Система автоматического регулирования в теории управления
Введение
автоматический регулирование управление
Современная теория автоматического регулирования является
основной частью теории управления. Система автоматического регулирования
состоит из регулируемого объекта и элементов управления, которые воздействуют
на объект при изменении одной или нескольких регулируемых переменных. Под
влиянием входных сигналов (управления или возмущения), изменяются регулируемые
переменные. Цель же регулирования заключается в формировании таких законов, при
которых выходные регулируемые переменные мало отличались бы от требуемых
значений. Решение данной задачи во многих случаях осложняется наличием
случайных возмущений (помех). При этом необходимо выбирать такой закон
регулирования, при котором сигналы управления проходили бы через систему с
малыми искажениями, а сигналы шума практически не пропускались.
На начальном этапе развития теории автоматического
регулирования были созданы методы анализа устойчивости, качества и точности
регулирования непрерывных линейных систем. Затем получили развитие методы
анализа дискретных и дискретно-непрерывных систем. Можно отметить, что способы
расчета непрерывных систем базируются на частотных методах, а расчета
дискретных и дискретно-непрерывных - на методах z-преобразования.
В настоящее время развиваются методы анализа нелинейных
систем автоматического регулирования. Нарушение принципа суперпозиции в
нелинейных системах, наличие целого ряда чередующихся (в зависимости от
воздействия) режимов устойчивого, неустойчивого движений и автоколебаний затрудняют
их анализ. Еще с большими трудностями встречается проектировщик при расчете
экстремальных и самонастраивающихся систем регулирования.
Как теория автоматического регулирования, так и теория
управления входят в науку под общим названием «техническая кибернетика»,
которая в настоящее время получила значительное развитие. Техническая
кибернетика изучает общие закономерности сложных динамических систем управления
технологическими и производственными процессами. Техническая кибернетика,
автоматическое управление и автоматическое регулирование развиваются по двум
основным направлениям: первое связано с постоянным прогрессом и
совершенствованием конструкции элементов и технологии их изготовления; второе -
с наиболее рациональным использованием этих элементов или их групп, что
составляет задачу проектирования систем.
Проектирование систем автоматического регулирования можно
вести двумя путями:
- методом анализа, когда
при заранее выбранной структуре системы (расчетным путем или моделированием)
определяют ее параметры;
- методом синтеза, когда по
требованиям, к системе сразу же выбирают наилучшую ее структуру и параметры.
Определение параметров системы, когда известна ее структура и
требования на всю систему в целом, относится к задаче синтеза. Решение этой задачи
при линейном объекте регулирования можно найти, используя, например, частотные
методы, способ корневого годографа или изучая траектории корней
характеристического уравнения замкнутой системы. Выбор корректирующего
устройства методом синтеза в классе дробно-рациональных функций комплексного
переменного можно выполнить с помощью графоаналитических методов. Эти же методы
позволяют синтезировать корректирующие устройства, подавляющие
автоколебательные и неустойчивые периодические режимы в нелинейных системах.
Дальнейшее развитие методы синтеза получили на основе
принципов максимума и динамического программирования, когда определяется
оптимальный с точки зрения заданного критерия качества закон регулирования,
обеспечивающий верхний предел качества системы, к которому необходимо
стремиться при ее проектировании. Однако решение этой задачи практически не
всегда возможно из-за сложности математического описания физических процессов в
системе, невозможности решения самой задачи оптимизации и трудностей технической
реализации найденного нелинейного закона регулирования. Необходимо отметить,
что реализация сложных законов регулирования возможна лишь при включении
цифровой вычислительной машины в контур системы. Создание экстремальных и
самонастраивающихся систем также связано с применением аналоговых или цифровых
вычислительных машин.
Формирование систем автоматического регулирования, как
правило, выполняют на основе аналитических методов анализа или синтеза. На этом
этапе проектирования систем регулирования на основе принятые допущений
составляют математическую модель системы и выбирают предварительную ее
структуру. В зависимости от типа модели (линейная или нелинейная) выбирают
метод расчета для определения параметров, обеспечивающих заданные показатели
устойчивости, точности и качества. После этого уточняют математическую модель и
с использованием средств математического моделирования определяют динамические
процессы в системе. При действии различных входных сигналов снимают частотные
характеристики и сравнивают с расчетными. Затем окончательно устанавливают
запасы устойчивости системы по фазе и модулю и находят основные показатели
качества.
Далее, задавая на модель типовые управляющие воздействия;
снимают характеристики точности. На основании математического моделирования
составляют технические требования на аппаратуру системы. Из изготовленной
аппаратуры собирают регулятор и передают его на полунатурное моделирование, при
котором объект регулирования набирают в виде математической модели.
По полученным в результате полунатурного моделирования
характеристикам принимают решение о пригодности работы регулятора с реальным
объектом регулирования. Окончательный выбор параметров регулятора и его
настройка выполняют в натурных условиях при опытной отработке системы регулирования.
Глава 1. Основные понятия
Преобразование входного сигнала системы (управляющего
воздействия) в выходной сигнал (регулируемую величину) определяет закон
изменения регулируемой величины. Реализация желаемого закона осуществляется в
результате формирования управляющих переменных, которые воздействуют на
регулируемую систему. Законы изменения регулируемой величины во времени могут
быть различными; математически они описываются оператором системы. Этот
оператор может реализовать пропорциональную зависимость выходного сигнала от
входного, связь в виде производной или интеграла и т.д.. В более общем случае,
этот оператор может быть и нелинейным.
Необходимо отметить, что законы изменения регулируемых
величин в машинах и агрегатах нарушаются под влиянием внешних, а иногда и
внутренних воздействий, называемых возмущениями (или возмущающими
воздействиями). Из определения этих воздействий видно, что система
автоматического регулирования должна как можно точнее воспроизводить
управляющее воздействие и возможно меньше реагировать на возмущающее
воздействие.
