффективного труда создает предпосылки снижения конкурентоспособности фирмы, что негативно скажется на заработной плате и социальной атмосфере в коллективе.

Цель данной работы заключается в изучении системы стимулирования персонала в ООО «Новые технологии», её анализе и разработке мероприятий по её совершенствованию.

Для достижения поставленной цели необходимо решить следующие задачи:

изучить теоретические аспекты стимулирования труда персонала;

проанализировать систему стимулирования персонала в ООО «Новые технологии»;

разработать мероприятия для усовершенствования системы стимулирования в ООО «Новые технологии».

Объектом исследования является система стимулирования персонала в ООО «Новые технологии».

Предметом исследования является анализ, оценка эффективности системы стимулирования персонала, а также мероприятия по её совершенствованию.

При написании данной работы была использована отечественная и зарубежная литература по менеджменту, управлению персоналом, экономике труда, материалы периодической печати, научные статьи, а также материалы специализированных сайтов.

В данной работе использованы следующие методы анализа: методика оценки эффективности системы стимулирования персонала, метод сравнения аналитических данных, способы графического и табличного представления данных, прогностический метод, метод наименьших квадратов. Структура работы состоит из введения, трех глав, заключения и списка использованной литературы.

В первой главе представлены теоретические аспекты стимулирования труда персонала: сущность стимулирования персонала, его функции и методы; виды и формы стимулирования труда персонала; стимулирование труда как ведущий фактор экономического развития организации.

Во второй главе представлена общая характеристика деятельности предприятия; осуществляется анализ системы стимулирования персонала в ООО «Новые технологии»; проводится анализ состава, структуры и динамики персонала данного предприятия, анализ эффективности используемой системы стимулирования персонала в ООО «Новые технологии».

В третьей главе предлагаются мероприятия по совершенствованию системы стимулирования персонала в ООО «Новые технологии» и оценка экономической эффективности предложенных мероприятий.

Глава 1. Теоретические аспекты стимулирования труда персонала

1.1 Сущность стимулирования персонала, его функции, методы и формы

Стимулирование труда является основным способом управления поведением социальных систем различных уровней, а также является одним из методов стимулирования трудового поведения объектов управления (работников организации). Разработка системы стимулирования представляет собой комплексный подход в решении повышения эффективности и качества труда [2].

Стимулирование работников и сотрудников на предприятии занимает одно из центральных мест в управлении персоналом, поскольку оно выступает непосредственной причиной их поведения. Ориентация работников на достижение целей организации по существу является главной задачей руководства персоналом.

Стимулирование труда есть способ управления поведением социальных систем различного иерархического уровня, является одним из методов мотивации трудового поведения объектов управления [5].

Главная цель формирования и функционирования системы стимулирования - обеспечение достижения целей организации посредством привлечения и сохранения профессионально подготовленного персонала и, прежде всего, посредством эффективной, сильной и устойчивой мотивации, формируемой на основе комплексного стимулирования, являющегося предметом интереса для всех групп персонала организации [1].

Система стимулирования труда:

должна быть конкурентоспособной для того, чтобы эффективно привлекать те категории специалистов, которые требуются для успешной работы; - должна работать на сохранение сотрудников организации, т.е. если сотрудники не получают от организации того уровня оплаты и социальных гарантий, который предлагается другими предприятиями, то это приведет к оттоку кадров;

должна поддерживать высокую заинтересованность работников в достижении показателей, отвечающих требованиям организации, т.е. должна стимулировать производительность труда;

должна обеспечивать справедливую оценку трудового вклада работников (уровень заработной платы и предоставляемых льгот должен отражать тот вклад, который сотрудник вносит в работу организации);

должна способствовать эффективному развитию бизнеса;

должна соблюдать баланс затрат, затрачиваемых на материальное стимулирование и на меры социальной защиты.

Стимулирование труда - это прежде всего внешнее побуждение, элемент трудовой ситуации, влияющий на поведение человека в сфере труда, материальная оболочка мотивации персонала. Одновременно оно несет в себе и нематериальную нагрузку, позволяющую работнику реализовать себя как личность и работника одновременно [7]. Функции стимулирования персонала представлены на рис.1.

Рис.1. Функции стимулирования труда

Экономическая функция выражается в том, что стимулирование труда содействует повышению эффективности производства, которое выражается в повышении производительности труда и качества продукции.

Нравственная функция определяется тем, что стимулы к труду формируют активную жизненную позицию, высоконравственный общественный климат в обществе. При этом важно обеспечить правильную и обоснованную систему стимулов с учетом традиций и исторического опыта.

Социальная функция обеспечивается формированием социальной структуры общества через различный уровень доходов, который в значительной степени зависит от воздействия стимулов на различных людей. Кроме этого, формирование потребностей, а в итоге и развитие личности предопределяются формированием и стимулированием труда в обществе [29].

Методы стимулирования персонала могут быть самыми разнообразными и зависят от проработанности системы стимулирования на предприятии, общей системы управления и особенностей деятельности самого предприятия [10].

Стимул - это внешнее побуждение к действию, причиной которого является интерес (материальный, моральный, личный или групповой).

Процесс использования различных стимулов для мотивирования людей называется стимулированием. Стимулирование выполняет на предприятии важную роль действенных мотиваторов или основных носителей интересов работников. Оно принципиально отличается от мотивирования. Суть этого отличия состоит в том, что стимулирование - это одно из средств, с помощью которого может осуществляться мотивирование [12].

Мотивация и стимулирование персонала оказывают значительное влияние на развитие у работников таких важных характеристик их трудовой деятельности, как качество работы, результативность, старание, усердие, настойчивость, добросовестность и т.д. [27].

Стимулы, побуждающие человека лучше работать:

- деньги;

уважение;

самоутверждение;

чувство принадлежности к организации;

приятная рабочая обстановка;

похвала;

гибкий график работы;

осознание себя членом команды;

возможность внесения идей и предложений;

возможность учиться;

карьера;

товарищеские отношения;

признание заслуг;

вознаграждение;

возможность работать дома;

независимость;

премии;

творческая атмосфера;

благодарность за сверхурочную работу;

чувство уверенности в работе;

сотрудничество с другими людьми;

устоявшийся рабочий процесс;

доверие руководства [5].

Стимулирование как метод воздействия на трудовое поведение опосредовано через его мотивацию. При стимулировании побуждение к труду происходит в форме компенсации за трудовые усилия. Деление стимулов на «материальные» и «моральные» условно, поскольку они взаимосвязаны. Например, премия выступает и как акт признания по отношению к работнику и как оценка его заслуг, а не только материальное вознаграждение результатов труда. Иногда у работников ориентация на общение, принадлежность к определенному сообществу, престиж проявляются сильнее, чем ориентация на денежное вознаграждение [11].

Материальные методы стимулирования труда

Выбор рациональных форм и систем оплаты труда персонала имеет важнейшее социально-экономическое значение для каждого предприятия в условиях рыночных отношений. Формы и системы оплаты труда работников создают на всех уровнях хозяйствования материальную основу развития человеческого капитала, рационального использования рабочей силы и эффективного управления персоналом всех категорий. Вознаграждение персонала за труд или компенсация работникам затрачиваемых усилий играет весьма существенную роль в привлечении трудовых ресурсов на предприятия, в мотивировании, использовании и сохранении необходимых специалистов в организации или на фирме [16].

Неэффективная или несправедливая система вознаграждения может вызвать у работников неудовлетворенность как размерами, так и способами определения и распределения доходов, что в конечном итоге может повлечь за собой снижение продуктивности труда, качества продукции, нарушение трудовой дисциплины и т.п.

Связь вознаграждения работников с фактическими результатами производственной деятельности тех или иных организаций осуществляется с помощью используемых ими форм и систем заработной платы. Они определяют механизм зависимости вознаграждения каждого работника от результативности трудовой деятельности. В любой организации труд, затраченный конкретным исполнителем, может быть выражен количеством отработанного им рабочего времени или объемом произведенной продукции, выполненных работ или оказанных услуг. В зависимости от того, в каких экономических показателях измеряются затраты или результаты труда, принято различать повременную и сдельную формы оплаты труда персонала [16].

При повременной оплате величина вознаграждения работника зависит от фактически отработанного рабочего времени, а при сдельной - от объема выполненных работ и услуг. В современной практике часто используются смешанные системы заработной платы - одна часть вознаграждения каждого работника зависит от результатов работы группы (как правило, переменная), а другая - от индивидуальных особенностей (постоянная, должностной оклад) [30].

Большинство руководителей считает, что, если они не смогут предложить солидную зарплату или внушительные премиальные, люди будут лениться, не чувствуя достаточных стимулов. Но следует больше заботиться не о том, с чего платить высокие оклады, а о том, чтобы обеспечить своим сотрудникам справедливое вознаграждение.

Доплаты за условия труда. Неблагоприятные условия труда, если их практически невозможно улучшить, должны компенсироваться работнику, прежде всего за счет увеличения времени отдыха, дополнительного бесплатного питания на производстве, профилактических и лечебных мероприятий. Доплаты за сменность устанавливаются за работу в вечерние и ночные смены. Доплаты за уровень занятости в течение смены вводятся преимущественно для многостаночников, наладчиков и ремонтного персонала. Также доплаты устанавливаются при совмещении профессий (функций) [16].

Надбавки. Надбавки за производительность выше нормы в форме сдельного приработка могут иметь место, если причиной перевыполнения норм явилось наличие у работника способностей к данной работе, превышающих средний уровень.

Помимо зарплаты есть другое средство мотивации - внутрифирменные льготы: оплата фирмой медицинских услуг, страхование на случай длительной потери трудоспособности, полная или частичная оплата расходов на проезд работника к месту работы и обратно, предоставление своим работникам беспроцентных ссуд или ссуд с низким уровнем процента, предоставление права пользования транспортом фирмы, питание во время работы и другие расходы [16].

Всевозрастающее значение в формировании дохода приобретают такие формы, как участие в прибылях и в акционерном капитале. Это можно объяснить не только стремлением к социальной гармонии, но и возможностью ухода от налогов, которые приобретают в рыночной экономике все более возрастающее значение и толкают работодателей на поиски возможностей их неуплаты.

Еще один вид вознаграждения, которым руководитель может распорядиться по своему усмотрению, - премиальные выплаты (бонусы). Они могут быть как плановыми (ежегодные премии к определенной дате), так и внеплановыми, связанными с результатами работы сотрудника и являющимися особым стимулом, так как нежданное поощрение помогает сотруднику почувствовать свою значимость (премии ко дню рождения сотрудника, премии, связанные с получением организацией дополнительной прибыли и другое). При распределении среди сотрудников части прибыли используются оба вида мотивации: вызывается чувство сопричастности с делами компании посредством материального вознаграждения. Привязка размера премий к результатам бизнеса позволяет сотрудникам увидеть связь между своей работой и достижениями компании, а, следовательно, и величиной своей премии [16].

Нематериальные методы стимулирования труда

Материальные факторы далеко не всегда выходят на первый план и не могут быть единственной формой вознаграждения за труд. Главное - привлекательность труда, его творческий характер. Вот именно эту привлекательность и следует создавать руководителю, постоянно обновляя содержание труда каждого подчиненного [4].

Нематериальные стимулы очень многообразны и делятся на три группы. Рассмотрим нематериальные стимулы, представленные на рис. 2.

