|
Параметры
|
Значение
параметров САР
|
|
KДУ
|
В/рад
|
12
|
|
22.4
|
|
KУ2
|
|
22.4
|
|
KУ3
|
|
1
|
|
КТП
|
|
18.2
|
|
ТТП
|
с
|
0.01
|
|
КД1
|
рад/В*с
|
1.43
|
|
KД2
|
рад/Н*м*с
|
21
|
|
Т1
|
с
|
0.04
|
|
Т2
|
с
|
0.1
|
|
ТЭ
|
с
|
0
|
|
ТМ
|
с
|
0.162
|
|
KР
|
|
0.01
|
|
KТГ
|
В*с/рад
|
0.25
|
|
МН
|
Н*м
|
2
|
Принцип регулирования САР по
отклонению
Следящая система - система автоматического
регулирования (управления), воспроизводящая на выходе с определённой точностью
входное задающее воздействие, изменяющееся по заранее неизвестному закону.
Следящая система может иметь любую физическую природу и различные способы
технического осуществления.
Выходной величиной для данной системы является
угол поворота вала двигателя постоянного тока, а объектом управления -
двигатель. Возмущающим фактором является нагрузка на валу двигателя, выраженная
в Мн.
Для поддержания требуемого угла поворота при
действии паразитных факторов введены обратные связи:
1)главная обратная связь: передает
величины
с выхода на
вход, при этом знак
меняется на
обратный. Так как по заданию должно быть
, то рассогласование
является
ошибкой следящей системы. Эта ошибка в хорошо работающей следящей системы
должна быть достаточно малой. Поэтому сигнал
усиливается и преобразуется в новый
сигнал
, который
приводит в действие исполнительное устройство (двигатель постоянного тока с независимым
возбуждением). Исполнительное устройство изменяет
так, чтобы
ликвидировать рассогласование. Однако из-за наличия различных возмущающих
воздействий (момент сопротивления на валу)
рассогласование возникает вновь, и
следящая система всё время работает на его уничтожение, т. е.
"следит" за ним и, в итоге, за заданной величиной
.
2)гибкая обратная связь: на валу двигателя
находится тахогенератор, преобразующая скорость вращения вала на напряжение.
Полученное напряжение поступает на ССУ через пассивных корректирующых RC
- цепи. Сигнал гибкой обратной связи изменяют сигнал, поступающий на
тиристорный преобразователь и, следовательно, на двигатель, корректируя угла
поворота вала.
Ход исследования
. Функциональная схема САР:
Функциональную схему данной САР можно
представить следующим образом:
Рис.2 -функциональная схема
ОД1, ОД2 - однополярный датчик угловых
перемещений.
ССУ- сравнивющее- суммирующее устройство
ТП- тиристорный преобразователь.
М- Двигатель постоянного тока
Р1- Редуктор
ТГ- Тахогенератор
ПКУ- Пассивные корректирующее цепи
Н- нагрузка
. Структурная схема САР:
По уравнениям и передаточным функциям отдельных
элементов функциональной схемы САР можно составить структурную схему САР:
Рис.3 -структурная схема
Приводим структурную схему с численными
значениям:
Рис.
Передаточные функции САР
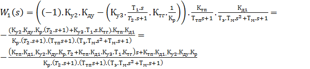
Передаточная функция разомкнутой системы:
Для получения структурной схемы разомкнутой
системы существуют два правила:
Отбрасываются все воздействия и цепи прилегающие
к ним.
Разрывается главнаяобратная связь и совмещается
с прямой цепью прохождения воздействия.
Рис.4. Структурная схема САУ в разомкнутом
состоянии
Согласно данной структурной схемы, передаточная
функция разомкнутой системы будет следующей:
Поставив значения коэффициентов, мы получим:
Передаточная функция замкнутой системы по
управлению:
В исходной схеме отбрасываем возмущающее
воздействие и получаем структурную схему замкнутой системы по управлению:
Рис. 5. Структурная схема замкнутой САУ по
задающему воздействию
Составим передаточную функцию данной системы:
Получим:
Поставив значения коэффициентов, мы получим:
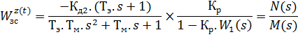
Передаточная функция замкнутой системы по
возмущению:
Для получения
необходимо
отбросить возмущающий фактор и цепи прилегающие к нему, в соответствии с принципом
суперпозиции:
Рис. 6. Структурная схема замкнутой САУ по
возмущающему фактору.
Переносим точки съёма через линейное звено по
ходу сигнала и составим передаточную функцию данной системы:
Где:
Поставив значения коэффициентов, мы получим:
Дифференциальное уравнение САР
Получив передаточные функции замкнутой
системы по задающему воздействию
и
возмущающему фактору
, структурную схему
САР, представленную на рис. 3 можно представить в виде
Рис.
Запишем уравнение выходного сигнала САР в
изображении s:
Где G(s), Z(s) - изображения задающего g(t)
воздействия и возмущающего фактора z(t).
Введем обозначения:
и запишем (*):
(**)
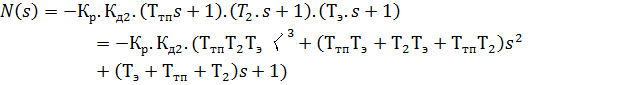
где
M(s),
N(s) полиномы изображения s:
)
)
Тогда (**) примет вид:
=
+
+
Переходя от изображений сигналов к их оригиналам
и, заменяя
получим
дифференциальное уравнение САР.
Используя уравнение (*), запишем в изображении S
уравнениевыходного сигнала x:
Где:
=
Поставить значения коэффициентов, мы
получим:
-
Z(s)
Переходя от изображений сигналов к
ихоригиналам и, заменяя s → p,получим дифференциальное уравнение САР:
=
-
).z(t)
Используя численные значения
параметров системы и переходя
от
:
+
=
Проверка САР на устойчивость.