Существует три различных принципа построения систем
регулирования, обеспечивающих реализацию требуемого закона изменения
регулируемой величины: по разомкнутому циклу, по замкнутому циклу, по
комбинированному циклу регулирования (замкнуто-разомкнутый). Принцип
разомкнутого цикла заключается в обеспечении требуемого закона изменения
регулируемой величины непосредственно путем преобразования управляющего
воздействия. Принцип замкнутого цикла характеризуется сравнением управляющего
воздействия с действительным изменением регулируемой величины за счет
применения обратной связи и элемента сравнения. Образующийся в результате
сравнения сигнал ошибки не должен превышать некоторой заданной величины. За
счет этого и обеспечивается в замкнутых системах требуемый закон изменения
регулируемой величины. Комбинированный принцип заключается в сочетании
замкнутого и разомкнутого циклов в одной системе.
Автоматическим управлением называется процесс, при котором
операции выполняются посредством системы, функционирующей без вмешательства
человека в соответствии с заранее заданным алгоритмом.
Автоматическая система с замкнутой цепью воздействия, в
которой управляющее (регулирующее) воздействие вырабатывается в результате
сравнения истинного значения управляемой (регулируемой) величины с заданным
(предписанным) ее значением, называется АСР.
Производственный процесс - совокупность взаимосвязанных
трудовых и технологических процессов, при реализации которых исходные материалы
и полуфабрикаты превращаются в готовые изделия.
Автоматическими называются устройства, которые управляют
различными процессами и контролируют их без непосредственного участия человека.
Предмет или процесс, подлежащий изучению, называется
объектом, а все окружающие предметы взаимодействующие с ними - внешней средой.
Система - совокупность элементов или устройств, находящихся в
отношениях и связях между собой и образующих определенную целостность
(единство).
Объект управления - совокупность технологических устройств
(машин, орудий труда, средств механизации), выполняющих данный процесс с точки
зрения управления.
Операция управления - обеспечивает в нужные моменты начало,
порядок следования и прекращения рабочих операций, выделяет необходимые для их
выполнения ресурсы.
Под управлением понимают процесс организации такого
целенаправленного воздействия на объект управления, в результате, которого
последний переходит в требуемое (целенаправленное) состояние.
Параметры производственного технологического процесса или
технологического процесса или технологического объект, который необходимо
поддерживать постоянно или изменять по определенному закону называется
управляемой величиной.
Значение управляемой величины, которое согласно заданию
должно быть в данный момент времени, называют заданным значением управляемой
величины (управляемого параметра).
Схему изображающую последовательность процессов внутри
устройства или системы, называется структурной схемой.
Звено - элемент, входящий в САУ в котором определенным
образом преобразуется входной параметр в выходной (схематически изображается в
виде блока, но не отражает особенности его конструкции).
Информация всегда связана с материальным носителем какой-либо
физической величины. В технических системах такие носители называют носителями
сигналов (например, электрические напряжения и ток, давление, механическое
перемещение и др.), которые можно изменять в соответствии с передаваемой
информацией.
Глава 2. Типовые звенья линейных систем автоматического
управления
.1 Общая характеристика типовых линейных звеньев
Для исследования процессов в реальных системах пользуются
идеализированными схемами, которые точно описываются математически и
приближенно характеризуют реальные звенья систем. При этом так же, как и при
рассмотрении электрических цепей, вводятся понятия r, C и L. Хотя реальные
резистор, конденсатор и катушка индуктивности только в определенных пределах
частот соответствуют этим идеальным понятиям, в теории автоматического
управления вводится понятие типовых звеньев, передаточная функция которых
только в определенном частотном диапазоне соответствует реальным звеньям
системы управления.
Рассматривая характеристики звеньев независимо от их
назначения, физического принципа действия, мощности и скорости передаваемых
сигналов, можно выделить ряд типовых звеньев, описываемых обыкновенными
линейными дифференциальными уравнениями первого и второго порядков:
1. простейшие: пропорциональные, интегрирующие и
дифференцирующие звенья;
2. звенья первого порядка: инерционные,
инерционно-дифференцирующие, форсирующие и инерционно-форсирующие;
. колебательные звенья второго порядка.
Введение типовых звеньев удобно для представления сложного
звена с передаточной функцией параллельным или последовательным соединением
типовых звеньев.
Передаточная функция всех типовых звеньев представляет собой
рациональную дробь
.
При отнесении реального звена к какому-либо типовому следует
оговаривать диапазон частот, при котором рассматриваются характеристики. Выход
за пределы этого диапазона может привести к необходимости учета дополнительных
параметров и усложнению математического описания звена.
Описание звеньев, которые используются в работе:
.2 Простейшие звенья
Пропорциональное звено
Самым простым является звено, выходная величина которого
прямо пропорциональна входной величине. Уравнение такого звена
,
где k - коэффициент передачи (усиления) звена.
Примерами такого звена являются: делитель напряжения, усилитель
постоянного тока, рычажная передача, редукторная передача и др.
Предполагается, что передача сигнала от входа к выходу
производится мгновенно без какой-либо инерции. Поэтому пропорциональные звенья
называются безынерционными.
Если на вход пропорционального звена подать синусоидальный сигнал
, то на выходе появится сигнал
,
где
.
В комплексной форме
или
.
Комплексный коэффициент передачи
. Годограф комплексного коэффициента передачи
при
имеет вид точки, сдвинутой на расстояние k от нуля по
вещественной оси (рис.1, а).
Рис. 1
Принятое описание связи между входом и выходом соответствует
идеальному звену, а для реального звена справедливо только при частотах,
меньших определенной (верхней) величины
. При более высоких частотах принятое математическое описание
звена перестает быть справедливым и коэффициент передачи за счет малых неучтенных
параметров снижается до нуля. Поэтому при возрастании
до бесконечности коэффициент усиления
любого реального звена снижается до нуля и годограф коэффициента передачи при
имеет вид графика, показанного на рис.1,а
штриховой линией. Однако в системах автоматического управления обычно
рассматривается диапазон сравнительно низких частот, для которых
, при этом все устройства могут быть
отнесены к категории пропорциональных (безынерционных) звеньев, а годограф
коэффициента передачи имеет вид точки k. Соответствующие амплитудно-частотные и
фазочастотные характеристики показаны на рис.1,б,в.
В дальнейшем под пропорциональным будем понимать такое идеальное
звено, в котором постоянство коэффициента передачи может быть принято во всем
диапазоне частот
.