Рис.2. Нематериальные стимулы

Социальные стимулы связаны с потребностью работников в самоутверждении, с их стремлением занимать определенное общественное положение, с потребностями в определенном объеме власти. Эти стимулы характеризуются возможностью участвовать в управлении производством, трудом и коллективом, принимать решения; перспективами продвижения по служебной лестнице, возможностью заниматься престижными видами труда. Следовательно, предполагается, что работникам предоставляется право голоса при решении ряда проблем, им делегируются права и ответственность [6].

Моральные стимулы к труду связаны с потребностями человека в уважении со стороны коллектива, в признании его как работника, как нравственно одобряемой личности. Признание может быть личным или публичным [17].

Личное признание подразумевает, что особо отличившиеся работники будут отмечены в специальных докладах высшему руководству организации. Они могут быть представлены лично руководителю. Им гарантируется право подписи в документах, в разработке которых они принимали участие. Такие работники по случаю праздников и юбилейных дат персонально поздравляются администрацией. Публичное признание выражается в широком распространении информации о достижениях работников в многотиражных газетах, выпускаемых организациями, на специальных стендах («Досках почета»), в награждении особо отличившихся людей специальными знаками, грамотами. Нередко публичное признание сопровождается премиями, ценными подарками и т.д. К моральным стимулам относятся похвала и критика [17].

Социально-психологические стимулы вытекают из той особой роли, которую играет общение в жизни человека. Именно общение является коренной потребностью и условием нормальной жизнедеятельности человека. Поэтому комфортный климат в коллективе, обеспечивающий нормальное общение, позволяет самореализовываться человеку, является прекрасным стимулом к ощущению удовлетворенности работника в труде.

Между материальными и нематериальными стимулами существует диалектическая связь. Так, заработная плата (материальный стимул) влияет на оценку и самооценку работника, удовлетворяя тем самым его потребности в признании, уважении окружающих, самоуважении, самоутверждении, т.е. материальный стимул выступает одновременно и как социальный, моральный, психологический. Но если использовать лишь материальный стимул, не задействовав моральных, социальных, творческих стимулов, то вся система стимулирования перестанет выполнять присущие ей функции в полной мере, что приведет к преобладанию экономических стимулов в ущерб социальным, моральным, психологическим и нравственным.

Таким образом, материальные и нематериальные стимулы взаимно дополняют и обогащают друг друга. Используя их в комплексе, можно добиться высокой эффективности [30].

.2 Виды и формы стимулирования труда персонала

Проанализировав труды КибановаА.Я., Веснина, В.Р. Шапиро С. А., Травина В.В., Магуры М.И., Курбатовой М.Б. можно сделать вывод, что исследователи не в полной мере придерживаются единой точки зрения на определение видов стимулирования, классификация форм стимулирования также незначительно отличается. Виды и формы стимулирования труда персонала приведены в табл.1.

Таблица 1 Виды и формы стимулирования труда персонала

Вид стимулирования

Форма стимулирования

Основное содержание

Материальное

Заработная плата

Оплата труда наемного работника, включая основную (сдельную, повременную, окладную) заработную плату и дополнительную: премии, надбавки за профмастерство; доплаты за тяжелые условия труда, совместительство, за работу в ночное время, подросткам, кормящим матерям, за работу в праздничные и воскресные дни, за сверхурочную работу; за руководство бригадой, оплата или компенсация за отпуск и т.д.


Бонусы

Разовые выплаты из прибыли организации (вознаграждение, премия, добавочное вознаграждение). Различают следующие виды бонусов: годовой, за отсутствие прогулов, экспортный, за заслуги, за выслугу лет, целевой.


Участие в акционерном капитале

Покупка акций организации и получение дивидендов; покупка акций по льготным ценам, безвозмездное получение акций.


Участие в прибылях

Устанавливается доля прибыли, из которой формируется поощрительный фонд. Выплаты через участие в прибылях не являются разовым бонусом. Распространяется на категории персонала, способного реально воздействовать на прибыль. Чаще всего это управленческие кадры, и доля такой части прибыли коррелирует с рангом руководителя в служебной иерархии и определяется в процентах к его доходу (базовой зарплате).


Планы дополнительных выплат

Планы связаны чаще всего с работниками сбытовых организаций (структурных подразделений организаций) и стимулируют поиск новых рынков сбыта, путей максимизации сбыта. К ним относят подарки от организации, субсидирование деловых расходов, покрытие личных расходов, косвенно связанных с работой. Это косвенные расходы не облагаемые налогом, и поэтому более привлекательные.


Стимулирование свободным временем

Регулирование времени по занятости: путем предоставления работнику за активную и творческую работу дополнительных выходных, отпуска, возможности выбора времени отпуска и т.д.; путем организации гибкого графика работы; путем сокращения длительности рабочего дня за счет высокой производительности труда.

Нематериальное

Трудовое или организационное стимулирование

Регулирует поведение работника на основе изменения чувства его удовлетворенности работой и предполагает наличие творческих элементов в процессе организации и в самом характере его труда; возможность участия в управлении; продвижения по службе в пределах одной и той же должности; творческие командировки.


Стимулирование, регулирующее поведение работника на основе выражения общественного признания

Вручение грамот, значков, вымпелов, размещение фотографии на Доске почета.

Моральное

Оплата транспортных расходов или обслуживание собственным транспортом

Выделение средств: на оплату транспортных расходов; на приобретение собственного транспорта. Предоставление транспорта: с полным обслуживанием (с водителем); с частичным обслуживанием лицам связанным с частыми разъездами, руководящему персоналу.

Материальное

Сберегательные фонды

Организация сберегательных фондов для работников организации с выплатой процента не ниже установленного в Сбербанке РФ. Льготные режимы накопления средств.


Организация питания

Выделение средств: на организацию питания в организации; на выплату субсидий на питание.

Материальное

Продажа товаров, выпускаемых организацией или получаемых по бартеру

Выделение средств на скидки с продажи этих товаров.


Стипендиальные программы

Выделение средств на образование (покрытие расходов на образование) на стороне.


Программы обучения

Покрытие расходов на организацию обучения, переподготовку, повышение квалификации.


Программы медицинского обслуживания

Организация медицинского обслуживания или заключение договора с медицинским учреждением. Выделение средств на эти цели.


Консультативные службы

Организация консультативных служб или заключение договоров с таковыми.


Программы жилищного строительства

Выделение средств на собственное строительство жилья или на паевых условиях


Программы, связанные с воспитанием и обучением детей

Выделение средств на организацию дошкольного и школьного воспитания детей, внуков сотрудников организации.


Гибкие социальные выплаты

Организации устанавливают определенную сумму на приобретение необходимых льгот и услуг. Работник, в пределах установленных сумм, имеет право самостоятельного выбора льгот и услуг.


Страхование жизни

За счет средств организации: страхование жизни работника и за символическое отчисление - членов его семьи. Выплаты за счет средств, удерживаемых из доходов сотрудника.


Программы выплат по временной нетрудоспособности

При несчастном случае - годовой доход работника; при несчастном случае со смертельным исходом - удвоенный годовой доход.


Медицинское страхование

Как самих работников, так и членов их семей.


Отчисления в пенсионный фонд

Такой альтернативный государственному фонд дополнительного пенсионного обеспечения может быть создан как на самом предприятии, так и по договору с каким-либо фондом на стороне.


Ассоциации получения кредитов

Установка льготных кредитов на строительство жилья, приобретение товаров длительного пользования, услуг и т.д.


Среди видов денежных вознаграждений выделяются также комиссионные выплаты, премии, участие в прибылях предприятия.

Комиссионные вознаграждения - это выплаты сотруднику в определенной пропорции от дохода, который он приносит предприятию. Система оплаты может полностью строиться по принципу комиссионных процентов или сочетать фиксированную ежемесячную заработную плату с дополнительными комиссионными выплатами. В любом случае, этот способ денежного вознаграждения устанавливает прямую связь между доходом фирмы и доходом каждого отдельного сотрудника. Эта система стимулирования в наибольшей степени подходит для фирм, занимающихся продажами (любых товаров и услуг), и для той категории сотрудников, обязанностью которых является поиск клиентов и реализация им товаров и услуг.

Выплачиваемые денежные премии могут иметь фиксированную ставку, а могут определяться по прогрессивной шкале, при которой сотрудник “накапливает очки” в зависимости от собственных достижений и после определенных уровней накопления начинает получать более значительные суммы [12].

Участие в прибылях предприятия обеспечивается с помощью разных механизмов. Один из них - это покупки акций рабочими и служащими, благодаря чему сотрудники, являющиеся фактическими совладельцами предприятия, не отделяют себя от фирмы, и собственные доходы тесно увязывают с доходами и прибыльностью своего предприятия. Вовлечение сотрудников в акционерный процесс стимулируется специальными программами, которые достаточно широко распространены. Исследования показывают, что фирмы, на которых сотрудники являются совладельцами, развиваются в 2-4 раза быстрее, нежели фирмы, не использующие этот механизм [16].

В целом существует тенденция перехода от систем индивидуального, непосредственно финансового, стимулирования к системам коллективного распределения прибыли от роста производительности, за исключением случаев, когда явно подходит индивидуальное поощрение. Системы распределения прибыли считаются наиболее развитыми и к ним следует переходить после того, как освоены более простые методы поощрений, и в идеале использовать их комплексно. Популярность групповых систем стимулирования растет потому, что они лучше позволяют реализовать цели самого предприятия и его руководства. Они обеспечивают рост производительности не на отдельном рабочем месте, а на участке работ. Эффект от их применения распространяется не только на показатели продуктивности и материальную обеспеченность работников, но и на создание более благоприятного психологического климата, формирование сплоченного коллектива. В рамках систем индивидуального поощрения работники чаще всего побуждаются лишь к более высоким заработкам [21].

Важнейшим видом стимулирования является материальное, призванным играть ведущую роль в повышении трудовой активности работников. Этот вид состоит из материально-денежного и материально-неденежного стимулирования, последнее содержит часть социальных стимулов.

Вторым немаловажным является духовное стимулирование, которое содержит в себе социальные, моральные, эстетические, социально-политические и информационные стимулы. В психологическом подходе моральное стимулирование является самой развитой и широко применяющейся подсистемой духовного стимулирования труда [19].

.3 Стимулирование труда как ведущий фактор экономического развития организации

В современном мире в стимулирование труда рассматривается как один из элементов общей системы по управлению персоналом, который неразрывно связан с нею и со всеми другими элементами системы. Данный подход выделяет человеческий фактор в качестве основного элемента в успешном развитии организации в условиях ожесточенной и быстро меняющейся ситуации на рынке. Поэтому работа с персоналом организации включает в себя планирование кадрового состава, качественная подготовка персонала, формирование показателей оценки как рабочих мест, результатов труда, тренинги для управленцев и руководителей [20].

Система стимулирования персонала должна прежде всего руководствоваться экономическими принципами:

принцип комплексности;

принцип системности;

принцип регламентации;

принцип специализации;

принцип стабильности;

принцип целенаправленности.

Принцип комплексности предполагает, что необходим всесторонний подход с учетом всевозможных факторов: организационных, правовых, технических, материальных, социальных, моральных, психологических и социологических [13].

Организационные факторы являются фундаментальными и предполагают установление определенного порядка проведения работ, четкое разграничение полномочий, формирование целей и задач.

Правовые факторы обеспечивают прежде всего установление взаимоотношений (в документальном порядке) между работодателем и работником. Под этими взаимоотношениями понимаются права и обязанностей работника в процессе трудовой деятельности с учетом возложенных на него функций. Данное соответствие необходимо для правильной организации производства и дальнейшего справедливого стимулирования труда работника.

