Функциональная схема системы автоматического управления
Содержание
Введение
1. Структурная
схема системы автоматического управления
2. Функциональная
схема системы автоматического управления
3. Передаточные
функции разомкнутой системы и замкнутой системы
3.1 Преобразование
структурной схемы
3.2 Расчет
передаточной функции разомкнутой системы
3.3 Расчет
передаточной функции замкнутой системы
4. Динамические
характеристики САУ
4.1 Динамические
характеристики разомкнутой системы
4.2 Динамические
характеристики замкнутой системы
5. Анализ
нескорректированной САУ
5.1 По
алгебраическим критериям 1
5.2 По
частотным критериям
6. Синтез
корректирующего устройства и параметры качества скорректированной системы
6.1 Выбор
корректирующего звена
7. Критический
коэффициент усиления, коэффициенты ошибок по задающему воздействию, D -
разбиение
7.1 Критический
коэффициент усиления систем
7.2 Коэффициенты
ошибок по задающему воздействию
7.3 Область
устойчивости системы в плоскости одного параметра
Введение
автоматическое управление частотная фазовая
Автоматика - это отрасль науки и техники
охватывающая теорию и практику автоматического управления, а так же принципы
построения автоматических систем и образующих их технических средств.
Объектом изучения в теории автоматического
управления и регулирования являются автоматические системы - совокупность
управляемого объекта и автоматических управляющих устройств, взаимодействующих
между собой. Такая система реализует автоматически, без непосредственного
участия человека все выработанные им заранее или в процессе функционирования
алгоритмы действия.
Автоматические системы можно разделить на:
системы с разомкнутой цепью воздействия (с прямым управлением), системы с
замкнутой цепью воздействия (обратной связью) и комбинированные. Системы
автоматического регулирования можно разделить на три большие группы:
стабилизации, программного управления и следящие.
Следящие системы предназначены для изменения
выходной величины в соответствии с заранее заданной функцией времени
определяемой задающим воздействием.
Системы стабилизации предназначены для
поддержания на постоянном уровне значения выходной величины при произвольно
меняющемся значении входной величины.
Системы программного управления предназначены
для изменения выходной величины по заранее заданной программе управления.
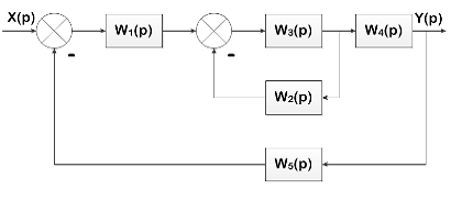
1. Структурная схема системы автоматического
управления
Структурная схема САУ
Передаточные функции звеньев системы:
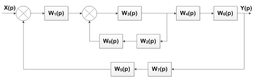
2. Функциональная схема системы автоматического
управления
Функциональная схема САУ
3. Передаточные функции разомкнутой системы и
замкнутой системы
.1 Преобразование структурной схемы
Преобразование параллельного соединения звеньев
2 и 3
Преобразование последовательного соединения:
Структурная схема разомкнутой системы:
Структурная схема замкнутой системы
.2 Расчет передаточной функции разомкнутой
системы
.2 Расчет передаточной функции замкнутой системы
Статический коэффициент усиления: 
.
4. Динамические характеристики САУ
.1 Динамические характеристики
разомкнутой системы
Заменяем
:
, где
- вещественная частотная функция;
- мнимая частотная функция.
Все построения производим при помощи
MathcadProfessional.
Частотная передаточная функция

Рис. 1. Частотные характеристики
разомкнутой САУ:
а - вещественная частотная функция;
б - мнимая частотная функция.
Амплитудно-фазовые характеристики
Амплитудно-частотная характеристика:
.
Фазочастотная характеристика:
.