Переходя от коэффициента усиления к передаточной функции
.
Отклонение реальных характеристик от идеальных показано штриховой
линией (см. рис. 1).
.3 Звенья первого порядка
Инерционное звено
Одним из самых распространенных звеньев систем автоматического
управления является инерционное звено. Оно описывается уравнением
где Т и k - соответственно постоянная времени и коэффициент
усиления звена.
При линеаризации уравнений и соответствующем упрощении
математического описания примерами инерционных звеньев могут служить:
генераторы, двигатели, электрические печи, а также исполнительные механизмы,
электронные и магнитные усилители, проходные четырехполюсники, содержащие
индуктивности или емкости.
Перейдем в выражении
от мгновенных значений к их частотным спектрам или к
гармоническим сигналам:
.
Частотные характеристики для полученной функции показаны на
рис.2,а,б,в. Здесь
Рис. 2
Наряду с характеристикой
иногда бывает удобно пользоваться инверсной характеристикой
(рис.2,б). Если характеристика
имеет вид типичной круговой диаграммы,
лежащей в IV квадранте и опирающейся на диаметр 0k, то инверсная характеристика
имеет вид прямой, уходящей из точки 1/k в бесконечность параллельно мнимой оси.
Чтобы построить логарифмическую амплитудно-частотную характеристику,
представим ее в виде
(1)
Эта зависимость показана на рис.2,г штриховой линией.
При построении логарифмических характеристик пользуются также их
асимптотическими приближениями. Для инерционного звена асимптотическое
приближение можно получить, заменяя точную характеристику се двумя асимптотами
при
и
. Первая асимптота находится путем отбрасывания
в выражении (1), а вторая - путем
отбрасывания единицы в том же выражении.
Таким образом, асимптотическая характеристика описывается двумя
уравнениями:
при
;
при
.
На Рис.2,г характеристика
показана сплошной линией (параллельной оси абсцисс при
и имеющей наклон -20 дБ/дек при
).
Разность между точной характеристикой
и асимптотической
представляет собой поправку к
асимптотической характеристике
.
Согласно
передаточная функция инерционного звена
Соответственно переходная функция
Графики переходной показаны на рис.3,а.
Рис. 3
Инерционно-форсирующее звено
Звено, описываемое дифференциальным уравнением первого
порядка в наиболее общем виде
,
называется инерционно-форсирующим, или упругим звеном.
Существенным параметром инерционно-форсирующего звена является
коэффициент
. Если
, то звено по своим свойствам приближается к интегрирующему и
инерционному звеньям. Если же
, то звено ближе к дифференцирующему и инерционно-дифференцирующему
звеньям.
Комплексный коэффициент передачи инерционно-форсирующего звена
,
а передаточная функция
.
Глава 3. Устойчивость системы автоматического регулирования
Под устойчивостью системы понимается способность ее
возвращаться к состоянию установившегося равновесия после снятия возмущения,
нарушившего это равновесие. Неустойчивая система непрерывно удаляется от
равновесного состояния или совершает вокруг него колебания с возрастающей
амплитудой.
Рис. 4
Устойчивость линейной системы определяется не характером
возмущения, а структурой самой системы (рис.4). Говорят, что система устойчива
"в малом", если определен факт наличия устойчивости, но не определены
ее границы. Система устойчива "в большом", когда определены границы
устойчивости и то, что реальные отклонения не выходят за эти границы.
В соответствии с классическим методом решение
дифференциального уравнения ищется в виде:
(t) = yвын(t) + yсв(t)
Здесь yсв(t) - общее решение однородного
дифференциального уравнения, то есть уравнения с нулевой правой частью:
oy(n) + a1y(n-1)
+... + a(n-1)y’ + a(n)y = 0
Физически это означает, что все внешние воздействия сняты и
система абсолютно свободна, ее движения определяются лишь собственной
структурой. Поэтому решение данного уравнения называется свободной составляющей
общего решения. yвын(t) - частное решение неоднородного
дифференциального уравнения, под которым понимается уравнение с ненулевой
правой частью. Физически это означает, что к системе приложено внешнее
воздействие u(t). Поэтому вторая составляющая общего решения называется
вынужденный. Она определяет вынужденный установившийся режим работы системы
после окончания переходного процесса.
Рис. 5
Можно провести аналогию между САУ и пружиной, колебания
которой описываются аналогичным дифференциальным уравнением (рис.5). Оттянем
пружину, а затем отпустим, предоставив ее самой себе. Пружина будет колебаться
в соответствии со свободной составляющей решения уравнения, то есть характер
колебаний будет определяться только структурой самой пружины. Если в момент
времени t=0 подвесить к пружине груз, то на свободные колебания наложится
внешняя сила Р. После затухания колебаний, описываемых только свободной
составляющей общего решения, система перейдет в новый установившийся режим,
характеризуемый вынужденной составляющей
yвын= y(t 
).
Если внешнее воздействие само будет изменяться по синусоидальному
закону P = Posin(
t +
), то после затухания переходного процесса
система будет совершать вынужденные колебания с той же частотой, что и
вынуждающая сила, то есть yвын = ymaxsin(
t + y).
Каждая составляющая общего решения уравнения динамики ищется
отдельно. Вынужденная составляющая ищется на основе решения уравнения статики
для данной системы для времени t 
. Свободная составляющая представляет собой сумму из n отдельных
составляющих:
,
где pi корни характеристического уравнения D(p) = a0pn
+ a1pn-1 + a2pn-2 +... + an
= 0. Корни могут быть либо вещественными pi = ai, либо
попарно комплексно сопряженными pi = ai ± j
. Постоянные интегрирования Аi
определяются исходя из начальных и конечных условий, подставляя в общее решение
значения u, y и их производные в моменты времени t=0 и t 
.
Рис. 6
Каждому отрицательному вещественному корню соответствует
экспоненциально затухающая во времени составляющая yсв(t)i,
каждому положительному - экспоненциально расходящаяся, каждому нулевому корню
соответствует yсв(t)i = const (рис.6). Пара комплексно
сопряженных корней с отрицательной вещественной частью определяет затухающие
колебания с частотой
i, при положительной вещественной части - расходящиеся колебания,
при нулевой - незатухающие (рис.7).