Проверить САР на устойчивость по корням характеристического уравнения системы
Условие устойчивости системы по корням
характеристического уравнения: для того чтобы линейная система была устойчива,
необходимо и достаточно, чтобы все корни ее характеристического уравнения были
левыми.[1, стр.125]
Характеристическое уравнение системы:
Рис.
Корни: s1=-9.64; s2=-53.3+206i;
s3=-53.3-206i
Вывод: все корни характеристического уравнения
расположены слева от мнимой оси, следовательно, исследуемая система устойчива.
Критерий Михайлова
Для того чтобы система автоматического
управления была устойчива, необхдима и достаточно, чтобы вектор кривой
Михайлова С(jω) при 0 < ω
< ∞ повернулся, нигде не обращаясь в нуль, вокруг начала координат
против часовой стрелки на угол πn/2,
где n -порядок характеристического уравнения. [1, стр.141]

Построим годограф выражения
на
комплексной плоскости (X),
.
Рис. 8. Кривая (годограф) Михайлова
Вывод: система устойчива, так как годограф
Михайлова проходит число квадрантов, равное порядку уравнения системы, т.е. 3.
Проверка САУ на устойчивость, используя
критерий устойчивости Найквиста на основе ЛАЧХ:
Критерий Найквиста:
Для того чтобы система автоматического
управления была устойчива, необходимо и достаточно, чтобы разность между числом
положительных и отрицательных переходов логарифмической фазочастотной
характеристикой прямых ±π(2i+1),
где i = 0,1,2,... во
всех областях, где логарифметическая амплитудно-частотная характеристика
положительна L(ω)>0,
была равна l/2, где l
- число правых корней характеристического уравнения разомкнутой системы.[1,
стр.154]
Или:
Если разомкнутая система
автоматического управления устойчива, то замкнутая система автоматического
управления будет устойчива, то, для того чтобы замкнутая система
автоматического управления была устойчива, необходимо и достаточно, чтобы
амплитудно-фазовая характеристика разомкнутой системыW(j
) при
изменении частоты
от 0 до
охватывала
точку (-1,j0) в
положительном направлении l/2 раз, гдеl- число
правых корней характеристического уравнения разомкнутой системы. [1, стр.147]
Структурная схема разомкнутой
системы:
Рис.
Характеристическое уравнение системы:
Корни характеристического уравнения:
Вывод: все корни характеристического
уравнения расположены слева от мнимой оси, следовательно, разомкнутая система
устойчива иl = 0.
Анализируем эту схему мы получим еёАФЧХ, ЛАЧХ и
ЛФЧХ:
Рис. 9. АФЧХ разомкнутой системы
Вывод: по графику видно, чтоАФЧХ разомкнутой
системы
не
охватывает точку (-1,0), следовательно, система устойчива.
Рис. 10. ЛАЧХ, ЛФЧХ разомкнутой системы.
Вывод: по графику видно, что на
частотах, где
, ФЧХ не
пересекает прямую, параллельную оси абсцисс и проходящую через значение
(
),
следовательно, система устойчива.
Определить по критерию устойчивости
Гурвица критический коэффициент усиления разомкнутой системы Крс:
Критерий Гурвица:
Для того чтобы система автоматического
управления была устойчива, необходимо и достаточно, чтобы все определители
Гурвица имели знаки, одинаковые со знаком первого коэффициента
характеристического уравнения а0, то есть при а0 >0
были положительными.[1, стр.133]
Составим определитель Гурвица по следующему
алгоритму:
1. По главной диагонали слева
направо выставляются все коэффициенты характеристического уравнения, от
до
.
. От каждого элемента
диагонали вверх и вниз достраиваются столбцы определителя так, чтобы индексы
убывали сверху вниз.
. На место коэффициентов с
индексами меньше нуля или больше
ставятся нули.
Рис.
Если определитель Гурвица равен 0, то система
находится на границе устойчивости.
Передаточная функция разомкнутой системы:
Характеристическое уравнение замкнутой системы:
Порядок характеристического
уравнения
Находим определители Гурвица:
Предельное (критическое) значение коэффициента
усиления, при котором система будет находиться на границе устойчивости, равно:
Построить область устойчивости в
плоскости одного параметра Крс
Область устойчивости - это совокупность значений
параметров системы, при которых она устойчива.
Характеристическое уравнение замкнутой системы:
:
Построим область устойчивости САР в
плоскости Крсна комплексной плоскости
,
Рис. 11. Область устойчивости САР в плоскости
одного параметра -Kрс
Для проверки границ устойчивости, с помощью MathCAD,
возьмем любое значение
из области
устойчивости и подставив это значение в характеристическое уравнение замкнутой
системы, проверим систему на устойчивость по корням характеристического
уравнения:
Корни характеристического уравнения оказались
левыми, значит система устойчива в области III.
Приняв начальные условия нулевыми,
построить переходную характеристику системы и определить по ней показатели
качества
)Степенью устойчивости η
называют расстояние от мнимой оси до ближайшего корня или ближайшей пары
сопряженных корней.[2, стр.41]
)Колебательностью системы μ
называют тангенс угла, образованного отрицательной вещественной полуосью и
лучом из начала координат к корню, у которого отношение мнимой части к
действительной максимально:
μ = tgφ
= (β/α)max
где β
- значение мнимой части корней С(s)
α - значение
действительной части.[2, стр.42]
Передоточная функция замкнутой схемы:
Характеристическое уравнение системы:
Рис.12.