в)
Рис. 2 Амплитудно-частотные
характеристики:
а - амплитудно-частотная
характеристика; б - фазочастотная характеристика; в - амплитудно-фазочастотная
характеристика.
Логарифмические характеристики
Логарифмическая амплитудно-частотная
характеристика:
Логарифмическая фазочастотная
характеристика:
Рис. 3 Логарифмическая
амплитудно-частотная и логарифмическая фазочастотная характеристики.
.2 Динамические характеристики
замкнутой системы
Частотная передаточная функция
Заменяем
:
, где
- вещественная частотная функция;
- мнимая частотная функция.
Все построения производим при помощи
MathcadProfessional.
Рис. 4. Частотные характеристики
замкнутой САУ:
а - вещественная частотная функция;
б - мнимая частотная функция.
Амплитудно-фазовые характеристики

Рис. 5 Амплитудно-частотные характеристики:
а - амплитудно-частотная характеристика; б -
фазочастотная характеристика; в - амплитудно-фазочастотная характеристика.
Амплитудно-частотная характеристика:
.
Стоит заметить, что при
такойколебательности коррекция обязательна.
Фазочастотная характеристика:
.
Логарифмические частотные
характеристики
Логарифмическая амплитудно-частотная
характеристика:
Логарифмическая фазочастотная
характеристика:
Рис. 6 Логарифмическая
амплитудно-частотная и логарифмическая фазочастотная характеристики.
По логарифмическим
амплитудно-частотной (ЛАЧХ) и фазочастотной (ЛФЧХ) характеристикам замкнутой
системы видно, что система не имеет запасов по амплитуде и фазе. Требуется
коррекция.
5. Анализ нескорректированной САУ
Характеристическое уравнение системы
имеет вид:

где
.1 По алгебраическим критериям
Критерий Гурвица:
Расчет производим при помощи Excel:
|
Ввод
|
|
|
|
|
|
a0
|
a1
|
a2
|
a3
|
a4
|
|
2
|
0,8
|
0,0201
|
0,0001275
|
0,000003125
|
|
|
|
|
|
|
Матрица
|
|
|
0,8
|
0,0001275
|
0
|
0
|
|
|
2
|
0,0201
|
0,000003125
|
0
|
|
|
0
|
0,8
|
0,0001275
|
|
|
0
|
2
|
0,0201
|
0,000003125
|
|
|
|
|
|
|
|
Δ1
|
0,8
|
|
|
|
|
Δ2
|
0,015825
|
|
|
|
|
Δ3
|
1,76875E-08
|
|
|
|
|
Δ4
|
5,52734E-14
|
|
|
|
Для того чтобы система автоматического
управления была устойчива, необходимо и достаточно, чтобы все определители
Гурвица были положительны. Так как не все определители больше нуля, то система
устойчива.
Критерий Рауса:
Для того, чтобы САУ была устойчива, необходимо и
достаточно, чтобы коэффициенты первого столбца таблицы Рауса были одного знака
(положительны).
Таблица Рауса составляется следующим образом: в
первой строке записывают в порядке возрастания индексов коэффициенты
характеристического уравнения, имеющие четный индекс: a0, a2, a4…, во второй
строке - коэффициенты с нечетным индексом: a1, a3, a5…
Любой из остальных элементов таблицы определяют
как
,
где
, k - номер столбца, i - номер
строки. Недостающие элементы заменяются нулями.
Определим устойчивость системы
автоматического управления по критерию Рауса с помощью Excel:
|
Ввод
|
|
|
|
|
|
a0
|
a1
|
a2
|
a3
|
a4
|
|
2
|
0,8
|
0,0201
|
0,0001275
|
0,000003125
|
|
|
|
|
|
|
|
|
|
|
|
r
|
c
|
|
|
2
|
0,0201
|
0,000003125
|
0
|
|
|
0,8
|
0,0001275
|
0
|
0
|
|
2,5
|
0,01978125
|
0,000003125
|
0
|
0
|
|
40,44233807
|
1,11769E-06
|
0
|
0
|
0
|
|
17698,27739
|
0,000003125
|
0
|
0
|
0
|
|
0,357661927
|
0
|
0
|
0
|
0
|
Так как в первом столбце таблицы Раусанет
перемен знака, следовательно, система устойчива.
.2 По частотным критериям
Критерий Михайлова:
Построение происходит при помощи Mathcad:
Рис. 7 Годограф замкнутой САУ
Для того чтобы система
автоматического управления была устойчива, необходимо и достаточно, чтобы
годограф Михайлова при изменении
от 0 до
, начинаясь
на вещественной положительной полуоси, обходил только противчасовой стрелки
последовательно n квадрантов координатной плоскости, где n - порядок
характеристического уравнения.
Критерий Найквиста:
Для начала определим устойчивость
разомкнутой системы.
Характеристическое уравнение
разомкнутой системы имеет вид:

Определим устойчивость системы
автоматического управления по критерию Рауса с помощью Excel:
|
Ввод
|
|
|
|
|
|
a0
|
a1
|
a2
|
a3
|
a4
|
|
0,8
|
0,0201
|
0,0001275
|
0,000003125
|
0
|
|
|
|
|
|
|
|
|
|
|
|
r
|
c
|
|
|
0,8
|
0,0001275
|
0
|
0
|
|
|
0,0201
|
0,000003125
|
0
|
0
|
|
39,80099502
|
3,12189E-06
|
0
|
0
|
0
|
|
6438,406375
|
0,000003125
|
0
|
0
|
0
|
|
0,999004975
|
0
|
0
|
0
|
0
|
Так как в первом столбце таблицы Раусанет
перемен знака, следовательно, система в разомкнутом состоянии устойчива.
Раз так, то для устойчивости замкнутой системы
необходимо и достаточно чтобы АФЧХ разомкнутой системы не охватывала
критическую точку с координатами (-1;j0). Это условие выполняется (рис. 2, в),
следовательно, в замкнутом состоянии система устойчива.
6. Синтез корректирующего устройства и параметры
качества скорректированной системы
.1 Выбор корректирующего звена
Требуется выбрать корректирующее устройство,
чтобы обеспечить требуемые показатели качества процесса управления и требуемые
запасы устойчивости системы.
Рассмотрим структурную схему нескорректированной
системы:
Для начала нам нужно избавиться от
чрезмернойколебательности (рис 5, а). Для этого сначала повысим степень нашего
характеристического уравнения, а также уберем pиз числителя путем ввода
последовательно звеньям 4 и 5дифференцирующих звеньев 6 и 7 с передаточными
функциями
и
соответственно. После данного
преобразования мы получаем практически вполне устойчивую систему с хорошими
запасами. Правда, годограф Михайлова начинается не на положительной оси, но мы
это легко исправим введением пропорционального звена в обратную связь
(произведем данную затею в конце коррекции). Что ж, полученная система нас
устраивает, но для построения хорошего графика переходного процесса стоит
сделать еще некоторую коррекцию. Уменьшим коэффициенты усиления звеньев 2 и 4.
Для этого последовательно им введем пропорциональные звенья 
и 
соответственно. Но зачем нам лишнее
звено 9, когда можно изменить передаточную функцию звена 6? Выполним изменения:

. Осталось дело за малым -
скорректировать обратную связь. Нецелесообразно вводить новое звено, следует
просто изменить передаточную функцию форсирующего звена 7. Изменим её: 
. Система устойчива, требуемые
запасы присутствуют. Полученная структурная схема:
Передаточная функция:
Соответствующие графики приведены на
рисунках 8 и 9.
Рис. 8. Частотные характеристики
замкнутой системы:
а - АФЧХ, б - АЧХ, в - ФЧХ, г - ЛАЧХ
и ЛФЧХ