Рис. 7
Так как после снятия возмущения yвын(t)=0, то
устойчивость системы определяется только характером свободной составляющей yсв(t).
Поэтому условие устойчивости систем по Ляпунову формулируется так: в устойчивой
системе свободная составляющая решения уравнения динамики, записанному в
отклонениях, должна стремиться к нулю, то есть затухать.
Исходя из расположения на комплексной плоскости корни с
отрицательными вещественными частями называются левыми, с положительными -
правыми (рис.8).
Рис. 8
Поэтому условие устойчивости линейной САУ можно
сформулировать следующим образом: для того, чтобы система была устойчива,
необходимо и достаточно, чтобы все корни ее характеристического уравнения были
левыми. Если хотя бы один корень правый, то система неустойчива. Если один из
корней равен нулю (в системах, где an = 0), а остальные левые, то
система находится на границе апериодической устойчивости. Если равны нулю
вещественные части одной или нескольких пар комплексно сопряженных корней, то
система находится на границе колебательной устойчивости.
Правила, позволяющие судить о знаках корней
характеристического уравнения без его решения, называются критериями
устойчивости. Их можно разделить на алгебраические (основаны на составлении по
данному характеристическому уравнению по определенным правилам алгебраических
выражений, по которым можно судить об устойчивости САУ) и частотные (основаны
на исследовании частотных характеристик).
.1 Алгебраические критерии устойчивости
Необходимое условие устойчивости
Характеристическое уравнение системы с помощью теоремы Виета
может быть записано в виде:
(p) = aopn + a1pn-1
+ a2pn-2 +... + an = ao(p-p1)(p-p2)...(p-pn)
= 0,
где p1, p2,..., pn - корни
этого уравнения. Если система устойчива, значит все корни левые, то есть
вещественные части всех корней
отрицательны, что можно записать как ai = -|ai|
< 0. Подставим их в уравнение:
a0
(p + |a1|)
(p + |a2| - j
2)
(p + |a2| + j
2)
... = 0
Перемножая комплексно сопряженные выражения, получим:
a0
(p + |a1|)
((p + |a2|)2 + (
2)2)
... = 0
После раскрытия скобок должно получиться выражение
0
pn + a1
pn-1 + a2
pn-2 +... + an = 0
Так как в скобках нет ни одного отрицательного числа, то ни один
из коэффициентов a0,a1,...,an не будет
отрицательным. Поэтому необходимым условием устойчивости САУ является
положительность всех коэффициентов характеристического уравнения: a0
> 0, a1 > 0,..., an > 0. В дальнейшем будем
рассматривать только уравнения, где a0 > 0. В противном случае
уравнение домножается на -1.
Рассмотренное условие является необходимым, но не достаточным
условием. Необходимые и достаточные условия дают алгебраические критерии Рауса
и Гурвица.
Критерий Рауса
Раус предложил критерий устойчивости САУ в виде алгоритма, по
которому заполняется специальная таблица с использованием коэффициентов
характеристического уравнения:
1. в первой строке записываются коэффициенты уравнения с
четными индексами в порядке их возрастания;
2. во второй строке - с нечетными;
. остальные элементы таблицы определяется по формуле:
4. ck,i = ck+ 1,i - 2 - ri
ck + 1,i - 1,
где ri = c1,i - 2/c1,i - 1, i
3 - номер строки, k - номер столбца.
5. Число строк таблицы Рауса на единицу больше порядка
характеристического уравнения.
|
ri
|
i\k
|
1
|
2
|
3
|
4
|
|
-
|
1
|
c11
= a0
|
c21
= a2
|
c31
= a4
|
...
|
|
-
|
2
|
c12
= a1
|
c22
= a3
|
c32
= a5
|
...
|
|
r3 =
c11/cc12
|
3
|
c13
= c21-r3c22
|
c23
= c31-r3c32
|
c33
= c41-r3c42
|
...
|
|
r3 =
c11/c12
|
4
|
c14
= c22-r3c23
|
c24
= c32-r4c33
|
c34
= c42-r4c43
|
...
|
|
...
|
...
|
...
|
...
|
...
|
...
|
Критерий Рауса: для того, чтобы САУ была устойчива,
необходимо и достаточно, чтобы коэффициенты первого столбца таблицы Рауса c11,
c12, c13,... были положительными. Если это не
выполняется, то система неустойчива, а количество правых корней равно числу
перемен знака в первом столбце.
Достоинство - критерий прост в использовании независимо от
порядка характеристического уравнения. Он удобен для использования на ЭВМ. Его
недостаток - малая наглядность, трудно судить о степени устойчивости системы,
на сколько далеко отстоит она от границы устойчивости.
Критерий Гурвица
Гурвиц предложил другой критерий устойчивости. Из коэффициентов
характеристического уравнения строится определитель Гурвица
по алгоритму:
) по главной диагонали слева направо выставляются все коэффициенты
характеристического уравнения от a1 до an;
) от каждого элемента диагонали вверх и вниз достраиваются столбцы
определителя так, чтобы индексы убывали сверху вниз;
) на место коэффициентов с индексами меньше нуля или больше n ставятся
нули.
Критерий Гурвица: для того, чтобы САУ была устойчива, необходимо и
достаточно, чтобы все n диагональных миноров определителя Гурвица были
положительны. Эти миноры называются определителями Гурвица.
Рассмотрим примеры применения критерия Гурвица:
1) n = 1 => уравнение динамики: a0p + a1
= 0. Определитель Гурвица:
=
1 = a1 > 0 при a0 > 0, то есть условие
устойчивости: a0 > 0, a1 > 0;
) n = 2 => уравнение динамики: a0p2
+ a1p + a2 = 0. Определители Гурвица:
1 = a1 > 0,
2 = a1a2
- a0a3 = a1a2 > 0, так как
a3 = 0, то есть условие устойчивости: a0 > 0, a1
> 0, a2 > 0;
) n = 3 => уравнение динамики: a0p3
+ a1p2 + a2p + a3 = 0. Определители
Гурвица:
1 = a1 > 0,
2 = a1a2
- a0a3 > 0,
3 = a3
2 > 0,
условие устойчивости: a0 > 0, a1 > 0, a2 >
0, a3 > 0, a1a2 - a0a3 >
0;
Таким образом при n
2 положительность коэффициентов характеристического уравнения
является необходимым и достаточным условием устойчивости САУ. При n > 2
появляются дополнительные условия.