Технические факторы предполагают, что персонал организации будет обеспечен всеми необходимыми современными средствами производства и оргтехникой. Так же как и организационные, эти аспекты являются фундаментальными в деятельности организации.

Материальные факторы определяют конкретные формы материального стимулирования: заработную плату, премии, надбавки, их размер и характер.

Социальные факторы направлены на повышение заинтересованности работников путем предоставления им различных социальных выплат, оказания необходимой социальной помощи.

Моральные факторы представляют собой целый ряд положений, которые обеспечивают положительную внутреннюю атмосферу в коллективе, подбор персонала, его расстановку, различные формы моральных поощрений сотрудникам [17].

Физиологические факторы также направлены на моральное стимулирование: здоровье и повышение работоспособности сотрудников. Мероприятия такого рода проводятся в соответствии с различными требованиями санитарно-гигиенического, эстетического и иного характера, содержат в себе нормы по оснащению рабочих мест и установлению рациональных режимов труда и отдыха работников.

Принцип комплексности говорит о том, что вышеперечисленные принципы должны использоваться в совокупности и по отношению ко всему коллективу организации.

Принцип системности предполагает выявление и устранение противоречий между принципами. Необходимо соблюдать баланс системы стимулирования за счет взаимного согласования ее элементов.

Принцип регламентации устанавливает определенный порядок в виде приказов, инструкций, правил, нормативов и обеспечивает контроль за их выполнением. В этой связи важно разграничить те сферы деятельности работников, которые требуют жесткого соблюдения инструкций и контроля, от тех сфер, в которых работник должен быть свободен в своих действиях и может проявить свою инициативу. Каждый работник должен иметь полное представление о своих обязанностях.

Регламентация должна решать определенные задачи:

четко сформулированные обязанности работника;

своевременное обеспечение работника информацией для выполнения им своих непосредственных обязанностей;

рациональность при разграничении трудовых полномочий работника.

Для регламентации выполняемой работы необходимо:

определить ряд показателей, которые будут учитывать вклад подразделений и отдельных работников в общий результат деятельности организации:

создать систему оценки вклада работника в достижение общих результатов деятельности с учетом эффективности и качества выполняемой им работы [25].

Принцип специализации является стимулом к повышению производительности труда и улучшению качества работы за счет закрепления за подразделениями организации и отдельными работниками функций согласно принципу рационализации.

Принцип стабильности предполагает наличие сложившегося коллектива, отсутствие текучести кадров, адекватного и безболезненного реагирования на изменяющиеся условия внутри организации. Только тогда не произойдет снижения эффективности и качества выполняемой работы сотрудниками.

Принцип целенаправленного творчества способствует проявлению работниками творческого потенциала [25].

На основе результатов творческой деятельности предприятия в целом, структурного подразделения и каждого отдельного работника необходимо разработать систему материального и морального стимулирования труда.

При организации системы стимулирования на предприятии необходимо учитывать пропорции в оплате между простым и сложным трудом, между работниками различных квалификаций и профессий, а также учитывать данные пропорции исходя из мониторинга оплат труда, предлагаемых другими работодателями на аналогичные должности в организациях-конкурентах для более адекватной денежной оценки труда работника. Принцип гибкости системы стимулирования позволяет обеспечить работнику определенные гарантии получения заработной платы в соответствии с его опытом и профессиональными знаниями, а с другой стороны, поставить оплату труда работника в зависимость от его личных показателей в работе и от результатов работы предприятия в целом [25].

Гибкие системы стимулирования труда в основном представлены в зарубежных странах с развитой экономикой. Причем гибкость в оплате труда проявляется не только в виде дополнительных индивидуальных доплат к заработной плате. Это и индивидуальные надбавки за стаж, опыт, уровень образования, коллективные премии, рассчитанные, в первую очередь, на рабочих, и системы участия в прибылях, рассчитанные на специалистов и управленцев, и гибкие системы социальных льгот.

Результатом действия эффективной системы стимулирования труда работников должно стать улучшение деятельности организации. Чтобы добиться данного результата, прежде всего необходимо повысить эффективность и качество труда каждого работника. Для этого рекомендуется внедрить как материальные, так и нематериальные формы стимулирования персонала, которые включают заработную плату, участие работников в прибылях организации, коллективное премирование, индивидуализацию заработной платы, моральные стимулы, стимулирование работников, занимающихся творческим трудом, социальные льготы для сотрудников [8].

Оценить эффективность применения систем стимулирования возможно с помощью анализа коэффициентов движения персонала. Для характеристики движения рабочей силы рассчитывают и анализируют динамику следующих показателей:

-       коэффициент оборота по приему персонала (Кпр):

Кпр = Кол-во принятого персонала / среднесписочная численность персонала (1)

коэффициент оборота по выбытию (Кв):

Кв = Кол-во уволившихся сотрудников / среднесписочная численность персонала (2)

-       коэффициент замещения (Кз):

Кз = (Кол-во принятых - кол-во выбывших работников) / среднесписочная численность персонала (3)

-       коэффициент постоянства состава персонала предприятия (Кп.с):

Кп.с = Кол-во работников, проработавших весь год / среднесписочная численность персонала (4)

Стимулирующий механизм заработной платы имеет определяющее значение в реализации стратегии на перспективу. Традиционно в сознании работника заработная плата психологически ассоциируется с признанием его авторитета на предприятии.

Для оценки эффективности использования заработной платы необходимо применять такие показатели: [9]

-       годовая выработка работника (производительность труда);

П = Объем реализации / среднесписочная численность персонала (5)

-       удельный вес заработной платы в 1 руб. объема продукции (зарплатоёмкость);

Зарплатоёмкость = ФЗП / Объем реализации (6)

выручка на рубль заработной платы (зарплатоотдача);

Зарплатоотдача = Объем реализации / ФЗП (7)

-       сумма чистой прибыли на рубль заработной платы;

ЧП = Прибыль / ФЗП (8)

Большое значение для оценки эффективности использования трудовых ресурсов па предприятии имеет показатель рентабельности персонала (отношение прибыли к среднесписочной численности персонала).

Система стимулирования работников должна руководствоваться следующими требованиями:

ясность и конкретность системы стимулирования в целом, положений о заработной плате и дополнительных выплатах;

четкое изложение трудовых обязанностей работника;

создание системы объективной оценки труда работника и исключение субъективности в оценке;

прямая зависимость размера заработной платы от сложности и ответственности работы;

возможность неограниченного роста заработной платы с ростом индивидуальных результатов работника;

равная оплата работников с одинаковой сложностью и ответственностью выполняемых работ в различных подразделениях предприятия.

Таким образом, при создании системы стимулирования необходимо учитывать весь комплекс вопросов, включая и государственное регулирование размера оплаты труда [9].

Глава 2. Анализ эффективности стимулирования труда персонала на примере ООО «Новые технологии»

.1 Характеристика деятельности общества с ограниченной ответственностью «Новые технологии»

Обществом с ограниченной ответственностью «Новые технологии» является юридическое лицо - хозяйственное общество, созданное участниками в целях извлечения прибыли.

Общество действует на основании Гражданского кодекса Российской Федерации, Федерального закона «Об обществах с ограниченной ответственностью», настоящего Устава. Полное фирменное наименование Общества - общество с ограниченной ответственностью «Новые технологии», сокращенное название - ООО «Новые технологии».

Основной целью деятельности Общества является извлечение прибыли.

Общество осуществляет следующие виды деятельности:

· управление недвижимым имуществом;

· хранение и складирование;

· сдача внаем собственного недвижимого имущества;

•        оптовая торговля пищевыми продуктами, включая напитки и табачные изделия;

· деятельность ресторанов и кафе;

· деятельность баров;

· поставка продукции общественного питания;

· организация и открытие магазинов оптовой и розничной торговли;

· сдача в аренду и субаренду имущества.

Основная деятельность организации состоит в закупке и продаже продукции общественного питания для обеспечения деятельности ресторанов, кафе, баров.

Отдельными видами деятельности, перечень которых определяется федеральным законом, Общество может заниматься только на основании специального разрешения (лицензии). Если условиями предоставления специального разрешения (лицензии) на осуществление определенного вида деятельности предусмотрено требование осуществлять такую деятельность как исключительную, Общество в течение срока действия такого разрешения (лицензии) вправе осуществлять только виды деятельности, предусмотренные специальным разрешением (лицензией), и сопутствующие виды деятельности [26].

Имущество Общества принадлежит ему на праве собственности и образуется из:

 - вклада участников Общества в уставный капитал Общества;

 - продукции, произведенной Обществом в процессе его деятельности;

 - полученных доходов;

 - иного имущества, приобретенного Обществом по иным основаниям, допускаемых законодательством.

 Общество может создавать резервный фонд путем перечисления 1% от балансовой прибыли Общества. Решение о формировании резервного фонда принимается только после уплаты налоговых платежей по расчетам во все уровни бюджета.

Финансовый год Общества устанавливается в соответствии с правовыми актами о бухгалтерском учете и отчетности [26].

Уставный капитал Общества определяет минимальный размер имущества Общества, гарантирующего интересы его кредиторов. Уставный капитал Общества составляет 100000 рублей(Сто тысяч рублей).

Высшим органом Общества является директор. Это избирательная должность, директор избирается раз в пять лет. По всем вопросам, относящимся к его компетенции, директор выносит решения в письменной форме [26].

К исключительной компетенции директора относится:

·определение основных направлений деятельности Общества, а также принятие решений об участии в ассоциациях и других объединениях коммерческих организаций;

·образование исполнительного органа Общества и досрочное прекращение его полномочий, а также принятие решения о передаче полномочий единоличного исполнительного органа Общества управляющему, утверждение такого управляющего и условий договора с ним;

·принятие решений о распределении чистой прибыли Общества между участниками Общества;

-утверждение (принятие) документов, регулирующих внутреннюю деятельность Общества (внутренних документов Общества);

·принятие решения о реорганизации или ликвидации Общества;

·решение иных вопросов, предусмотренных Федеральным законом.

Директор, не ранее чем через два месяца и не позднее чем через четыре месяца после окончания финансового года, утверждает годовые результаты деятельности Общества.

Директор вправе без доверенности действовать от имени Общества, в том числе представляет его интересы и совершает сделки, выдавать доверенности на право представительства от имени Общества, в том числе доверенности с правом передоверия, издавать приказы о назначении на должности работников Общества, об их переводе и увольнении, применяет меры поощрения и налагает дисциплинарные взыскания, осуществлять иные полномочия, не отнесенные к компетенции общего собрания участников.

Общество самостоятельно, основываясь на требованиях трудового законодательства, решает все вопросы кадрового обеспечения своей деятельности, определяет принципы и порядок нормирования труда и пересмотра норм, устанавливает тарифные ставки (оклады) и определяет порядок премирования по каждой из категорий персонала. Сведения о месте нахождения Общества - Московская область, город Коломна, пр. Окский, дом 9, помещение 46.[26]. Основные экономические показатели деятельности ООО «Новые технологии» представлены в табл.2. [3].

Таблица 2 Основные экономические показатели деятельности ООО «Новые технологии»

Экономические показатели

Единицы измерения

Годы

Изменения



2011

2012

2013

2012 к 2011

2013 к 2012

2013 к 2011

Валовой объем продукции

Тыс.руб.