Рис. 9. Частотные характеристики
разомкнутой системы:
а - АФЧХ, б - АЧХ, в - ФЧХ, г - ЛАЧХ
и ЛФЧХ
В результате мы получаем требуемые
запасы устойчивости и параметры качества процесса управления.
Строим переходную характеристику
замкнутой системы и определяем показатели качества.
Переходная характеристика
скорректированной САУ, построенная в программе Mathcad представлена на рис. 10.
Параметры качества процесса
управления:
Перерегулирование:
Колебательность системы:
Время нарастания:
Число колебаний за время
регулирования n=0.
Статическая ошибка: 
Рис. 10 Кривая переходного процесса
скорректированной САУ
По логарифмическим
амплитудно-частотным характеристикам (ЛАЧХ) и логарифмическим фазочастотным
характеристикам (ЛФЧХ) замкнутой системы определяем запасы устойчивости по
амплитудеh=15 дБ и по фазе g=135°(рис. 8, г).
7. Критический коэффициент усиления,
коэффициенты ошибок по задающему воздействию, D - разбиение
.1 Критический коэффициент усиления
систем
Величина коэффициента усиления К
определяет статическую ошибку: чем больше К, тем выше статическая точность
системы. Однако у каждой автоматической системы имеется предельное значение,
называемое критическим коэффициентом усиления Ккр, обеспечивающее устойчивость
системы.
Характеристическое уравнение
замкнутой системы:
С помощью критерия Михайлова
определим:
Рассчитаем при помощи Mathcad:
Критический коэффициент усиления K=70.7.
.2 Коэффициенты ошибок по задающему
воздействию
Ошибка системы может быть
представлена в виде ряда:
Коэффициент С0 называют
коэффициентом статической или позиционной ошибки; коэффициент С1 -
коэффициентом скоростной ошибки, С2 - коэффициентом ошибки от ускорения.
В статических системах коэффициент
С0 отличен от нуля. В системах с астатизмом первого порядка С0 = 0, С1 ≠
0. В системах с астатизмом второго порядка С0 = С1 = 0, С2 ≠ 0.
Выполним вычисления (разложим в ряд)
при помощи Mathcad:
Коэффициент позиционной ошибки С0 =
0,515; коэффициент скоростной ошибки С1 = -0,249, коэффициент ошибки по
ускорению С2 = 0,12.
Амплитуда ошибки 0,515.
.3 Область устойчивости системы в плоскости
одного параметра
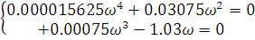
Характеристическое уравнение системы
имеет вид:
Предположим что параметр А -
комплексное число. Заменим
получим:
Вещественная и мнимая части:
Задавая различные значения
,
вычерчиваем кривую вектора
, показанную на рис.11. После этого
надо наметить предполагаемую область устойчивости. Для этого применяем правило
штриховки, основанное на том, что границей в плоскости корней является мнимая
ось и при движении по ней от
до
область корней устойчивой системы
располагается слева.
Рис. 11. D - разбиение плоскости
комплексного параметра А.
Соответственно этому в плоскости
на D -
кривой необходимо отметить направление движения в диапазоне частот
и также
заштриховать левую часть кривой по отношению к этому движению. Часть плоскости,
в сторону которой направлена штриховка может рассматриваться как предполагаемая
область устойчивости.
Взяв из предполагаемой области
устойчивости значение 5, проверим по критерию Рауса, устойчива ли система в
этой области.
|
Ввод
|
|
|
|
|
|
a0
|
a1
|
a2
|
a3
|
a4
|
|
5
|
1,03
|
0,03075
|
0,00075
|
0,000015625
|
|
|
|
|
|
|
|
|
|
|
|
r
|
c
|
|
|
5
|
0,03075
|
0,000015625
|
0
|
|
|
1,03
|
0,00075
|
0
|
0
|
|
4,854368932
|
0,027109223
|
0,000015625
|
0
|
0
|
|
37,99444892
|
0
|
0
|
0
|
|
173,4027719
|
0,000015625
|
0
|
0
|
0
|
|
10,00555108
|
0
|
0
|
0
|
0
|
В первом столбце нет ни одной перемены знака,
следовательно система устойчива, а данная область действительно является
областью устойчивости.