Критерий Гурвица применяют при n
4. При больших порядках возрастает число определителей и процесс
становится трудоемким. Имеется ряд модификаций данного критерия, расширяющие
его возможности.
Недостаток критерия Гурвица - малая наглядность. Достоинство -
удобен для реализации на ЭВМ. Его часто используют для определения влияния
одного из параметров САУ на ее устойчивость. Так равенство нулю главного
определителя
n = an
n-1 = 0
говорит о том, что система находится на границе устойчивости. При этом либо an=0
- при выполнении остальных условий система находится на границе апериодической
устойчивости, либо предпоследний минор
n-1=0 -
при положительности всех остальных миноров система находится на границе
колебательной устойчивости. Параметры САУ определяют значения коэффициентов
уравнения динамики, следовательно, изменение любого параметра Ki влияет на
значение определителя
n-1. Исследуя это влияние можно найти, при каком значении Ki
определитель
n-1 станет равен нулю, а потом - отрицательным (Рис.9). Это и
будет предельное значение исследуемого параметра, после которого система
становится неустойчивой.
Рис. 9
.2 Частотные критерии устойчивости
Это графоаналитические методы, позволяющие по виду частотных
характеристик САУ судить об их устойчивости. Их общее достоинство в простой
геометрической интерпретации, наглядности и в отсутствии ограничений на порядок
дифференциального уравнения.
Принцип аргумента
Запишем характеристический полином САУ в виде
D(p) = a0
(p - p1)
(p - p2)
...
(p - pn) = 0
Рис. 10
Его корни
pi =
i + j
i = |pi|ejarg(pi),
где arg(pi) = arctg(
i/ai)
+ k
,
Каждый корень можно изобразить вектором на комплексной плоскости
(Рис.10,а), тогда разность p - pi изобразится разностью векторов
(рис.10,б), где p - любое число.
Еcли менять значение p произвольным образом, то конец вектора p -
pi будет перемещаться по комплексно плоскости, а его начало будет
оставаться неподвижным, так как pi - это конкретное неизменное
значение.
В частном случае, если на вход системы подавать гармонические
колебания с различной частотой
, то p = j
, а характеристический полином принимает
вид:
(j
) = a0
(j
- p1)
(j
- p2)
...
(j
- pn).
При этом концы векторов j
- pi будут находиться на мнимой оси (Рис.10,в). Если
менять
от -
до +
, то каждый вектор j
- pi будет поворачиваться
относительно своего начала pi на угол +p для левых и - p для правых корней
(рис.10,г).
Характеристический полином можно представить в виде
(j
) = |D(j
)|ejarg(D(j
)),
где |D(j
)| = a0
|j
- p1|
|j
- p2|...|j
- pn|, (D(j
)) = arg(j
- p1) + arg(j
- p2) +.. + arg(j
- pn).
Пусть из n корней m - правые, а n - m - левые, тогда угол поворота
вектора D(j
) при изменении
от -
до +
равен
,
или при изменении
от 0 до +
получаем
.
Отсюда вытекает правило: изменение аргумента вектора b при
изменении частоты
от -
до +
равно разности между числом левых и
правых корней уравнения D(p) = 0, умноженному на
, а при изменении частоты
от 0 до +
эта разность умножается на
.
Это и есть принцип аргумента. Он положен в основе всех частотных
критериев устойчивости. Мы рассмотрим два наиболее распространенных критерия:
критерий Михайлова и критерий Найквиста.
Критерий устойчивости Михайлова
Так как для устойчивой САУ число правых корней m = 0, то угол
поворота вектора D(j
) составит
.
То есть САУ будет устойчива, если вектор D(j
) при изменении частоты
от 0 до +
повернется на угол
.
При этом конец вектора опишет кривую, называемую годографом
Михайлова. Она начинается на положительной полуоси, так как D(0) = an,
и последовательно проходит против часовой стрелки n квадрантов комплексной
плоскости, уход в бесконечность в n - ом квадранте (рис.11,а).
Рис. 11
Если это правило нарушается (например, число проходимых
кривой квадрантов не равно n, или нарушается последовательность прохождения
квадрантов (Рис.11,б)), то такая САУ неустойчива - это и есть необходимое и
достаточное условие критерия Михайлова.
Достоинства: этот критерий удобен своей наглядностью. Так,
если кривая проходит вблизи начала координат, то САУ находится вблизи границы
устойчивости и наоборот. Этим критерием удобно пользоваться, если известно
уравнение замкнутой САУ.
Для облегчения построения годографа Михайлова выражение для D(j
) представляют суммой вещественной и
мнимой составляющих:
(j
)= a0(j
-p1)(j
-p2)...(j
-pn)=a0(j
)n+a1(j
)n - 1+...+ an=
ReD(j
)+ jImD(j
),
где ReD(j
) = an - an - 2
2 + an- 4
4 -...;
ImD(j
) = an - 1
- an - 3
3 + an- 5
5 -....
Меняя
от 0 до
по этим формулам находят координаты точек годографа, которые
соединяют плавной линией.
Критерий устойчивости Найквиста
Этот критерий позволяет судить об устойчивости замкнутой САУ
по виду АФЧХ разомкнутой САУ (рис.12).
Рис. 12
Исследование разомкнутой САУ проще, чем замкнутой. Его можно
производить экспериментально, поэтому часто оказывается, что АФЧХ разомкнутой
САУ мы имеем или можем получить.
Передаточная функция разомкнутой САУ:
p(p) = Wp(p)/Dp(p) = >
уравнение динамики:
, илиp(p)
y(t) = Kp(p)
e(t).
Здесь Dp(p) - характеристический полином разомкнутой
САУ. То есть по виду корней уравнения Dp(p) = 0 можно судить об
устойчивости разомкнутой САУ. Но это пока ничего не говорит об устойчивости
замкнутой САУ.