2519

2663

2850

144

187

331

Объем реализации продукции (услуг)

Тыс.руб.

2068

2890

2531

822

-359

463

Прибыль от реализации продукции (услуг)

Тыс.руб.

1873

1949

1912

76

-37

39

Рентабельность продаж

%

0,9

0,67

0,75

-0,23

0,08

-0,15

Рентабельность персонала

Тыс.руб.

136,21

141,74

139,05

5,53

-2,69

2,84

Среднесписочная численность персонала

Чел.

11

11

11

0

0

0

Производительность труда 1 работника

Тыс.руб.

229

242,1

259,9

13,1

17,8

30,9

Годовой фонд заработной платы сотрудников

Тыс.руб.

1144,5

1484,4

1491,6

339,9

7,2

347,1


По данным таблицы, можно сделать вывод о том, что рентабельность продаж увеличивается в 2013 году по сравнению с 2012 годом, среднесписочная численность персонала не изменяется, прибыль от реализации продукции в 2013 году по сравнению с 2011 увеличилась на 2,08%, объем реализации продукции имеет тенденцию к росту, производительность труда одного работника повышается за исследуемый период. Согласно штатному расписанию в организации есть следующие работники:

директор;

заместитель директора;

главный бухгалтер;

секретарь;

менеджер по закупкам - 3 человека;

водитель [26].

Организационная структура ООО «Новые технологии» представлена на рис.3.

Рис.3. Организационная структура ООО «Новые технологии»

Схема организационной структуры является линейно-функциональной. При таком типе управления линейные руководители принимают решения, а функциональные руководители информируют и помогают линейному руководителю вырабатывать и принимать конкретные решения. То есть наблюдается диалог между руководителями функциональных подразделений при принятии решений [31].

Линейно-функциональная система имеет ряд преимуществ:

-       быстрое осуществление действий по распоряжениям и указаниям;

-       рациональное сочетание линейных и функциональных взаимосвязей;

-       единство и четкость распорядительства;

-       личная ответственность руководителя за результаты деятельности.

Согласно штатному расписанию в организации трудится 11 работников. Директор организации:

·        Руководит в соответствии с действующим законодательством всеми видами деятельности организации.

·        Организует работу и эффективное взаимодействие производственных единиц, цехов и других структурных подразделений.

·        Обеспечивает выполнение организацией заданий согласно установленным количественным и качественным показателям, всех обязательств перед поставщиками, заказчиками и банками.

·        Организует производственно-хозяйственную деятельность организации на основе применения методов научно обоснованного планирования материальных, финансовых и трудовых затрат, максимальной мобилизации резервов производства.

·        Принимает меры по обеспечению организации квалифицированными кадрами.

·        Способствует наилучшему использованию знаний и опыта работников, созданию безопасных и благоприятных условий для их труда, соблюдению требований законодательства по охране труда.

·        Решает все вопросы в пределах предоставленных прав и поручает выполнение отдельных производственно-хозяйственных функций другим должностным лицам - своим заместителям, руководителям производственных единиц, а также функциональных и производственных подразделений организации. Обеспечивает:

·        Законность, своевременность и правильность оформления документов.

·        Правильное начисление и перечисление налогов и сборов в федеральный, региональный и местный бюджеты, страховых взносов в государственные внебюджетные социальные фонды, платежей в банковские учреждения, средств на финансирование капитальных вложений.

·        Погашение в установленные сроки задолженностей организации банкам по ссудам.

Осуществляет контроль за:

·        Установлением должностных окладов работникам организации.

·        Проведением инвентаризаций основных средств, товарно-материальных ценностей и денежных средств.

Директор организации несет ответственность в следующих случаях:

·        За ненадлежащее исполнение или неисполнение своих должностных обязанностей, предусмотренных настоящей должностной инструкцией, в пределах, установленных трудовым законодательством Российской Федерации.

·        За правонарушения, совершенные в процессе своей деятельности, в пределах, установленных действующим административным, уголовным и гражданским законодательством Российской Федерации.

·        За причинение материального ущерба организации в пределах, установленных действующим трудовым и гражданским законодательством Российской Федерации [26].

Заместитель директора имеет следующие должностные обязанности:

·        Имеет право ставить свою личную подпись на некоторых документах.

·        Курирует регулирование рабочих процессов и налаживание взаимодействия структурных единиц для повышения рентабельности производства.

·        Составляет планы развития организации, квартальные и годовые бюджеты.

·        Поручает исполнение работы и руководящих обязанностей руководителям структурных, производственных или иных подразделений.

·        Осуществляет контроль работы всех подразделений предприятия.

·        Проводит текущую организационную деятельность.

·        Обеспечивает выполнение обязательств предприятия перед клиентами, дистрибьюторами, поставщиками и банками, обеспечивает выполнение условий договоров.

·        Ежеквартально устанавливает штатное расписание сотрудников, оклады и надбавки к заработной плате.

·        Обеспечивает подготовку и осуществление комплекса мероприятий по стимулированию работников.

·        Проводит экономическую политику деятельности компании, направленную на сбережение корпоративных и производственных ресурсов.

·        Улучшает бизнес-процессы: планирование и бюджетирование и совершенствует нормативную базу внутри предприятия для снижения издержек и улучшения условий труда.

·        Контролирует инвестиционные потоки предприятия, ведет учет расходования и поступления средств, отвечает за использование материальных ценностей.

·        Контролирует регулярность и срочность предоставления экономических отчетов директору предприятия.

Заместитель директора предприятия имеет право предлагать директору организации варианты поощрения для персонала всех структурных подразделений за выдающиеся достижения в работе, а также представлять предложения о взысканиях, штрафах и других способах привлечения к ответственности за нарушения [26].

Главный бухгалтер подчиняется непосредственно руководителю организации и несет ответственность за формирование учетной политики, ведение бухгалтерского учета, своевременное представление полной и достоверной бухгалтерской отчетности [26].

Главный бухгалтер обеспечивает соответствие совершаемых хозяйственных операций законодательству РФ, контроль за движением имущества и выполнением обязательств. Требования главного бухгалтера по документальному оформлению хозяйственных операций и представлению в бухгалтерию необходимых документов и сведений обязательны для всех работников организации. Без подписи главного бухгалтера денежные и расчетные документы, финансовые и кредитные обязательства считаются недействительными и не должны применяться к исполнению.

Главный бухгалтер совместно с руководителями соответствующих подразделений и служб обязан тщательно контролировать:

·        соблюдение установленных правил оформления приемки и отпуска товарно-материальных ценностей;

·        правильность расходования фонда заработной платы, установления должностных окладов, строгое соблюдение штатной, финансовой и кассовой дисциплины;

·        соблюдение установленных правил проведения инвентаризаций денежных средств, товарно-материальных ценностей, основных фондов, расчетов и платежных обязательств;

·        взыскание в установленные сроки дебиторской и погашение кредиторской задолженности, соблюдение платежной дисциплины;

·        законность списания недостач, дебиторской задолженности и других потерь [26].

Отдел закупок является главным подразделением, где принимаются решения о закупке товаров, заключаются контракты на поставку продукции, решаются вопросы выбора поставщика, устанавливаются требования к качеству продукции и т. д. Отдел закупок состоит из 3-х работников - двух торговых агентов и одного работника, осуществляющего документирование операций по закупочной деятельности. По мере увеличения объёмов закупок штатный состав отдела может расширяться и включать управляющего и нескольких агентов по закупкам с закреплением за каждым из них определённой группы товаров. Управляющий отделом уполномочен решать общие вопросы планирования и организации закупочной деятельности, контролировать действия закупочных агентов и оказывать им всестороннюю помощь. Штатный состав отдела, включающий 3-х работников, подотчётен директору организации, который выступает также в качестве управляющего.

Главной обязанностью управляющего отделом продаж является руководство, контроль и координация работ по продаже товаров. На него возложены обязанности, связанные с разработкой должностных инструкций для каждого работника, составлением плана продаж и проведением мероприятий по расширению рынков сбыта и увеличению объёмов продаж. Управляющий продажами осуществляет организацию обучения работающих и оказывает им всевозможную помощь в осуществлении их текущей деятельности [26].

.2 Анализ системы стимулирования персонала организации

стимулирование труд персонал заработный

Проанализируем состав и структуру персонала ООО «Новые технологии». В табл. 3 представлена структура среднесписочной численности работников ООО «Новые технологии».

Таблица 3 Структура среднесписочной численности работников ООО «Новые технологии»

Категория персонала

2011

2012

2013


человек

%

человек

%

Человек

%

Численность работников, всего

11

100

11

100

11

100

Руководители

3

27,3

3

27,3

3

27,3

Менеджеры

6

54,5

6

54,5

6

54,5

Остальные работники

2

18,2

2

18,2

2

18,2


Как видно из табл. 3 среднесписочная численность не изменилась за исследуемый период. Для наглядности изобразим структуру численности работников ООО «Новые технологии» на рис. 4.

Рис. 4. Структура среднесписочной численности работников

Наибольшую долю занимают менеджеры - 54,5%, руководители - 27,3% и остальные работники- 18,2%.

Проанализируем качественный состав трудовых ресурсов ООО «Новые технологии», т.е., распределение сотрудников по возрасту, по уровню образования и по стажу работы.

Таблица 4 Возрастной состав персонала ООО «Новые технологии»

Возраст / Год

2011

2012

2013

от 20 до 30 лет

5

5

5

от 30 до 40 лет

4

4

4

от 40 до 50 лет

2

2

2


Как видно из табл.4, наибольшую долю в структуре персонала ООО «Новые технологии» занимают работники в возрасте от 20 до 30 лет, далее идут работники от 30 до 40 лет.

Таблица 5 Уровень образования персонала ООО «Новые технологии»

Образование / Год

2011

2012

2013

высшее

6

6

6

неполное высшее

3

3

3

средне-специальное

2

2

2


Из табл. 5 видно, что на протяжении исследуемого периода уровень образования не менялся. Основную долю занимают работники с высшим и неполным высшим образованием.

Для наглядности изобразим уровень образования на рис.5.

Рис. 5. Уровень образования персонала ООО «Новые технологии»

Таким образом, структуру персонала ООО «Новые технологии» можно признать удовлетворительной: квалификационный состав кадров достаточно высокий, основная доля персонала находится в возрасте от 20 до 30 лет.

Для характеристики движения рабочей силы ООО «Новые технологии» рассчитаем и проанализируем динамику основных показателей. Данные показатели рассчитываем по формулам, указанным в главе 1, п.1.3.

За исследуемый период уволившихся по собственному желанию - 3 человека (2 человека в 2012 г. и 1 в 2013 г.), нанятых организацией - 3 человека (2 человека в 2012 г. и 1 в 2013 г.):

-       коэффициент оборота по приему персонала (Кпр):

Кпр2012 = 2/11*100= 18,1

Кпр2013 = 1/11*100= 9,09

-       коэффициент оборота по выбытию (Кв):

Кв2012 = 2/11*100= 18,1

Кв2013 = 1/11*100= 9,09

Таким образом, коэффициент оборота по выбытию равен коэффициенту оборота по приему.

-       Коэффициент текучести кадров (Ктк):

Ктк2012 = 2/11*100= 18,1

Ктк2013 = 1/11*100= 9,09

Пределы "нормы" коэффициента текучести кадров, как показывает практика, колеблются от 3% до 5%, в рыночных условиях можно говорить только об относительной стабильности штата. Коэффициент текучести кадров при этом колеблется в пределах 5-9% [21]. Коэффициент текучести кадров за периоды сокращается с 18,1% до 9%, что входит в пределы нормы.

-       коэффициент постоянства состава персонала предприятия (Кп.с):

Кп.с2012 = 9/11*100= 81,8

Кп.с2013 = 10/11*100= 90,9

За исследуемые периоды коэффициент постоянства персонала возрастает с 81,8% до 90,9%.

Таблица 6 Динамика численности персонала ООО «Новые технологии» за 2011-2013гг.

Показатели

Периоды


2011

2012

2013

1.Численность работников, чел.

11

11

11

2.Принято всего, чел.

0

2

1

3.Выбыло всего, чел., в том числе

0

2

1

а) переведено на другие предприятия

-

-

-

б) по собственному желанию

0

2

1

в) за прогулы

-

-

-

г) в связи с окончанием срока трудового контакта

-

-

-

д) другие причины

-

-

-

4.Численность работников на конец периода, чел.

11

11

11

5.Среднесписочная численность, чел.

11

11

11

Коэффициент оборота по приему, %

0

18,1

9,09

Коэффициент оборота по выбытию, %

0

18,1

9,09

Коэффициент текучести ,%

0

18,1

9,09

Коэффициент постоянства персонала, %

100

81,8

90,9


Для наглядности представим динамику коэффициентов движения персонала на рис. 6.

Рис. 6. Динамика коэффициентов движения персонала

Исходя из данных табл. 6 можно сделать вывод о том, что все рассчитанные показатели свидетельствуют об определенном росте стабильности кадров ООО «Новые технологии» и являются положительной тенденцией в его деятельности.

.3 Анализ эффективности системы стимулирования, используемой на предприятии ООО «Новые технологии»

Эффективность управления организацией ООО «Новые технологии» в целом зависит, в том числе, и от способности снижать издержки и повышать производительность труда, обеспечивать высокую степень адаптации к изменению внешних условий, от способности сотрудников проявлять инициативу. Эффективными инструментами решения этих задач может быть совершенствование системы стимулирования и оплаты труда.

Для стимулирования труда работников ООО «Новые технологии» используют материальные и нематериальные способы стимулирования. В качестве материального стимулирования в основном выступает заработная плата, основной формой которой является оклад работников. Изучение штатного расписания ООО «Новые технологии» показывает, что должностной оклад рассчитан с учетом занимаемой должности. Персональных надбавок в организации нет. Денежные поощрения, не связанные с продажей продукции, выполнением работ и оказанием услуг, также отсутствуют. Форма заработной платы менеджеров по продажам сдельно-прогрессивная: оклад - 12550 руб. + 3% от каждой заключенной сделки.

Должностной оклад сотрудников за исследуемый период представлен в табл. 7.

Таблица 7 Должностной оклад сотрудников за 2011 - 2013 гг.

Сотрудники

Должностной оклад, тыс.руб.


2011

2012

2013

Директор

16 000

16 500

17 100

Зам. директора

13 500

13 500

13 900

Главный бухгалтер

13 500

13 900

13 900

секретарь

9 000

9 200

9 200

Менеджер по закупкам

10 600

11 000

11 000

Менеджер по продажам

9 500

9 700

9 700

Водитель

8 000

8 500

8 500


Для учета ведется табель учета рабочего времени и табель расчета заработной платы. Повременная оплата для работника - это гарантия относительно стабильного заработка, она зависит от количества отработанного времени [27].

Трудовой коллектив, в котором работа оплачивается повременно, обычно бывает более сплоченным, поскольку текучесть кадров меньше, а экономические интересы одних работников реже противостоят интересам других.

При сдельной оплате труда заработная плата зависит от количества произведенной продукции, выполненных работ, услуг. Для работника преимущества сдельной оплаты связаны с тем, что у него есть реальная возможность увеличить свой заработок путем выполнения большего объема работ, роста производительности труда [27].

Для стимулирования труда работников руководство ООО «Новые технологии» использует экономические, социальные и нравственно - воспитательные методы мотивации.

Проведем сравнение динамики производительности труда и средней заработной платы в табл. 8.

Таблица 8 Динамика производительности труда и средней заработной платы за 2011 -2013 гг.

Показатель/Годы

2011

2012

2013

Производительность труда, тыс.руб. на 1 человека

229

242,1

259,9

Средняя заработная плата, тыс.руб.

10,94

11,24

11,3


Изменения динамики производительности труда и средней заработной платы за 2011 -2013 гг. представим в табл. 9.

Таблица 9 Изменения динамики производительности труда и средней заработной платы за 2011 -2013 гг.

Показатель/ Годы

Изменения


2012 к 2011

2013 к 2012

2013 к 2011


Абсол., тыс.р.

Темп роста, %

Абсол., тыс.р.

Темп роста, %

Абсол., тыс.р.

Темп роста, %

Производительность труда, тыс.руб. на 1 человека

13,1

105,7

17,8

107,3

30,9

113,5

Средняя заработная плата, тыс.руб.

0,3

102,7

0,06

100,5

0,36

103,3


Из табл. 9 видно что, в 2013 году наблюдается прирост производительности труда на 30,9 т.р. или на 13,5%, и средней заработной платы - на 0,36 т.р. или на 3,3%. Темп роста производительности труда в 2013 году превышает темп роста средней заработной платы, что является положительным моментом и свидетельствует о эффективности использования персонала компании ООО «Новые технологии».

Минусы в системе материального стимулирования в ООО «Новые технологии» выступают:

-       отсутствие премий для работников;

-       заработная плата большинства работников представляет собой оклады, не зависящие от конечных результатов деятельности самих работников, что также снижает заинтересованность в конечных результатах работы; отсутствует система доплат и надбавок.

Направления морального стимулирования трудовой активности персонала и динамика общей численности задействованных за период с 2011 по 2013 годы:

привлечение к участию в делах организации (проведение собраний для принятия управленческих решений с привлечением лучших сотрудников): в 2011 году 2 человека, в 2012 году - 4.

вынесение благодарностей за добросовестный труд. За 2011-2013 гг. возросло число лиц, которым была вынесена благодарность за добросовестный труд, 5 человек.

В целях повышения профессионального уровня персонала можно отнести такие мероприятия, проводимые ООО «Новые технологии» как:

–       повышение квалификации сотрудников организации, обучение производится за счет предприятия;

–       компьютерные курсы, обучение производится за счет предприятия.

Эти возможности роста профессионального мастерства в значительной степени формируют нематериальные мотивы деятельности сотрудников.

Для стимулирования работников им предоставляются следующие льготы:

добровольное медицинское страхование работников (оплачивается 50%);

частичная оплата путевок в санатории;

предоставление ссуды;

бесплатное питание (некоторым категориям сотрудников);

- определенные льготы в зависимости от должности и статуса (мобильный телефон и другие);

корпоративные праздники с вручением подарков (Новый год, День рождения газеты, День защитника отечества, 8 Марта);

гарантию нормированного рабочего дня, пятидневной рабочей недели.

Рассмотрим затраты организации на стимулирование работников в 2011- 2013 гг. Они представлены в табл.10.

Таблица 10 Затраты организации ООО «Новые технологии» на стимулирование работников в 2011- 2013 гг.

Наименование компонента социальной мотивации

Затраты, руб.


2011

2012

2013

Повышение квалификации сотрудников организации

24 450

28 100

32 000

Бесплатное питание

7 000

7 000

7 800

Частичная оплата путевок в санатории

8 000

8 800

9 500

Итого

39 450

43 900

49 300


Изменения динамики затрат организации 2011 -2013 гг. представим в табл. 11.

Наим.е компонента социальной мотивации

Изменения

 Тенденции


2012 к 2011

2013 к 2012

2013 к 2011



Откл. в руб.

Откл. в %

Откл. в руб.

Откл. в %

Откл. в руб.

Откл. в %


Повышение квалификации сотрудников организации

3 650

14,9

3 900

13,8

7 550

30,8

увел.

Бесплатное питание

0

1

800

11,4

800

11,4

увел.

Частичная оплата путевок в санатории

800

10

700

7,9

1 500

18,8

увел.

Итого

4 450

25,9

5 400

33,1

9 850

61

увел.


Из таблицы видно, что наблюдается рост затрат на стимулирование в среднем на 20,3%, что является положительной тенденцией. Эти средства планируются из чистой прибыли организации. Для наглядности изобразим затраты на стимулирование на рис.7.

Рис. 7. Затраты на стимулирование ООО « Новые технологии»

Наибольшую долю в структуре затрат занимает повышение квалификации сотрудников организации.

Социальная поддержка в ООО «Новые технологии» складываются из двух составляющих: обязательные меры социальной защиты и социальной поддержки, предусмотренные законодательством и дополнительные, добровольные меры предприятия. В соответствии с законодательством в организации производятся выплаты в форме единого социального налога в пенсионный фонд, в фонды медицинского и социального страхования; предоставляются основные и дополнительные отпуска и выполняются другие обязательства по социальной поддержке сотрудников. Также в компании хорошо развита система обязательств по добровольной социальной защите и поддержке работников. Наличие такой системы делает компанию довольно привлекательной, способствует закреплению кадров.

При необходимости, ООО «Новые технологии» оказывает материальную помощь своим сотрудникам в случае вступления в брак, при рождении ребенка или в случае смерти членов семьи. Для всех сотрудников предусмотрено бесплатное медицинское обслуживание за счет компании.

Любая организация заинтересована в повышении квалификационного уровня своих работников. С этой целью предприятие организует дополнительное обучение перспективных сотрудников. Одним из наиболее общих показателей эффективности стимулирования трудовых ресурсов является проведение на предприятии социологических исследований, которые представляют собой анкеты удовлетворенности сотрудников характером работы, уровнем заработной платы, моральными формами стимулирования персонала. Анкеты, посвященные оценке удовлетворенности, должны выявлять не только саму удовлетворенность, но и структуру внутренней мотивации работников [34].

Все факторы, влияющие на удовлетворенность работников разделим на две группы:

• поддерживающие (или удерживающие) - создают необходимые, но недостаточные для высокой удовлетворенности условия; • мотивирующие - существенно увеличивают удовлетворенность работников при соблюдении всех необходимых условий мотивации.

И те, и другие факторы в определенной степени влияют на общую удовлетворенность персонала, но степень этого воздействия может различаться у отдельных сотрудников и профессиональных групп.

Факторы, влияющие на удовлетворенность работников, представлены в табл. 12.[28].

Таблица 12 Факторы, влияющие на удовлетворенность работников

Поддерживающие факторы

Мотивирующие факторы

Постоянная часть зарплаты (должностной оклад, надбавки) Льготы, социальный пакет Психологический климат, межличностные отношения Стиль управления руководителей Физические условия труда, оснащенность рабочего места Стабильность и надежность рабочего места Режим труда и отдыха (рабочий график, выходные, отпуск) Самостоятельность и независимость в работе, полномочия Корпоративные мероприятия, праздники, традиции, совместный отдых, спорт Полное и своевременное информирование (о планах руководства, перспективах развития) Участие в обсуждении и принятии управленческих решений Корпоративная культура, общепринятые ценности, правила и нормы поведения в организации Политика руководства, методы и приемы управления, общая организация труда в организации

Возможность профессионального и личностного роста Содержание самой работы, её разнообразие, интересность, возможность самовыражения Переменная часть зарплаты, зависящая от результатов труда, возможность не получать, а зарабатывать Признание со стороны руководителей и коллег (моральные поощрения, ценные подарки, призы и др.) Личная ответственность за результаты работы Работа в команде, возможность общения и взаимодействия с людьми Занимаемая должность, ваш статус в организации Возможность продвижения по службе, карьерный рост Атмосфера здоровой состязательности в коллективе


Посредством заполнения анкеты сотрудникам предприятия предлагалось оценить степень важности для себя каждого из указанных факторов в баллах от 0 («совсем неважно») до 10 («критически важно»). Полученные оценки затем используем для вычисления корректирующих коэффициентов, отражающих относительную важность или «долю» каждого фактора в общей удовлетворенности работника. Количество баллов по каждому фактору делилось на общую сумму баллов по всем факторам.