Для того, чтобы получить уравнение динамики замкнутой САУ при
свободном движении, считаем, что внешнее воздействие u=0, тогда на вход первого
звена САУ подается сигнал
(t) = u(t) - y(t) = - y(t).
То есть Dp(p)
y(t) = Kp(p)
(- y(t)), следовательно уравнение замкнутой САУ:
(Dp(p) + Kp(p))
y(t) = 0.
Таким образом, характеристическое уравнение замкнутой САУ:
з(p)
= Dp(p) + Kp(p) = 0.
По виду его корней уже можно судить об устойчивости замкнутой САУ.
Воспользуемся вспомогательной функцией:
.
По сути дела она представляет собой АФЧХ разомкнутой САУ,
сдвинутую на единицу вправо. Степени полиномов Dз(j
) и Dp(j
) равны n. Эти полиномы имеют свои корни pзi
и ppi, то есть можно записать:
Каждую разность в скобках можно представить вектором на
комплексной плоскости, конец которого скользит по мнимой оси
(рис.10в). При изменении
от -
до +
каждый из векторов j
- pi будет поворачиваться на
угол +p, если корень левый и -p, если корень правый.
Пусть полином Dз(j
) имеет m правых корней и n-m левых, а полином Dp(j
) имеет g правых корней и n-g левых. Тогда
суммарный угол поворота вектора функции F(j
) при изменении частоты
от -
до +
:
Если замкнутая САУ устойчива, то m = 0, тогда суммарный поворот
вектора F(j
) при изменении
от -
до +
должен быть равен
, а при изменении
от 0 до +
он составит
.
Отсюда можно сформулировать критерий устойчивости Найквиста: если
разомкнутая САУ неустойчива и имеет g правых корней, то для того, чтобы
замкнутая САУ была устойчива необходимо и достаточно, чтобы вектор F(j
) при изменении
от 0 до +
охватывал начало координат в положительном направлении g/2 раз,
то есть АФЧХ разомкнутой САУ должна охватывать g/2 раз точку (-1, j0).
На рис.13,а приведены АФЧХ разомкнутых САУ, устойчивых в замкнутом
состоянии, на рис.13,б - замкнутая САУ неустойчива. На рис.13,в и рис.13,г
показаны АФЧХ разомкнутых астатических САУ, соответственно устойчивых и
неустойчивых в замкнутом состоянии. Их особенность в том, что АФЧХ при 
0 уходит в бесконечность.
Рис. 13
В этом случае при использовании критерия Найквиста ее
мысленно замыкают на вещественную ось по дуге окружности бесконечно большого
радиуса.
Достоинство. Критерий Найквиста очень нагляден. Он позволяет
не только выявить, устойчива ли САУ, но и, в случае, если она неустойчива,
наметить меры по достижению устойчивости.
.3 Логарифмическая интерпретация критерия Найквиста
Критерий устойчивости Найквиста может быть сформулирован
применительно к логарифмическим частотным характеристикам системы, находящейся
в разомкнутом состоянии. Точкам пересечения годографа Wр(j
) с отрезком действительной оси (
, -1) соответствуют точки, для которых
; 
Точки логарифмической фазовой характеристики
, для которых
и в которых она пересекает (при
возрастании
) прямые
снизу вверх, являются положительными переходами, а сверху вниз -
отрицательными переходами характеристики (рис. 7,а). При этих условиях критерий
устойчивости может быть сформулирован следующим образом. Система
автоматического регулирования устойчива, если разность между числами
положительных и отрицательных переходов логарифмической фазочастотной
характеристики равна l/2, где l - число корней характеристического уравнения
разомкнутой системы, лежащих в правой полуплоскости.
При l=0 (система устойчива в разомкнутом состоянии) формулировка
принимает следующий вид: система устойчива, если разность между числами
положительных и отрицательных переходов логарифмической фазочастотной характеристики
равна нулю.
Комплексный коэффициент усиления можно записать так
Различают следующие характеристики:
.
амплитудно-фазовая характеристика;
.
амплитудно-частотная характеристика;
.
фазо-частотная характеристика.
Наиболее часто используют построение характеристик в
логарифмическом масштабе. Прологарифмировав
получим:
Кривая
построенная в логарифмическом масштабе
называется логарифмической амплитудно-частотной характеристикой (ЛАЧХ).
С помощью асимптотических представлений можно легко строить
приближенные ЛАЧХ одноконтурных систем любого порядка, содержащих в разомкнутом
состоянии лишь последовательно соединенные звенья.
3.4 Запасы устойчивости
Часто бывает так, что изменение параметров (в частности,
увеличение коэффициентов усиления и запаздывания) в системах автоматического
регулирования может вызвать неустойчивость. Поэтому при проектировании систем
стремятся обеспечить их устойчивость с некоторой гарантией, так чтобы -
изменение параметров в некоторых пределах не могло привести к неустойчивости.
Для этой цели используются понятия запасов устойчивости систем автоматического
регулирования, вводимых на основе частотного критерия Найквиста. Запасы
устойчивости характеризуют удаление частотного годографа разомкнутой системы
от критической точки с координатами
. Запас устойчивости по фазе
(рис.14,а) измеряется по дуге окружности
единичного радиуса с центром в начале координат между точкой
и ближайшей к ней точкой частотного
годографа
. Частота пересечения годографа
и единичной окружности называется
частотой среза
; на частоте среза
. Запас по фазе обеспечивает сохранение
устойчивости при увеличении запаздывания в системе. Для неустойчивой системы
(рис.14) запас по фазе считается отрицательным.
Рис. 14
Запас устойчивости по усилению (модулю) равен отношению
предельного коэффициента усиления системы, найденного из условия устойчивости,
к ее коэффициенту усиления в исследуемом случае. Согласно критерию Найквиста
это отношение обратно пропорционально отрезку ОА (рис.14,а), отсекаемому годографом
на отрицательной действительной полуоси:
,
где
частота пересечения.
Запас устойчивости по усилению обеспечивает сохранение
устойчивости при увеличении коэффициента усиления системы. Для устойчивых
систем запас устойчивости больше единицы, для неустойчивых (рис.14,б) - меньше
единицы.