Посредством заполнения анкеты сотрудникам предприятия предлагалось оценить степень важности для себя каждого из указанных факторов в баллах от 0 («совсем неважно») до 10 («критически важно»). Полученные оценки затем используем для вычисления корректирующих коэффициентов, отражающих относительную важность или «долю» каждого фактора в общей удовлетворенности работника. Количество баллов по каждому фактору делилось на общую сумму баллов по всем факторам.

Удовлетворенность работника по каждому фактору в отдельности оценивали по следующей шкале, представленной в табл. 13.

Таблица 13 Шкала оценки удовлетворенности работника*

Совершенно не удовлетворен

Не удовлетворен

Скорее не удовлетворен, чем удовлетворен

Удовлетворен

Совершенно удовлетворен

1

2

3

4

5

6

7

8

9

10


Чтобы учесть отношение сотрудника к каждому из этих факторов, полученные оценки удовлетворенности (от 1 до 10) умножались на коэффициенты относительной важности и затем складывались. В результате получаем индекс удовлетворенности работника .

Описанная методика позволяет получить два типа результатов, касающихся удовлетворенности сотрудников: общие индексы и факторные оценки.

Рис. 8. Общие индексы удовлетворенности работников ООО «Новые технологии»

Средняя удовлетворенность сотрудников по всем категориям персонала относилась к интервалу от 6 до 7 баллов, что несущественно влияло на производительность и качество труда, однако указывало на некоторое отклонение от нормы. Практически это выражалось в пассивности и равнодушии большинства работников, уклонении от самостоятельного принятия решений, невысокой инициативности и производительности труда.

Факторные оценки удовлетворенности представим в табл. 14.

Таблица 14 Факторные оценки удовлетворенности ООО «Новые технологии»

Характеристики работы

Категории персонала

 


Руководители

Менеджеры

Основные работники

 

Возможность профессионального и личностного роста

8,2

7,3

5,9

 

Содержание самой работы, её разнообразие, интересность, возможность самовыражения

7,6

5,7

5,3

 

Переменная часть зарплаты, зависящая от результатов труда, возможность не получать, а зарабатывать

8,7

6,4

6,0

 

Признание со стороны руководителей и коллег (моральные поощрения, ценные подарки, призы и др.)

7,0

6,3

5,8

 

Личная ответственность за результаты работы

6,8

7,1

6,4

 

Работа в команде, возможность общения и взаимодействия с людьми

7,5

7,1

6,9

 

Занимаемая должность, ваш статус в организации

8,6

6,8

5,4

 

Возможность продвижения по службе, карьерный рост

8,1

6,7

6,0

 

Атмосфера здоровой состязательности в коллективе

5,8

6,1

5,6

 

Постоянная часть зарплаты (должностной оклад, надбавки)

7,3

6,6

5,3

 

Льготы, социальный пакет

7,9

6,1

5,3

 

Психологический климат, межличностные отношения

7,5

7,2

7,4

 

Стиль управления руководителей

6,7

6,2

5,9

 

Физические условия труда, оснащенность рабочего места

7,2

6,3

5,8

 

Стабильность и надежность рабочего места

6,7

7,0

5,7

 

Режим труда и отдыха (рабочий график, выходные, отпуск)

7,2

5,6

5,5

 

Самостоятельность и независимость в работе, полномочия

7,7

6,3

6,0

 

Корпоративные мероприятия, праздники, традиции, совместный отдых, спорт

6,1

5,6

5,2

 

Полное и своевременное информирование (о планах руководства, перспективах развития)

7,5

7,5

6,4

 

Участие в обсуждении и принятии управленческих решений

6,6

6,6

5,4

Корпоративная культура, общепринятые ценности, правила и нормы поведения в организации

7,8

6,4

5,7

Политика руководства, методы и приемы управления, общая организация труда в организации

6,4

6,6

5,9


Полученные результаты позволили сделать выводы о том, по каким направлениям следует совершенствовать систему стимулирования с учетом фактической удовлетворенности и структуры внутренней мотивации персонала разных категорий. Так, наиболее неустойчивое положение наблюдается среди основных работников: в «серую зону» попали 21 из 23 факторов удовлетворенности. На основе полученных результатов опроса можно определить ключевые факторы, влияющие на удержание и привлечение работников:

–       возможность профессионального и личностного роста;

–       переменная часть зарплаты, зависящая от результатов труда; возможность не получать, а зарабатывать;

–       признание со стороны руководителей и коллег (моральные поощрения, ценные подарки, призы, почетные звания и др.);

–       атмосфера здоровой состязательности в коллективе;

–       физические условия труда, оснащенность рабочего места;

–       корпоративные мероприятия, праздники, традиции, совместный отдых, спорт;

–       полное и своевременное информирование (о ситуации на предприятии, планах руководства, перспективах развития);

–       участие в обсуждении и принятии управленческих решений.

Таким образом, можно сделать вывод о том, что представленные формы поощрения носят материальный характер, но в тоже время по существу являются формами морального стимулирования сотрудников.

Глава 3. Совершенствование системы стимулирования труда персонала в ООО «Новые технологии»

.1 Прогноз среднемесячной заработной платы сотрудников ООО «Новые технологии»

Особую роль в структуре доходов работника играет заработная плата. С учетом анализа и прогноза использования заработной платы, можно эффективно совершенствовать систему стимулирования труда [30]. Для прогнозирования заработной платы используем метод наименьших квадратов.

Сущность метода наименьших квадратов состоит в минимизации отклонений между наблюдаемыми и расчетными величинами. Расчетные величины находятся по подобранному уравнению- уравнению регрессии.

Чем меньше расстояние между фактическими и расчетными значениями, тем более точен прогноз.

Рост заработной платы ожидается в арифметической прогрессии, следовательно, сглаживание будем проводить по прямой.

Показатели среднемесячной заработной платы представлены в табл. 15.

Таблица 15 Показатели среднемесячной заработной платы ООО «Новые технологии»

Показатели/Годы

2011

2012

2013

Среднемесячная заработная плата тыс. руб.

10,94

11,24

11,3


Чем меньше расстояние между фактическими и расчетными значениями, тем более точен прогноз.

Формула метода наименьших квадратов:

yt+1= a*X+b (9)

где t+1 - прогнозируемый период;

yt+1 - прогнозируемый показатель; a и b- коэффициенты;

Х- условное обозначение времени.

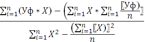
Расчет коэффициентов a и b осуществляется по следующим формулам:

а =  (10)

где, Уф - фактическое значение ряда динамики;

n - число уровней временного ряда;

b =  (11)

Составим таблицу с показателями, необходимыми для построения прогноза (табл. 16).

Таблица 16 Показатели, необходимые для построения прогноза

Год

Среднемесячная заработная плата, Уф

Условное обозначение времени, Х

Уф*Х

Х2

Ур

Расчет средней относительной ошибки

2011

10,94

1

10,94

1

10,98

0,12

2012

11,24

2

22,48

4

11,16

0,23

2013

11,3

3

33,9

9

11,34

0,11

Итого

33,48

6

67,32

14

33,48

0,46

2014


4



11,52


2015


5



11,7


а = ;

b = .

yt+1= 0,18*X+10,8;

У2011=0,18*1+10,8=10,98

У2012=0,18*2+10,8=11,16

У2013=0,18*3+10,8=11,34

У2014=0,18*4+10,8=11,52

У2015=0,18*5+10,8=11,7

e=0,46/3=0,15%

График построения прогноза представим на рис.9.

Рис.9. График построения прогноза

Изменения заработной платы представлены на рис.10.

Рис.10. Изменения заработной платы

Таким образом, в 2014 году среднемесячная заработная плата составит 11 520 руб. и увеличится на 220 руб. по отношению к 2013 году. В 2015 году - 11 700 руб. и увеличится на 400 руб. по отношению к 2013 году и на 760 руб. по отношению к 2011 году.

Заработная плата в перспективе будет недостаточным стимулом для повышения результативности труда и производства в целом.

.2 Мероприятия по совершенствованию системы стимулирования персонала на примере ООО «Новые технологии»

Анализ системы стимулирования персонала показывает, что наибольшую значимость для сотрудников ООО «Новые технологии» важным критерием удовлетворенности работой является как материальная, так и нематериальная её составляющая.

Для ООО «Новые технологии» в рамках разработки новой системы стимулирования предлагается внедрение следующих мероприятий:

·        разработка системы коэффициентов

·        разработка системы премирования

·        разработка мер по социальному стимулированию

С целью повышения эффективности трудового процесса работника необходимо ежегодно проводить аттестацию всех работников ООО «Новые технологии» по следующим направлениям: Квалификация, Профессиональный опыт, Стаж работы, Ответственность, Овладение смежной профессией, Психологическая нагрузка, Условия труда.

Переменная составляющая может формироваться следующим образом:

) устанавливается БД (базовая доля) на основе квалификационного уровня работника, однако, она не увязывается с тарифной ставкой и является пунктом соотношения перевыполнения или невыполнения своих должностных квалификационных обязанностей.

) система премиальных долей или бонусов должна быть увязана с достижением экономического эффекта в деятельности работника. Предложено за основу принять систему месячных бонусов (критериев) и установить следующие критерии начисления долей или бонусов:

а) предотвращение непредвиденных ситуаций (поломки компьютерного оборудования), способных привести к увеличению издержек;

б) экономия сил и средств (вовлечения должностей) психологического климата в коллективе.

Система штрафов и поощрений. Система наложения штрафов должна быть увязана как с экономическими, прямыми потерями, так и с косвенными:

не выход на работу

нарушение дисциплины

нарушение принципов организационной культуры.

При определении доли прибыли на формирование переменной составляющей зарплаты целесообразно, чтобы она составляла в зарплате не менее 30%.

Рациональный подход к формированию системы оплаты труда, основанный на предложенной концепции и необходимости обязательной выплаты зарплаты работникам, приемлем и экономически обоснован, т.е. способен быть реализован с наименьшими затратами для менеджмента с целью создания базы для совершенствования и развития предложенного подхода.

Расчетные показатели сопоставимы по сумме с затратами при максимальных показателях ФОТ, что не входит в противоречие с подходами менеджмента корпорации о плановых максимальных возможностях компании оплачивать труд своих работников. В тоже время используется кардинально отличный подход к формированию оплаты труда.

В условиях повышения рентабельности ООО «Новые технологии» имеет смысл использовать более дифференцированную систему оплаты, которая, должна состоять из трех частей:

. постоянной - должностной оклад с учетом КДУ (квалификационного должностного уровня).

. переменной (А) - на основе оценки качества работы сотрудника, так называемый "доход по заслугам".

. переменной (Б) - связана с эффективностью деятельности предприятия в целом, зависящей от прибыли предприятия и оценки вклада участка (отдела) в данный результат.

Постоянная компонента должна дифференцировать профессионала и начинающего при их равной степени ответственного отношения к делу [32].

В данном подходе, при прочих равных условиях, повышение зарплаты происходит больше для сотрудников с лучшей оценкой и меньшим КДУ с целью стимулирования более качественного выполнения работы и стремлении получить более высокий КДУ.

Переменная составляющая (Б) определяется с целью - увязать эффективную работу работника участка (отдела) и предприятия.

Таким образом, переменная "Б" - это процент от прибыли ООО «Новые технологии». Следовательно, материальный доход работника включает:

. Должностной оклад на основе уровня исполнения или функционала.

.Оценку личного результата, влияющего на общий итог деятельности предприятия при выполнении задач, связанных непосредственно с зоной его полномочий. 3. Оценку его вклада в конечный результат хозяйственной деятельности предприятия на основе оценки вклада структурного подразделения и работника в составе данного подразделения (% дохода предприятия).

Данная система обеспечивает:

. Выполнение работником функциональных обязанностей, что обеспечивает бесперебойную работу всего предприятия в плановых заданиях.

. Проявление инициативы, ответственности работника с целью улучшения показателей в рамках его функционала;

. Заинтересованность работника в проявлении инициативы, обеспечивающей эффективную деятельность подразделения и предприятия в целом для получения дивидендов.

Таким образом, в целях создания эффективной системы управления персоналом в ООО «Новые технологии» необходимо осуществить действия в следующих направлениях:

Дифференциация оплаты труда по категориям персонала:

руководители;

специалисты.

Гарантированная ставка (постоянная составляющая) обязательное условие.

Решения об использовании системы оплаты труда должны приниматься на основе:

возможностей изменений;

перспектив развития изменений;

определение приоритетов в оплате.

Система оплаты труда должна рассматриваться, прежде всего, как мотивация персонала, следовательно, как подсистема общей системы стимулирования персонала.

Источником премиальных выплат в ООО «Новые технологии» является прибыль предприятия и фонд заработной платы. При увеличении прибыли предприятия, премиальный фонд также может увеличиваться, если перед организацией не стоит других первостепенных задач, для которых нужны денежные затраты. Увеличение премиального фонда происходит в конце года и всем работникам выплачивается новогодняя премия.

Выплата премий носит регулярный характер, т.е. сотрудники получают премии ежемесячно. Сотрудникам ООО «Новые технологии» выплачиваются премии, устанавливаемые приказами директора фирмы. В каждом подразделении существует свой премиальный фонд. Руководители каждого отдела ежемесячно вместе с табелем по заработной плате, куда вписывают размер премирования сотрудника, подают лист отчетности, в котором обосновывают установленную премию. Руководитель следит, чтобы общая сумма премирования всех сотрудников не превышала премиальный фонд. Премиальный фонд ежемесячно выделяется каждому структурному подразделению.

В ООО «Новые технологии» рекомендуются к применению следующие системы материального стимулирования:

. Системы, увязывающие основную оплату труда с уровнем выполнения и перевыполнения показателей, выходящих на пределы основной нормы труда работника.

. Системы, увязывающие основную оплату труда с личными деловыми качествами работника, уровнем его профессионального мастерства и индивидуальными качествами, отношением к работе.

Это доплаты и надбавки стимулирующего характера за:

профессиональное мастерство;

совмещение профессий (должностей);

надбавки за стаж работы;

выполнение прежнего или большего объема услуг меньшей численностью работников.

. Системы, увязывающие основную заработную плату работника или группы работников с определенными достижениями, не носящими систематического характера в течение достаточно длительного календарного периода (год). Общим критерием для указанных видов начислений является их связь с достижением работником высоких торговых результатов.

Премирование руководящих работников должно быть строго увязано с достижением конечных результатов труда, ростом его производительности, снижением трудоемкости и другими показателями деятельности.

Поэтому при формировании ФОТ следует запланировать расходы на премирование, например, 20% от фонда оплаты труда.

Выплаты стимулирующего характера являются составной частью заработной платы.

Работодатель имеет право устанавливать различные системы премирования, стимулирующих доплат и надбавок. Указанные системы могут устанавливаться также коллективным договором.

Премии повышают заинтересованность работника в улучшении количественных и качественных показателей. Источники премирования ООО «Новые технологии» могут быть различными. Наиболее традиционными источниками являются: фонд оплаты труда, прибыль компании, экономия фонда оплаты труда, получение дополнительной чистой прибыли, экономия оборотных средств. Представим примерную шкалу премирования сотрудников ООО «Новые технологии» в табл. 17.

Таблица 17 Примерная шкала премирования работников ООО «Новые технологии»

Условия премирования

Показатель

Размер премии, % к заработной плате сотрудников, в зависимости от выполнения нормы

За выполнение месячной нормы

% от нормы

100 (10%)

90 (8%)

От 80 до 89 (7%)

От 65 до 80 (5,5%)

От 55 до 65 (4%)


Таким образом, сотрудники будут стремиться к выполнению месячной нормы, для увеличения своей премиальной части заработной платы. Плановая норма будет устанавливаться директором организации. Социальный пакет компании ООО «Новые технологии» должен включать как мотиваторы, требующие инвестиций компании, так и мотиваторы, которые их не требуют. В организацию ООО «Новые технологии» можно рекомендовать внедрение бенефиционной системы.

Бенефиционная система - та система, которая требует инвестиций компании. В ней выделяют мотиваторы, распределяемые, как правило, независимо от трудового вклада должности, - группа А и зависящие от них - группа Б [12].

Предлагаемый перечень льгот в ООО «Новые технологии»:

·        страхование жизни

·        оплата корпоративных мобильных телефонов

·        оплата питания (обеды для сотрудников)

·        дополнительное профессиональное обучение сотрудников

Выплата пособий является непрямой формой оплаты труда, способствующей улучшению качества работы и повышению уровня жизни сотрудников ООО «Новые технологии». Кроме того, наличие пособий обеспечивает рост стимулирования и оздоровление морального климата в коллективе. Некоторые виды пособий гарантированы законодательством. Как правило, они составляют 25 % от общего объема. Работодатель ООО «Новые технологии» обязан обеспечивать выплату данных пособий своим сотрудникам. Пособия для сотрудников, как правило, являются издержками организации, обеспечивающей их выплату.

Внедрение предложенных мероприятий позволит компании ООО «Новые технологии» увеличить результативность труда. Таким образом, благодаря вводимым мероприятиям компания сможет более эффективно использовать трудовой потенциал и увеличить производительность труда.

3.3 Оценка экономической эффективности предложенных мероприятий

Для ООО «Новые технологии» были предложены следующие мероприятия, представленные в табл.18.

Таблица 18 Мероприятия по стимулированию персонала в ООО «Новые технологии»

Мероприятия

Необходимые затраты, тыс.руб.

Материальные


разработка системы коэффициентов

15 000

разработка системы премирования

22 000

Нематериальные


разработка мер по социальному стимулированию

45 000

Итого

82 000


Общая сумма затрат по внедрению материальных и нематериальных мероприятий составит 82 000 тыс.руб. Для наглядности представим структуру затрат на рис. 11.

 

В структуре затрат большую долю занимают разовые затраты по нематериальному стимулированию, хотя материальное стимулирование также имеет большой процент затрат (45%). Проведем оценку экономического эффекта внедрения данных мероприятий.

Внедрение предложенных мероприятий позволит компании ООО « Новые технологии» увеличить производительность труда.

Если заработная плата сотрудников компании будет зависеть от результатов деятельности компании в целом, то появляется заинтересованность работников в повышении выручки от реализации. Таким образом, компания устанавливает процент роста заработной платы в зависимости от прироста выручки компании.

Предлагаемый проект мероприятий для ООО «Новые технологии» будет способствовать росту эффективности функционирования компании.

Прибыль от внедрения данных мероприятий представлена в табл. 19.

Таблица 19 Прибыль от внедрения мероприятий по стимулированию персонала в ООО «Новые технологии»

Мероприятия

Прибыль от внедрения мероприятий

Материальные


разработка системы коэффициентов

64 800

разработка системы премирования

73 240

Нематериальные


разработка мер по социальному стимулированию

112 500

Итого

250 540


Прирост показателей свидетельствует о положительной динамике развития организации ООО « Новые технологии» в результате внедрения данных мероприятий. Наиболее выгодным мероприятием является разработка мер по социальному стимулированию.

Рассчитаем эффективность предлагаемых мероприятий. Для этого используем коэффициент рентабельности инвестиций (ROI), предполагающий оценку возврата инвестиций. Расчет этого коэффициента является самым популярным методом оценки экономической эффективности проектов. Коэффициент ROI будем рассчитывать по формуле:

ROI =, (12)

где Пр - прибыль, полученная от реализации мероприятий по привлечению инвестиций;

З - затраты на проведение мероприятий по привлечению инвестиций.

Произведем расчет коэффициента для каждого из мероприятий:

·        Разработка системы коэффициентов на предприятии

ROI = 64 800/15000 = 4,32

·        Разработка системы премирования

ROI = 73 240/22000 = 3,32

·        Разработка мер по социальному стимулированию

ROI = 112500/45000 = 2,5

В результате проведенных расчетов видно, что наибольший коэффициент эффективности мероприятий по стимулированию персонала у разработки системы коэффициентов на предприятии (4,32), а наименьший по разработке мер по социальному стимулированию (2,5). Проекты мероприятий по стимулированию труда персонала можно считать эффективными, так как они не принесут компании убытков.

Внедрение предложенных мероприятий в организации позволит увеличить объемы реализации продукции, а также повысить производительность труда за счет роста объемов реализации.

Заключение

В современных условиях процессы стимулирования труда должны охватывать следующие направления работы с персоналом: работу с потенциальными кадрами, приём на работу, работу с действующим персоналом и работу с ветеранами организации.

. Стимулирование работников и сотрудников на предприятии занимает одно из центральных мест в управлении персоналом, поскольку она выступает непосредственной причиной их поведения. Ориентация работников на достижение целей организации по существу является главной задачей руководства персоналом. Стимулирование труда есть способ управления поведением социальных систем различного иерархического уровня, является одним из методов мотивации трудового поведения объектов управления.

. Главная цель формирования и функционирования системы стимулирования - обеспечение достижения целей организации посредством привлечения и сохранения профессионально подготовленного персонала и, прежде всего, посредством эффективной, сильной и устойчивой мотивации, формируемой на основе комплексного стимулирования, являющегося предметом интереса для всех групп персонала организации.

. Стимулирование как метод воздействия на трудовое поведение опосредовано через его мотивацию. При стимулировании побуждение к труду происходит в форме компенсации за трудовые усилия. Деление стимулов на «материальные» и «моральные» условно, поскольку они взаимосвязаны.

. К методам стимулирования труда относятся материальные и нематериальные методы стимулирования. Нематериальные делятся на социальные, моральные, социально - психологические.

5. Система стимулирования персонала должна прежде всего руководствоваться экономическими принципами: принцип комплексности; принцип системности; принцип регламентации; принцип специализации; принцип стабильности; принцип целенаправленности.

6. Обществом с ограниченной ответственностью «Новые технологии» является юридическое лицо - хозяйственное общество, созданное участниками в целях извлечения прибыли. Общество самостоятельно, основываясь на требованиях трудового законодательства решает все вопросы кадрового обеспечения своей деятельности, определяет принципы и порядок нормирования труда и пересмотра норм, устанавливает тарифные ставки (оклады) и определяет порядок премирования по каждой из категорий персонала.