На рис.15 показаны запасы устойчивости по фазе и по усилению,
определенные по логарифмическим частотным характеристикам: на рис.15,а -для
устойчивой системы, а на рис.15,б - для неустойчивой системы.
Рис. 15
Запасы устойчивости систем автоматического регулирования не
только гарантируют сохранение устойчивости при изменении параметров, но и
определяют характер переходных процессов в системах. Их численные значения
выбираются исходя из требований, предъявляемых к переходным процессам.
Глава 4. Синтез корректирующих устройств
В «Теории автоматического управления» можно выделить две
характерные задачи:
1. в заданной САУ найти и оценить переходные процессы -
это задача анализа САУ;
2. по заданным переходным процессам и основным
показателям разработать САУ - это задача синтеза САУ.
Вторая задача сложнее в виду своей неоднозначности, многое
определяется творческими способностями проектировщика. Поэтому обычно задачу
синтеза САУ ставится ограниченно. Считается, что основная часть системы уже
задана, что обычно имеет место. Требуется синтезировать корректирующие звенья,
то есть выбрать их схему и параметры. При этом необходимо, чтобы в результате
коррекции САУ обеспечивался требуемый запас устойчивости; точность управления в
установившихся режимах и качество управления в динамических режимах.
.1 Включение корректирующих устройств
Корректирующее устройство можно включить:
1. последовательно;
2. параллельно-согласно;
. параллельно-встречно (по схеме с обратной связью).
Рис. 16
Последовательное корректирующее устройство с передаточной
функцией Wп включается обычно после предварительного усилителя. На
рис.16,а предварительный усилитель имеет передаточную функцию W3,
выходной каскад усилителя - W2, исполнительный элемент - W1.
Параллельно-согласное корректирующее устройство с передаточной
функцией Wпс (рис.16,б) может иногда при меньшей сложности
обеспечить нужное преобразование сигнала. Например, для коррекции свойств САУ
часто требуются дифференцирующие и форсирующие звенья, которые конструктивно
очень сложны. В то же время параллельно-согласное включение предварительного
усилителя (W3=K3) и простого апериодического звена с
передаточной функцией
позволяет реализовать функцию реального
форсирующего звена. Такое соединение можно заменить эквивалентным форсирующим
звеном с передаточной функцией
,
где
;
;
.
Наибольшими возможностями в плане коррекции свойств САУ обладает
корректирующее устройство с передаточной функцией Wпв, включенное по
схеме с отрицательной или положительной обратной связью, охватывающей один из
звеньев САУ, как правило исполнительный элемент или выходной каскад усилителя
(усилитель мощности) (рис.16,в). Такие обратные связи называются местными. При
этом передаточная функция эквивалентного звена:
Обычно передаточную функцию выходного каскада усилителя W2
выбирают из условия |W2.Wпв| >> 1 в широком
диапазоне частот, поэтому Wэкв
1/Wпв.
То есть свойства участка цепи с параллельно-встречным включением
корректирующего устройства определяются только свойствами данного
корректирующего устройства. Это основное достоинство данного способа включения.
Влияние плохих свойств какого-либо необходимого для САУ звена, например, его
нелинейности, могут быть практически полностью устранены.
Местные корректирующие обратные связи делятся на жесткие и гибкие.
Жесткая обратная связь действует на систему, как в переходном, так
и в установившемся режиме, то есть Wж(0)
0. Она реализуется безынерционным или
инерционным звеном:
или
.
Гибкая обратная связь действует только в переходном режиме, она
реализуется либо дифференцирующим, либо реальным дифференцирующим звеном:
или
.
Например, если интегрирующее звено Wи = Kи/p
охвачено жесткой обратной связью звеном Wж = Kж, то
, где Kэкв=1/Kж; Tэкв = 1/(Kи
KэквKж).
То есть жесткая обратная связь превращает интегрирующее звено в
апериодическое. В случае гибкой обратной связи звеном Wг = Kгp
получаем
, где
.
То есть гибкая обратная связь не изменяет структуру интегрирующего
звена, но уменьшает его коэффициент передачи.
Таким образом, даже простейшие обратные связи способны существенно
изменить свойства типовых динамических звеньев. Еще больший эффект дают сложные
отрицательные и положительные обратные связи. Если основные элементы регулятора
по своей природе позволяют создать обратную связь, то динамические свойства
этих элементов часто могут быть изменены в нужном направлении.
.2 Методы синтеза корректирующих устройств
В настоящее время разработано большое число в основном
приближенных методов синтеза корректирующих устройств. Наибольшее
распространение в инженерной практике получили графоаналитические методы
синтеза, основанные па построении инверсных и логарифмических частотных
характеристик разомкнутой системы. При этом широко используются косвенные
оценки качества переходного процесса (не требующие решения системы дифференциальных
уравнений), такие как запас по фазе, запас по модулю, колебательность, частота
среза, которые можно непосредственно определить по частотным характеристикам.
Самый удобный из графоаналитических методов синтеза - метод
логарифмических амплитудных характеристик. Он применяется для синтеза
минимально-фазовых систем автоматического регулирования, у которых имеется
однозначная связь между амплитудной и фазовой частотными характеристиками.
Процесс синтеза обычно включает в себя следующие этапы:
1. Строится логарифмическая амплитудно-частотная
характеристика (ЛАЧХ) исходной нескорректированной системы
.
. По заданным показателям качества строится желаемая ЛАЧХ
системы
.
. На основании желаемой и исходной ЛАЧХ системы.
определяется ЛАЧХ последовательного корректирующего устройства
, откуда
для ЛАЧХ
.
Таким образом, ЛАЧХ корректирующего звена получается простым
вычитанием ординат нескорректированной ЛАЧХ из ординат желаемой.
4. По полученной
находится
и подбирается наиболее простой способ
технической реализации корректирующего звена.
. Исследуется переходной процесс в скорректированной
системе и показатели качества сравниваются с полученными, если выполняются все
требования, то задача решена в противном случае к пункту 1.
Глава 5. Задачи синтеза систем автоматической стабилизации
Система автоматической стабилизации частоты вращения
двигателя постоянного тока
Рис. 17
В системе реализован принцип регулирования по отклонению.