. Схема организационной структуры является линейно-функциональной. При таком типе управления линейные руководители принимают решения, а функциональные руководители информируют и помогают линейному руководителю вырабатывать и принимать конкретные решения. То есть наблюдается диалог между руководителями функциональных подразделений при принятии решений.

. Все рассчитанные показатели свидетельствуют об определенном росте стабильности кадров ООО «Новые технологии» и являются положительной тенденцией в его деятельности.

. Одним из наиболее общих показателей эффективности стимулирования трудовых ресурсов является проведение на предприятии социологических исследований, которые представляют собой анкеты удовлетворенности сотрудников характером работы, уровнем заработной платы, моральными формами стимулирования персонала. Полученные результаты позволили сделать выводы о том, по каким направлениям следует совершенствовать систему стимулирования с учетом фактической удовлетворенности и структуры внутренней мотивации персонала разных категорий. Так, наиболее неустойчивое положение наблюдается среди основных работников: в «серую зону» попали 21 из 23 факторов удовлетворенности.

. Эффективность управления организацией ООО «Новые технологии» в целом зависит, в том числе, и от способности снижать издержки и повышать производительность труда, обеспечивать высокую степень адаптации к изменению внешних условий, от способности сотрудников проявлять инициативу.

. Представленные формы поощрения носят материальный характер, но в тоже время по существу являются формами морального стимулирования сотрудников. Они создают определенный имидж компании, их распространенность свидетельствует об успешной его работе.

. В 2014 году среднемесячная заработная плата составит 11 520 руб. и увеличится на 220 руб. по отношению к 2013 году. В 2015 году - 11 700 руб. и увеличится на 400 руб. по отношению к 2013 году и на 760 руб. по отношению к 2011 году.

13. Для ООО «Новые технологии» в рамках разработки новой системы стимулирования предлагается внедрение следующих мероприятий: разработка системы коэффициентов, разработка системы премирования, разработка мер по социальному стимулированию. Внедрение предложенных мероприятий позволит компании ООО «Новые технологии» увеличить результативность труда. Таким образом, благодаря вводимым мероприятиям компания сможет более эффективно использовать трудовой потенциал и увеличить производительность труда.

14. В результате проведенных расчетов видно, что наибольший коэффициент эффективности мероприятий по стимулированию персонала у разработки системы коэффициентов на предприятии (4,32), а наименьший по разработке мер по социальному стимулированию (2,5). Проекты мероприятий по стимулированию труда персонала можно считать эффективными, так как они не принесут компании убытков.

Список используемой литературы

1.      Абрамова С.В.Мотивация и стимулирование труда персонала/ Абрамова С.В./ Проблемы современной экономики: материалы II международной научной конференции. - Челябинск: Два комсомольца, 2012. - с. 149 - 153.

2.      Багракова А.А. Материальная и нематериальная мотивация сотрудников. Роль нематериальных стимулов в системе мотивации // Управление человеческим потенциалом, 2008.

.        Бухгалтерский баланс общества с ограниченной ответственностью «Новые технологии» за 2011 - 2013 гг.

.        Веницианова, А. Нематериальная мотивация сотрудников. // Арсенал предпринимателя. - 2012. - №12. - С. 63-67

.        Веснин В.Р. Управление персоналом: Учебник. - М.: 2011. - 688с.

.        Володина Н. Инструменты нематериальной мотивации и их эффективность // Справочник по управлению персоналом. - 2006 - № 7 - с. 56.

.        Гадецкая, О. Система вознаграждений. // Управление персоналом. - 2010. - №4. - С. 56-58

.        Гущина И. Трудовая мотивация как фактор повышения эффективности труда // Общество и экономика. - 2011 - № 1.

.        Дряхлов Н. И., Куприянов Е. А. Эффективность деятельности сотрудников и их вознаграждение на Западе // СОЦИС: Социологические исследования.- 2009.- № 12.

.        Дятлов, В.А. Управление персоналом: учеб. пособие / В.А. Дятлов.- М.: ПРИОР, 2009. - 365 с.

11.    Кардашов В. Мотивация персонала: теория и практика// Человек и труд. - 2011, № 10.

12.    Кибанов А.Я., Митрофанова Е.А., Ловчева М.В., Баткаева И.А. Мотивация и стимулирование трудовой деятельности: Учебник. - М.: Инфра-М, 2010. - С. 510.

13.    Комарав Е.И. Стимулирование и мотивация в современном управлении персоналом/Управление персоналом. - 2009, №1.

.        Комаров Е.И., Жданин Н.А. Современные тенденции в мотивации стимулировании персонала/Управление персоналом . - 2008,№ 5.

.        Кулагин О. Оценка удовлетворенности персонала/ Кулагин О./ Справочник по управлению персоналом. - 2009, № 8.

16.    Лобынцева, Е.Н. Как создать эффективную систему материального стимулирования персонала. // Арсенал предпринимателя. - 2009. - №8.

17.    Ловчева М. Моральное стимулирование персонала /Кадровик. Кадровый менеджмент. - 2008, № 12.

18.    Лукаш Ю.А. Мотивация и эффективное управление персоналом фирмы: практическое пособие/ Ю. А. Лукаш. - Москва:Финпресс, 2007. - 207 с.

.        Магура М.И. Управление мотивацией персонала. // Управление персоналом. - 2006. - №17. - С. 52-55.

.        Мазин, А., Шагалова, Т. Комплексная оценка мотивации персонала в экономической системе. // Управление персоналом. - 2008. - №19.

.        Мамонов, Е. Мотивируем сотрудника: с чего начать. // Кадровая служба и управление персоналом предприятия. - 2013. - №6.

.        Межинская Л.Д. Мотивация и методы эффективного управления персоналом: учебно-методическое пособие/ Межинская Л. Д. - Таганрог: Фил. РГСУ, 2008. - 148 с.

23.    Солодянкина О.В. Мотивация и стимулирование труда работников на промышленных предприятиях/ Менеджмент в России и за рубежом. - 2008,№2.

24.    Столяренко, А. М., Амаглобели, Н.Д. Психология менеджмента: учебное пособие для студентов вузов. - М.: ЮНИТИ-ДАНА, 2012. - 455 с.

.        Телегин В.А. Мотивация и стимулирование работников на предприятии сервиса// Технико-технологические проблемы сервиса. - 2009, №8.

.        Устав общества с ограниченной ответственностью «Новые технологии», 2009.

27.    Уткин Э.А. Управление персоналом в малом и среднем бизнесе - М.: АКАЛИС, 2009. - 207 с.

28.    Федоськина Л.А., Новокрещенова Н.А. Удовлетворенность работой: основные методы и подходы к оценке/Современная экономика: проблемы и решения. - 2011,№ 13.

.        Шапиро С. А. Мотивация и стимулирование персонала/Учебное пособие/ Шапиро С.А. - М.: ГроссМедиа, 2005. - 224с.

30.    Щукин В. Как организовать оптимальную систему оплаты и стимулирования труда // Управление персоналом. - 2008. - №12.

31.    Яковенко Л. Не кнутом, а пряником/ Л.Н. Яковенко// Справочник по управлению персоналом. - 2006, № 10. - с. 87.

32.    Яковлева Т.Г. Мотивация персонала. Построение эффективной системы оплаты труда. - СПб.: Питер, 2009. - С. 36.

33.    Анализ эффективности стимулирования трудовых ресурсов // [Электронный ресурс]. Режим доступа: www.profiz.ru/peo/8_2011/analiz_stimul_trud_resurs/

.        Анализ эффективности трудовых ресурсов // [Электронный ресурс]. Режим доступа: <http://www.cfin.ru/management/people/motivation/motiv_analysis.shtml>

.        Методы стимулирования персонала// Режим доступа: www.rae.ru

.        Наиболее эффективные методы мотивации персонала// [Электронный ресурс]. Режим доступа: <http://hrm.ru/naibolee-ehffektivnye-metody-motivacii-personala>

Приложение

Уважаемые сотрудники!

Разрешите провести анкетирование с целью выявления потребностей работников. В анкете предложены десять вопросов и представлены несколько вариантов ответов. Подчеркните те ответы, которые совпадают с вашим мнением.

1. Удовлетворены ли вы работой в нашей организации? Подчеркните те ответы, которые совпадают с вашим мнением.

да;

скорее да;

затрудняюсь ответить;

скорее нет;

нет.

. Если бы Вам предложили работу в аналогичном учреждении с более высокой заработной платой, Вы сменили бы место работы?

да;

нет.

. Перечислите факторы, которые, на ваш взгляд, могут повысить вашу производительность труда (начиная с наиболее важного):

возможность продвижения по службе;

стабильный заработок;

оплата по результатам труда (дифференцированная заработная плата);

признание и одобрение со стороны руководства хорошо выполненной работы;

работа, которая создает условия для самовыражения и заставляет развивать свои способности;

сложная и трудная работа;

работа, позволяющая думать самостоятельно;

высокая степень ответственности;

интересная работа, требующая творческого подхода;

общение с коллегами, партнерами и клиентами.

. Выберите факторы, которые, по вашему мнению, делают работу привлекательной (начиная с наиболее важного):

работа без большого напряжения, стресса;

удобное расположение офиса;

чистота и отсутствие шума на рабочем месте;

работа с людьми, которые нравятся;

хорошие отношения с непосредственным начальником;

достаточная информация о том, что происходит в компании;

стабильная работа без угрозы увольнения

гибкий график работы;

справедливое распределение объемов работы;

дополнительные льготы

. Выберите условия, которые вам не нравятся в вашей работе, и оцените их по 10-балльной системе:

ко мне несправедливо относится непосредственный руководитель;

мой заработок ниже, чем у других работников, выполняющих такую же работу;

мне часто поручается делать менее престижную работу, чем другим работникам с аналогичными обязанностями, или выполнять больший объем работы;

я редко выполняю работу, соответствующую моей квалификации;

меня не принимают в коллективе или не приглашают участвовать в совместном проведении досуга;

меня не поощряли или не разрешали участвовать в программах обучения и повышения квалификации персонала;

у меня не было доступа к неформальным каналам и дополнительным источникам информации, необходимым мне по работе;

меня давно не повышали в должности;

мне давно не повышали заработную плату;

6. Ваши успехи и достижения всегда замечаются руководством?

да, мои успехи всегда замечаются;

отдельные мои успехи замечаются;

нет, мои успехи не замечаются.

. Оплата труда соответствует Вашей профессиональной подготовке (образованию, опыту работу, квалификации)?

да;

скорее да, чем нет;

скорее нет, чем да;

нет.

. Оплата труда соответствует уровню затрачиваемых Вами усилий, объему работы, функциям и должностным обязанностям, возложенных на Вас компанией?

да;

скорее да, чем нет;

скорее нет, чем да;

нет.

. Вам интересна Ваша работа?

да;

нет.

. Нравится ли Вам ваша работа (функции которые Вы выполняете, Ваш распорядок дня и т.д.)?

да, нравится, я с удовольствием хожу на работу;

скорее да, чем нет;

скорее нет, чем да;

нет, мне не нравится моя работа, я хожу на неё без удовольствия.

Похожие работы на - Система стимулирования персонала в ООО 'Новые технологии'

 

Не нашли материал для своей работы?
Поможем написать уникальную работу
Без плагиата!
Без нейросетей!