Целью управления у0 и действительным значением
регулируемой величины у является частота вращения
соответственно.
Первичным элементом системы является тахогенератор - (ТГ). Он
предназначен для преобразования неэлектрической величины (частота вращения) в
электрический сигнал.
Исполнительный элемент - двигатель постоянного тока (ДПТ).
Вычислительные элементы - корректирующий элемент (КЦ), усилительный элемент
(УС), электромагнитный усилитель (усилитель мощности) (ЭМУ).
Объект регулирования - вал двигателя.
Как наиболее удобное выбрано корректирующее устройство последовательного
типа.
Передаточные функции звеньев
Электронный усилитель (ЭУ):
;
Электромагнитный усилитель (ЭМУ):
;
Двигатель постоянного тока (ДПТ):
;
Тахогенератор (ТГ):
;
Корректирующая цепочка имеет вид:
Рис. 18
;
;
;
её передаточная функция равна
.
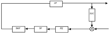
Функционально схема выглядит следующим образом:
Рис. 19
1. Объект регулирования - ОУ;
2. Элемент обратной связи - ЭОС;
. Орган сравнения;
. Корректирующая цепочка - КЦ;
. Электронный усилитель - ЭУ;
. Электромагнитный усилитель - ЭМУ;
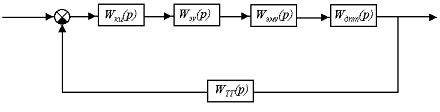
Структурная схема системы автоматической стабилизации:
Рис. 20
Для разомкнутой системы:
Для замкнутой системы:
;
;

;
Построение асимптотической логарифмической
амплитудно-частотной характеристики (ЛАЧХ) разомкнутой системы
Построение асимптотической логарифмической
амплитудно-частотной характеристики (ЛАЧХ) разомкнутой системы
Примечание:
При синтезе корректирующего устройства обеспечить следующие
условия:
) ЛАЧХ должна пересекать ось абсцисс под наклоном
20дб/дек
) Запас устойчивости по фазе должен находиться в
пределах
Данные
|
k
|
T2
|
Tэму
|
Т1
|
Ткц
|
Тэу
|
|
150
|
1,5
|
0,4
|
0,15
|
0,025
|
0,01
|
Мы получаем:
- инерционных звена;
- форсирующее звено;
- пропорциональное.
1. Определяем сопрягающие частоты:
2. На участке:
2. На оси частот отмечаем сопрягающие частоты.
На участке частот
На участке частот
это прямая с наклоном -20 дб/дек
На участке частот
это прямая с наклоном -40 дб/дек
На участке частот
это прямая с наклоном -20 дб/дек
На участке частот

это прямая с наклоном -40 дб/дек
На участке частот

это прямая с наклоном -60 дб/дек
Построение фазо-частотной характеристики

|
|
|
|
|
|
|
∑
|
|
0
|
0
|
0
|
0
|
0
|
0
|
0
|
|
1/1,5
|
|
|
|
|
|
-37.008
|
|
1/0,4
|
|
|
|
|
|
-89,623
|
|
1/0,15
|
|
|
|
|
|
-98,039
|
|
1/0,025
|
|
|
|
|
|
-138.29
|
|
1/0,01
|
|
|
|
|
|
-223,8
|
|
|
|
|
|
|
|
|
Запас устойчивости без корректирующей цепочки равен 
.
ЛАЧХ пересекает ось абсцисс под наклоном 40дб/дек, что удовлетворяет
нашему условию.
ЛАЧХ и ЛФЧХ
Так как запасы устойчивости по амплитуде и по фазе не
удовлетворяют условиям приведенным в примечании технического задания, добьемся
этого изменением параметров типовых звеньев.
Данные с измененными параметрами звеньев
|
k
|
T2
|
Tэму
|
Т1
|
Ткц
|
Тэу
|
|
100
|
0.5
|
0,4
|
0,33
|
0,03
|
0,01
|
1. Определяем сопрягающие частоты:
2. На участке:
)
)
)
)
)
На оси частот отмечаем сопрягающие частоты.
На участке частот
На участке частот
это прямая с наклоном -20 дб/дек
На участке частот

это прямая с наклоном -40 дб/дек
На участке частот
это прямая с наклоном -20 дб/дек
На участке частот
это прямая с наклоном -40 дб/дек
На участке частот
это прямая с наклоном -60 дб/дек
Построение фазо-частотной характеристики

Таблица 2
|
|
|
|
|
|
|
|
|
0
|
0
|
0
|
0
|
0
|
0
|
0
|
|
1/0,5
|
|
|
|
|
|
-42,04
|
|
1/0,4
|
|
|
|
|
|
-51,73
|
|
1/0,33
|
|
|
|
|
|
-67,68
|
|
1/0,025
|
|
|
|
|
|
-150,04
|
|
1/0,01
|
|
|
|
|
|
-192,89
|
|
|
|
|
|
|
|
|
Выводы
По результатам проведенных исследований можно сделать
следующие выводы:
1. Заданная САР с корректирующим устройством
последовательного типа устойчива со следующими показателями:
q запас устойчивости по амплитуде - 23,49
q запас устойчивости по фазе -
q наклон ЛАЧХ от
составляет от - 20 дБ/Дек
q расстояние от точки
составляет 0,2-0,9 Дек
2. Исследование качества переходного процесса можно не проводить,
так как по опыту синтеза корректирующих устройств САР с отмеченными
показателями обладает удовлетворительным качеством переходного процесса.
Литература
1. Клюев
А.С., Лебедев А.Т., Клюев С.А., Товарнов А.Г. Наладка средств автоматизации и
автоматических систем регулирования - М. «Энергоатомиздат» 1989г.
2. Тихонов
А.И. Курс лекций по Теории автоматического управления - ИГЭУ 2002г.
. Клюев
А.С., Глазов Б.В., Клюев А.А., Дубровский А.Х. Проектирование систем
автоматизации технологических процессов - М. «Энергоатомиздат» 1990г.
. Хахо
И.Х. Экспериментальное исследование объектов регулирования и расчет частотных
характеристик его модели - Н. КБГУ 1988г.